Comparing eDNA Metabarcoding and Morphological Surveys Reveals Distinct Fish Community Patterns in the Gaya River
Abstract
1. Introduction
2. Materials and Methods
2.1. Study Area
2.2. Sample Collection
2.3. Environmental Parameter Measurement
2.4. eDNA Extraction and PCR Amplification
2.5. Sequencing
2.6. Data Processing and Quality Control
2.7. Bioinformatics and Taxonomic Identification
2.8. Data Processing
2.9. Statistical Analysis
3. Results
3.1. Taxonomic Composition of Fish Communities
3.2. Species Diversity Patterns and Community Structure Variability
3.3. Contrasting Functional Diversity Patterns Derived from eDNA and Morphological Surveys
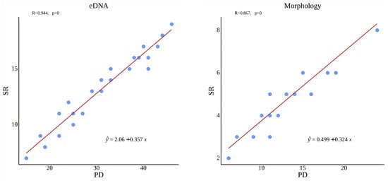
3.4. Phylogenetic Diversity Disparities Between eDNA and Morphological Surveys
3.5. Integrating eDNA and Morphological Methods for Comprehensive Fish Diversity Assessment
3.6. Environmental Influences on Fish Community Structure
4. Discussion
4.1. Comparison of eDNA and Morphological Methods for Assessing Fish Diversity
4.2. Integration of eDNA and Morphological Methods for Fish Diversity Assessment
4.3. Environmental Drivers Shaping Fish Community Structure
5. Conclusions
Author Contributions
Funding
Institutional Review Board Statement
Informed Consent Statement
Data Availability Statement
Acknowledgments
Conflicts of Interest
References
- Shen, M.; Xiao, N.; Zhao, Z.; Guo, N.; Luo, Z.; Sun, G.; Li, J. eDNA metabarcoding as a promising conservation tool to monitor fish diversity in Beijing water systems compared with ground cages. Sci. Rep. 2022, 12, 11113. [Google Scholar] [CrossRef] [PubMed]
- Chakraborty, S.K. River Pollution and Perturbation: Perspectives and Processes; Springer International Publishing: Cham, Switzerland, 2021. [Google Scholar]
- Fang, L.; Wang, L.; Chen, W.; Sun, J.; Cao, Q.; Wang, S.; Wang, L. Identifying the impacts of natural and human factors on ecosystem service in the Yangtze and Yellow River Basins. J. Clean. Prod. 2021, 314, 127995. [Google Scholar] [CrossRef]
- De Haan, D.; Fosseidengen, J.E.; Fjelldal, P.G.; Burggraaf, D.; Rijnsdorp, A.D. Pulse trawl fishing: Characteristics of the electrical stimulation and the effect on behaviour and injuries of Atlantic cod (Gadus morhua). ICES J. Mar. Sci. 2016, 73, 1557–1569. [Google Scholar] [CrossRef]
- Rivot, W.B. Fish taxonomy in the digital age challenges and opportunities. FishTaxa-J. Fish Taxon. 2023, 30, 1–13. [Google Scholar]
- Wang, L.; Wan, F.; Qian, W. Research and prospects of environmental DNA (eDNA) for detection of invasive aquatic species in East Asia. Front. Mar. Sci. 2023, 10, 1284953. [Google Scholar] [CrossRef]
- Bessey, C.; Neil Jarman, S.; Simpson, T.; Miller, H.; Stewart, T.; Kenneth Keesing, J.; Berry, O. Passive eDNA collection enhances aquatic biodiversity analysis. Commun. Biol. 2021, 4, 236. [Google Scholar] [CrossRef]
- Rourke, M.L.; Walburn, J.W.; Broadhurst, M.K.; Fowler, A.M.; Hughes, J.M.; Fielder, D.S.; DiBattista, J.D.; Furlan, E.M. Poor utility of environmental DNA for estimating the biomass of a threatened freshwater teleost; but clear direction for future candidate assessments. Fish. Res. 2023, 258, 106545. [Google Scholar] [CrossRef]
- McCartin, L.J.; Vohsen, S.A.; Ambrose, S.W.; Layden, M.; McFadden, C.S.; Cordes, E.E.; McDermott, J.M.; Herrera, S. Temperature controls eDNA persistence across physicochemical conditions in seawater. Environ. Sci. Technol. 2022, 56, 8629–8639. [Google Scholar] [CrossRef]
- Jo, T.; Murakami, H.; Yamamoto, S.; Masuda, R.; Minamoto, T. Effect of water temperature and fish biomass on environmental DNA shedding, degradation, and size distribution. Ecol. Evol. 2019, 9, 1135–1146. [Google Scholar] [CrossRef]
