Geostatistical and Food Risk Assessment of Soils Contaminated by Trace Elements in the City of Dschang (Cameroon)
Abstract
1. Introduction
2. Material and Methods
2.1. Description of Study Area
2.2. Soil Sampling Protocol and Field Inventory of Human Activities
2.3. Laboratory Methods
2.4. Cartograms
2.4.1. Statistical Analysis of Outliers
2.4.2. Health Risk Assessment
- -
- Food Crops Reference Value (FCRV) corresponds to the maximum concentration of TEs for growing food plants in the open ground, without the need for in-depth investigation;
- -
- Ornamental Crop Reference Value (OCRV) corresponding to the maximum TEs concentration for growing food plants above ground with controlled input soil or in open ground for ornamental plants without the need for in-depth investigation. To maintain food use despite the FCRV being exceeded for at least one TEs, the RHA recommends an in-depth investigation;
- -
- Above the OCRV, an in-depth survey should be carried out to assess the compatibility of the site with the intended use.
2.4.3. Maps
2.5. Statistical Analysis
3. Results and Discussion
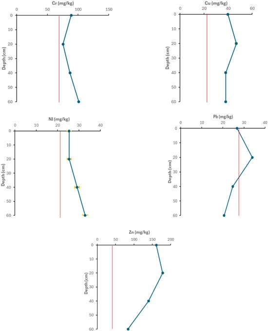
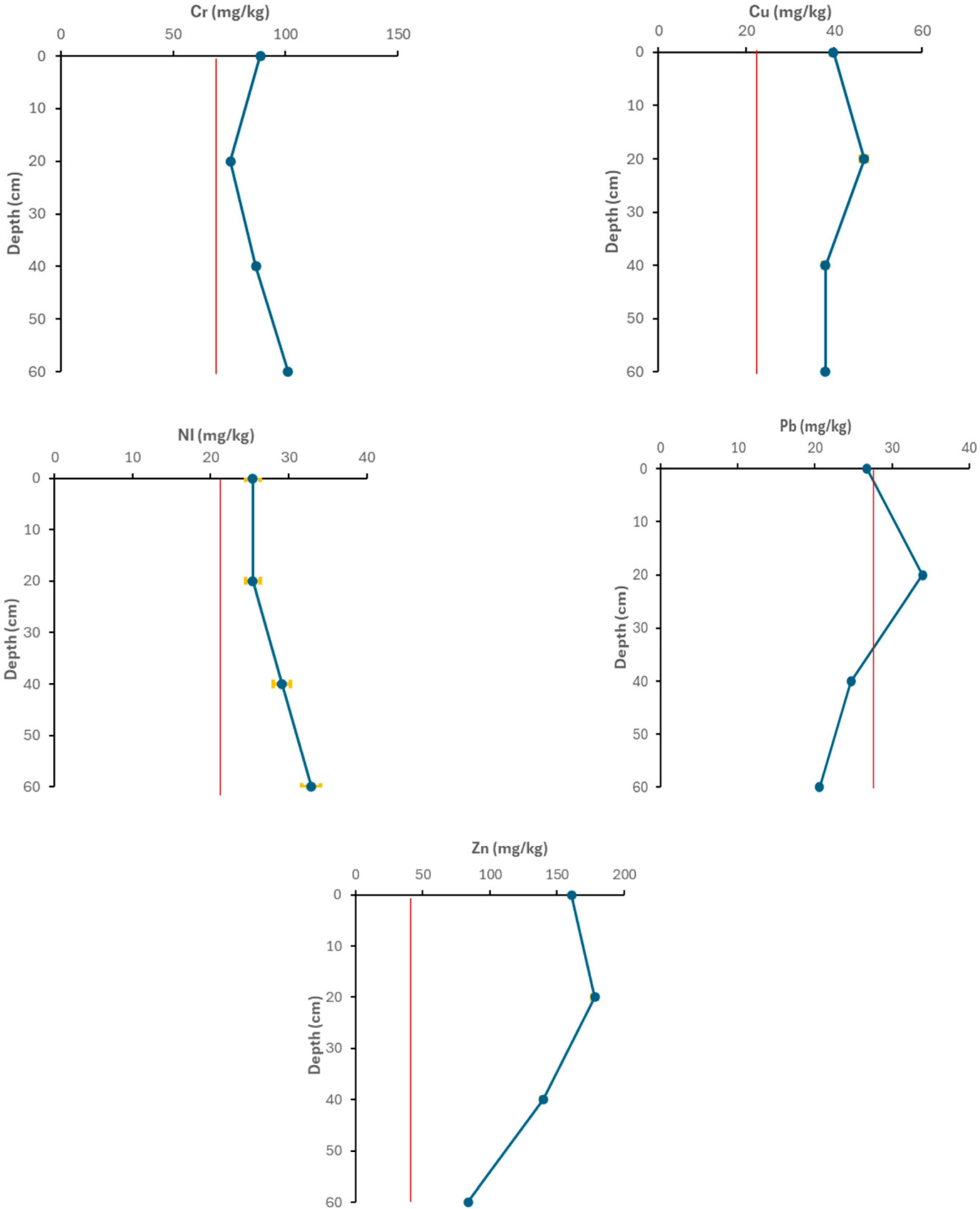
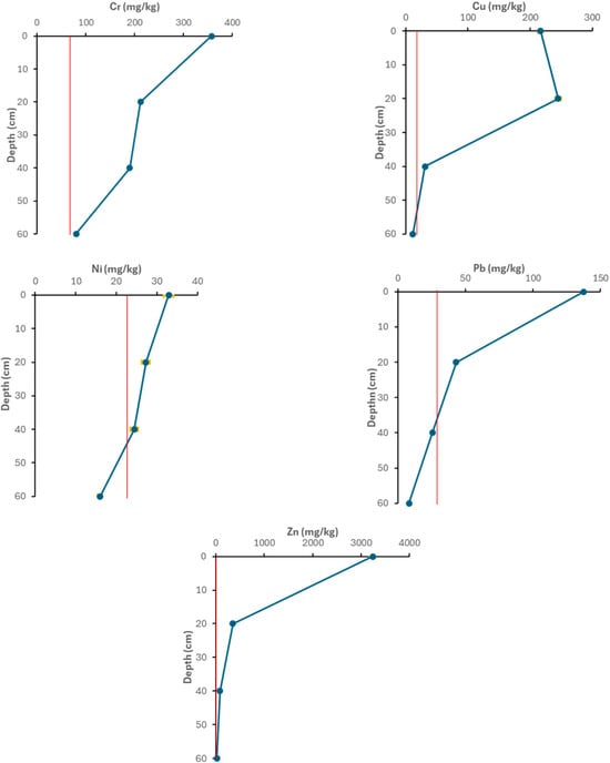
3.1. Trace Elements (TEs) Concentrations According to Land Use Types
3.2. Spatial Distribution of TEs Based on Geostatistical Approach
3.3. Spatial Distribution of TEs Based on Food Risk
4. Conclusions
Supplementary Materials
Author Contributions
Funding
Institutional Review Board Statement
Informed Consent Statement
Data Availability Statement
Conflicts of Interest
References
- UN-Habitat. World Cities Report 2022 Envisaging: The Future of Cities; United Nations Human Settlements Programme (UN-Habitat): Nairobi, Kenya, 2023. [Google Scholar]
- Li, J.; Song, L.; Chen, H.; Wu, J.; Teng, Y. Source apportionment of potential ecological risk posed by trace metals in the sediment of the Le’an River, China. J. Soils Sediments 2020, 20, 2460–2470. [Google Scholar] [CrossRef]
- Ajmone-Marsan, F.; Biasioli, M. Trace elements in soils of urban areas. Water Air Soil Pollut. 2010, 213, 121–143. [Google Scholar] [CrossRef]
- Temgoua, É.; Ntangmo, T.H.; Tamfuh, P.A.; Ndzana, G.M. Testing soil fertility, potato (Solanum tuberosum) production and residual effect on green beans (Phaseolus vulgaris) performance using different rates and mixtures of compost and mineral fertilizer. J. Plant Nutr. 2023, 46, 4033–4043. [Google Scholar] [CrossRef]
- Ouedraogo, C.R.; Yanogo, P.I. Gestion des déchets solides ménagers à Koudougou, Burkina Faso: Dynamique de production et cartographie des lieux d’ordure. Espaces Afr. (Rev. Des Sci. Soc.) 2024, 11, 78–94. [Google Scholar]
