Pivot Step Jump: A New Test for Evaluating Jumping Ability in Young Basketball Players
Abstract
1. Introduction
2. Materials and Methods
2.1. Experimental Approach to the Problem
2.2. Participants
2.3. Experimental Procedure
2.4. Statistical Analysis
3. Results
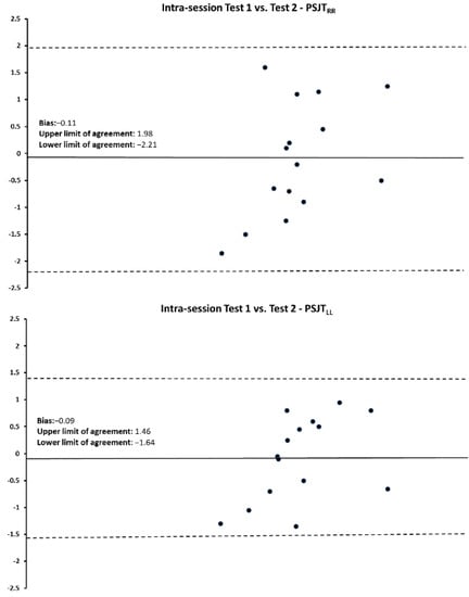
3.1. PSJT Reliability
3.2. PSJT Validity
4. Discussion
5. Conclusions
Author Contributions
Funding
Institutional Review Board Statement
Informed Consent Statement
Data Availability Statement
Conflicts of Interest
References
- Cabarkapa, D.; Eserhaut, D.A.; Fry, A.C.; Cabarkapa, D.V.; Philipp, N.M.; Whiting, S.M.; Downey, G.G. Relationship between Upper and Lower Body Strength and Basketball Shooting Performance. Sports 2022, 10, 139. [Google Scholar] [CrossRef] [PubMed]
- Pehar, M.; Sekulic, D.; Sisic, N.; Spasic, M.; Uljevic, O.; Krolo, A.; Milanovic, Z.; Sattler, T. Evaluation of different jumping tests in defining position-specific and performance-level differences in high level basketball players. Biol. Sport. 2017, 34, 263–272. [Google Scholar] [CrossRef] [PubMed]
- Ziv, G.; Lidor, R. Vertical jump in female and male basketball players: A review of observational and experimental studies. J. Sci. Med. Sport. 2010, 13, 332–339. [Google Scholar] [CrossRef] [PubMed]
- Ghiţescu, I.G.; Tudor, V.; Moanţă, A.D. Study on the development of vertical jumping force in U18 junior basketball players. Proc. Soc. Behav. Sci. 2014, 117, 55–59. [Google Scholar] [CrossRef][Green Version]
- Morrison, M.; Martin, D.T.; Talpey, S.; Scanlan, A.T.; Delaney, J.; Halson, S.L.; Weakley, J. A systematic review on fitness testing in adult male basketball players: Tests adopted, characteristics reported and recommendations for practice. Sport. Med. 2022, 52, 1491–1532. [Google Scholar] [CrossRef]
- Ostojic, S.M.; Mazic, S.; Dikic, N. Profiling in basketball: Physical and physiological characteristics of elite players. J. Strength Cond. Res. 2006, 20, 740–744. [Google Scholar] [CrossRef]
- Puente, C.; Abián-Vicén, J.; Areces, F.; López, R.; Del Coso, J. Physical and physiological demands of experienced male basketball players during a competitive game. J. Strength Cond. Res. 2017, 31, 956–962. [Google Scholar] [CrossRef]
- Gerodimos, V.; Zafeiridis, A.; Perkos, S.; Dipla, K.; Manou, V.; Kellis, S. The contribution of stretch-shortening cycle and arm-swing to vertical jumping performance in children, adolescents, and adult basketball players. Ped. Exerc. Sci. 2008, 20, 379–389. [Google Scholar] [CrossRef]
- Harman, E.A.; Rosenstein, M.T.; Frykman, P.N.; Rosenstein, R.M.; Kraemer, W.J. Estimation of human power output from vertical jump. J. Strength Cond. Res. 1991, 5, 116–120. [Google Scholar]
- Hoffman, J.R.; Kang, J.I.E. Evaluation of a new anaerobic power testing system. J. Strength Cond. Res. 2002, 16, 142–148. [Google Scholar]