- Li, Z.; Jiang, P.; Wang, L.; Liu, L.; Li, M.; Zou, K. A comparison of seasonal composition and structure of fish community between environmental DNA technology and gillnetting in the Pearl River Estuary, China. Ecol. Indic. 2023, 147, 109915. [Google Scholar] [CrossRef]
- Kim, S.Y.; Cheon, S.; Park, C.; Soh, H.Y. Integrating DNA metabarcoding and morphological analysis improves marine zooplankton biodiversity assessment. Sci. Rep. 2025, 15, 7283. [Google Scholar] [CrossRef]
- Li, S.; Huang, Y.; Li, F.; Liu, Y.; Ma, H.; Zhang, X.; Wang, X.; Chen, W.; Cui, G.; Wang, T. Functional alpha and beta diversity of fish communities and their relationship with environmental factors in the Huanghe River (Yellow River) Estuary and Adjacent Seas, China. Fishes 2024, 9, 222. [Google Scholar] [CrossRef]
- Huo, T.; Hu, G.; Wang, J. Current Status of Aquatic Biological Resources and Habitats in the Tumen River Basin; China Agriculture Press: Beijing, China, 2022. [Google Scholar]
- Wang, H.X.; Wu, W.; Wang, Q.K.; Yang, X.Q.; Yin, X.W. Impact of land use pattern on water quality under different riparian buffer zone scales in Gaya River Basin, Northeast China. Ying Yong Sheng Tai Xue Bao J. Appl. Ecol. 2023, 34, 3203–3213. [Google Scholar] [CrossRef]
- Meng, G.; Li, C.; Zheng, X.; Yin, X.; Li, X. Riparian Plant Community Diversity of the Gaya River Basin of Tumen Jiang. Mod. Agric. Sci. Technol. 2023, 2023, 124–130, 142. [Google Scholar] [CrossRef]
- Tang, J. The Study on Fish Community Structure and Biodiversity Characteristics in the Hongqi River Basin and the Upstream of the Tumen River. Master’s Thesis, Dalian Ocean University, Dalian, China, 2024. [Google Scholar] [CrossRef]
- Yang, J.; Zhang, X. A Freshwater Fish Mitochondrial 12S Universal Macro Barcode Amplification Primer and an Application Method Thereof. CN109943645A, 28 June 2019. [Google Scholar]
- Djurhuus, A.; Port, J.; Closek, C.J.; Yamahara, K.M.; Romero-Maraccini, O.; Walz, K.R.; Goldsmith, D.B.; Michisaki, R.; Breitbart, M.; Boehm, A.B.; et al. Evaluation of filtration and DNA extraction methods for environmental DNA biodiversity assessments across multiple trophic levels. Front. Mar. Sci. 2017, 4, 314. [Google Scholar] [CrossRef]
- Martin, M. Cutadapt removes adapter sequences from high-throughput sequencing reads. EMBnet. J. 2011, 17, 10–12. [Google Scholar] [CrossRef]
- Zhang, J.; Kobert, K.; Flouri, T.; Stamatakis, A. PEAR: A fast and accurate Illumina Paired-End reAd mergeR. Bioinformatics 2014, 30, 614–620. [Google Scholar] [CrossRef]
- Schmieder, R.; Edwards, R. Quality control and preprocessing of metagenomic datasets. Bioinformatics 2011, 27, 863–864. [Google Scholar] [CrossRef]
- Edgar, R.C. UPARSE: Highly accurate OTU sequences from microbial amplicon reads. Nat. Methods 2013, 10, 996–998. [Google Scholar] [CrossRef]
- Altschul, S.F.; Madden, T.L.; Schäffer, A.A.; Zhang, J.; Zhang, Z.; Miller, W.; Lipman, D.J. Gapped BLAST and PSI-BLAST: A new generation of protein database search programs. Nucleic Acids Res. 1997, 25, 3389–3402. [Google Scholar] [CrossRef]
- Melendy, S.A.; Olson, J.R. Identifying Key Environmental Drivers of Reach-Scale Salmonid eDNA Recovery with Random Forest. Environ. DNA 2024, 6, e70001. [Google Scholar] [CrossRef]
- Gonzalez-Martinez, A.; Margareto, A.; Rodriguez-Sanchez, A.; Pesciaroli, C.; Diaz-Cruz, S.; Barcelo, D.; Vahala, R. Linking the effect of antibiotics on partial-nitritation biofilters: Performance, microbial communities and microbial activities. Front. Microbiol. 2018, 9, 354. [Google Scholar] [CrossRef] [PubMed]
