Influences of Different Acid Solutions on Pore Structures and Fractal Features of Coal
Abstract
1. Introduction
2. Sample Preparation and Experiments
2.1. Coal Sample Preparation
2.2. XRD Analysis Experiment
2.3. Low-Temperature Nitrogen Experiment
2.4. Calculation of Fractal Dimension
3. Results and Analysis
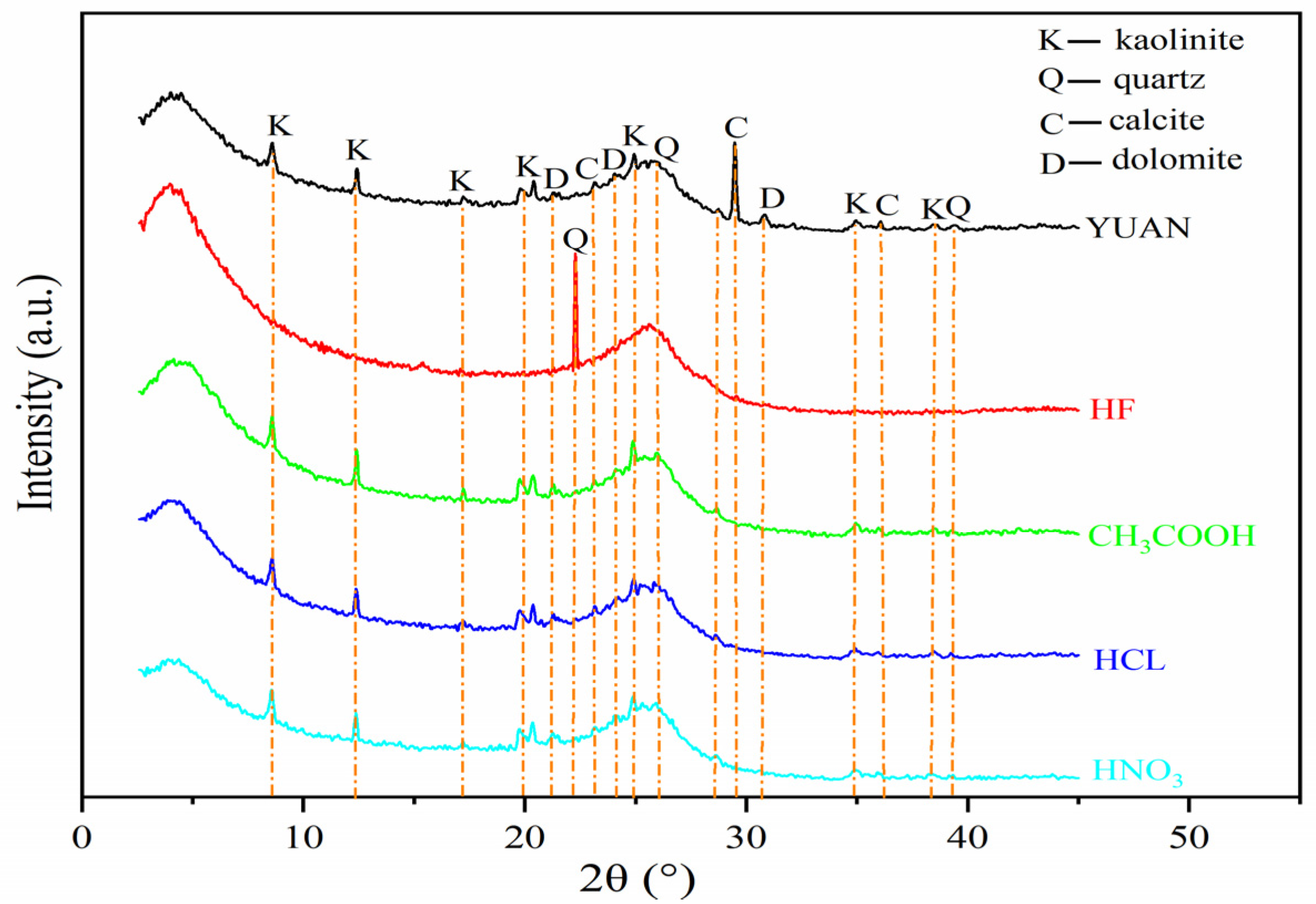
3.1. Mineral Phases
3.2. Characteristics of Pores
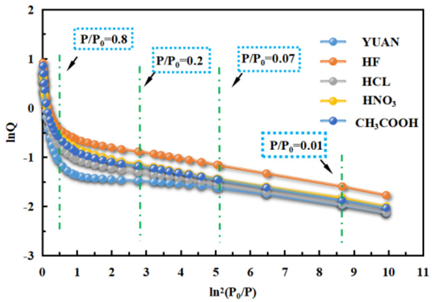
3.2.1. N2 Adsorption/Desorption Isotherms
3.2.2. Structural Parameters and Pore Size Distribution of Pores
3.3. Fractal Features of Pore Structures
3.3.1. Fractal Features of Micropore Structures
3.3.2. Fractal Features of Mesopore Structures
3.4. Relationship between Pore Characteristics and Fractal Dimensions
4. Conclusions
Author Contributions
Funding
Data Availability Statement
Conflicts of Interest
References
- Liu, X.F.; Nie, W.; Zhou, W.J.; Liu, C.; Liu, Q.; Wei, C. The optimization of a dust sup-pression and clean production scheme in a TBM-constructed tunnel based on an or-thogonal experiment. Process Saf. Environ. Prot. 2020, 136, 353–370. [Google Scholar] [CrossRef]
- Ni, G.H.; Li, Z.; Sun, Q.; Li, S.; Dong, K. Effects of [Bmim][Cl] ionic liquid with different concentrations on the functional groups and wettability of coal. Adv. Powder Technol. 2019, 30, 610–624. [Google Scholar]
- Zhou, W.J.; Nie, W.; Liu, C.Q.; Liu, Q.; Wang, H.; Wei, C.; Yan, J.; Yin, S.; Xiu, Z.; Xu, C. Modelling of ventilation and dust control effects during tunnel construction. Int. J. Mech. Sci. 2019, 160, 358–371. [Google Scholar] [CrossRef]
- Han, W.B.; Zhou, G.; Zhang, Q.T.; Pan, H.; Liu, D. Experimental study on modification of physicochemical characteristics of acidified coal by surfactants and ionic liquids. Fuel 2020, 266, 116966. [Google Scholar] [CrossRef]
- Aljawad, M.S.; Aljulaih, H.; Mahmoud, M.; Desouky, M. Integration of field, laboratory, and modeling aspects of acid fracturing: A comprehensive review. J. Pet. Sci. Eng. 2019, 181, 106158. [Google Scholar] [CrossRef]
- Finkelman, R.B.; Dai, S.; French, D. The importance of minerals in coal as the hosts of chemical elements: A review. Int. J. Coal Geol. 2019, 212, 103251. [Google Scholar] [CrossRef]
- Liu, Y.; Zhu, Y.; Chen, S. Effects of chemical composition, disorder degree and crystallite structure of coal macromolecule on nanopores (0.4–150 nm) in different rank naturally-matured coals. Fuel 2019, 242, 553–561. [Google Scholar] [CrossRef]
- Cai, P.; Nie, W.; Chen, D.; Yang, S.; Liu, Z. Effect of air flowrate on pollutant dis-persion pattern of coal dust particles at fully mechanized mining face based on numerical simulation. Fuel 2019, 239, 623–635. [Google Scholar] [CrossRef]
- Xu, C.; Nie, W.; Liu, Z.; Peng, H.; Yang, S.; Liu, Q. Multi-factor numerical simula-tion study on spray dust suppression device in coal mining process. Energy 2019, 182, 544–558. [Google Scholar] [CrossRef]
