Enhancing Icephobic Coatings: Exploring the Potential of Dopamine-Modified Epoxy Resin Inspired by Mussel Catechol Groups
Abstract
1. Introduction
2. Materials and Methods
2.1. Materials
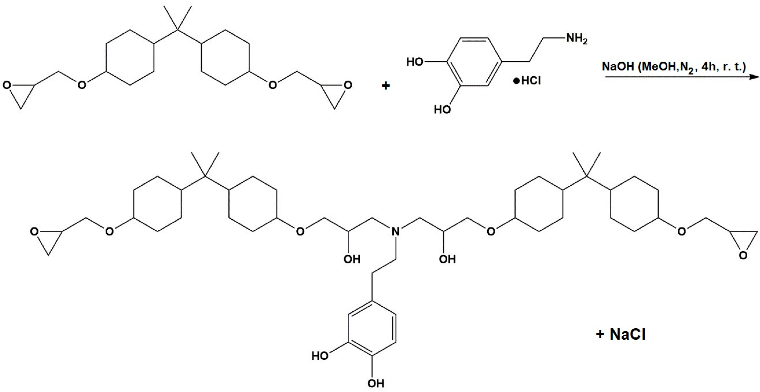
2.2. Synthesis of Dopamine-Modified Epoxy Resin
2.3. Coatings Preparation and Application
2.4. Characterizations
2.4.1. Characterization of Dopamine-Modified Epoxy Resin
2.4.2. Surface Characterization of the Coatings
2.4.3. Mechanical Properties of the Coatings
2.4.4. Icephobic Properties of the Coatings
3. Results and Discussion
3.1. Chemical Characterization of the Modified Epoxy Resin
3.1.1. FTIR
3.1.2. NMR
3.2. Surface Analysis of the Prepared Coatings
3.2.1. XPS
3.2.2. Wettability of the Prepared Coatings
3.3. Mechanical Properties of the Prepared Coatings
3.4. Icephobic Properties of the Prepared Coatings
3.4.1. Freezing Delay Temperature and Time
3.4.2. Non-Frozen Quasi-Liquid Layer (QLL) Characterization
3.4.3. Ice Adhesion Strength and Durability
4. Conclusions
Author Contributions
Funding
Institutional Review Board Statement
Data Availability Statement
Acknowledgments
Conflicts of Interest
References
- Meuler, A.J.; Smith, J.D.; Varanasi, K.K.; Mabry, J.M.; McKinley, G.H.; Cohen, R.E. Relationships between water wettability and ice adhesion. ACS Appl. Mater. Interfaces 2010, 2, 3100–3110. [Google Scholar] [CrossRef]
- Wang, F.; Zhuo, Y.; He, Z.; Xiao, S.; He, J.; Zhang, Z. Dynamic Anti-Icing Surfaces (DAIS). Adv. Sci. 2021, 8, 2101163. [Google Scholar] [CrossRef]
- Wu, S.; Du, Y.; Alsaid, Y.; Wu, D.; Hua, M.; Yan, Y.; Yao, B.; Ma, Y.; Zhu, X.; He, X. Superhydrophobic photothermal icephobic surfaces based on candle soot. Proc. Natl. Acad. Sci. USA 2020, 117, 11240–11246. [Google Scholar] [CrossRef]
- He, Z.; Jamil, M.I.; Li, T.; Zhang, Q. Enhanced surface icephobicity on an elastic substrate. Langmuir 2021, 38, 18–35. [Google Scholar] [CrossRef]
- He, Z.; Xiao, S.; Gao, H.; He, J.; Zhang, Z. Multiscale crack initiator promoted super-low ice adhesion surfaces. Soft Matter 2017, 13, 6562–6568. [Google Scholar] [CrossRef]
- Li, W.; Zhan, Y.; Yu, S. Applications of superhydrophobic coatings in anti-icing: Theory, mechanisms, impact factors, challenges and perspectives. Prog. Org. Coat. 2021, 152, 106117. [Google Scholar] [CrossRef]
- Shamshiri, M.; Jafari, R.; Momen, G. Icephobic properties of aqueous self-lubricating coatings containing PEG-PDMS copolymers. Prog. Org. Coat. 2021, 161, 106466. [Google Scholar] [CrossRef]
- Heydarian, S.; Maghsoudi, K.; Jafari, R.; Gauthier, H.; Momen, G. Fabrication of liquid-infused textured surfaces (LITS): The effect of surface textures on anti-icing properties and durability. Mater. Today Commun. 2022, 32, 103935. [Google Scholar] [CrossRef]