- Feltner, M.E.; Fraschetti, D.J.; Crisp, R.J. Upper extremity augmentation of lower extremity kinetics during countermovement vertical jumps. J. Sport. Sci. 1999, 17, 449–466. [Google Scholar] [CrossRef] [PubMed]
- Hara, M.; Shibayama, A.; Takeshita, D.; Hay, D.C.; Fukashiro, S. A comparison of the mechanical effect of arm swing and countermovement on the lower extremities in vertical jumping. Hum. Mov. Sci. 2008, 27, 636–648. [Google Scholar] [CrossRef] [PubMed]
- Lees, A.; Vanrenterghem, J.; De Clercq, D. Understanding how an arm swing enhances performance in the vertical jump. J. Biomech. 2004, 37, 1929–1940. [Google Scholar] [CrossRef] [PubMed]
- Chalitsios, C.; Nikodelis, T.; Panoutsakopoulos, V.; Chassanidis, C.; Kollias, I. Classification of soccer and basketball players’ jumping performance characteristics: A logistic regression approach. Sports 2019, 7, 163. [Google Scholar] [CrossRef] [PubMed]
- Kollias, I.; Panoutsakopoulos, V.; Papaiakovou, G. Comparing jumping ability among athletes of various sports: Vertical drop jumping from 60 centimeters. J. Strength Cond. Res. 2004, 18, 546–550. [Google Scholar]
- Laffaye, G.; Bardy, B.G.; Durey, A. Leg stiffness and expertise in men jumping. Med. Sci. Sport. Exerc. 2005, 37, 536–543. [Google Scholar] [CrossRef] [PubMed]
- Laffaye, G.; Bardy, B.G.; Durey, A. Principal component structure and sport-specific differences in the running one-leg vertical jump. Int. J. Sport. Med. 2007, 28, 420–425. [Google Scholar] [CrossRef]
- Panoutsakopoulos, V.; Karagianni, O.; Papaiakovou, G.; Kollias, I. Comparing drop jumping ability among elite female athletes from various sports. J. Hum. Mov. Stud. 2003, 45, 313–326. [Google Scholar]
- Panoutsakopoulos, V.; Papachatzis, N.; Kollias, I.A. Sport specificity background affects the principal component structure of vertical squat jump performance of young adult female athletes. J. Sport Health Sci. 2014, 3, 239–247. [Google Scholar] [CrossRef]
- Rauch, J.; Leidersdorf, E.; Reeves, T.; Borkan, L.; Elliott, M.; Ugrinowitsch, C. Different movement strategies in the countermovement jump amongst a large cohort of NBA players. Int. J. Environ. Res. Public Health 2020, 17, 6394. [Google Scholar] [CrossRef]
- Struzik, A.; Pietraszewski, B.; Zawadzki, J. Biomechanical analysis of the jump shot in basketball. J. Hum. Kinet. 2014, 42, 73–79. [Google Scholar] [CrossRef] [PubMed]
- Rodríguez-Rosell, D.; Mora-Custodio, R.; Franco-Márquez, F.; Yáñez-García, J.M.; González-Badillo, J.J. Traditional vs. sport-specific vertical jump tests: Reliability, validity, and relationship with the legs strength and sprint performance in adult and teen soccer and basketball players. J. Strength Cond. Res. 2017, 31, 196–206. [Google Scholar] [CrossRef] [PubMed]
- Currell, K.; Jeukendrup, A.E. Validity, reliability and sensitivity of measures of sporting performance. Sport. Med. 2008, 38, 297–316. [Google Scholar] [CrossRef] [PubMed]