- Teklu, T.W.; Abass, H.H.; Hanashmooni, R.; Carratu, J.C.; Ermila, M. Experimental investigation of acid imbibition on matrix and fractured carbonate rich shales. J. Nat. Gas Sci. Eng. 2017, 45, 706–725. [Google Scholar] [CrossRef]
- Qin, L.; Li, S.; Zhai, C.; Lin, H.; Zhao, P.; Shi, Y.; Bai, Y. Changes in the pore structure of lignite after repeated cycles of liquid nitrogen freezing as determined by nitrogen adsorption and mercury intrusion. Fuel 2020, 267, 117214. [Google Scholar] [CrossRef]
- Yan, S.; Wang, G.; Wang, Q.; Li, H.; Wang, W. Characteristics of seepage of microemulsions in coal. J. Mol. Liq. 2020, 304, 112742. [Google Scholar] [CrossRef]
- Xu, Q.; Liu, R.; Ramakrishna, S. Comparative experimental study on the effects of organic and inorganic acids on coal dissolution. J. Mol. Liq. 2021, 339, 116730. [Google Scholar] [CrossRef]
- Li, P.; Zhang, X.; Zhang, S. Structures and fractal characteristics of pores in low volatile bituminous deformed coals by low-temperature N2 adsorption after different solvents treatments. Fuel 2018, 224, 661–675. [Google Scholar] [CrossRef]
- Zhang, J.; Li, L.; Qin, Q. Effects of micropore structure of activated carbons on the CH4/N2 adsorption separation and the enrichment of coal-bed methane. Clean Energy 2021, 5, 329–338. [Google Scholar] [CrossRef]
- Zhao, L.; Chen, X.; Zou, H.; Liu, P.; Liang, C.; Zhang, N.; Li, N.; Luo, Z.; Du, J. A review of diverting agents for reservoir stimulation. J. Pet. Sci. Eng. 2020, 187, 106734. [Google Scholar] [CrossRef]
- Asadollahpour, E.; Baghbanan, A.; Hashemolhosseini, H.; Mohtarami, E. The etching and hydraulic conductivity of acidized rough fractures. J. Pet. Sci. Eng. 2018, 166, 704–717. [Google Scholar] [CrossRef]
- Li, S.; Ni, G.; Wang, H.; Xun, M.; Xu, Y. Effects of acid solution of different components on the pore structure and mechanical properties of coal. Adv. Powder Technol. 2020, 31, 1736–1747. [Google Scholar] [CrossRef]
- Zhang, X.; Yu, K.; Zhang, S.; Du, Z. Change Mechanism in Surface Properties of Treated Tectonic Coal by Different Acids. Coal Convers. 2017, 40, 1–7. [Google Scholar]
- Yu, Y.; Gao, C.; Yang, H.; Cheng, W.; Xin, Q.; Zhang, X. Effect of acetic acid concentration and dissolution time on the evolution of coal phases: A case report of bituminous coal. J. Mol. Liq. 2021, 340, 117298. [Google Scholar] [CrossRef]
- Dou, H.; Xie, J.; Xie, J.; Sun, G.; Li, Z.; Wang, Z.; Miao, Y. Study on the mechanism of the influence of HNO3 and HF acid treatment on the CO2 adsorption and desorption characteristics of coal. Fuel 2022, 309, 122187. [Google Scholar] [CrossRef]
- Ni, G.; Li, S.; Rahman, S.; Xun, M.; Wang, H.; Xu, Y.; Xie, H. Effect of nitric acid on the pore structure and fractal characteristics of coal based on the low-temperature nitrogen adsorption method. Powder Technol. 2020, 367, 506–516. [Google Scholar] [CrossRef]