- Somerfield, P.J.; Clarke, K.R.; Gorley, R.N. Analysis of similarities (ANOSIM) for 2-way layouts using a generalised ANOSIM statistic, with comparative notes on Permutational Multivariate Analysis of Variance (PERMANOVA). Austral. Ecol. 2021, 46, 911–926. [Google Scholar] [CrossRef]
- Villéger, S.; Mason, N.W.; Mouillot, D. New multidimensional functional diversity indices for a multifaceted framework in functional ecology. Ecology 2008, 89, 2290–2301. [Google Scholar] [CrossRef] [PubMed]
- Villéger, S.; Brosse, S.; Mouchet, M.; Mouillot, D.; Vanni, M.J. Functional ecology of fish: Current approaches and future challenges. Aquat. Sci. 2017, 79, 783–801. [Google Scholar] [CrossRef]
- Su, G.; Mertel, A.; Brosse, S.; Calabrese, J.M. Species invasiveness and community invasibility of North American freshwater fish fauna revealed via trait-based analysis. Nat. Commun. 2023, 14, 2332. [Google Scholar] [CrossRef]
- Hall, B.G. Building phylogenetic trees from molecular data with MEGA. Mol. Biol. Evol. 2013, 30, 1229–1235. [Google Scholar] [CrossRef]
- Liu, H.; Qu, X.; Xia, W.; Chen, Y. Taxonomic, functional, and phylogenetic diversity patterns reveal different processes shaping river fish assemblages in the Eastern Huai River Basin, China. Water Biol. Secur. 2023, 2, 100078. [Google Scholar] [CrossRef]
- Gomes, M.M.D.C.C. Estrutura e Composição em Espécies da Comunidade Zooplanctônica de Lagoas Naturais da Região de Lagoa Santa, Minas Gerais; Universidade Federal de Minas Gerais: Belo Horizonte, Brazil, 2013. [Google Scholar]
- Wang, B.; Jiao, L.; Ni, L.; Wang, M.; You, P. Bridging the gap: The integration of eDNA techniques and traditional sampling in fish diversity analysis. Front. Mar. Sci. 2024, 11, 1289589. [Google Scholar] [CrossRef]
- Somerfield, P.J.; Clarke, K.R.; Warwick, R.M.; Dulvy, N.K. Average functional distinctness as a measure of the composition of assemblages. ICES J. Mar. Sci. 2008, 65, 1462–1468. [Google Scholar] [CrossRef]
- He, Y. Longitudinal Gradient Patterns of Taxonomic, Functional and Phylogenetic Diversity of Fish Communities in the Qiupu River. Master’s Thesis, Anhui Normal University, Anhui, China, 2021. [Google Scholar] [CrossRef]
- Wang, N.; Li, Y.; Han, S.; Zhang, Y.; Yang, J.; Yin, Z.; Deng, C.; Liu, Z.; Wu, Y.; Wu, W.; et al. CFViSA: A comprehensive and free platform for visualization and statistics in omics-data. Comput. Biol. Med. 2024, 171, 108206. [Google Scholar] [CrossRef]
- Fietto, L.S.; Schoereder, J.H.; Gerheim, I.; Paolucci, L.N. Dam failure disrupts Atlantic Rainforest ant communities and their interactions with seeds. J. Insect Conserv. 2024, 28, 1307–1318. [Google Scholar] [CrossRef]
- Cao, L.J.; Zhu, W.L. Comparative analysis of latitudinal variations in physiological indicators between Rodentia and Chiroptera mammals. Life Res 2025, 8, 17. [Google Scholar] [CrossRef]
- Keat-Chuan Ng, C.; Aun-Chuan Ooi, P.; Wong, W.L.; Khoo, G. A review of fish taxonomy conventions and species identification techniques. J. Surv. Fish. Sci. 2017, 4, 54–93. [Google Scholar] [CrossRef]
- Jin, X.; Sheng, L.; Wen, Y.; Chen, W.; Liu, H.; Li, Z. Distribution changes of fish populations in Tumen River Basin and main influencing factors. Environ. Ecol. 2022, 4, 69–75+84. [Google Scholar]
- Stoeckle, M.Y.; Soboleva, L.; Charlop-Powers, Z. Aquatic environmental DNA detects seasonal fish abundance and habitat preference in an urban estuary. PLoS ONE 2017, 12, e0175186. [Google Scholar] [CrossRef] [PubMed]