- Gál-Pottyondy, A.; Petró, B.; Czétényi, A.; Négyesi, J.; Nagatomi, R.; Kiss, R.M. Collection and advice on basketball field tests—A literature review. Appl. Sci. 2021, 11, 8855. [Google Scholar] [CrossRef]
- Delextrat, A.; Cohen, D. Strength, power, speed, and agility of women basketball players according to playing position. J. Strength Cond. Res. 2009, 23, 1974–1981. [Google Scholar] [CrossRef]
- Clemente, F.M.; Praça, G.; Oliveira, R.; Aquino, R.; Araújo, R.; Silva, R.; Sarmento, H.; Afonso, J. A systematic review of the criterion validity and reliability of technical and tactical field-based tests in soccer. Int. J. Sport. Sci. Coach. 2022, 17, 1462–1487. [Google Scholar] [CrossRef]
- Koopmann, T.; Faber, I.; Baker, J.; Schorer, J. Assessing technical skills in talented youth athletes: A systematic review. Sport. Med. 2020, 50, 1593–1611. [Google Scholar] [CrossRef]
- Clemons, J.M.; Campbell, B.; Jeansonne, C. Validity and reliability of a new test of upper body power. J. Strength Cond. Res. 2010, 24, 1559–1565. [Google Scholar] [CrossRef]
- Clemons, J.; Harrison, M. Validity and reliability of a new stair sprinting test of explosive power. J. Strength Cond. Res. 2008, 22, 1578–1583. [Google Scholar] [CrossRef]
- Carter, J.E.L.; Heath, B.H. Somatotyping: Development and Applications; Cambridge University Press: New York, NY, USA, 1990. [Google Scholar]
- Moore, S.A.; McKay, H.A.; Macdonald, H.; Nettlefold, L.; Baxter-Jones, A.D.; Cameron, N.; Brasher, P.M. Enhancing a somatic maturity prediction model. Med. Sci. Sport. Exerc. 2015, 47, 1755–1764. [Google Scholar] [CrossRef]
- Linthorne, N.P. Analysis of standing vertical jumps using a force platform. Am. J. Phys. 2001, 69, 1198–1204. [Google Scholar] [CrossRef]
- Glatthorn, J.F.; Gouge, S.; Nussbaumer, S.; Stauffacher, S.; Impellizzeri, F.M.; Maffiuletti, N.A. Validity and reliability of Optojump photoelectric cells for estimating vertical jump height. J. Strength Cond. Res. 2011, 25, 556–560. [Google Scholar] [CrossRef] [PubMed]
- Zifchock, R.A.; Davis, I.; Higginson, J.; Royer, T. The symmetry angle: A novel, robust method of quantifying asymmetry. Gait Posture 2008, 27, 622–627. [Google Scholar] [CrossRef]
- Wu, W.L.; Wu, J.H.; Lin, H.T.; Wang, G.J. Biomechanical analysis of the standing long jump. Biomed. Eng. 2003, 15, 186–192. [Google Scholar] [CrossRef]
- Fleiss, J.L. The Design and Analysis of Clinical Experiments; John Wiley & Sons, Inc.: New York, NY, USA, 1986. [Google Scholar] [CrossRef]
- Weir, J.P. Quantifying test-retest reliability using the intraclass correlation coefficient and the SEM. J. Strength Cond. Res. 2005, 19, 231–240. [Google Scholar] [CrossRef]
- Erculj, F.; Blas, M.; Bracic, M. Physical demands on young elite European female basketball players with special reference to speed, agility, explosive strength, and take-off power. J. Strength Cond. Res. 2010, 24, 2970–2978. [Google Scholar] [CrossRef]
