Abstract
The growing demand for sustainable energy requires solutions that combine economic feasibility, environmental benefits, and positive social impacts. In this context, the use of poultry waste as feedstock for biogas production emerges as a promising alternative, contributing to waste reduction and the mitigation of greenhouse gas emissions. This study assesses the economic feasibility and risk of implementing a consortium-based biogas-fired power plant within Brazil’s Micro and Mini Distributed Generation (MMDG) framework. Two scenarios were evaluated: the first included the cost of acquiring poultry manure, while the second excluded this expense. In both cases, the results confirmed economic feasibility, with positive Net Present Value (NPV), Modified Internal Rate of Return (MIRR) above the Minimum Attractive Rate of Return (MARR), and favorable Discounted Payback Periods. Scenario 2 provided greater investment security, as only 0.05% of simulations indicated infeasibility, compared to 0.12% in Scenario 1. Risk analysis using Monte Carlo simulations revealed that the availability and cost of poultry manure were the most critical variables influencing economic performance. Beyond financial indicators, the consortium-based distributed generation model demonstrates potential to attract investors, diversify the energy mix, and deliver socio-economic and environmental benefits. This study contributes to both academic research and practical applications by providing valuable guidance for investors and policymakers in renewable distributed generation.
1. Introduction
The increasing demand for electricity, combined with the vulnerabilities of centralized generation systems, highlights the importance of expanding and diversifying the energy mix with solutions that are not only technically viable but also economically efficient and environmentally sustainable [1,2]. In countries that rely heavily on hydropower, prolonged droughts and low reservoir levels expose the system to supply insecurity, often requiring thermoelectric dispatch and leading to higher costs for consumers [3]. Conversely, in systems predominantly based on fossil-fueled thermoelectric plants, the environmental burden increases, as coal, oil, and natural gas remain the main fuel sources [4]. These challenges reinforce the need for alternatives that simultaneously ensure economic feasibility, mitigate risks, and generate positive environmental and social outcomes.
Distributed generation (DG) has emerged as an important solution, transforming consumers into prosumers by allowing them to produce part of their own electricity, thus reducing operating costs while contributing to system reliability. For the power sector, DG offers several advantages, such as postponing investments in transmission infrastructure, reducing losses, diversifying the energy mix, and lessening environmental impacts [5]. In Brazil, this process has been supported since 2012 by a specific regulatory framework for micro and mini distributed generation (MMDG), regulated by the National Electric Energy Agency (ANEEL) [6,7,8,9]. Among its modalities, shared generation enables the creation of consortia in which energy credits are distributed among participants, promoting innovative business models accessible to individuals and corporations.
Within this framework, biogas represents a renewable resource capable of reconciling economic and environmental demands [10,11]. Produced through the anaerobic digestion of animal waste, it enables the sustainable use of residues that would otherwise be discarded, contributing to waste management while reducing greenhouse gas emissions [12]. Several studies have demonstrated the technical and economic viability of biogas-based systems in different contexts [13,14,15]. However, most previous studies have focused primarily on energy efficiency and greenhouse gas mitigation, without incorporating economic risk or uncertainty into the assessment [16].
In addition to these environmental benefits, biogas contributes to energy security and can generate socio-economic opportunities in rural regions linked to livestock and poultry production. However, few studies have integrated a detailed risk-based assessment with consortium-based business models in the MMDG context, particularly when addressing both economic indicators and environmental perspectives, which defines the research gap this paper seeks to fill.
On a global scale, egg production reached approximately 1.3 trillion units in 2024, with China accounting for 49% of this total. Brazil, ranked as the sixth-largest egg producer worldwide, together with the European Union, contributed 45.8 billion eggs—representing a 4.8% increase compared to 2023 [17,18]. In the Brazilian context, the state of Espírito Santo stands out among the country’s top egg-producing states, driven by its efficiency and high standards in poultry farming. Within this state, the municipality of Santa Maria de Jetibá emerges as Brazil’s largest egg producer [19].
