Rockfish Species Trends in Puget Sound, Washington, USA, 2009–2023
Abstract
:1. Introduction
2. Materials and Methods
3. Results
3.1. Trends in Total Rockfish Observed over Time
3.2. Differences between Basins
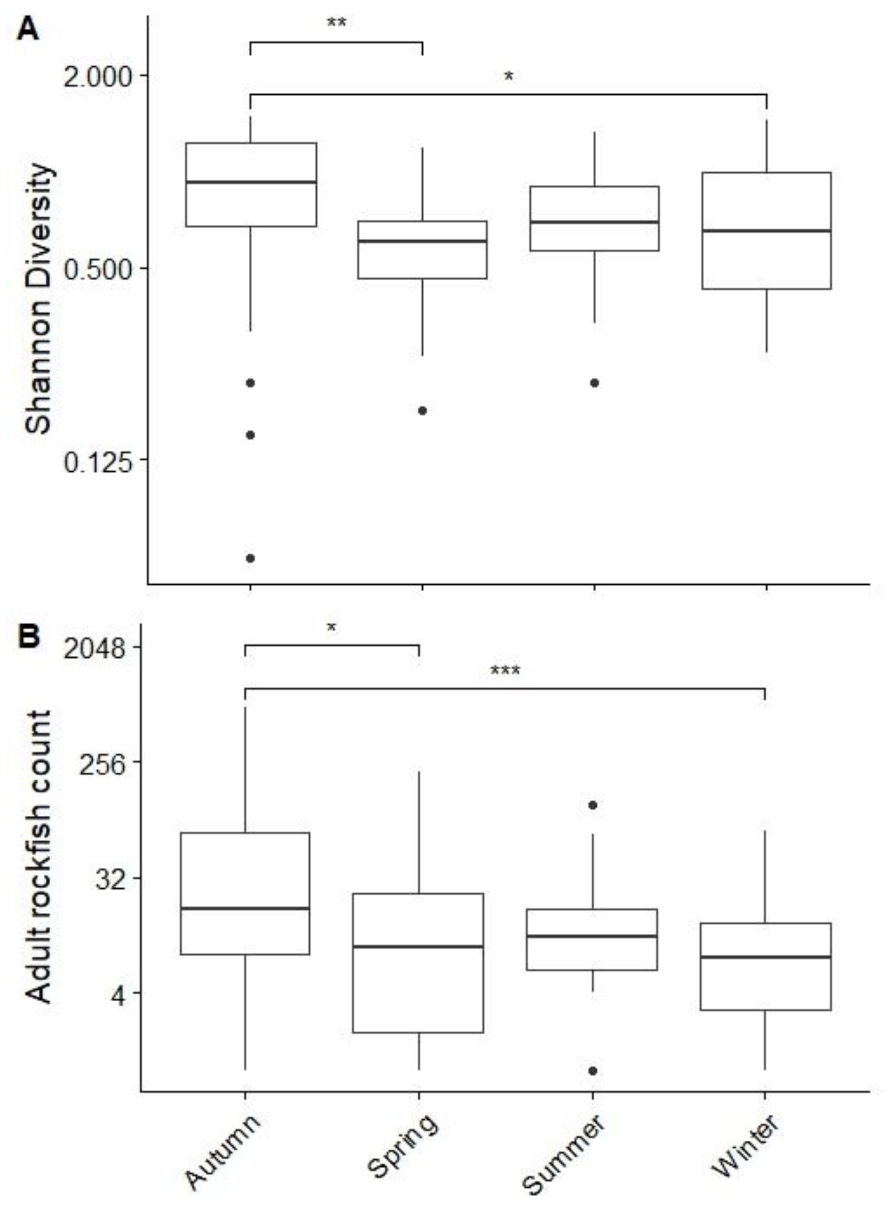
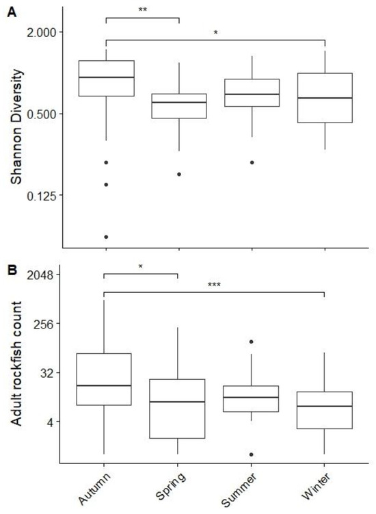
3.3. Differences between Seasons
4. Discussion
4.1. Rockfish Demographics
4.2. Rockfish Decline and Recovery
4.3. Study Limitations and Future Directions
5. Conclusions
Author Contributions
Funding
Institutional Review Board Statement
Data Availability Statement
Acknowledgments
Conflicts of Interest
Appendix A
| Basin | Site | Date | Season | Count |
|---|---|---|---|---|
| Admiralty Inlet | Keystone Jetty | 2016-12-13 | Winter | 409 * |
| Admiralty Inlet | Keystone Jetty | 2019-11-13 | Autumn | 1 |
| Central Puget Sound | Edmonds Underwater Park | 2020-10-06 | Autumn | 3 |
| Central Puget Sound | Edmonds Underwater Park | 2021-08-03 | Summer | 1 |
| Admiralty Inlet | Keystone Jetty | 2022-10-18 | Autumn | 21 |
| Admiralty Inlet | Keystone Jetty | 2022-05-25 | Spring | 377 * |


| Rockfish Species | Cor.test Result Parameter | All Sites | Admiralty Inlet | Central Puget Sound | South Puget Sound | Hood Canal |
|---|---|---|---|---|---|---|
| Black | Tau | −0.262 | ||||
| p-value | 0.012 * | |||||
| Brown | Tau | −0.154 | ||||
| p-value | 0.017 * | |||||
| Copper | Tau | −0.097 | 0.539 | −0.461 | ||
| p-value | 0.099 | 0.074 | 5.37 × 10−6 ** | |||
| Quillback | Tau | −0.197 | −0.307 | |||
| p-value | 0.004 ** | 0.009 ** | ||||
| Yellowtail | Tau | −0.229 | ||||
| p-value | 0.075 |



References
- Love, M.S.; Yoklavich, M.; Thorsteinson, L.K. The Rockfishes of the Northeast Pacific; University of California Press: Berkeley, CA, USA, 2002. [Google Scholar]
- Palsson, W.A.; Tsou, T.-S.; Bargmann, G.G.; Buckley, R.M.; West, J.E.; Mills, M.L.; Cheng, Y.W.; Pacunski, R.E. The Biology and Assessment of Rockfishes in Puget Sound; Washington Department of Fish and Wildlife: Olympia, WA, USA, 2009. Available online: https://wdfw.wa.gov/sites/default/files/publications/00926/wdfw00926.pdf (accessed on 15 April 2023).