- Duncan, M.J.; Lyons, M.; Nevill, A.M. Evaluation of peak power prediction equations in male basketball players. J. Strength Cond. Res. 2008, 22, 1379–1381. [Google Scholar] [CrossRef]
- Markovic, G.; Dizdar, D.; Jukic, I.; Cardinale, M. Reliability and factorial validity of squat and countermovement jump tests. J. Strength Cond. Res. 2004, 18, 551–555. [Google Scholar]
- Moir, G.; Shastri, P.; Connaboy, C. Intersession reliability of vertical jump height in women and men. J. Strength Cond. Res. 2008, 22, 1779–1784. [Google Scholar] [CrossRef]
- Doyle, T.L.; Newton, R.U.; Burnett, A.F. Reliability of traditional and fractal dimension measures of quiet stance center of pressure in young, healthy people. Arch. Phys. Med. Rehabil. 2005, 86, 2034–2040. [Google Scholar] [CrossRef]
- Pinsault, N.; Vuillerme, N. Test–retest reliability of centre of foot pressure measures to assess postural control during unperturbed stance. Med. Eng. Phys. 2009, 31, 276–286. [Google Scholar] [CrossRef] [PubMed]
- McCormick, B.T.; Hannon, J.C.; Newton, M.; Shultz, B.; Detling, N.; Young, W.B. The effects of frontal-and sagittal-plane plyometrics on change-of-direction speed and power in adolescent female basketball players. Int. J. Sport. Physiol. Perform. 2016, 11, 102–107. [Google Scholar] [CrossRef] [PubMed]
- Komi, P.V. Stretch-shortening cycle: A powerful model to study normal and fatigued muscle. J. Biomech. 2000, 33, 1197–1206. [Google Scholar] [CrossRef] [PubMed]
- Watkins, C.M.; Barillas, S.R.; Wong, M.A.; Archer, D.C.; Dobbs, I.J.; Lockie, R.G.; Coburn, J.W.; Tran, T.T.; Brown, L.E. Determination of vertical jump as a measure of neuromuscular readiness and fatigue. J. Strength Cond. Res. 2017, 31, 3305–3310. [Google Scholar] [CrossRef]
- Heishman, A.D.; Daub, B.D.; Miller, R.M.; Freitas, E.D.; Frantz, B.A.; Bemben, M.G. Countermovement jump reliability performed with and without an arm swing in NCAA division 1 intercollegiate basketball players. J. Strength Cond. Res. 2020, 34, 546–558. [Google Scholar] [CrossRef] [PubMed]
- Slinde, F.; Suber, C.; Suber, L.; Edwén, C.E.; Svantesson, U. Test-retest reliability of three different countermovement jumping tests. J. Strength Cond. Res. 2008, 22, 640–644. [Google Scholar] [CrossRef]
- Vaverka, F.; Jandačka, D.; Zahradník, D.; Uchytil, J.; Farana, R.; Supej, M.; Vodičar, J. Effect of an arm swing on countermovement vertical jump performance in elite volleyball players. J. Hum. Kinet. 2016, 53, 41–50. [Google Scholar] [CrossRef]
- Walsh, M.S.; Böhm, H.; Butterfield, M.M.; Santhosam, J. Gender bias in the effects of arms and countermovement on jumping performance. J. Strength Cond. Res. 2007, 21, 362–366. [Google Scholar] [CrossRef]
- Domire, Z.J.; Challis, J.H. An induced energy analysis to determine the mechanism for performance enhancement as a result of arm swing during jumping. Sport. Biomech. 2010, 9, 38–46. [Google Scholar] [CrossRef]
