Screening for Methylmalonic and Propionic Acidemia: Clinical Outcomes and Follow-Up Recommendations
Abstract
:1. Introduction
2. Materials and Methods
2.1. Specimens
2.2. First- and Second-Tier Assays
2.3. Wisconsin Screening Algorithm
2.4. Confirmatory Testing and Metabolic Evaluation Protocol
3. Results
3.1. Review and Classification of Cases
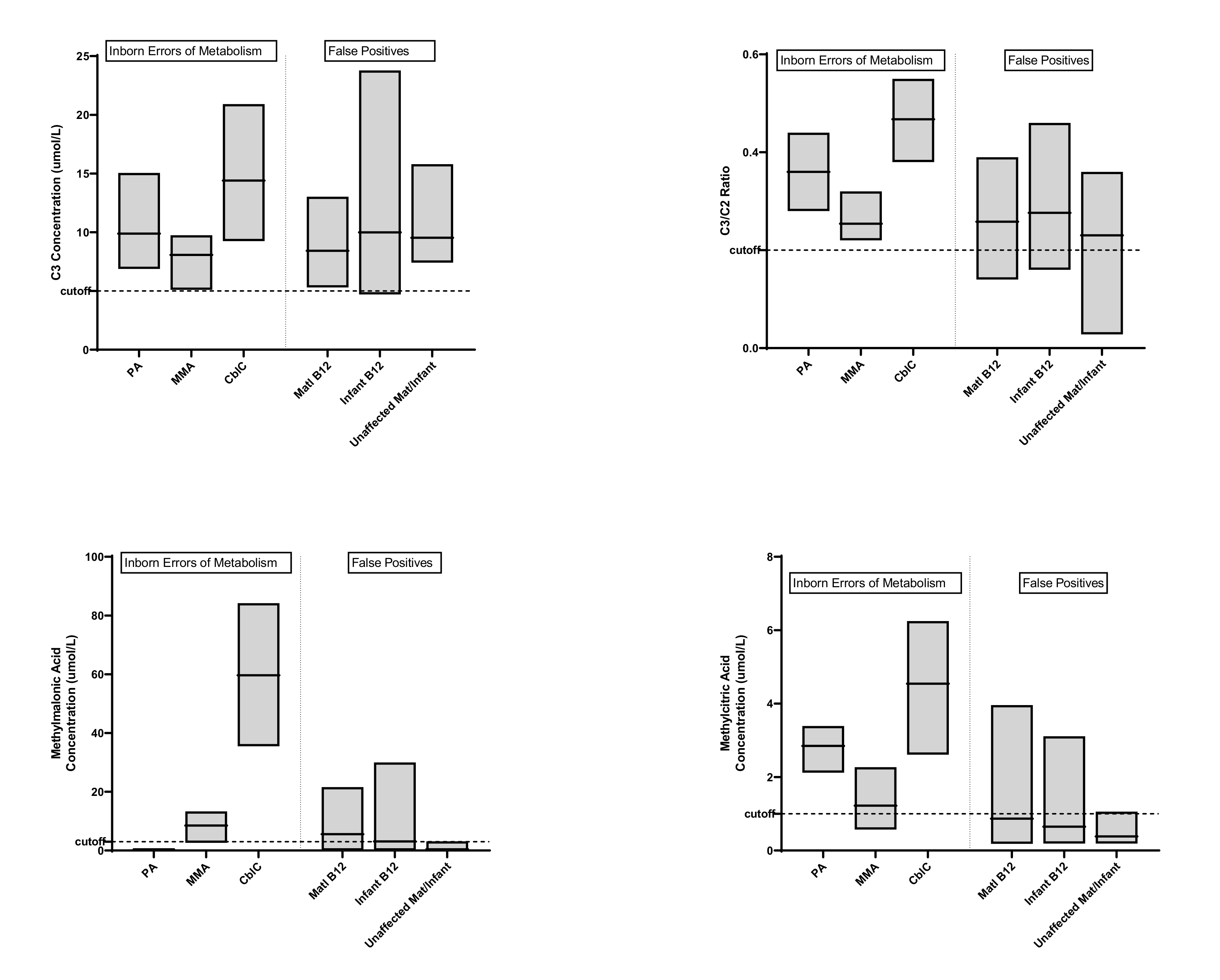
3.2. Review of Laboratory Testing Data
3.3. Design of a Clinical Confirmatory Testing Protocol
4. Discussion
5. Conclusions
Author Contributions
Funding
Informed Consent Statement
Conflicts of Interest
References
- McCrory, N.M.; Edick, M.J.; Ahmad, A.; Lipinski, S.; Schwoerer, J.A.S.; Zhai, S.; Justice, K.; Cameron, C.A.; Berry, S.A.; Pena, L.D.M. Comparison of methods of initial ascertainment in 58 cases of propionic acidemia enrolled in the inborn errors of metabolism information system reveals significant differences in time to evaluation and symptoms at presentation. J. Pediatr. 2017, 180, 200–205. [Google Scholar] [CrossRef] [Green Version]
- Manoli, I.; Sloan, J.L.; Venditti, C.P. Isolated Methylmalonic Acidemia; Updated 2016. In GeneReviews®. Available online: https://www.ncbi.nlm.nih.gov/books/NBK1231 (accessed on 15 January 2022).