- Temgoua, É.; Ngnikam, E.; Dameni, K.; Kouedeu, G.S. Valorisation des ordures ménagères par compostage dans la ville de Dschang, Cameroun. Tropicultura 2014, 32, 28–36. [Google Scholar]
- Moumbe, J.S.; Yemmafouo, A.; Tsalefac, M.; Faoong, L.J. Municipal Solid Waste (MSW) Management Initiatives and Design of a Green Economy Strategy in the City of Dschang. Eur. Sci. J. 2020, 16, 123–142. [Google Scholar]
- Kongnso, E.M.; Yemmafouo, A.; Moumbe, J.S.; Kakeu-Tardy, R.C.; Sahakian, M.; Véron, R. Of Practices and (Micro)politics: Challenges of Organic Waste Segregation in Dschang, Cameroon. J. Environ. Dev. 2024, 33, 493–514. [Google Scholar] [CrossRef]
- Costa, S.; Donner, M.; Duquennoi, C.; Savary, V. Les start-ups de collecte et valorisation des biodéchets en ville: Une étude de leurs modèles d’affaires. Environ. Econ. Policy Sustain. 2024, 12, 1–4. [Google Scholar]
- Okeke, S.E.; Enochoghene, A.; Ezeudoka, B.C.; Kaka, S.D.; Chen, Y.; Mao, G.; Eze, C.T.; Feng, W.; Wu, X. A review of heavy metal risks around e-waste sites and comparable municipal dumpsites in major African cities: Recommendations and future perspectives. Toxicology 2024, 501, 153711. [Google Scholar] [CrossRef] [PubMed]
- Han, Y.; Zhang, S.; Kang, D.; Hao, N.; Peng, J.; Zhou, Y.; Liu, K.; Chen, Y. A Decade Review of Human Health Risks from Heavy Metal Cont;amination in Industrial Sites. Water Air Soil Pollut. 2025, 236, 144. [Google Scholar] [CrossRef]
- Abogunrin Olafisoye, O.B.; Adeyi, O. Environmental and health impacts of unsustainable waste electrical and electronic equipment recycling practices in Nigeria’s informal sector. Discov. Chem. 2025, 2, 40. [Google Scholar] [CrossRef]
- Ogbeide, O.; Henry, B. Addressing Heavy Metal Pollution in Nigeria: Evaluating Policies, Assessing Impacts, and Enhancing Remediation Strategies. J. Appl. Sci. Environ. Manag. 2024, 28, 1007–1051. [Google Scholar] [CrossRef]
- Franck-Néel, C.; Borst, W.; Diome, C.; Branchu, P. Mapping the land use history for protection of soils in urban planning: What reliable scales in time and space? J. Soils Sediments 2015, 15, 1687–1704. [Google Scholar] [CrossRef]
- Rahmonov, O.; Sobala, M.; Środek, D.; Karkosz, D.; Pytel, S.; Rahmonov, M. The spatial distribution of potentially toxic elements in the mountain forest topsoils (the Silesian Beskids, southern Poland). Sci. Rep. 2024, 14, 338. [Google Scholar] [CrossRef] [PubMed]
- Cukrov, N.; Cindric, A.M.; Omanovic, D.; Cukrov, N. Spatial Distribution, Ecological Risk Assessment, and Source Identification of Metals in Sediments of the Krka River (Croatia). Sustainability 2024, 16, 1800. [Google Scholar] [CrossRef]