This high production volume results in a large population of laying hens and, consequently, the generation of significant quantities of poultry manure. Poultry farms in Espírito Santo, with an estimated population of approximately 12.7 million laying hens, produce around 50,000 metric tons of manure each year [19]. Farmers use about half of this output as raw material for fertilizer production, while the remainder is either sold to local vegetable, papaya, and coffee producers or discarded. Considering the potential of this residue to serve as feedstock for electricity generation, there is a clear opportunity to transform an environmental liability into a renewable energy resource with measurable economic value.
This study evaluates the economic feasibility and risk profile of a consortium-based biogas-fired power plant within the Brazilian MMDG framework. Two scenarios are analyzed: one including the purchase of poultry manure and another excluding this cost. The analysis employs standard economic indicators such as net present value (NPV), modified internal rate of return (MIRR), and discounted payback period, combined with Monte Carlo simulations to account for uncertainties. Beyond financial performance, the study emphasizes the environmental contributions of converting waste into energy and the socio-economic potential of fostering new business models for distributed generation. By integrating these dimensions, this research contributes to the technological advancement of poultry waste-to-energy systems, offering a novel analytical framework that links environmental, economic, and risk-based perspectives to enhance the design and assessment of sustainable distributed generation projects.
2. Methodology
The thermoelectric plant functions as a dispatchable energy source with a maximum generation capacity of 5 MW, meeting the limit established by Brazilian legislation and defining the system’s installed capacity. Otto cycle engines fueled by biogas cut emissions and deliver higher average efficiency than steam or gas turbines. For this reason, the project employs a biogas-fired thermoelectric plant powered by an internal combustion engine operating on the Otto cycle.
This study evaluates only the portion of organic waste that poultry producers typically discard. Approximately 50% of the organic matter—about 25,000 metric tons annually—either goes to small regional farmers or ends up as waste [19]. In this scenario, the investor avoids losing potential revenue from material used in fertilizer production and instead improves profit margins by allocating animal waste more efficiently. Anaerobic digestion also generates digestate as a by-product, which holds market value as a fertilizer and could provide additional revenue for the energy consortium. However, this analysis excludes potential profitability from digestate utilization and focuses solely on biogas as the feedstock for the business model.
The selected generation technology follows the system described in [20]. That study reports a yield of 126 m3 of biogas per metric ton of fresh matter, producing the equivalent of 257.3 kWh of electricity. The methane content in the fresh matter directly affects the expected energy output. The reference assumes a typical methane content of 55%, considering an Otto cycle internal combustion engine operating at 35% efficiency. Variations in methane content—and consequently in electricity generation—can be adjusted for each case according to the characteristics of the feedstock.
To estimate the plant’s average monthly energy output, the analysis uses the standard equation relating power to energy. The model assumes 20 operating hours per day on all business days of the month. The schedule reserves weekends for biodigester refueling and allocates four hours each day for maintenance and troubleshooting.
The project adopts a power generation consortium model that serves two customer profiles and streamlines the venture’s legal and operational structure.
2.1. Composition of CAPEX and OPEX
In engineering economics, Capital Expenditure (CAPEX) represents the initial investment required to acquire, construct, or upgrade physical assets such as equipment, infrastructure, or facilities. This expenditure establishes the operational capacity of a project and typically involves one-time costs essential for system implementation. Operational Expenditure (OPEX) refers to the recurring costs necessary for continuous operation, including maintenance, labor, energy, and raw materials. Together, CAPEX and OPEX provide a comprehensive financial framework for evaluating the feasibility and long-term sustainability of system [21].
In this study, the CAPEX includes three cost categories: the plant budget, installation expenses, and the construction cost of the electrical substation. Each category reflects average market prices. The OPEX considers two scenarios. In both, the monthly costs include machinery rental for raw material transport, video monitoring, plant operation and maintenance, and the contracted generation demand charge. To account for other minor expenses, the analysis includes an “additional costs” component equal to 5% of the sum of all other OPEX items. Labor-related expenses, including operator salaries, maintenance staff, and administrative or consortium management activities, are encompassed within the category “Plant operation and maintenance costs” in the OPEX model. This category represents the total recurring expenses required to ensure the continuous and efficient operation of the thermoelectric plant.