- Giatsis, G.; Panoutsakopoulos, V.; Kollias, I.A. Biomechanical differences of arm swing countermovement jumps on sand and rigid surface performed by elite beach volleyball players. J. Sport. Sci. 2018, 36, 997–1008. [Google Scholar] [CrossRef]
- Heishman, A.; Daub, B.; Miller, R.; Brown, B.; Freitas, E.; Bemben, M. Countermovement jump inter-limb asymmetries in collegiate basketball players. Sports 2019, 7, 103. [Google Scholar] [CrossRef] [PubMed]
- Struzik, A.; Winiarski, S.; Zawadzki, J. Inter-limb asymmetry of leg stiffness in national second-league basketball players during countermovement jumps. Symmetry 2022, 14, 440. [Google Scholar] [CrossRef]
- Korff, T.; Horne, S.L.; Cullen, S.J.; Blazevich, A.J. Development of lower limb stiffness and its contribution to maximum vertical jumping power during adolescence. J. Exp. Biol. 2009, 212, 3737–3742. [Google Scholar] [CrossRef] [PubMed]
- Bailey, C.; Sato, K.; Alexander, R.; Chiang, C.Y.; Stone, M.H. Isometric force production symmetry and jumping performance in collegiate athletes. J. Trainology 2013, 2, 1–5. [Google Scholar] [CrossRef] [PubMed]
- Bell, D.R.; Sanfilippo, J.L.; Binkley, N.; Heiderscheit, B.C. Lean mass asymmetry influences force and power asymmetry during jumping in collegiate athletes. J. Strength Cond. Res. 2014, 28, 884–891. [Google Scholar] [CrossRef] [PubMed]
- Bishop, C.; Read, P.; Chavda, S.; Turner, A. Asymmetries of the lower limb: The calculation conundrum in strength training and conditioning. Strength Cond. J. 2016, 38, 27–32. [Google Scholar] [CrossRef]
- Pérez-Castilla, A.; García-Ramos, A.; Janicijevic, D.; Delgado-García, G.; De la Cruz, J.C.; Rojas, F.J.; Cepero, M. Between-session reliability of performance and asymmetry variables obtained during unilateral and bilateral countermovement jumps in basketball players. PLoS ONE 2021, 16, e0255458. [Google Scholar] [CrossRef]
- Šarabon, N.; Smajla, D.; Maffiuletti, N.A.; Bishop, C. Strength, jumping and change of direction speed asymmetries in soccer, basketball and tennis players. Symmetry 2020, 12, 1664. [Google Scholar] [CrossRef]
- Kozinc, Ž.; Šarabon, N. Bilateral deficit in countermovement jump and its association with change of direction performance in basketball and tennis players. Sport. Biomech. 2021; 1–14, in press. [Google Scholar] [CrossRef]
- Wen, N.; Dalbo, V.J.; Burgos, B.; Pyne, D.B.; Scanlan, A.T. Power testing in basketball: Current practice and future recommendations. J. Strength Cond. Res. 2018, 32, 2677–2691. [Google Scholar] [CrossRef]
- Bishop, C.; Read, P.; Lake, J.; Chavda, S.; Turner, A. Interlimb asymmetries: Understanding how to calculate differences from bilateral and unilateral tests. Strength Cond. J. 2018, 40, 1–6. [Google Scholar] [CrossRef]