- Li, C.; Li, M.; Yuan, S.; Luo, X.; Wu, C.; Xue, S. Migration and distribution characteristics of soil heavy metal(loid)s at a lead smelting site. J. Environ. Sci. 2024, 135, 600–609. [Google Scholar] [CrossRef]
- Shi, H.; Wang, S.; Xu, X.; Huang, L.; Gu, Q.; Liu, H. Spatial distribution and risk assessment of heavy metal pollution from enterprises in China. J. Hazard. Mat. 2024, 480, 136–147. [Google Scholar] [CrossRef]
- Adelusi, O.A.; Oladeji, O.M.; Gbashi, S.; Njobeh, P.B. Influence of geographical location on the distribution of heavy metals in dairy cattle feeds sourced from two South African provinces. Food Sci. Nutr. 2024, 12, 4223–4232. [Google Scholar] [CrossRef]
- Tiabou, A.F.; Takem-Agbor, A.A.; Yiika, L.P.; Mengu, E.E.; Kachoueiyan, F.; Agyingi, C.M. Distribution, source apportionment and ecological risk assessment of heavy metals in Limbe River sediments, Atlantic Coast, Cameroon Volcanic Line. Discov. Wat. 2024, 4, 62. [Google Scholar] [CrossRef]
- Hou, D.; Jia, X.; McGrath, S.P.; Zhu, Y.G.; Hu, Q.; Zhao, F.J.; Bank, M.S.; O’Connor, D.; Nriagu, J. Global soil pollution by toxic metals threatens agriculture and human health. Science 2025, 388, 316–321. [Google Scholar] [CrossRef]
- Swain, C.K. Environmental pollution indices: A review on concentration of heavy metals in air, water, and soil near industrialization and urbanisation. Discov. Environ. 2024, 2, 5. [Google Scholar] [CrossRef]
- Fedeli, R.; Di Lella, L.A.; Loppi, S. Suitability of XRF for Routine Analysis of Multi-Elemental Composition: A Multi-Standard Verification. Methods Protoc. 2024, 7, 53. [Google Scholar] [CrossRef]
- Tamfuh, P.A.; Ibrahim, A.; Chotangui, A.H.; Chou, C.G.; Ngonjang, L.W.; Mfouapon, H.Y.; Moundjeu, E.D.; Kabeyene, V.K.; Bitom, D. Fertilizing Potential of Basalt and Granite Fines for Vigna unguiculata Production and Residual Effect on Telfaira occidentalis Perfomance in the Cameroon Western Highlands. Int. J. Earth Sci. Knowl. Appl. 2022, 4, 395–406. [Google Scholar]
- IUSS Working Group WRB. World Reference Base for Soil Resources. International Soil Classification System for Naming Soils and Creating Legends for Soil Maps, 4th ed.; International Union of Soil Sciences (IUSS): Vienna, Austria, 2022. [Google Scholar]
- Mba, F.F.; Temgoua, E.; Kengne, P.D.; et Kamhoua, N.S. Vulnérabilité des eaux souterraines à la pollution dans la ville de Dschang, Ouest-Cameroun. Int. J. Biol. Chem. Sci. 2019, 13, 39–56. [Google Scholar] [CrossRef]
- Moundjeu, É.D.; Temgoua, É.; Tamfuh, P.A.; Guepi, J.; Kabiwa, J.P.; Wouatong, A.S.; Bitom, D. Characteristics, Fertility Status and Fertility Capability Classification of Steep Slope Soils of the Dschang Cliff (Cameroon Western Highlands). J. Geosci. Environ. Prot. 2021, 9, 164–179. [Google Scholar] [CrossRef]