- Keck, F.; Blackman, R.C.; Bossart, R.; Brantschen, J.; Couton, M.; Hürlemann, S.; Kirschner, D.; Locher, N.; Zhang, H.; Altermatt, F. Meta-analysis shows both congruence and complementarity of DNA and eDNA metabarcoding to traditional methods for biological community assessment. Mol. Ecol. 2022, 31, 1820–1835. [Google Scholar] [CrossRef]
- Joydas, T.V.; Manokaran, S.; Gopi, J.; Rajakumar, J.P.; Yu-Jia, L.; Heinle, M.; Nazal, M.K.; Manikandan, K.P.; Qashqari, M.; Mohandas, S.P.; et al. Advancing ecological assessment of the Arabian Gulf through eDNA metabarcoding: Opportunities, prospects, and challenges. Front. Mar. Sci. 2024, 11, 1276956. [Google Scholar] [CrossRef]
- Li, W.; Xu, J.; Huang, Q.; Wang, M. Study on the biodiversity of macroinvertebrate in the Dayang River Basin during summer based on environmental DNA and morphological analysis. J. Freshw. Ecol. 2024, 39, 2358071. [Google Scholar] [CrossRef]
- Mouillot, D.; Loiseau, N.; Grenié, M.; Algar, A.C.; Allegra, M.; Cadotte, M.W.; Casajus, N.; Denelle, P.; Guéguen, M.; Maire, A.; et al. The dimensionality and structure of species trait spaces. Ecol. Lett. 2021, 24, 1988–2009. [Google Scholar] [CrossRef]
- Aragon, C.M. Effects of Forest Management on Understory Plant Traits and Biodiversity; Examensarbeten/SLU, Institutionen for Skogens Ekologi och Skötsel: Umea, Sweden, 2024. [Google Scholar]
- McGee, M.D.; Wainwright, P.C. Convergent evolution as a generator of phenotypic diversity in threespine stickleback. Evolution 2013, 67, 1204–1208. [Google Scholar] [CrossRef]
- Jiang, P.; Zhang, S.; Xu, S.; Xiong, P.; Cao, Y.; Chen, Z.; Li, M. Comparison of environmental DNA metabarcoding and bottom trawling for detecting seasonal fish communities and habitat preference in a highly disturbed estuary. Ecol. Indic. 2023, 146, 109754. [Google Scholar] [CrossRef]
- McElroy, M.E.; Dressler, T.L.; Titcomb, G.C.; Wilson, E.A.; Deiner, K.; Dudley, T.L.; Eliason, E.J.; Evans, N.T.; Gaines, S.D.; Lafferty, K.D.; et al. Calibrating environmental DNA metabarcoding to conventional surveys for measuring fish species richness. Front. Ecol. Evol. 2020, 8, 276. [Google Scholar] [CrossRef]
- Penaluna, B.E.; Cronn, R.; Hauck, L.L.; Weitemier, K.A.; Garcia, T.S. Uncovering the hidden biodiversity of streams at the upper distribution limit of fish. J. Biogeogr. 2023, 50, 1151–1162. [Google Scholar] [CrossRef]
- Maiello, G.; Bellodi, A.; Cariani, A.; Carpentieri, P.; Carugati, L.; Cicala, D.; Ferrari, A.; Follesa, C.; Ligas, A.; Sartor, P.; et al. Fishing in the gene-pool: Implementing trawl-associated eDNA metaprobe for large scale monitoring of fish assemblages. Rev. Fish Biol. Fish. 2024, 34, 1293–1307. [Google Scholar] [CrossRef]
- Corenblit, D.; Piégay, H.; Arrignon, F.; González-Sargas, E.; Bonis, A.; Ebengo, D.M.; Garófano, G.V.; Gurnell, A.M.; Henry, A.L.; Hortobágyi, B.; et al. Interactions between vegetation and river morphodynamics. Part II: Why is a functional trait framework important? Earth-Sci. Sci. Reviews 2024, 253, 104709. [Google Scholar] [CrossRef]
- Qiu, S.; Ooi, J.L.S.; Chen, W.; Poong, S.W.; Zhang, H.; He, W.; Su, S.; Luo, H.; Hu, W.; Affendi, Y.A.; et al. Heterogeneity of fish taxonomic and functional diversity evaluated by eDNA and Gillnet along a mangrove–seagrass–coral reef continuum. Animals 2023, 13, 1777. [Google Scholar] [CrossRef] [PubMed]
- Saccò, M.; Campbell, M.A.; Aguilar, P.; Salazar, G.; Berry, T.E.; Heydenrych, M.J.; Lawrie, A.; White, N.E.; Harrod, C.; Allentoft, M.E. Metazoan diversity in Chilean hypersaline lakes unveiled by environmental DNA. Front. Ecol. Evol. 2025, 13, 1504666. [Google Scholar] [CrossRef]
