Coordinated Optimization of Multiple Reactive Power Sources for Transient Overvoltage Suppression for New Energy Sending-Out System
Abstract
1. Introduction
- A transient voltage analysis model for the equivalent sending end of renewable energy was established, leading to a mathematical expression that was devised to demonstrate the amplitude of transient overvoltage caused by AC faults.
- A transient overvoltage optimization model for the new energy transmission end, coordinated with multiple reactive power sources, was established, achieving optimization of reactive power source capacity and initial output configuration.
2. Materials and Methods
2.1. Equivalent Models for New Energy Delivery Systems
- Unipolar closure: dQ = 0.25 .
- Bipolar blocking: dQ = 0.5 PdN.
2.2. Calculation of Transient Overvoltage of Converter Station Busbars
2.3. Optimization Model
2.3.1. Optimization Objective
2.3.2. Constraints of the Multi-Active Power Source Optimization Model
- (1)
- Thermal power unit
- (2)
- Wind power unit
- (3)
- Photovoltaic unit
- (4)
- Energy storage unit
- (5)
- Power supply security and consumption guarantee constraint
- (6)
- Excitation generator output constraint
- (7)
- Static var generator (SVG) output constraint
- (8)
- Capacitor reactive power compensator
- (9)
- Network transmission constraints:
- (10)
- Transient overvoltage safety constraint
- (11)
- Optimization analysis of steady-state reactive power output
2.3.3. Algorithm for Solving
- (1)
- Transient overvoltage safety constraint
- (2)
- Crossover operator
- (3)
- TSM operator
- (3-1) For each chromosome, by assessing the magnitude of its randomly generated number against the mutation probability, if mutation is necessary, the chromosome should be used as the initial value for the tabu search algorithm.
- (3-2) Set the length of the tabu list, define the movement rules and candidate solution set, provide the aspiration level, and determine whether the stopping criterion for the tabu search has been met. If so, return to step (3-1); otherwise, perform neighborhood search based on the strategy of tabu search, select a solution, and update the tabu list.
- (3-3) Proceed to the next step with the updated population.
- (4)
- Selection operator
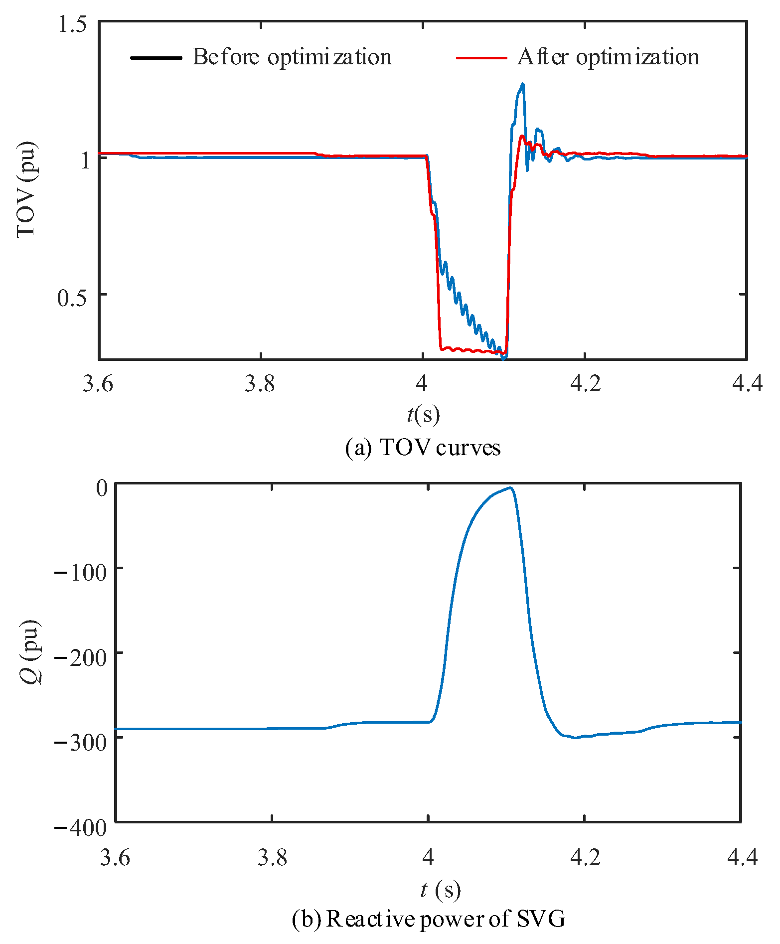
3. Results
4. Discussion
5. Conclusions
Author Contributions
Funding
Data Availability Statement
Conflicts of Interest
References
- Ghoddami, H.; Yazdani, A. A Mitigation Strategy for Temporary Overvoltage Caused by Grid-Connected Photovoltaic Systems. IEEE Trans. Energy Convers. 2015, 30, 413–420. [Google Scholar] [CrossRef]
- Ibrahim, T.; Rubira, T.T.D.; Rosso, A.D.; Patel, M.; Guggilam, S.; Mohamed, A.A. Alternating Optimization Approach for Voltage-Secure Multi-Period Optimal Reactive Power Dispatch. IEEE Trans. Power Syst. 2022, 37, 3805–3816. [Google Scholar] [CrossRef]