- Williams, G.D.; Levin, P.S.; Palsson, W.A. Rockfish in Puget Sound: An Ecological Historiy of Exploitation. Mar. Policy 2010, 34, 1010–1020. [Google Scholar] [CrossRef]
- Ray, T. Fishes of the Salish Sea. Artwork: Crylic on Canvas, 7 by 15 ft. 2011. Available online: https://www.trollart.com/2011/10/14/fishes-of-the-salish-sea-mural-at-uw/ (accessed on 15 April 2023).
- Starks, E.C. Results of an Ichthyological Survey about the San Juan Islands, Washington. Ann. Carnegie Mus. 1911, 7, 162–213. [Google Scholar] [CrossRef]
- Cramer, F. On the Cranial Characters of the Genus Sebastodes (Rock-Fish). In Proceedings of the California Academy of Sciences, San Francisco, CA, USA, 4 October 1895; Volume 2, pp. 57–70. [Google Scholar]
- National Marine Fisheries Service. Rockfish Recovery Plan: Puget Sound/Georgia Basin Yelloweye Rockfish (Sebastes Ruberrimus) and Bocaccio (Sebastes Paucispinis); National Marine Fisheries Service: Seattle, WA, USA, 2017. [Google Scholar]
- Court Case: United States v. Washington, 384 F. Supp. 312, aff’d, 520 F.2d 676 (9th Cir. 1974). Available online: https://casetext.com/case/united-states-v-state-of-washington-6 (accessed on 15 April 2023).
- 1833 U.N.T.S. 397 (Entered into Force 1 November 1994); Convention on the Law of the Sea: Montego Bay, Jamaica, 1982.
- Beaudreau, A.H.; Whitney, E.J. Historical Patterns and Drivers of Spatial Changes in Recreational Fishing Activity in Puget Sound, Washington. PLoS ONE 2016, 11, e0152190. [Google Scholar] [CrossRef] [PubMed]
- Washington Department of Fish and Wildlife. Final Puget Sound Rockfish Conservation Plan Policies, Strategies and Actions Including Preferred Range of Actions; Washington Department of Fish and Wildlife: Olympia, WA, USA, 2011. Available online: https://wdfw.wa.gov/sites/default/files/publications/00035/apr2011_rockfish_conservation_plan.pdf (accessed on 10 May 2023).