- Efeno, L.L.; Tamfuh, P.A.; Kome, G.K.; Ibrahim, A.; Enang, R.K.; Wouatong, A.S. Soil Characteristics, Taxonomy and land suitability of a lateritic Mantle for rain-fed maize (Zea mays) Agriculture in the Cameroon Western Highlands. Afr. J. Agric. Res. 2025, 21, 147–161. [Google Scholar] [CrossRef]
- Villanneau, E.; Perry-Giraud, C.; Saby, N.; Jolivet, C.; Marot, F.; Maton, D.; Floch-Barneaud, A.; Antoni, V.; Arouays, D. Détection des valeurs anomaliques d’éléments traces métalliques dans les sols à l’aide du Réseau de Mesure de la Qualité des Sols. Étude Gest. Sols 2008, 15, 183–200. [Google Scholar]
- Tukey, J.W. Exploratory Data Analysis; Addison-wesley: Reading, MA, USA, 1977; Volume 2, pp. 131–160. [Google Scholar]
- Duigou, N.; Baize, D.; Bispo, A. Utilisation de la base de données BDETM pour obtenir des valeurs de références locales en Éléménets Traces Métalliques. Cas Région Cent. Étude Gest. Sols 2011, 18, 91–108. [Google Scholar]
- ARS. Aménager un Jardin Collectif; Direction de la Santé Publique: Paris, France, 2022. [Google Scholar]
- Douay, F.; Pruvot, C.; Roussel, H.; Ciesielski, H.; Fourrier, H.; Proix, N.; Waterlot, C. Contamination of Urban Soils in an Area of Northern France Polluted by Dust Emissions of Two Smelters. Water Air Soil Pollut. 2008, 188, 247–260. [Google Scholar] [CrossRef]
- Olafisoye, O.B.; Adefioye, T.; Osibote, O.A. Heavy Metals Contamination of Water, Soil, and Plants around an Electronic Waste Dumpsite. Orig. Res. 2013, 22, 1431–1439. [Google Scholar]
- Jean-Soro, L.; Le Guern, C.; Bechet, B.; Lebeau, T.; Ringeard, M.F. Origin of trace elements in an urban garden in Nantes, France. J. Soils Sediments 2015, 15, 1802–1812. [Google Scholar] [CrossRef]
- Hodomihou, N.R.; Feder, F.; Masse, D.; Kossi, E.; Amadji, G.L.; Ndour-Badiane, Y.; Doelsch, E. Diagnostic de contamination des agrosystèmes périurbains de Dakar par les éléments traces métalliques. Agron. Société Environ. 2016, 20, 397–407. [Google Scholar] [CrossRef]
- Ibrahim, O.Z.; Dan-Badjo, A.T.; Guero, Y.; Idi, F.M.M.; Feidt, C.; Steckerman, T.; Echevarria, G. Distribution spatiale des éléments traces métalliques dans les sols de la zone aurifère de Komabangou au Niger. Int. J. Biol. Chem. Sci. 2019, 13, 557–573. [Google Scholar] [CrossRef]
- Ekenguele, L.; Mabrey, S.; Zo’o, P. Evaluation de la contamination métallique des sols exposés à l’incinération des pneus d’automobiles dans la ville de Ngaoundéré (Cameroun). J. Mat. Environ. Sci. 2016, 12, 4633–4645. [Google Scholar]
- Bouquet, D.; Braud, A.; Lebeau, T. Brassica juncea tested on urban soils moderately contaminated by lead: Origin of contamination and effect of chelates. Int. J. Phytoremediat. 2017, 19, 425–430. [Google Scholar] [CrossRef]