- Walsh, M.S.; Waters, J.A.; Böhm, H.; Potteiger, J.A. Gender bias in jumping kinetics in national collegiate athletic association division I basketball players. J. Strength Cond. Res. 2007, 21, 958–962. [Google Scholar] [CrossRef] [PubMed]
- te Wierike, S.C.M.; Elferink-Gemser, M.T.; Tromp, E.J.Y.; Vaeyens, R.; Visscher, C. Role of maturity timing in selection procedures and in the specialisation of playing positions in youth basketball. J. Sport. Sci. 2015, 33, 337–345. [Google Scholar] [CrossRef] [PubMed]
- Torres-Unda, J.; Zarrazquin, I.; Gil, J.; Ruiz, F.; Irazusta, A.; Kortajarena, M.; Seco, J.; Irazusta, J. Anthropometric, physiological and maturational characteristics in selected elite and non-elite male adolescent basketball players. J. Sport. Sci. 2013, 31, 196–203. [Google Scholar] [CrossRef]





| Group | Body Height (cm) | Body Mass (kg) | Body Mass Index (kg/m2) |
|---|---|---|---|
| EGA (males; n = 15) | 170.26 ± 6.43 | 58.13 ± 7.69 | 20.05 ± 2.89 |
| EGB (females; n = 20) | 162.07 ± 5.48 | 59.29 ± 7.87 | 22.57 ± 2.63 |
| Group | Seated Height (cm) | Leg Length (cm) | Shin Length (cm) | Maturity Offset (yrs) |
|---|---|---|---|---|
| EGA (males; n = 15) | 87.57 ± 3.47 | 110.14 ± 4.21 | 45.46 ± 2.82 | 0.9 ± 0.4 |
| EGB (females; n = 20) | 84.95 ± 3.51 | 102.42 ± 4.05 | 41.67 ± 1.65 | 2.7 ± 0.3 |
| Test | PSJTLLEG (cm) | PSJTRLEG (cm) |
|---|---|---|
| Test 1 | 37.31 ± 6.09 | 36.97 ± 6.24 |
| Test 2 | 37.40 ± 5.71 | 37.02 ± 5.82 |
| Test 3 | 37.27 ± 5.90 | 37.12 ± 6.32 |
| Test 4 | 37.07 ± 5.82 | 36.91 ± 6.05 |
| Reliability Analysis | Intra-Session | Inter-Rater | Inter-Session | |||
|---|---|---|---|---|---|---|
| PSJTLLEG | PSJTRLEG | PSJTLLEG | PSJTRLEG | PSJTLLEG | PSJTRLEG | |
| ICC | 0.992 * | 0.981 * | 0.98 5 * | 0.978 * | 0.991 * | 0.983 * |
| 95% CI | 0.975–0.997 | 0.946–0.994 | 0.956–0.995 | 0.970–0.993 | 0.975–0.987 | 0.950–0.994 |
| SEM (cm) | 0.694 | 0.810 | 0.694 | 0.876 | 0.544 | 0.786 |
| CoV (%) | 1.384 | 2.190 | 1.859 | 2.364 | 1.463 | 2.124 |
| MD (cm) | 2.541 | 3.981 | 3.41 | 4.307 | 2.673 | 3.863 |
| MD (%) | 6.803 | 10.759 | 9.135 | 11.618 | 7.191 | 10.438 |
| Comparisons | F | p | R2 Adjusted |
|---|---|---|---|
| Intrasession Test1 vs. Test2—PSJTLLEG | (1,13) = 926.05 | <0.001 | 0.986 |
| Intrasession Test1 vs. Test2—PSJTRLEG | (1,13) = 360.06 | <0.001 | 0.963 |
| Interrater Test2 vs. Test3—PSJTLLEG | (1,13) = 406.73 | <0.001 | 0.967 |
| Interrater Test2 vs. Test3—PSJTRLEG | (1,13) = 319.17 | <0.001 | 0.958 |
| Intersession Test3 vs. Test4—PSJTLLEG | (1,13) = 731.99 | <0.001 | 0.981 |
| Intersession Test3 vs. Test4—PSJTRLEG | (1,13) = 370.75 | <0.001 | 0.964 |
| Test | Mean ± SD | 95% CI |
|---|---|---|
| CMJ (cm) | 23.04 ± 4.08 | 21.13–24.95 |
| CMJA (cm) | 26.64 ± 4.61 | 24.48–28.80 |
| ASINDEX (%) | 15.91 ± 7.24 | 12.51–19.29 |
| CMJRLEG (cm) | 11.48 ± 2.45 | 10.33–12.62 |
| CMJLLEG (cm) | 11.00 ± 2.39 | 9.87–12.12 |
| θSYM-CMJ (deg) | −1.46 ± 4.53 | −3.57–0.66 |
| PSJTRLEG (cm) | 25.46 ± 4.42 | 23.39–27.53 |