- Ma, B.; Hu, Q.; Yang, S.; Zhang, T.; Qiao, H.; Meng, M.; Zhu, X.; Sun, X. Pore structure typing and fractal characteristics of lacustrine shale from Kongdian formation in East China. J. Nat. Gas Sci. Eng. 2021, 85, 103709. [Google Scholar] [CrossRef]
- Lai, J.; Wang, G. Fractal analysis of tight gas sandstones using high-pressure mercury intrusion techniques. J. Nat. Gas Sci. Eng. 2015, 24, 185–196. [Google Scholar] [CrossRef]
- Mandelbrot, B.B. The Fractal Geometry of Nature; Time Books: San Francisco, CA, USA, 1982. [Google Scholar]
- Chen, S.; Tang, D.; Tao, S.; Ji, X.; Xu, H. Fractal analysis of the dynamic variation in pore-fracture systems under the action of stress using a low-field NMR relaxation method: An experimental study of coals from western Guizhou in China. J. Pet. Sci. Eng. 2019, 173, 617–629. [Google Scholar] [CrossRef]
- Zhang, K.; Lai, J.; Bai, G.; Pang, X.; Ma, X.; Qin, Z.; Zhang, X.; Fan, X. Comparison of fractal models using NMR and CT analysis in low permeability sandstones. Mar. Pet. Geol. 2020, 112, 104069. [Google Scholar] [CrossRef]
- He, J.H. Fractal calculus and its geometrical explanation. Results Phys. 2018, 10, 272–276. [Google Scholar] [CrossRef]
- Zhou, S.; Liu, D.; Cai, Y.; Yao, Y. Fractal characterization of pore-fracture in low-rank coals using a low-field NMR relaxation method. Fuel 2016, 181, 218–226. [Google Scholar] [CrossRef]
- Vasilenko, T.; Kirillov, A.; Islamov, A.; Doroshkevich, A.; Łudzik, K.; Chudoba, D.M.; Mita, C. Permeability of a coal seam with respect to fractal features of pore space of fossil coals. Fuel 2022, 329, 125113. [Google Scholar] [CrossRef]
- Liu, C.J.; Wang, G.X.; Sang, S.X.; Gilani, W.; Rudolph, V. Fractal analysis in pore structure of coal under conditions of CO2 sequestration process. Fuel 2015, 139, 125–132. [Google Scholar] [CrossRef]
- Ma, X.; Xie, X.; Ye, X.; He, J.; Zhu, J. Fractal characteristics of pore structure of calcium- based geopolymer based on nitrogen adsorption. Mater. Rev. 2019, 33, 1989–1994. [Google Scholar]
- Zhu, Y.; Liu, H.; Wang, T.; Wang, Y.; Liu, H. Evolution of pore structures and fractal characteristics of coal-based activated carbon in steam activation based on nitrogen adsorption method. Powder Technol. 2023, 424, 118522. [Google Scholar] [CrossRef]
- Wang, Z.Y.; Cheng, Y.P.; Qi, Y.X.; Wang, R.; Wang, L.; Jiang, J. Experimental study of pore structure and fractal characteristics of pulverized intact coal and tectonic coal by low temperature nitrogen adsorption. Powder Technol. 2019, 350, 15–25. [Google Scholar] [CrossRef]
- Han, W.; Zhou, G.; Gao, D.; Zhang, Z.; Wei, Z.; Wang, H.; Yang, H. Experimental analysis of the pore structure and fractal characteristics of different metamorphic coal based on mercury intrusion-nitrogen adsorption porosimetry. Powder Technol. 2020, 362, 386–398. [Google Scholar] [CrossRef]