- Austruy, A.; Dron, J.; Charbonnier, E.; Babaguela, N.; Miche, H.; Keller, C.; Chamaret, P. Teneurs naturelles et apports anthropiques en éléments traces dans les sols à l’ouest de l’étang de Berre. Étude Gest. Sols 2016, 23, 125–142. [Google Scholar]
- Diop, T.; Diarra, A.; Diallo, M.A.; Dione, M.M.; Diop, A. Impact d’une décharge urbaine sur la contamination métallique des sols: Cas de la décharge de Mbeubeuss (Dakar). Int. J. Biol. Chem. Sci. 2022, 16, 2992–3002. [Google Scholar] [CrossRef]
- Angon, P.B.; Islam, S.M.; Das, A.; Anjum, N.; Poudel, A.; Suchi, S.A. Sources, effects and present perspectives of heavy metals contamination: Soil, plants and human food chain. Heliyon 2024, 10, 28357. [Google Scholar] [CrossRef]
- Kravchenko, E.; Minkina, T.; Mandzhieva, S.; Bauer, T.; Lacynnik, E.; Ong, M.H.; Nazarenko, O. Ecological and health risk assessments of heavy metal contamination in soils surrounding a coal power plant. J. Hazard. Mater. 2025, 484, 136751. [Google Scholar] [CrossRef] [PubMed]
- Atiemo, S.M.; Ofosu, F.G.; Aboh, I.J.; Kuranchie-Mensah, H. Assessing the Heavy Metals Contamination of Surface Dust from Waste Electrical and Electronic Equipment (E-waste) Recycling Site in Accra, Ghana. Res. J. Environ. Earth Sci. 2012, 4, 605–611. [Google Scholar]
- Oguchi, M.; Sakanakura, H.; Terazono, A. Toxic metals in WEEE: Characterization and substance flow analysis in waste treatment processes. Sci. Total Environ. 2013, 463, 1124–1132. [Google Scholar] [CrossRef] [PubMed]
- Wei, J.; Li, H.; Liu, J. Heavy metal pollution in the soil around municipal solid waste incinerators and its health risks in China. Environ. Res. 2022, 203, 111871. [Google Scholar] [CrossRef] [PubMed]
- Xin, S.Z.; Li, H.F.; Su, D.C. Concentration characteristics and historical changes of heavy metals in irrigation sewage in China. J. Agro-Environ. Sci. 2011, 30, 2271–2278. [Google Scholar]
- Alengebawy, A.; Abdelkhalek, S.T.; Qureshi, S.R.; Wang, M.Q. Heavy Metals and Pesticides Toxicity in Agricultural Soil and Plants: Ecological Risks and Human Health Implications. Toxics 2021, 9, 42. [Google Scholar] [CrossRef]
- Tindwa, H.J.; Singh, B.R. Soil pollution and agriculture in sub-Saharian Africa: State of the knowledge and remediation technologies. Front. Soil Sci. 2023, 2, 1101944. [Google Scholar] [CrossRef]
- Wang, X.; Liu, W.; Li, Z.; Teng, Y.; Christie, P.; Luo, Y. Effects of Long-Term Fertilizer Applications on Peanut Yield and Quality and on Plant and Soil Heavy Metal Accumulation. Pedosphere 2017, 30, 555–562. [Google Scholar] [CrossRef]
- Baize, D.; Paquereau, H. Teneurs totales en éléments traces dans les sols de Seine-et-Marne. Etude Gest. Sols 1997, 4, 77–94. [Google Scholar]