- Fischer, S.; Huemer, M.; Baumgartner, M.; Deodato, F.; Ballhausen, D.; Boneh, A.; Burlina, A.B.; Cerone, R.; Garcia, P.; Gökçay, G.; et al. Clinical presentation and outcome in a series of 88 patients with the cblC defect. J. Inherit. Metab. Dis. 2014, 37, 831–840. [Google Scholar] [CrossRef] [PubMed]
- Pena, L.; Franks, J.; Chapman, K.A.; Gropman, A.; Mew, N.A.; Chakrapani, A.; Island, E.; MacLeod, E.; Matern, D.; Smith, B.; et al. Natural history of propionic acidemia. Mol. Genet. Metab. 2012, 105, 5–9. [Google Scholar] [CrossRef] [PubMed]
- Hörster, F.; Baumgartner, M.R.; Viardot, C.; Suormala, T.; Burgard, P.; Fowler, B.; Hoffmann, G.F.; Garbade, S.F.; Kölker, S.; Baumgartner, E.R. Long-term outcome in methylmalonic acidurias is influenced by the underlying defect (mut0, mut-, cblA, cblB). Pediatr. Res. 2007, 62, 225–230. [Google Scholar] [CrossRef] [PubMed]
- Bourque, D.K.; Mellin-Sanchez, L.E.; Bullivant, G.; Cruz, V.; Feigenbaum, A.; Hewson, S.; Raiman, J.; Schulze, A.; Siriwardena, K.; Mercimek-Andrews, S. Outcomes of patients with cobalamin C deficiency: A single center experience. JIMD Rep. 2020, 57, 102–114. [Google Scholar] [CrossRef]
- Ricci, D.; Martinelli, D.; Ferrantini, G.; Lucibello, S.; Gambardella, M.; Olivieri, G.; Chieffo, D.; Battaglia, D.; Diodato, D.; Iarossi, G.; et al. Early neurodevelopmental characterization in children with cobalamin C/defect. J. Inherit. Metab. Dis. 2020, 43, 367–374. [Google Scholar] [CrossRef] [PubMed]
- Weiss, K.J.; Röschinger, W.; Blessing, H.; Lotz-Havla, A.S.; Schiergens, K.A.; Maier, E.M. Diagnostic Challenges Using a 2-Tier Strategy for Methylmalonic Acidurias: Data from 1.2 Million Dried Blood Spots. Ann. Nutr. Metab. 2020, 76, 1–9. [Google Scholar] [CrossRef]
- Scolamiero, E.; Villani, G.R.; Ingenito, L.; Pecce, R.; Albano, L.; Caterino, M.; di Girolamo, M.G.; di Stefano, C.; Franzese, I.; Gallo, G.; et al. Maternal vitamin B12 deficiency detected in expanded newborn screening. Clin. Biochem. 2014, 47, 312–317. [Google Scholar] [CrossRef]
- LaMarca, G.; Malvagia, S.; Pasquini, E.; Innocenti, M.; Donati, M.A.; Zammarchi, E. Rapid 2nd-tier test for measurement of 3-OH-propionic and methylmalonic acids on dried blood spots: Reducing the false-positive rate for propionylcarnitine during expanded newborn screening by liquid chromatography-tandem mass spectrometry. Clin. Chem. 2007, 53, 1364–1369. [Google Scholar] [CrossRef]
- Matern, D.; Tortorelli, S.; Oglesbee, D.; Gavrilov, D.; Rinaldo, P. Reduction of the false-positive rate in newborn screening by implementation of MS/MS-based second-tier tests: The Mayo Clinic experience (2004–2007). J. Inherit. Metab. Dis. 2007, 30, 585–592. [Google Scholar] [CrossRef]
- Sarafoglou, K.; Rodgers, J.; Hietala, A.; Matern, D.; Bentler, K. Expanded newborn screening for detection of vitamin B12 deficiency. JAMA 2011, 305, 1198–2000. [Google Scholar] [CrossRef] [PubMed] [Green Version]