- Golovin, K.; Kobaku, S.P.; Lee, D.H.; DiLoreto, E.T.; Mabry, J.M.; Tuteja, A. Designing durable icephobic surfaces. Sci. Adv. 2016, 2, e1501496. [Google Scholar] [CrossRef]
- Liu, Y.; Ma, L.; Wang, W.; Kota, A.K.; Hu, H. An experimental study on soft PDMS materials for aircraft icing mitigation. Appl. Surf. Sci. 2018, 447, 599–609. [Google Scholar] [CrossRef]
- Li, T.; Ibáñez-Ibáñez, P.F.; Håkonsen, V.; Wu, J.; Xu, K.; Zhuo, Y.; Luo, S.; He, J.; Zhang, Z. Self-deicing electrolyte hydrogel surfaces with Pa-level ice adhesion and durable antifreezing/antifrost performance. ACS Appl. Mater. Interfaces 2020, 12, 35572–35578. [Google Scholar] [CrossRef]
- Zhuo, Y.; Xiao, S.; Håkonsen, V.; He, J.; Zhang, Z. Anti-icing ionogel surfaces: Inhibiting ice nucleation, growth, and adhesion. ACS Mater. Lett. 2020, 2, 616–623. [Google Scholar] [CrossRef]
- Janjua, Z.A.; Turnbull, B.; Choy, K.-L.; Pandis, C.; Liu, J.; Hou, X.; Choi, K.-S. Performance and durability tests of smart icephobic coatings to reduce ice adhesion. Appl. Surf. Sci. 2017, 407, 555–564. [Google Scholar] [CrossRef]
- Hakimian, A.; Nazifi, S.; Ghasemi, H. Durability assessment of icephobic coatings. In Ice Adhesion: Mechanism, Measurement and Mitigation; Wiley: Hoboken, NJ, USA, 2020; pp. 521–545. [Google Scholar] [CrossRef]
- Owen, M.J. Elastomers: Siloxane. In Encyclopedia of Materials: Science and Technology; Elsevier: Amsterdam, The Netherlands, 2001; pp. 2480–2482. [Google Scholar] [CrossRef]
- Golovin, K.; Tuteja, A. A predictive framework for the design and fabrication of icephobic polymers. Sci. Adv. 2017, 3, e1701617. [Google Scholar] [CrossRef]
- Zhuo, Y.; Xiao, S.; Amirfazli, A.; He, J.; Zhang, Z. Polysiloxane as icephobic materials–The past, present and the future. Chem. Eng. J. 2021, 405, 127088. [Google Scholar] [CrossRef]
- Jin, F.-L.; Li, X.; Park, S.-J. Synthesis and application of epoxy resins: A review. J. Ind. Eng. Chem. 2015, 29, 1–11. [Google Scholar] [CrossRef]
- Psarski, M.; Pawlak, D.; Grobelny, J.; Celichowski, G. Relationships between surface chemistry, nanotopography, wettability and ice adhesion in epoxy and SU-8 modified with fluoroalkylsilanes from the vapor phase. Appl. Surf. Sci. 2019, 479, 489–498. [Google Scholar] [CrossRef]
- Lv, J.; Zhu, C.; Qiu, H.; Zhang, J.; Gu, C.; Feng, J. Robust icephobic epoxy coating using maleic anhydride as a crosslinking agent. Prog. Org. Coat. 2020, 142, 105561. [Google Scholar] [CrossRef]
- Bai, Z.-G.; Zhang, B. Fabrication of a mechanically-stable anti-icing graphene oxide-diatomaceous earth/epoxy coating. Mater. Res. Express 2019, 6, 085090. [Google Scholar] [CrossRef]
- Wu, X.; Zheng, S.; Bellido-Aguilar, D.A.; Silberschmidt, V.V.; Chen, Z. Transparent icephobic coatings using bio-based epoxy resin. Mater. Des. 2018, 140, 516–523. [Google Scholar] [CrossRef]