Scenario 1 factors in the purchase of all organic matter required for the projected generation, while Scenario 2 excludes this expense. Scenario 2 is based on the current market conditions of the analyzed region, where poultry producers face difficulties in properly disposing of manure. In this context, electricity generation emerges as a practical solution that can both add economic value and address the existing waste disposal problem. The scenario therefore represents the perspective of a local producer who reallocates this residue for energy production without incurring disposal costs, whereas Scenario 1 reflects the perspective of an external investor not engaged in poultry production. The production and commercialization of digestate are not yet a reality in the market conditions considered in this study.
To estimate the total raw material needed for the target average generation, the analysis applies the model presented in [20], which associates one metric ton of fresh matter with 257.3 kWh of electricity. Based on this volume, the study calculates the cost of poultry manure using an average market price from 2019, adjusted to the current year with a 7% annual inflation rate. This adjustment results in a cost of USD 25.53 per metric ton, reflecting the local context and information obtained directly from regional poultry producers [22].
2.2. Assessment of Economic and Financial Benefits
The consortium model operates by leasing distributed generation energy credits under a subscription scheme. Each member’s electricity bill undergoes an analysis to determine the total value of all components eligible for credit compensation. The consortium then charges a fee equal to 75% of this total, consistent with current market practices.
The business model considers two perspectives: that of the customer and that of the investor. From the customer’s perspective, the individual pays two invoices: the electricity bill—reduced by the applied energy credit compensation, either partial or total—and the consortium invoice. This structure generates direct financial savings for customers, as the reduction in the utility bill combined with the discounted consortium charge results in a net decrease in total monthly energy expenses. Depending on the consumption profile and the level of credit compensation applied, these savings typically range from 10% to 20%, providing a predictable and recurring economic benefit throughout the contract period.
From the investor’s perspective, financial returns depend on the number of customers served and the contractual charge rate. Selecting the appropriate charge rate becomes critical to balancing interests from both perspectives, ensuring the investment remains attractive to all parties involved. This study focuses on the investor’s perspective, emphasizing the long-term profitability and financial resilience of the consortium model. Under the assumptions adopted, the consortium achieves stable cash inflows through monthly payments from customers, generating an annual return on investment aligned with the indicators presented in the economic feasibility analysis. In addition to the stability of cash inflows, the model offers scalability, as the inclusion of new consortium members proportionally increases total revenue without significant rises in operating costs, reinforcing its economic viability.
Overall, this configuration ensures mutual benefits: customers experience measurable reductions in their energy costs, while investors obtain consistent profitability and low exposure to financial risk, supported by the subscription-based nature of the business model. This dual advantage underscores the financial sustainability of the proposed consortium framework.
2.3. Cash Flow Framework
The analysis considers total revenue from three-phase commercial consumers with an average monthly demand of 2500 kWh, assuming the maximum possible reduction in electricity bills. This consumption level reflects the average energy demand for the commercial sector in Brazil, according to data from the Brazilian Energy Research Company, Brasília, Brazil (EPE) [23].
Within the Brazilian regulatory framework, three main components affect the expected consortium revenue: the Distribution System Usage Tariff (TUSD), the Energy Tariff (TE), and the TUSD-Fio B, the portion of the TUSD which represents the costs of using the electricity distribution network.
Future tariff projections were based on historical variations observed over the past ten years. After identifying long-term trends, projections of each tariff were carried forward to the analysis horizon used in the cash flow model. Tax rates were projected using the same approach. However, unlike tariffs, the PIS (Social Integration Program) and COFINS (Contribution for the Financing of Social Security) taxes are updated monthly by distribution utilities, while the ICMS (Value-Added Tax on Sales and Services) is set by state governments and shows lower variability over time. For this reason, projections of PIS and COFINS trends defined the applicable rates for cash flow benefits, while a fixed ICMS rate of 17% was adopted, consistent with the current state regulation at the time of the study.