| PSJTLLEG (cm) | 25.22 ± 4.65 | 23.04–27.40 |
| θSYM-PSJT (deg) | −0.35 ± 2.40 | −1.47–0.77 |
| SLJ (cm) | 155.50 ± 25.47 | 143.57–167.42 |
| Test | CMJ r (p) | CMJA r (p) | CMJRLEG r (p) | CMJLLEG r (p) | SLJ r (p) | PSJRLEG r (p) | PSJLLEG r (p) |
|---|---|---|---|---|---|---|---|
| CMJ | - | 0.94 * (<0.001) | 0.92 * (<0.001) | 0.94 * (<0.001) | 0.68 * (0.031) | 0.85 * (0.002) | 0.83 * (0.003) |
| CMJA | 0.94 * (<0.001) | - | 0.79 * (<0.001) | 0.88 * (<0.001) | 0.64 * (0.003) | 0.92 * (<0.001) | 0.90 * (<0.001) |
| CMJRLEG | 0.92 * (<0.001) | 0.79 * (<0.001) | - | 0.80 * (<0.001) | 0.48 * (0.033) | 0.77 * (<0.001) | 0.74 * (<0.001) |
| CMJLLEG | 0.94 * (<0.001) | 0.88 * (<0.001) | 0.80 * (<0.001) | - | 0.53 * (0.016) | 0.83 * (<0.001) | 0.79 * (<0.001) |
| SLJ | 0.68 * (0.031) | 0.64 * (0.003) | 0.48 * (0.033) | 0.53 * (0.016) | - | 0.71 * (<0.001) | 0.81 * (<0.001) |
| PSJTRLEG | 0.85 * (0.002) | 0.92 * (<0.001) | 0.77 * (<0.001) | 0.83 * (<0.001) | 0.71 * (<0.001) | - | 0.93 * (<0.001) |
| PSJTLLEG | 0.83 * (0.003) | 0.90 * (<0.001) | 0.74 * (<0.001) | 0.79 * (<0.001) | 0.81 * (<0.001) | 0.93 * (<0.001) | - |
Publisher’s Note: MDPI stays neutral with regard to jurisdictional claims in published maps and institutional affiliations. |
© 2022 by the authors. Licensee MDPI, Basel, Switzerland. This article is an open access article distributed under the terms and conditions of the Creative Commons Attribution (CC BY) license (https://creativecommons.org/licenses/by/4.0/).
Share and Cite
Theodorou, A.S.; Rizou, H.-P.; Zacharakis, E.; Ktistakis, I.; Bekris, E.; Panoutsakopoulos, V.; Strouzas, P.; Bourdas, D.I.; Kostopoulos, N. Pivot Step Jump: A New Test for Evaluating Jumping Ability in Young Basketball Players. J. Funct. Morphol. Kinesiol. 2022, 7, 116. https://doi.org/10.3390/jfmk7040116
Theodorou AS, Rizou H-P, Zacharakis E, Ktistakis I, Bekris E, Panoutsakopoulos V, Strouzas P, Bourdas DI, Kostopoulos N. Pivot Step Jump: A New Test for Evaluating Jumping Ability in Young Basketball Players. Journal of Functional Morphology and Kinesiology. 2022; 7(4):116. https://doi.org/10.3390/jfmk7040116
Chicago/Turabian StyleTheodorou, Apostolos S., Hariklia-Parthenia Rizou, Emmanouil Zacharakis, Ioannis Ktistakis, Evangelos Bekris, Vassilios Panoutsakopoulos, Panagiotis Strouzas, Dimitrios I. Bourdas, and Nikolaos Kostopoulos. 2022. "Pivot Step Jump: A New Test for Evaluating Jumping Ability in Young Basketball Players" Journal of Functional Morphology and Kinesiology 7, no. 4: 116. https://doi.org/10.3390/jfmk7040116
APA StyleTheodorou, A. S., Rizou, H.-P., Zacharakis, E., Ktistakis, I., Bekris, E., Panoutsakopoulos, V., Strouzas, P., Bourdas, D. I., & Kostopoulos, N. (2022). Pivot Step Jump: A New Test for Evaluating Jumping Ability in Young Basketball Players. Journal of Functional Morphology and Kinesiology, 7(4), 116. https://doi.org/10.3390/jfmk7040116