- Qin, C.C.; Mulroney, A.T.; Gupta, M.C. Anti-icing epoxy resin surface modified by spray coating of PTFE Teflon particles for wind turbine blades. Mater. Today Commun. 2020, 22, 100770. [Google Scholar] [CrossRef]
- Bellido-Aguilar, D.A.; Zheng, S.; Huang, Y.; Zeng, X.; Zhang, Q.; Chen, Z. Solvent-free synthesis and hydrophobization of biobased epoxy coatings for anti-icing and anticorrosion applications. ACS Sustain. Chem. Eng. 2019, 7, 19131–19141. [Google Scholar] [CrossRef]
- Chen, J.; Luo, Z.; Fan, Q.; Lv, J.; Wang, J. Anti-ice coating inspired by ice skating. Small 2014, 10, 4693–4699. [Google Scholar] [CrossRef]
- He, Z.; Zhuo, Y.; Zhang, Z.; He, J. Design of icephobic surfaces by lowering ice adhesion strength: A mini review. Coatings 2021, 11, 1343. [Google Scholar] [CrossRef]
- Chen, J.; Dou, R.; Cui, D.; Zhang, Q.; Zhang, Y.; Xu, F.; Zhou, X.; Wang, J.; Song, Y.; Jiang, L. Robust prototypical anti-icing coatings with a self-lubricating liquid water layer between ice and substrate. ACS Appl. Mater. Interfaces 2013, 5, 4026–4030. [Google Scholar] [CrossRef]
- Chen, J.; Li, K.; Wu, S.; Liu, J.; Liu, K.; Fan, Q. Durable anti-icing coatings based on self-sustainable lubricating layer. ACS Omega 2017, 2, 2047–2054. [Google Scholar] [CrossRef]
- Taghizadeh, A.; Taghizadeh, M.; Yazdi, M.K.; Zarrintaj, P.; Ramsey, J.D.; Seidi, F.; Stadler, F.J.; Lee, H.; Saeb, M.R.; Mozafari, M. Mussel-inspired biomaterials: From chemistry to clinic. Bioeng. Transl. Med. 2022, 7, e10385. [Google Scholar] [CrossRef]
- Yu, J.; Kan, Y.; Rapp, M.; Danner, E.; Wei, W.; Das, S.; Miller, D.R.; Chen, Y.; Waite, J.H.; Israelachvili, J.N. Adaptive hydrophobic and hydrophilic interactions of mussel foot proteins with organic thin films. Proc. Natl. Acad. Sci. USA 2013, 110, 15680–15685. [Google Scholar] [CrossRef]
- Laforte, C.; Beisswenger, A. Icephobic material centrifuge adhesion test. In Proceedings of the 11th International Workshop on Atmospheric Icing of Structures, IWAIS, Montreal, QC, Canada, 12–16 June 2005; pp. 12–16. [Google Scholar]
- ASTM D4366-16; Standard Test Methods for Hardness of Organic Coatings by Pendulum Damping Tests. ASTM: Philadelphia, PA, USA, 2021.
- ASTM D4541-22; Standard Test Method for Pull-Off Strength of Coatings Using Portable Adhesion Testers. ASTM: Philadelphia, PA, USA, 2022.
- Vazirinasab, E.; Jafari, R.; Momen, G. Evaluation of atmospheric-pressure plasma parameters to achieve superhydrophobic and self-cleaning HTV silicone rubber surfaces via a single-step, eco-friendly approach. Surf. Coat. Technol. 2019, 375, 100–111. [Google Scholar] [CrossRef]
- ASTM D4060-19; Standard Test Method for Abrasion Resistance of Organic Coatings by the Taber Abraser. ASTM: Philadelphia, PA, USA, 2019.
- ASTM D2370-16; Standard Test Method for Tensile Properties of Organic Coatings. ASTM: Philadelphia, PA, USA, 2021.