- Yi, M.; Cheng, Y.; Wang, C.; Wang, Z.; Hu, B.; He, X. Effects of composition changes of coal treated with hydrochloric acid on pore structure and fractal characteristics. Fuel 2021, 294, 120506. [Google Scholar] [CrossRef]
- Zheng, C.; Liu, S.; Xue, S.; Jiang, B.; Chen, Z. Effects of chemical solvents on coal pore structural and fractal characteristics: An experimental investigation. Fuel 2022, 327, 125246. [Google Scholar] [CrossRef]
- Jiang, J.Y.; Zhang, Q.; Cheng, Y.P.; Wang, H.; Liu, Z. Quantitative investigation on the structural characteristics of thermally metamorphosed coal: Evidence from multi-spectral analysis technology. Environ. Earth Sci. 2017, 76, 406. [Google Scholar] [CrossRef]
- GB/T 21650.3-2011; Pore Size Distribution and Porosity of Solid Materials by Mercury Porosimetry and Gas Adsorption—Part 3: Analysis of Micropores by Gas Adsorption. Standardization Administration: Beijing, China, 2011. (In Chinese)
- Pfeifer, P.; Avnir, D. Chemistry in noninteger dimensions between two and three. I. Fractal theory of heterogeneous surfaces. J. Chem. Phys. 1983, 79, 3558–3565. [Google Scholar] [CrossRef]
- Drake, J.M.; Yacullo, L.N.; Levitz, P.; Klafter, J. Nitrogen adsorption on porous silica: Model-dependent analysis. J. Phys. Chem. 1994, 98, 380–382. [Google Scholar] [CrossRef]
- Xu, L.; Zhang, J.; Ding, J.; Liu, T.; Shi, G.; Li, X.; Dang, W.; Cheng, Y.; Guo, R. Pore structure and fractal characteristics of different shale lithofacies in the dalong formation in the western area of the lower yangtze platform. Minerals 2020, 10, 72. [Google Scholar] [CrossRef]
- Liu, R.L.; Cheng, W.M.; Yu, Y.B.; Xu, Q.; Jiang, A.; Lv, T. An impacting factors analysis of miners’ unsafe acts based on HFACS-CM and SEM. Process Saf. Environ. Prot. 2019, 122, 221–231. [Google Scholar] [CrossRef]
- Alafnan, S.; Awotunde, A.; Glatz, G.; Adjei, S.; Alrumaih, I.; Gowida, A. Langmuir adsorption isotherm in unconventional resources: Applicability and limitations. J. Pet. Sci. Eng. 2021, 207, 109172. [Google Scholar] [CrossRef]
- Nie, B.; Liu, X.; Yang, L.; Meng, J.; Li, X. Pore structure characterization of different rank coals using gas adsorption and scanning electron microscopy. Fuel 2015, 158, 908–917. [Google Scholar] [CrossRef]
- Wang, D.; Yang, H.; Wu, Y.; Zhao, C.; Ju, F.; Wang, X.; Zhang, S.; Chen, H. Evolution of pore structure and fractal characteristics of coal char during coal gasification. J. Energy Inst. 2020, 93, 1999–2005. [Google Scholar] [CrossRef]
- Li, Z.; Ni, G.; Sun, L.; Sun, Q.; Li, S.; Dong, K.; Xie, J.; Wang, G. Effect of ionic liquid treatment on pore structure and fractal characteristics of low rank coal. Fuel 2020, 262, 116513. [Google Scholar]