- Chen, L.; Deng, Z.; Xu, X. Two-Stage Dynamic Reactive Power Dispatch Strategy in Distribution Network Considering the Reactive Power Regulation of Distributed Generations. IEEE Trans. Power Syst. 2019, 34, 1021–1032. [Google Scholar] [CrossRef]
- Liu, J.H.; Cheng, J.S. Online Voltage Security Enhancement Using Voltage Sensitivity-Based Coherent Reactive Power Control in Multi-Area Wind Power Generation Systems. IEEE Trans. Power Syst. 2021, 36, 2729–2732. [Google Scholar] [CrossRef]
- Li, Z.; Zhao, F.; Munk-Nielsen, S.; Geske, M.; Wang, X. Analysis and Mitigation of Transient Overvoltage and Voltage Imbalance in Submodule Capacitors for MMC-Based Grid Emulators. IEEE J. Emerg. Sel. Top. Power Electron. 2024, 12, 5735–5749. [Google Scholar] [CrossRef]
- Wang, Q.; Yao, L.; Xu, J.; Zheng, Y.; Li, W.; Wang, W. Steady-state Voltage Security-constrained Optimal Frequency Control for Weak HVDC Sending-end AC Power Systems. J. Mod. Power Syst. Clean Energy 2024, 12, 658–669. [Google Scholar] [CrossRef]
- Liu, X.; Huang, J.; Zheng, D.; Xin, H.; Bi, T. Analysis and Suppression for Temporary Overvoltage Considering Dynamic Interactions Between LCC-HVDC and Renewable Energy Plants. IEEE Trans. Sustain. Energy 2025, 16, 1849–1859. [Google Scholar] [CrossRef]
- Ding, T.; Liu, S.; Yuan, W.; Bie, Z.; Zeng, B. A Two-Stage Robust Reactive Power Optimization Considering Uncertain Wind Power Integration in Active Distribution Networks. IEEE Trans. Sustain. Energy 2016, 7, 301–311. [Google Scholar] [CrossRef]
- Yin, C.; Li, F. Reactive power control strategy for inhibiting transient overvoltage caused by commutation failure. IEEE Trans. Power Syst. 2021, 36, 4764–4777. [Google Scholar] [CrossRef]
- Pei, L.; Wang, T.; Wang, J.; Wang, Z. Transient overvoltage analysis of wind farm PCC caused by HVDC commutation failure under different faults. In Proceedings of the 2021 IEEE/IAS Industrial & Commercial Power System Asia, Chengdu, China, 18–21 July 2021. [Google Scholar]
- Xue, A.; Yue, L.; Zhang, J.H.; Cui, J.H. A new quantitative analysis method for overvoltage in sending end electric power system with UHVDC. IEEE Access 2020, 8, 145898–145908. [Google Scholar] [CrossRef]
- Xiao, H.; Duan, X.; Zhang, Y.; Li, Y. Analytically assessing the effect of strength on temporary overvoltage in hybrid multi-infeed HVDC systems. IEEE Trans. Power Electron. 2022, 37, 2480–2484. [Google Scholar] [CrossRef]
- Xie, Q.; Zheng, Z.; Xiao, X.; Huang, C.; Zheng, J.; Ren, J. Enhancing HVRT capability of DFIG-based wind farms using cooperative rotor-side SMES considering the blocking fault of LCC-HVDC system. CSEE J. Power Energy Syst. 2021, 7, 698–707. [Google Scholar]