- Mehwish, N.; Xu, M.; Zaeem, M.; Lee, B.H. Mussel-Inspired Surface Functionalization of Porous Albumin Cryogels Supporting Synergistic Antibacterial/Antioxidant Activity and Bone-Like Apatite Formation. Gels 2022, 8, 679. [Google Scholar] [CrossRef]
- Huang, J.; Zhang, W.; Li, H.; Yu, X.; Ding, S.; Wu, C. An autonomous self-healing hydrogel with high polydopamine content for improved tensile strength. J. Mater. Sci. 2020, 55, 17255–17265. [Google Scholar] [CrossRef]
- Safaei, F.; Khorasani, S.N.; Rahnama, H.; Neisiany, R.E.; Koochaki, M.S. Single microcapsules containing epoxy healing agent used for development in the fabrication of cost efficient self-healing epoxy coating. Prog. Org. Coat. 2018, 114, 40–46. [Google Scholar] [CrossRef]
- Koochaki, M.S.; Khorasani, S.N.; Neisiany, R.E.; Ashrafi, A.; Trasatti, S.P.; Magni, M. A highly responsive healing agent for the autonomous repair of anti-corrosion coatings on wet surfaces. In operando assessment of the self-healing process. J. Mater. Sci. 2021, 56, 1794–1813. [Google Scholar] [CrossRef]
- Adja, A.A.S.; Sobhani, S.; Momen, G.; Fofana, I.; Carrière, J. Step by step progress to achieve an icephobic silicone-epoxy hybrid coating: Tailoring matrix composition and additives. J. Appl. Polym. Sci. 2023, 140, e54262. [Google Scholar] [CrossRef]
- Oh, D.X.; Shin, S.; Lim, C.; Hwang, D.S. Dopamine-mediated sclerotization of regenerated chitin in ionic liquid. Materials 2013, 6, 3826–3839. [Google Scholar] [CrossRef]
- Suárez-García, S.; Sedó, J.; Saiz-Poseu, J.; Ruiz-Molina, D. Copolymerization of a catechol and a diamine as a versatile polydopamine-like platform for surface functionalization: The case of a hydrophobic coating. Biomimetics 2017, 2, 22. [Google Scholar] [CrossRef]
- Saiz-Poseu, J.; Mancebo-Aracil, J.; Nador, F.; Busqué, F.; Ruiz-Molina, D. The chemistry behind catechol-based adhesion. Angew. Chem. Int. Ed. 2019, 58, 696–714. [Google Scholar] [CrossRef]
- McCloskey, B.D.; Park, H.B.; Ju, H.; Rowe, B.W.; Miller, D.J.; Chun, B.J.; Kin, K.; Freeman, B.D. Influence of polydopamine deposition conditions on pure water flux and foulant adhesion resistance of reverse osmosis, ultrafiltration, and microfiltration membranes. Polymer 2010, 51, 3472–3485. [Google Scholar] [CrossRef]
- Huang, L.; Arena, J.T.; Manickam, S.S.; Jiang, X.; Willis, B.G.; McCutcheon, J.R. Improved mechanical properties and hydrophilicity of electrospun nanofiber membranes for filtration applications by dopamine modification. J. Membr. Sci. 2014, 460, 241–249. [Google Scholar] [CrossRef]
- Drelich, J. The effect of drop (bubble) size on contact angle at solid surfaces. J. Adhes. 1997, 63, 31–51. [Google Scholar] [CrossRef]
- Chen, W.; Fadeev, A.Y.; Hsieh, M.C.; Öner, D.; Youngblood, J.; McCarthy, T.J. Ultrahydrophobic and ultralyophobic surfaces: Some comments and examples. Langmuir 1999, 15, 3395–3399. [Google Scholar] [CrossRef]
- Huang, J.; Fu, P.; Li, W.; Xiao, L.; Chen, J.; Nie, X. Influence of crosslinking density on the mechanical and thermal properties of plant oil-based epoxy resin. RSC Adv. 2022, 12, 23048–23056. [Google Scholar] [CrossRef]
- Balgude, D.; Sabnis, A.; Ghosh, S.K. Synthesis and characterization of cardanol based reactive polyamide for epoxy coating application. Prog. Org. Coat. 2017, 104, 250–262. [Google Scholar] [CrossRef]