- Daniel, T.; Bhuthimethee, M.; Sawchuk, J.H.; Tolimieri, N.; Andrews, K.; Nichols, K. Yelloweye Rockfish (Sebastes ruberrimus), Canary Rockfish (Sebastes pinniger), and Bocaccio (Sebastes paucispinis) of the Puget Sound/Georgia Basin 5-Year Review: Summary and Evaluation Published; NOAA’s National Marine Fisheries Service: Silver Spring, MD, USA, 2016. Available online: https://repository.library.noaa.gov/view/noaa/17805 (accessed on 10 May 2023).
- Ayres, W.O. Description of New Fishes from California. The Pacific, 4th ed. 1854; Volume 3. [Google Scholar]
- Gill, T.N. Critical Remarks on the Genera Sebastes and Sebastodes of Ayres. Proc. Acad. Nat. Sci. Phila. 1864, 16, 145–147. [Google Scholar]
- Drake, J.S.; Berntson, E.A.; Gustafson, R.G.; Holmes, E.E.; Levin, P.S.; Tolimieri, N.; Waples, R.S.; Sogard, S.M.; Williams, G.D.; Cope, J.M. Status Review of Five Rockfish Species in Puget Sound, Washington: Bocaccio (Sebastes paucispinis), Canary Rockfish (S. pinniger), Yelloweye Rockfish (S. ruberrimus), Greenstriped Rockfish (S. elongatus), and Redstripe Rockfish (S. proriger); NOAA: Silver Spring, MD, USA, 2010. Available online: https://repository.library.noaa.gov/view/noaa/3777 (accessed on 10 May 2023).
- Andrews, K.; Nichols, K.; Harvey, C.; Tolimieri, N.; Obaza, A.; Garner, R.; Tonnes, D. All Hands on Deck: Local Ecological Knowledge and Expert Volunteers Contribute to the First Delisting of a Marine Fish Species under the Endangered Species Act. Citiz. Sci. Theory Pract. 2019, 4, 37. [Google Scholar] [CrossRef]
- Washington State Legislation. Possession Limits—Bottomfish, § 220-314-020 (n.d.). Available online: https://app.leg.wa.gov/WAC/default.aspx?cite=220-314-020 (accessed on 15 August 2023).
- Sawchuk, J.H.; Beaudreau, A.H.; Tonnes, D.; Fluharty, D. Using Stakeholder Engagement to Inform Endangered Species Management and Improve Conservation. Mar. Policy 2015, 54, 98–107. [Google Scholar] [CrossRef]
- Walker, S.; Mozaria-Luna, H.N.; Kaplan, I.; Petatán-Ramírez, D. Future Temperature and Salinity in Puget Sound, Washington State, under CMIP6 Climate Change Scenarios. J. Water Clim. Chang. 2022, 13, 4255–4272. [Google Scholar] [CrossRef]
- NOAA National Centers for Environmental Information (NCEI). Digital Elevation Models Global Mosaic; NOAA National Centers for Environmental Information: Silver Spring, MD, USA, 2017. [Google Scholar]
- Larson, S.; Christiansen, J.; Olsen, A.Y.; Walsh, W.J.; Teague, C.H.; Tissot, B.; Randell, Z. A Unique 100 Meter Underwater Survey Method Documents Changes in Abundance, Richness, and Community Structure of Hawai’i Reef Fishes. Front. Mar. Sci. 2022, 9, 892261. [Google Scholar] [CrossRef]
- Andrew, L.; Edgell, P. Coastal Fishes of the Pacific Northwest; Harbour Publisher: Pender Harbour, BC, Canada, 1986. [Google Scholar]
- Young-of-Year Rockfishes Citizen Science Survey Guide. NOAA, n.d. Available online: https://media.fisheries.noaa.gov/dam-migration/rockfish_guide_reduced.pdf (accessed on 1 April 2023).
- Fisher, R.A.; Corbet, A.S.; Williams, C.B. The Relation between the Number of Species and the Number of Individuals in a Random Sample of Animal Population. J. Anim. Ecol. 1943, 12, 42–58. [Google Scholar] [CrossRef]
- Oksanen, J.; Blanchet, F.G.; Kindt, R.; Legendre, P.; O’hara, R.B.; Simpson, G.L.; Solymos, P.; Stevens, M.H.H.; Wagner, H. Vegan: Community Ecology Package, R Package Version. 2.6-4. 2022. Available online: https://CRAN.R-project.org/package=vegan (accessed on 1 May 2023).