- Yin, C.; Li, F. Analytical expression on transient overvoltage peak value of converter bus caused by DC faults. IEEE Trans. Power Syst. 2021, 36, 2741–2744. [Google Scholar] [CrossRef]
- Kim, Y.K.; Lee, G.S.; Kim, C.K.; Moon, S.I. An improved AC system strength measure for evaluation of power stability and temporary overvoltage in hybrid multi-infeed HVDC systems. IEEE Trans. Power Del. 2022, 37, 638–649. [Google Scholar] [CrossRef]
- Feng, N.; Feng, Y.; Su, Y.; Zhang, Y.; Niu, T. Dynamic Reactive Power Optimization Strategy for AC/DC Hybrid Power Grid Considering Different Wind Power Penetration Levels. IEEE Access 2024, 12, 187471–187482. [Google Scholar] [CrossRef]
- Miao, Y.; Cheng, H. An Optimal Reactive Power Control Strategy for UHVAC/DC Hybrid System in East China Grid. IEEE Trans. Smart Grid 2016, 7, 392–399. [Google Scholar] [CrossRef]
- Linlin, Y.; Lihua, Z.; Gaojun, M.; Feng, Z.; Wanxun, L. Research on Multi-Objective Reactive Power Optimization of Power Grid With High Proportion of New Energy. IEEE Access 2022, 10, 116443–116452. [Google Scholar] [CrossRef]
- Li, Y.; Guo, P.; Zhuang, W.; Li, Z.; Huo, C.; Zhang, J.; Yue, L.; Xue, A. A Dynamic Reactive Power Allocation Method for Sending-End Power System of the UHVDC Delivering Large Terminal of Renewable Energy. Math. Probl. Eng. 2023, 1, 9764844. [Google Scholar] [CrossRef]
- Xue, S.; Zeng, S.; Jia, Q.; Hu, X. Collaborative Optimization Allocation of Grid-Forming and Grid-Following Reactive Power Resources Considering Auxiliary Equipment Services. IEEE Access 2023, 11, 95840–95857. [Google Scholar] [CrossRef]
- Sun, S.; Yuan, Z.; Chen, D.; Li, Z.; Tang, X.; Song, Y.; Zhou, G. Research on Coordinated Control of Dynamic Reactive Power Sources of DC Blocking and Commutation Failure Transient Overvoltage in New Energy Transmission. Energies 2025, 18, 2349. [Google Scholar] [CrossRef]
- Chi, Y.; Tao, A.; Xu, X.; Wang, Q.; Zhou, N. An Adaptive Many-Objective Robust Optimization Model of Dynamic Reactive Power Sources for Voltage Stability Enhancement. J. Mod. Power Syst. Clean Energy 2023, 11, 1756–1769. [Google Scholar] [CrossRef]
- Ding, T.; Yang, Q.; Yang, Y.; Li, C.; Bie, Z.; Blaabjerg, F. A Data-Driven Stochastic Reactive Power Optimization Considering Uncertainties in Active Distribution Networks and Decomposition Method. IEEE Trans. Smart Grid 2018, 9, 4994–5004. [Google Scholar] [CrossRef]
- Pang, B.; Jin, X.; Zhang, Q.; Tang, Y.; Liao, K.; Yang, J.; He, Z. Transient ac overvoltage suppression orientated reactive power control of the wind turbine in the LCC-HVDC sending grid. CES Trans. Electr. Mach. Syst. 2024, 2, 152–161. [Google Scholar] [CrossRef]