- Ibáñez-Ibáñez, P.F.; Montes Ruiz-Cabello, F.J.; Cabrerizo-Vílchez, M.A.; Rodríguez-Valverde, M.A. Mechanical Durability of Low Ice Adhesion Polydimethylsiloxane Surfaces. ACS Omega 2022, 7, 20741–20749. [Google Scholar] [CrossRef]
- Ibáñez-Ibáñez, P.F.; Ruiz-Cabello, F.J.M.; Cabrerizo-Vílchez, M.A.; Rodríguez-Valverde, M.A. Ice adhesion of PDMS surfaces with balanced elastic and water-repellent properties. J. Colloid Interface Sci. 2022, 608, 792–799. [Google Scholar] [CrossRef]
- Shamshiri, M.; Jafari, R.; Momen, G. A novel hybrid anti-icing surface combining an aqueous self-lubricating coating and phase-change materials. Prog. Org. Coat. 2023, 177, 107414. [Google Scholar] [CrossRef]
- Kord Forooshani, P.; Lee, B.P. Recent approaches in designing bioadhesive materials inspired by mussel adhesive protein. J. Polym. Sci. Part A Polym. Chem. 2017, 55, 9–33. [Google Scholar] [CrossRef]
- Amirfazli, A.; Antonini, C. Fundamentals of Anti-Icing Surfaces. In Non-Wettable Surfaces: Theory, Preparation, and Applications; Ras, R.H.A., Marmur, A., Eds.; The Royal Society of Chemistry: Cambridge, UK, 2016; p. 319. [Google Scholar] [CrossRef]
- Eberle, P.; Tiwari, M.K.; Maitra, T.; Poulikakos, D. Rational nanostructuring of surfaces for extraordinary icephobicity. Nanoscale 2014, 6, 4874–4881. [Google Scholar] [CrossRef]
- Chen, J.; Wang, Y.; Leibauer, B.; Seki, T.; Meister, K.; Nagata, Y.; Bonn, M. Tuning ice nucleation by mussel-adhesive inspired polyelectrolytes: The role of hydrogen bonding. CCS Chem. 2022, 4, 2890–2990. [Google Scholar] [CrossRef]
- Chen, D.; Gelenter, M.D.; Hong, M.; Cohen, R.E.; McKinley, G.H. Icephobic surfaces induced by interfacial nonfrozen water. ACS Appl. Mater. Interfaces 2017, 9, 4202–4214. [Google Scholar] [CrossRef]
- Schutzius, T.M.; Jung, S.; Maitra, T.; Eberle, P.; Antonini, C.; Stamatopoulos, C.; Poulikakos, D. Physics of icing and rational design of surfaces with extraordinary icephobicity. Langmuir 2015, 31, 4807–4821. [Google Scholar] [CrossRef]
- Uda, Y.; Zepeda, S.; Kaneko, F.; Matsuura, Y.; Furukawa, Y. Adsorption-induced conformational changes of antifreeze glycoproteins at the ice/water interface. J. Phys. Chem. B 2007, 111, 14355–14361. [Google Scholar] [CrossRef]
- Murata, K.-i.; Nagashima, K.; Sazaki, G. How do ice crystals grow inside quasiliquid layers? Phys. Rev. Lett. 2019, 122, 026102. [Google Scholar] [CrossRef]
- Tanaka, H. Possible resolution of the Kauzmann paradox in supercooled liquids. Phys. Rev. E 2003, 68, 011505. [Google Scholar] [CrossRef]
- Kawasaki, T.; Kim, K. Identifying time scales for violation/preservation of Stokes-Einstein relation in supercooled water. Sci. Adv. 2017, 3, e1700399. [Google Scholar] [CrossRef]
- Bonn, D. The physics of ice skating. Nature 2020, 577, 173–174. [Google Scholar] [CrossRef]
- Zheng, Q.; Lv, J.; Zhang, J.; Feng, J. Fabrication and application of icephobic silicone coatings on epoxy substrate. Prog. Org. Coat. 2021, 161, 106483. [Google Scholar] [CrossRef]

















| Pristine Epoxy Coating | Dopamine-Modified Epoxy Coating | ||
|---|---|---|---|
| C–C | 83.65% | 56.41% | |
| C1s | C–O | 16.35% | 26.34% |
| C=C | -- | 17.25% |
| Pristine Epoxy Coating | Dopamine-Modified Epoxy Coating | |
|---|---|---|