- Myles, H.; Wolfe, D.A. Nonparametric Statistical Methods; John Wiley & Sons: New York, NY, USA, 1973. [Google Scholar]
- Wickham, H. Ggplot2: Elegant Graphics for Data Analysis; Springer: New York, NY, USA, 2016. [Google Scholar]
- Wickham, H.; Averick, M.; Bryan, J.; Chang, W.; McGowan, L.D.A.; François, R.; Grolemund, G.; Hayes, A.; Henry, L.; Hester, J.; et al. Welcome to the Tidyverse. J. Open Source Softw. 2019, 4, 1686. [Google Scholar] [CrossRef]
- Chambers, J.M.; Freeny, A.; Heiberger, R.M. Analysis of Variance; Designed Experiments. In Statistical Models in S; Wadsworth & Brooks/Cole: New York, NY, USA, 1992. [Google Scholar]
- R Core Team. R: A Language and Environment for Statistical Computing; R Foundation for Statistical Computing: Vienna, Austria, 2023; Available online: https://www.R-project.org/ (accessed on 1 August 2023).
- Ogle, D.H.; Doll, J.C.; Wheeler, A.P.; Dinno, A. FSA: Simple Fisheries Stock Assessment Methods, R package version 0.9.4; 2023. Available online: https://CRAN.R-project.org/package=FSA (accessed on 4 June 2023).
- Pohlert, T. PMCMRplus: Calculate Pairwise Multiple Comparisons of Mean Rank Sums Extended, R package version 1.9.6; 2022. Available online: https://CRAN.R-project.org/package=PMCMRplus (accessed on 4 June 2023).
- Kassambara, A. Ggpubr: ‘ggplot2’ Based Publication Ready Plots, R package version 0.6.0; 2023. Available online: https://CRAN.R-project.org/package=ggpubr (accessed on 23 May 2023).
- Wilke, C. Cowplot: Streamlined Plot Theme and Plot Annotations for ‘Ggplot2’, R package version 1.1.1; 2020. Available online: https://CRAN.R-project.org/package=cowplot (accessed on 23 May 2023).
- Washington State Department of Ecology. Long-Term Marine Water Column Monitoring 1999-Present. (Transitional Data That Has Not Yet Been through a Documented Data Entry Review Process Can Be Found in EIM Study ID ‘MarineWater-P’). Environmental Information Management System, 4 June 2019. Available online: https://ecology.wa.gov/Research-Data/Monitoring-assessment/Puget-Sound-and-marine-monitoring (accessed on 31 March 2023).
- Parker, S.J.; Rankin, P.S.; Olson, J.M.; Hannah, R.W. Movement Patterns of Black Rockfish (Sebastes Melanops) in Oregon Coastal Waters. In Biology, Assessment, and Management of North Pacific Rockfishes; Alaska Sea Grant College Program: Fairbanks, AK, USA, 2007. [Google Scholar]
- Mathews, S.B.; Barker, M.W. Movements of Rockfish (Sebastes) Tagged in Northern Puget Sound, Washington. Fish. Bull. 1983, 82, 916–922. [Google Scholar]
- Keister, J.E.; Winans, A.K.; Herrmann, B. Zooplankton Community Response to Seasonal Hypoxia: A Test of Three Hypotheses. Diversity 2020, 12, 21. [Google Scholar] [CrossRef]
- Newton, J.; Bassin, C.; Devol, A.; Kawase, M.; Ruef, W.; Warner, M.; Hannafious, D.; Rose, R. Hypoxia in Hood Canal: An Overview of Status and Contributing Factors; University of Washington: Seattle, WA, USA, 2007; Available online: https://www.researchgate.net/publication/237254567_Hypoxia_in_Hood_Canal_An_overview_of_status_and_contributing_factors/citations#fullTextFileContent (accessed on 2 August 2023).
- Christiansen, J. Personal Communication; Independent Researcher: Ollala, WA, USA, 2023. [Google Scholar]
- Antonelis, K.; Selleck, J.; Drinkwin, J.; Saltman, A.; Tonnes, D.; June, J. Bycatch of Rockfish in Spot Prawn Traps and Estimated Magnitude of Trap Loss in Washington Waters of the Salish Sea. Fish. Res. 2018, 208, 105–115. [Google Scholar] [CrossRef]
- Joan, D.; Antonelis, K. Observed Impacts of Derelict Fishing Nets on Rocky Reef Habitats and Associated Species in Puget Sound. In Proceedings of the Salish Sea Ecosystem Conference, Seattle, WA, USA, 5 February 2014; Available online: https://cedar.wwu.edu/ssec/2014ssec/Day3/124/ (accessed on 2 August 2023).