- Gramer, G.; Fang-Hoffmann, J.; Feyh, P.; Klinke, G.; Monostori, P.; Okun, J.G.; Hoffmann, G.F. High incidence of maternal vitamin B12 deficiency detected by newborn screening: First results from a study for the evaluation of 26 additional target disorders for the German newborn screening panel. World J. Pediatr. 2018, 14, 470–481. [Google Scholar] [CrossRef] [PubMed]
- Gramer, G.; Fang-Hoffmann, J.; Feyh, P.; Klinke, G.; Monostori, P.; Mutze, U.; Posset, R.; Weiss, K.H.; Hoffman, G.F.; Okun, J.G. Newborn Screening for Vitamin B 12 Deficiency in Germany-Strategies, Results, and Public Health Implications. J. Pediatr. 2020, 216, 165–172. [Google Scholar] [CrossRef]
- Reinson, K.; Künnapas, K.; Kriisa, A.; Vals, M.A.; Muru, K.; Õunap, K. High incidence of low vitamin B12 levels in Estonian newborns. Mol. Genet. Metab. Rep. 2018, 15, 1–5. [Google Scholar] [CrossRef] [PubMed]
- Glaser, K.; Girschick, H.J.; Schropp, C.; Speer, C.P. Psychomotor development following early treatment of severe infantile vitamin B12 deficiency and West syndrome—Is everything fine? A case report and review of literature. Brain Dev. 2015, 37, 347–351. [Google Scholar] [CrossRef] [PubMed]
- Von Schenck, U.; Bender-Götze, C.; Koletzko, B. Persistence of neurological damage induced by dietary vitamin B-12 deficiency in infancy. Arch. Dis. Child 1997, 77, 137–139. [Google Scholar] [CrossRef] [Green Version]
- Graham, S.M.; Arvela, O.M.; Wise, G.A. Long-term neurologic consequences of nutritional vitamin B12 deficiency in infants. J. Pediatr. 1992, 121, 710–714. [Google Scholar] [CrossRef]
- Zengin, E.; Sarper, N.; Caki Kiliç, S. Clinical manifestations of infants with nutritional vitamin B deficiency due to maternal dietary deficiency. Acta Paediatr. 2009, 98, 98–102. [Google Scholar] [CrossRef]
- Goraya, J.S.; Kaur, S.; Mehra, B. Neurology of Nutritional Vitamin B12 Deficiency in Infants: Case Series from India and Literature Review. J. Child Neurol. 2015, 30, 1831–1837. [Google Scholar] [CrossRef]
- Honzik, T.; Adamovicova, M.; Smolka, V.; Magner, M.; Hruba, E.; Zeman, J. Clinical presentation and metabolic consequences in 40 breastfed infants with nutritional vitamin B12 deficiency—What have we learned? Eur. J. Paediatr. Neurol. 2010, 14, 488–495. [Google Scholar] [CrossRef]
- American College of Medical Genetics and Genomics. ACMG ACT Sheets and Algorithms; American College of Medical Genetics and Genomics: Bethesda, MD, USA, 2001. [Google Scholar] [PubMed]
- Means, R.T., Jr.; Fairfield, K.M. Clinical Manifestations and Diagnosis of Vitamin B12 and Folate Deficiency. In Up to Date. Available online: https://www.uptodate.com/contents/clinical-manifestations-and-diagnosis-of-vitamin-b12-and-folate-deficiency (accessed on 30 November 2021).