- Ahogle, A.M.; Letema, S.; Schaab, G.; Ngure, V.; Mwesigye, A.; Korir, N. Heavy metals and trace elements contamination risks in peri-urban agricultural soils in Nairobi city catchment, Kenya. Front. Soil Sci. 2023, 2, 1048057. [Google Scholar] [CrossRef]
- Hini, G.; Eziz, M.; Wang, W.; Ili, A.; Li, X. Spatial distribution, contamination levels, sources, and potential health risk assessment of trace elements in street dusts of Urumqi city, NW China. Hum. Ecol. Risk Assess. Int. J. 2019, 26, 2112–2128. [Google Scholar] [CrossRef]
- Deng, W.; Liu, W.; Li, X.; Yang, Y. Source apportionment of and potential health risks posed by trace elements in agricultural soils: A case study of the Guanzhong Plain, northwest China. Chemosphere 2020, 258, 127317. [Google Scholar] [CrossRef]
- Taati, A.; Salehi, M.H.; Mohammadi, J.; Mohajer, R.; DÍez, S. Pollution assessment and spatial distribution of trace elements in soils of Arak industrial area, Iran: Implications for human health. Environ. Res. 2020, 187, 109577. [Google Scholar] [CrossRef]
- Gama, M.S.; Portela, L.; Patinha, C.; Durães, N. Assessing trace elements in soils and rice: Insights from the Baixo Vouga Lagunar (Portugal). Environ. Geochem. Health 2025, 47, 96. [Google Scholar] [CrossRef] [PubMed]
- Pelfrêne, A.; Douay, F.; Richard, A.; Roussel, H.; Girondelot, B. Assessment of potential health risk for inhabitants living near a former lead smelter. Part 2: Site-specific human health risk assessment of Cd and Pb contamination in kitchen gardens. Environ. Monit. Assess. 2013, 185, 2999–3012. [Google Scholar] [CrossRef] [PubMed]
- Hossain, M.; Patra, P.K. Contamination zoning and health risk assessment of trace elements in groundwater through geostatistical modelling. Ecotoxicol. Environ. Saf. 2020, 189, 110038. [Google Scholar] [CrossRef] [PubMed]
- Le Guern, C.; Jean-Soro, L.; Béchet, B.; Lebeau, T.; Bouquet, D. Management initiatives in support of the soil quality of urban allotment gardens: Examples from Nantes (France). Land Degrad. Dev. 2018, 29, 3681–3692. [Google Scholar] [CrossRef]








| Trace Element | FCRV | OCRV |
|---|---|---|
| mg kg−1 of Dry Soil | ||
| As | 13 | 25 |
| Cd | 0.5 | 2 |
| Cr | 65 | 128 |
| Cu | 28 | 67 |
| Ni | 31 | 67 |
| Pb | 54 | 100 |
| Zn | 88 | 195 |
| Control (n = 2) | AP (n = 14) | AL (n = 15) | UD (n = 29) | MRA (n = 11) | ||
|---|---|---|---|---|---|---|
| mg kg−1 of Dry Soil | ||||||
| As | Min | <LQ * | 0 | 0 | 0 | 0 |
| Mean | <LQ * | 2.1 b | 2.9 b | 2.8 b | 8.2 a | |
| Max | <LQ * | 5.4 | 7.2 | 10.9 | 24.4 | |
| Cd | Min | <LQ * | 0 | 0 | 0 | 0 |
| Mean | <LQ * | <LQ * | <LQ * | 0.5 | <LQ * | |
| Max | <LQ * | 0 | 0 | 13.6 | 0 | |