- Qian, M.M.; Wang, Z.Y.; Zhou, Q.; Wang, J.; Shao, Y.; Qiao, Q.; Fan, J.T.; Yan, Z.G. Environmental DNA unveiling the fish community structure and diversity features in the Yangtze River basin. Environ. Res. 2023, 239, 117198. [Google Scholar] [CrossRef]
- Mamun, M.; Jargal, N.; Atique, U.; An, K.G. Ecological river health assessment using multi-metric models in an Asian temperate region with land use/land cover as the primary factor regulating nutrients, organic matter, and fish composition. Int. J. Environ. Res. Public Health 2022, 19, 9305. [Google Scholar] [CrossRef]
- Herrera, D.L.; Navarrete, S.A.; Labra, F.A.; Castillo, S.P.; Opazo Mella, L.F. Functional biogeography of coastal marine invertebrates along the south-eastern Pacific coast reveals latitudinally divergent drivers of taxonomic versus functional diversity. Ecography 2023, 2023, e06476. [Google Scholar] [CrossRef]
- Lai, H.; Bi, S.; Yi, H.; Li, H.; Wei, X.; Wang, G.; Guo, D.; Liu, X.; Chen, J.; Chen, Q.; et al. Characteristics of demersal fish community structure during summer hypoxia in the Pearl River Estuary, China. Ecol. Evol. 2024, 14, e11722. [Google Scholar] [CrossRef]
- Mohammed, M.; Blasius, B.; Ryabov, A. Coexistence patterns and diversity in a trait-based metacommunity on an environmental gradient. Theor. Ecol. 2022, 15, 51–63. [Google Scholar] [CrossRef]
- Kaarlejärvi, E.; Itter, M.; Tonteri, T.; Hamberg, L.; Salemaa, M.; Merilä, P.; Vanhatalo, J.; Laine, A.L. Inferring ecological selection from multidimensional community trait distributions along environmental gradients. Ecology 2024, 105, e4378. [Google Scholar] [CrossRef]
- Kou, X.; Huang, S.; Bian, R.; Tang, Q.; Wang, H.; Liu, S.; Li, W.; Qi, W.; Cao, X.; Lan, H.; et al. Evidence of sewage discharge on the coalescence mechanism of aquatic microbial communities during high amplitude hydrological periods. Sci. Total Environ. 2025, 959, 178223. [Google Scholar] [CrossRef]


















| Method | PD | SR | p-Value | Significance |
|---|---|---|---|---|
| eDNA | 31.40 ± 8.30 | 13.27 ± 3.05 | 0.00 | ** |
| Morphology | 11.68 ± 4.27 | 4.29 ± 1.49 | 0.00 | ** |
Disclaimer/Publisher’s Note: The statements, opinions and data contained in all publications are solely those of the individual author(s) and contributor(s) and not of MDPI and/or the editor(s). MDPI and/or the editor(s) disclaim responsibility for any injury to people or property resulting from any ideas, methods, instructions or products referred to in the content. |
© 2025 by the authors. Licensee MDPI, Basel, Switzerland. This article is an open access article distributed under the terms and conditions of the Creative Commons Attribution (CC BY) license (https://creativecommons.org/licenses/by/4.0/).
Share and Cite
Xu, J.; Li, W.; Gao, Q.; Wang, M. Comparing eDNA Metabarcoding and Morphological Surveys Reveals Distinct Fish Community Patterns in the Gaya River. Fishes 2025, 10, 430. https://doi.org/10.3390/fishes10090430
Xu J, Li W, Gao Q, Wang M. Comparing eDNA Metabarcoding and Morphological Surveys Reveals Distinct Fish Community Patterns in the Gaya River. Fishes. 2025; 10(9):430. https://doi.org/10.3390/fishes10090430
Chicago/Turabian StyleXu, Jingwen, Weishuai Li, Qihang Gao, and Mi Wang. 2025. "Comparing eDNA Metabarcoding and Morphological Surveys Reveals Distinct Fish Community Patterns in the Gaya River" Fishes 10, no. 9: 430. https://doi.org/10.3390/fishes10090430
APA StyleXu, J., Li, W., Gao, Q., & Wang, M. (2025). Comparing eDNA Metabarcoding and Morphological Surveys Reveals Distinct Fish Community Patterns in the Gaya River. Fishes, 10(9), 430. https://doi.org/10.3390/fishes10090430