- Yetim, A.; Aygün, E.; Yetim, Ç.; Ucar, A.; Karakaş, Z.; Gökçay, G.; Demirkol, M.; Ömer, B.; Gökçay, G.; Baş, F. Measurement of serum vitamin B12-related metabolites in newborns: Implications for new cutoff values to detect B12 deficiency. J. Matern. Fetal. Neonatal. Med. 2019, 34, 1260–1268. [Google Scholar] [CrossRef] [PubMed]
- Centers for Disease Control and Prevention (CDC). Neurologic impairment in children associated with maternal dietary deficiency of cobalamin—Georgia, 2001. MMWR Morb. Mortal. Wkly Rep. 2003, 52, 61–64. [Google Scholar]
- Hannibal, L.; Lysne, V.; Bjørke-Monsen, A.L.; Behringer, S.; Grünert, S.C.; Spiekerkoetter, U.; Jacobsen, D.W.; Blom, H.J. Biomarkers and Algorithms for the Diagnosis of Vitamin B12 Deficiency. Front. Mol. Biosci. 2016, 27, 27. [Google Scholar] [CrossRef] [Green Version]
- Monostori, P.; Klinke, G.; Richter, S.; Barath, A.; Fingerhut, R.; Baumgartner, M.R.; Kolker, S.; Hoffmann, G.F.; Gramer, G.; Okun, J.G. Simultaneous determination of 3-hydroxypropionic acid, methylmalonic acid and methylcitric acid in dried blood spots: Second-tier LC-MS/MS assay for newborn screening of propionic acidemia, methylmalonic acidemias and combined remethylation disorders. PLoS ONE 2017, 12, e0184897. [Google Scholar] [CrossRef]
- Turgeon, C.T.; Magera, M.J.; Cuthbert, C.D.; Loken, P.R.; Gavrilov, D.K.; Tortorelli, S.; Raymond, K.M.; Oglesbee, D.; Rinaldo, P.; Matern, D. Determination of total homocysteine, methylmalonic acid, and 2-methylcitric acid in dried blood spots by tandem mass spectrometry. Clin. Chem. 2010, 56, 1686–1695. [Google Scholar] [CrossRef] [PubMed] [Green Version]
- Gavrilov, D.K.; Piazza, A.L.; Pino, G.; Turgeon, C.; Matern, D.; Oglesbee, D.; Raymond, K.; Tortorelli, S.; Rinaldo, P. The Combined Impact of CLIR Post-Analytical Tools and Second Tier Testing on the Performance of Newborn Screening for Disorders of Propionate, Methionine, and Cobalamin Metabolism. Int. J. Neonatal. Screen 2020, 6, 33. [Google Scholar] [CrossRef] [PubMed]
- Scott Schwoerer, J.; Clowes Candadai, S.; Held, P.K. Long-term outcomes in Amish patients diagnosed with propionic acidemia. Mol. Genet. Metab. Rep. 2018, 16, 36–38. [Google Scholar] [CrossRef]
- Al-Dirbashi, O.Y.; Alfadhel, M.; Al-Thihli, K.; Al Dhahouri, N.; Langhans, C.D.; Al Hammadi, Z.; Al-Shamsi, A.; Hertecant, J.; Okun, J.G.; Hoffmann, G.F.; et al. Assessment of methylcitrate and methylcitrate to citrate ratio in dried blood spots as biomarkers for inborn errors of propionate metabolism. Sci. Rep. 2019, 9, 12366. [Google Scholar] [CrossRef]
- Malvagia, S.; Forni, G.; Ombrone, D.; la Marca, G. Development of Strategies to Decrease False Positive Results in Newborn Screening. Int. J. Neonatal. Screen 2020, 6, 84. [Google Scholar] [CrossRef]
- Pajares, S.; Arranz, J.A.; Ormazabal, A.; Del Toro, M.; García-Cazorla, Á.; Navarro-Sastre, A.; López, R.M.; Meavilla, S.M.; de Los Santos, M.M.; García-Volpe, C.; et al. Implementation of second-tier tests in newborn screening for the detection of vitamin B12 related acquired and genetic disorders: Results on 258,637 newborns. Orphanet. J. Rare Dis. 2021, 16, 195. [Google Scholar] [CrossRef]