- Eldridge, M.B.; Whipple, J.A.; Bowers, M.J.; Jarvis, B.M.; Gold, J. Reproductive Performance of Yellowtail Rockfish, Sebastes Flavidus. Environ. Biol. Fishes 1991, 30, 91–102. [Google Scholar] [CrossRef]
- Six, L.D.; Horton, H.F. Analysis of Age Determination Methods for Yellowtail Rockfish, Canary Rockfish, and Black Rockfish off Oregon. Fish. Bull. 1997, 75, 405–414. [Google Scholar]
- Thompson, A.R.; Chen, D.C.; Guo, L.W.; Hyde, J.R.; Watson, W. Larval Abundances of Rockfishes that Were Historically Targeted by Fishing Increased over 16 Years in Association with a Large Marine Protected Area. R. Soc. Open Sci. 2017, 4, 170639. [Google Scholar] [CrossRef]
- Tolimieri, N.; Holmes, E.E.; Williams, G.D.; Pacunski, R.; Lowry, D. Population Assessment Using Multivariate Time-Series Analysis: A Case Study of Rockfishes in Puget Sound. Ecol. Evol. 2017, 7, 2846–2860. [Google Scholar] [CrossRef] [PubMed]





| Site | Basin | Latitude (N) | Longitude (W) | Depth (m) | Years Surveyed | Total No. Surveys |
|---|---|---|---|---|---|---|
| Rockaway | Central P.S. | 47.598 | −122.495 | 10–12 | 2009–2023 | 36 |
| Point Whitney | Hood Canal | 47.762 | −122.855 | 8–24 | 2012–2022 | 29 |
| Possession Point Ferry | Central P.S. | 47.907 | −122.423 | 20 | 2013–2019 | 7 |
| Saltwater State Park | Central P.S. | 47.372 | −122.326 | 10–20 | 2013–2018; 2021 | 5 |
| Z’s Reef | South P.S. | 47.252 | −122.600 | 16–23 | 2013–2017; 2019; 2021–2022 | 8 |
| Sund Rock | Hood Canal | 47.446 | −123.103 | 16–22 | 2015–2022 | 24 |
| Keystone Jetty | Admiralty Inlet | 48.156 | −122.670 | 7–15 | 2015–2022 | 18 |
| Point Hudson | Admiralty Inlet | 48.116 | −122.749 | 5–16 | 2016–2022 | 18 |
| Edmonds Underwater Park | Central P.S. | 47.815 | −122.382 | 5–6 | 2019–2023 | 12 |
Disclaimer/Publisher’s Note: The statements, opinions and data contained in all publications are solely those of the individual author(s) and contributor(s) and not of MDPI and/or the editor(s). MDPI and/or the editor(s) disclaim responsibility for any injury to people or property resulting from any ideas, methods, instructions or products referred to in the content. |
© 2023 by the authors. Licensee MDPI, Basel, Switzerland. This article is an open access article distributed under the terms and conditions of the Creative Commons Attribution (CC BY) license (https://creativecommons.org/licenses/by/4.0/).
Share and Cite
Shelledy, K.N.; Olsen, A.Y.; Tanz, A.; Williams, M.H.; Christiansen, J.; Wilken, H.; Van Damme, C.; Larson, S. Rockfish Species Trends in Puget Sound, Washington, USA, 2009–2023. Fishes 2023, 8, 508. https://doi.org/10.3390/fishes8100508
Shelledy KN, Olsen AY, Tanz A, Williams MH, Christiansen J, Wilken H, Van Damme C, Larson S. Rockfish Species Trends in Puget Sound, Washington, USA, 2009–2023. Fishes. 2023; 8(10):508. https://doi.org/10.3390/fishes8100508
Chicago/Turabian StyleShelledy, Katharine N., Amy Y. Olsen, Alexander Tanz, Megan H. Williams, Jeff Christiansen, Heidi Wilken, Chris Van Damme, and Shawn Larson. 2023. "Rockfish Species Trends in Puget Sound, Washington, USA, 2009–2023" Fishes 8, no. 10: 508. https://doi.org/10.3390/fishes8100508
APA StyleShelledy, K. N., Olsen, A. Y., Tanz, A., Williams, M. H., Christiansen, J., Wilken, H., Van Damme, C., & Larson, S. (2023). Rockfish Species Trends in Puget Sound, Washington, USA, 2009–2023. Fishes, 8(10), 508. https://doi.org/10.3390/fishes8100508