| Cr | Min | 63.3 | 22.5 | 9.2 | 32.7 | 107.2 |
| Mean | 72.5 b | 86.8 b | 109.3 b | 123.6 b | 213.7 a | |
| Max | 81.7 | 110.3 | 256.3 | 357.4 | 576.0 | |
| Cu | Min | 16.8 | 12.4 | 7.1 | 8.8 | 25.6 |
| Mean | 22.1 b | 28.3 b | 21.2 b | 57.9 b | 201.8 a | |
| Max | 2.7 | 33.6 | 49.5 | 328.9 | 719.7 | |
| Ni | Min | 20.7 | 11.3 | 4.7 | 9.4 | 0 |
| Mean | 22.5 a | 27.2 a | 25.4 a | 22.5 a | 26.3 a | |
| Max | 24.4 | 34.6 | 42.3 | 41.3 | 60.1 | |
| Pb | Min | 25.7 | 9.3 | 5.1 | 8.2 | 0 |
| Mean | 27.8 b | 21.7 b | 19.4 b | 34.3 b | 97.4 a | |
| Max | 29.8 | 36.0 | 45.3 | 137.8 | 355.9 | |
| Zn | Min | 35.9 | 31.7 | 34.2 | 40.2 | 104.4 |
| Mean | 40.2 b | 84.1 b | 68.8 b | 289.3 b | 838.0 a | |
| Max | 44.5 | 112.1 | 173.8 | 3238.2 | 2319.8 | |
| Zn/Pb | 1.4 | 3.9 | 3.5 | 8.4 | 8.6 | |
| Trace Element | Upper Whisker |
|---|---|
| As | 10.25 |
| Cd | 0 |
| Cr | 226.30 |
| Cu | 72.88 |
| Ni | 41.28 |
| Pb | 74.87 |
| Zn | 285.03 |
Disclaimer/Publisher’s Note: The statements, opinions and data contained in all publications are solely those of the individual author(s) and contributor(s) and not of MDPI and/or the editor(s). MDPI and/or the editor(s) disclaim responsibility for any injury to people or property resulting from any ideas, methods, instructions or products referred to in the content. |
© 2025 by the authors. Licensee MDPI, Basel, Switzerland. This article is an open access article distributed under the terms and conditions of the Creative Commons Attribution (CC BY) license (https://creativecommons.org/licenses/by/4.0/).
Share and Cite
Lekemo, D.; Lebeau, T.; Amani, I.; Kenne, E.R.; Tsafack, H.N.; Gaudin, P.; Temgoua, É. Geostatistical and Food Risk Assessment of Soils Contaminated by Trace Elements in the City of Dschang (Cameroon). Urban Sci. 2025, 9, 467. https://doi.org/10.3390/urbansci9110467
Lekemo D, Lebeau T, Amani I, Kenne ER, Tsafack HN, Gaudin P, Temgoua É. Geostatistical and Food Risk Assessment of Soils Contaminated by Trace Elements in the City of Dschang (Cameroon). Urban Science. 2025; 9(11):467. https://doi.org/10.3390/urbansci9110467
Chicago/Turabian StyleLekemo, Denis, Thierry Lebeau, Innocent Amani, Emmanuel Rodrigue Kenne, Honorine Ntangmo Tsafack, Pierre Gaudin, and Émile Temgoua. 2025. "Geostatistical and Food Risk Assessment of Soils Contaminated by Trace Elements in the City of Dschang (Cameroon)" Urban Science 9, no. 11: 467. https://doi.org/10.3390/urbansci9110467
APA StyleLekemo, D., Lebeau, T., Amani, I., Kenne, E. R., Tsafack, H. N., Gaudin, P., & Temgoua, É. (2025). Geostatistical and Food Risk Assessment of Soils Contaminated by Trace Elements in the City of Dschang (Cameroon). Urban Science, 9(11), 467. https://doi.org/10.3390/urbansci9110467