- Tian, X.; Wu, S.; Wei, L.; Zhang, L.; Wang, N.; Zheng, Q. Analytical Analysis of The Mechanism and Mitigation Methods of Transient Overvoltage in Direct-Drive Wind Turbine Generators Connected to Weak Power System. IEEE Access 2025, 13, 23768–23781. [Google Scholar] [CrossRef]






| Control Variable | CB and SC Configuration | SC-Only Configuration |
|---|---|---|
| Capacitor capacity (Mvar) | 256.78 | 0 |
| Steady-state reactive power of phase shifter (Mvar) | 345.50 | 602.28 |
| Rated capacity of phase shifter (Mvar) | 431.88 | 752.85 |
| Reactive Power Allocation Strategy | Calculated TOV (pu) | Simulated TOV (pu) | Result Deviation (%) |
|---|---|---|---|
| CB-only configuration | 1.255 | 1.291 | 2.74 |
| Combined configuration of CB and SC | 1.100 | 1.143 | 3.74 |
| SC-only configuration | 1.056 | 1.089 | 3.04 |
| Methodology | Q1 | Q2 | Time (s) |
|---|---|---|---|
| Time-domain simulation | 255.91 | 344.84 | 224.219 |
| Analytical algorithm | 256.78 | 345.50 | 1.396 |
| Reactive Power Sources | SVG | SC | CB |
|---|---|---|---|
| Planned capacity (Mvar) | 364.1 | 312.4 | 231.3 |
Disclaimer/Publisher’s Note: The statements, opinions and data contained in all publications are solely those of the individual author(s) and contributor(s) and not of MDPI and/or the editor(s). MDPI and/or the editor(s) disclaim responsibility for any injury to people or property resulting from any ideas, methods, instructions or products referred to in the content. |
© 2025 by the authors. Licensee MDPI, Basel, Switzerland. This article is an open access article distributed under the terms and conditions of the Creative Commons Attribution (CC BY) license (https://creativecommons.org/licenses/by/4.0/).
Share and Cite
Zhang, Q.; Luo, L.; Wang, X.; Zhang, D.; Li, H.; Lu, Z.; Qiao, Y. Coordinated Optimization of Multiple Reactive Power Sources for Transient Overvoltage Suppression for New Energy Sending-Out System. Inventions 2025, 10, 80. https://doi.org/10.3390/inventions10050080
Zhang Q, Luo L, Wang X, Zhang D, Li H, Lu Z, Qiao Y. Coordinated Optimization of Multiple Reactive Power Sources for Transient Overvoltage Suppression for New Energy Sending-Out System. Inventions. 2025; 10(5):80. https://doi.org/10.3390/inventions10050080
Chicago/Turabian StyleZhang, Qinglei, Lei Luo, Xiaoping Wang, Dehai Zhang, Haibo Li, Zongxiang Lu, and Ying Qiao. 2025. "Coordinated Optimization of Multiple Reactive Power Sources for Transient Overvoltage Suppression for New Energy Sending-Out System" Inventions 10, no. 5: 80. https://doi.org/10.3390/inventions10050080
APA StyleZhang, Q., Luo, L., Wang, X., Zhang, D., Li, H., Lu, Z., & Qiao, Y. (2025). Coordinated Optimization of Multiple Reactive Power Sources for Transient Overvoltage Suppression for New Energy Sending-Out System. Inventions, 10(5), 80. https://doi.org/10.3390/inventions10050080