- Yahyaoui, R.; Blasco-Alonso, J.; Gonzalo-Marín, M.; Benito, C.; Serrano-Nieto, J.; González-Gallego, I.; Ruiz-Sala, P.; Pérez, B.; González-Lamuño, D. Metabolic Serendipities of Expanded Newborn Screening. Genes 2020, 11, 1018. [Google Scholar] [CrossRef] [PubMed]
- Hawthorne, S.; Levy, H.L. Can Newborn Screening for Vitamin B12 Deficiency be Incorporated into All Newborn Screening Programs? J. Pediatr. 2020, 216, 9–11. [Google Scholar] [CrossRef] [PubMed] [Green Version]



| Inborn Errors of Metabolism | 14 |
|---|---|
| 5 |
| 5 |
| 4 |
| False Positives—Complete Maternal Testing | 73 |
| 32 |
| 22 |
| 19 |
| False Positives—Incomplete Maternal Testing | 80 |
| 32 |
| 48 |
| Total | 167 |
| First-Tier Testing | Second-Tier Testing | Gene Name | Mutation | ||||
|---|---|---|---|---|---|---|---|
| C3 (µM) | C3/C2 | MMA (µM) | MCA (µM) | Allele 1 | Allele 2 | ||
| Propionic Acidemia | |||||||
| 1 | 10.08 | 0.44 | 0.16 | 3.39 | PCCB | c.1606A>G | c.1606A>G |
| 2 | 9.05 | 0.29 | 0.21 | 2.12 | PCCB | c.1606A>G | c.1606A>G |
| 3 | 6.88 | 0.38 | 0.28 | 3.26 | PCCB | c.1606A>G | c.1606A>G |
| 4 | 15.05 | 0.411 | 0.14 | 2.98 | PCCB | c.1606A>G | c.1606A>G |
| 5 | 8.34 | 0.28 | 0.04 | 2.48 | PCCB | c.1606A>G | c.1606A>G |
| Methylmalonic Acidemia | |||||||
| 1 | 7.37 | 0.25 | 13.3 | 2.27 | MMUT | c.1084-10A>G | c.1084-10A>G |
| 2 | 8.74 | 0.26 | 13.1 | 1.48 | MMUT | c.1196_1197delTG | c.2026G>A |
| 3 | 9.75 | 0.22 | 2.62 | 0.57 | MMUT | c.1663G>A | c.1663G>A |
| 4 | 5.10 | 0.22 | 4.62 | 1.04 | MMUT | c.1663G>A | c.1663G>A |
| 5 | 9.39 | 0.32 | 8.87 | 0.76 | CD320 | c.262_264del | c.262_264del |
| Cobalamin C Deficiency | |||||||
| 1 | 15.77 | 0.54 | 70.6 | 5.62 | MMACHC | c.271dupA | c.271dupA |
| 2 | 9.24 | 0.38 | 35.5 | 3.7 | MMACHC | c.271dupA | c.271dupA |
| 3 | 20.91 | 0.55 | 84.2 | 6.25 | MMACHC | c.271dupA | c.271dupA |
| 4 | 11.69 | 0.4 | 48.3 | 2.61 | MMACHC | c.271dupA | c.436_450del |
Publisher’s Note: MDPI stays neutral with regard to jurisdictional claims in published maps and institutional affiliations. |
© 2022 by the authors. Licensee MDPI, Basel, Switzerland. This article is an open access article distributed under the terms and conditions of the Creative Commons Attribution (CC BY) license (https://creativecommons.org/licenses/by/4.0/).
Share and Cite
Held, P.K.; Singh, E.; Scott Schwoerer, J. Screening for Methylmalonic and Propionic Acidemia: Clinical Outcomes and Follow-Up Recommendations. Int. J. Neonatal Screen. 2022, 8, 13. https://doi.org/10.3390/ijns8010013
Held PK, Singh E, Scott Schwoerer J. Screening for Methylmalonic and Propionic Acidemia: Clinical Outcomes and Follow-Up Recommendations. International Journal of Neonatal Screening. 2022; 8(1):13. https://doi.org/10.3390/ijns8010013
Chicago/Turabian StyleHeld, Patrice K., Emily Singh, and Jessica Scott Schwoerer. 2022. "Screening for Methylmalonic and Propionic Acidemia: Clinical Outcomes and Follow-Up Recommendations" International Journal of Neonatal Screening 8, no. 1: 13. https://doi.org/10.3390/ijns8010013
APA StyleHeld, P. K., Singh, E., & Scott Schwoerer, J. (2022). Screening for Methylmalonic and Propionic Acidemia: Clinical Outcomes and Follow-Up Recommendations. International Journal of Neonatal Screening, 8(1), 13. https://doi.org/10.3390/ijns8010013