| Tensile strength (MPa) | 20.8 ± 1.6 | 9.6 ± 0.9 |
| Elongation at break (%) | 9 ± 3 | 45 ± 8 |
| Elastic modulus (MPa) | 576 ± 38 | 215 ± 17 |
| Hardness (s) | 255 ± 19 | 130 ± 7.5 |
| Abrasion resistance: wear index (mg/cycle) | 32 ± 3 | 43 ± 4 |
| Adhesion strength (MPa) | 3.34 ± 0.38 | 5.74 ± 0.43 |
| Product and Beam # | Clean Surface (±70 mm2) * | Ice Mass after Icing (±0.02 g) | Ice Mass Detached (±0.02 g) | % of Ice Mass Detached | Time (s) | Speed (±25 RPM) | Force (N) | Bulk Shear Stress (±50 kPa) | |
|---|---|---|---|---|---|---|---|---|---|
| Control (pristine) epoxy coatings: CEP | CEP.1 | 888 | 5.41 | 4.93 | 91 | 28 | 8374 | 592 | 666 |
| CEP.2 | 945 | 5.78 | 5.48 | 95 | 27 | 8092 | 611 | 646 | |
| CEP.3 | 963 | 5.72 | 5.31 | 93 | 27 | 8070 | 588 | 610 | |
| CEP.4 | 1041 | 5.92 | 5.77 | 97 | 28 | 8368 | 681 | 654 | |
| CEP.5 | 934 | 5.91 | 5.48 | 93 | 25 | 7516 | 528 | 565 | |
| CEP.6 | 1029 | 5.88 | 5.66 | 96 | 26 | 7754 | 574 | 558 | |
| Average | 27 | 8029 | 596 | 617 | |||||
| Standard deviation | 1 | 340 | 50 | 47 | |||||
| % Variation | 4% | 4% | 8% | 8% | |||||
| Dopamine-modified epoxy coatings: DEP | DEP.1 | 1053 | 5.63 | 5.52 | 98 | 10 | 3147 | 92 | 87 |
| DEP.2 | 1213 | 5.69 | 5.61 | 99 | 11 | 3224 | 97 | 80 | |
| DEP.3 | 1199 | 5.86 | 5.78 | 99 | 10 | 3144 | 95 | 79 | |
| DEP.4 | 1122 | 5.83 | 5.76 | 99 | 11 | 3280 | 104 | 92 | |
| DEP.5 | 1301 | 5.87 | 5.83 | 99 | 11 | 3190 | 97 | 75 | |
| DEP.6 | 1122 | 6.05 | 5.97 | 99 | 11 | 3307 | 109 | 97 | |
| Average | 11 | 3215 | 99 | 85 | |||||
| Standard deviation | 0 | 68 | 6 | 9 | |||||
| % Variation | 2% | 2% | 6% | 10% | |||||
Disclaimer/Publisher’s Note: The statements, opinions and data contained in all publications are solely those of the individual author(s) and contributor(s) and not of MDPI and/or the editor(s). MDPI and/or the editor(s) disclaim responsibility for any injury to people or property resulting from any ideas, methods, instructions or products referred to in the content. |
© 2024 by the authors. Licensee MDPI, Basel, Switzerland. This article is an open access article distributed under the terms and conditions of the Creative Commons Attribution (CC BY) license (https://creativecommons.org/licenses/by/4.0/).
Share and Cite
Koochaki, M.S.; Momen, G.; Lavoie, S.; Jafari, R. Enhancing Icephobic Coatings: Exploring the Potential of Dopamine-Modified Epoxy Resin Inspired by Mussel Catechol Groups. Biomimetics 2024, 9, 349. https://doi.org/10.3390/biomimetics9060349
Koochaki MS, Momen G, Lavoie S, Jafari R. Enhancing Icephobic Coatings: Exploring the Potential of Dopamine-Modified Epoxy Resin Inspired by Mussel Catechol Groups. Biomimetics. 2024; 9(6):349. https://doi.org/10.3390/biomimetics9060349
Chicago/Turabian StyleKoochaki, Mohammad Sadegh, Gelareh Momen, Serge Lavoie, and Reza Jafari. 2024. "Enhancing Icephobic Coatings: Exploring the Potential of Dopamine-Modified Epoxy Resin Inspired by Mussel Catechol Groups" Biomimetics 9, no. 6: 349. https://doi.org/10.3390/biomimetics9060349
APA StyleKoochaki, M. S., Momen, G., Lavoie, S., & Jafari, R. (2024). Enhancing Icephobic Coatings: Exploring the Potential of Dopamine-Modified Epoxy Resin Inspired by Mussel Catechol Groups. Biomimetics, 9(6), 349. https://doi.org/10.3390/biomimetics9060349