| Samples | SBET (m²/g) | Smic (m²/g) | Smes (m²/g) | Smic/SBET | Smes/SBET | Vtot (10−3 cm³/g) | Vmic (10−3 cm³/g) | Vmes (10−3 cm³/g) | Vmic/Vtot | Vmes/Vtot |
|---|---|---|---|---|---|---|---|---|---|---|
| YUAN | 0.745 | 0.199 | 0.547 | 0.267 | 0.733 | 3.174 | 0.636 | 2.538 | 0.200 | 0.800 |
| HF | 1.408 | 0.596 | 0.811 | 0.424 | 0.576 | 3.812 | 0.685 | 3.127 | 0.180 | 0.820 |
| HCL | 0.915 | 0.234 | 0.681 | 0.256 | 0.744 | 3.136 | 0.548 | 2.588 | 0.175 | 0.825 |
| HNO3 | 1.092 | 0.283 | 0.808 | 0.260 | 0.740 | 2.884 | 0.443 | 2.441 | 0.154 | 0.846 |
| CH3COOH | 1.047 | 0.218 | 0.829 | 0.208 | 0.792 | 3.565 | 0.564 | 3.001 | 0.158 | 0.842 |
| Samples | A1 | D1 | R2 | A2 | D2 | R2 |
|---|---|---|---|---|---|---|
| YUAN | −0.700 | 2.300 | 0.982 | −0.281 | 2.719 | 0.972 |
| HF | −0.850 | 2.150 | 0.990 | −0.502 | 2.498 | 0.995 |
| HCL | −0.801 | 2.199 | 0.988 | −0.455 | 2.545 | 0.994 |
| HNO3 | −0.775 | 2.225 | 0.988 | −0.530 | 2.470 | 0.998 |
| CH3COOH | −0.819 | 2.181 | 0.991 | −0.506 | 2.494 | 0.996 |
| Samples | A1′ | D1′ | R2 | A2′ | D2′ | R2 |
|---|---|---|---|---|---|---|
| YUAN | −0.197 | 2.803 | 0.867 | −0.517 | 2.483 | 0.989 |
| HF | −0.258 | 2.742 | 0.998 | −0.383 | 2.617 | 0.990 |
| HCL | −0.292 | 2.708 | 0.994 | −0.422 | 2.578 | 0.992 |
| HNO3 | −0.329 | 2.671 | 0.999 | −0.331 | 2.669 | 0.985 |
| CH3COOH | −0.320 | 2.680 | 0.995 | −0.409 | 2.591 | 0.992 |
Disclaimer/Publisher’s Note: The statements, opinions and data contained in all publications are solely those of the individual author(s) and contributor(s) and not of MDPI and/or the editor(s). MDPI and/or the editor(s) disclaim responsibility for any injury to people or property resulting from any ideas, methods, instructions or products referred to in the content. |
© 2024 by the authors. Licensee MDPI, Basel, Switzerland. This article is an open access article distributed under the terms and conditions of the Creative Commons Attribution (CC BY) license (https://creativecommons.org/licenses/by/4.0/).
Share and Cite
Zhang, J.; Ni, X.; Liu, X.; Su, E. Influences of Different Acid Solutions on Pore Structures and Fractal Features of Coal. Fractal Fract. 2024, 8, 82. https://doi.org/10.3390/fractalfract8020082
Zhang J, Ni X, Liu X, Su E. Influences of Different Acid Solutions on Pore Structures and Fractal Features of Coal. Fractal and Fractional. 2024; 8(2):82. https://doi.org/10.3390/fractalfract8020082
Chicago/Turabian StyleZhang, Jingshuo, Xiaoming Ni, Xiaolei Liu, and Erlei Su. 2024. "Influences of Different Acid Solutions on Pore Structures and Fractal Features of Coal" Fractal and Fractional 8, no. 2: 82. https://doi.org/10.3390/fractalfract8020082
APA StyleZhang, J., Ni, X., Liu, X., & Su, E. (2024). Influences of Different Acid Solutions on Pore Structures and Fractal Features of Coal. Fractal and Fractional, 8(2), 82. https://doi.org/10.3390/fractalfract8020082