Depreciation, corporate income tax, and social contribution on net profit were not considered in the financial model to simplify the cash flow analysis. This simplification follows the same rationale applied to the exclusion of depreciation, as the objective of the study is to compare the relative economic performance of alternative scenarios rather than to conduct a tax-based financial assessment. This assumption does not affect the comparative results, since both scenarios share the same investment structure, time horizon, and fiscal framework. The financial structure assumes full equity financing, as the analysis focuses on the comparative economic performance of alternative scenarios rather than on detailed investment modeling. This approach aligns with the methodological standards typically adopted in technological and sustainability-oriented studies.
Consumers receive the maximum allowable reduction in electricity bills. To calculate this, the higher cost between the availability fee for three-phase installations—equivalent to 100 kWh—and the charge from the TUSD-Fio B must be identified. According to Law No. 14300/2022 [7], the consumer pays whichever value is greater.
The study considered a gradual inclusion of the TUSD-Fio B, applied in cumulative increments of 15% per year, according to [7]. Between 2024 and 2028, this component will progressively cease to be deducted from the consumer’s bill. Normative Resolution No. 1000/2021 [8] establishes that new rules will apply starting in 2029 under the regulation of the ANEEL. For the purpose of this analysis, the full inclusion of the TUSD-Fio B charge was assumed.
The ICMS tax applied to the TUSD cannot be reduced, since the local distribution utility does not recognize ICMS exemptions on energy credits received by consumer units.
In the preliminary stage, future values of the Public Lighting Contribution (CIP) were also projected. A constant growth rate equal to the TE growth rate was assumed, since this contribution does not affect consortium revenue and therefore carries no weight in the economic analysis.
Future projections of the demand generation tariff component, included in OPEX, followed the same growth rate as the TUSD. This assumption was necessary due to the absence of a long historical series for this component, which was only created under Law No. 14300/2022 [7].
After these preliminary steps, the annual consortium revenue was calculated. The estimation of the required number of consumers assumed the allocation of 80% of the energy credits generated by the plant, leaving a 20% margin as a safety factor. This margin accounts for potential fluctuations in average projected generation and ensures the continuous delivery of contracted credits to consumers. A financial penalty applies when generation deficits exceed this margin, as affected consumers proportionally reduce payments. Annual revenue for a single consumer was calculated, multiplied by the total number of consortium members, and used to determine net benefits over the analysis horizon.
OPEX were adjusted at an annual rate of 5%. This rate was defined due to the complexity involved in estimating inflation for each individual component of operational expenses. The Minimum Attractiveness Rate (MARR) adopted in the analysis was 12.83%, corresponding to a 10-year long-term fixed-income security, which exceeds the Brazilian benchmark interest rate (SELIC) [24]. The financial assumptions reflect the economic conditions of 2024, when the SELIC rate remained below current levels. Since the analysis assumes full equity financing, market lending rates were not considered applicable to the modeling framework.
2.4. Risk Analysis
To apply risk assessment in the economic feasibility analysis of the project, the XLRisk® tool, 2019 was employed. This free Microsoft Excel®-based application performs iterative and random Monte Carlo simulations by defining the statistical behavior of risk variables and identifying dependent variables for recording output data in each iteration.
The first step involved modeling the statistical behavior used to apply risk to each variable. Among the available functions in the tool, the normal distribution was selected as the statistical model for all risk variables. The function requires the mean value and standard deviation as parameters. The estimated value of each variable served as the mean of the normal distribution, while the standard deviation was defined as a percentage of that mean, depending on the variable.
The next step in the risk analysis defined which variables carried associated risks and the corresponding risk levels. Table 1 presents all variables considered in the economic feasibility study, indicating whether they are risk variables and specifying the percentage of the mean applied as the standard deviation.
Table 1.
Specification of variables and their associated risk levels.
As shown in Table 1, during the calculation stage of CAPEX and OPEX, the variables representing the plant budget, installation cost, and electrical substation cost were not associated with risk. Once contracted, these values remain fixed and enforced under contractual terms. In addition, monthly costs with video surveillance were excluded from the risk assessment due to their negligible relevance in the final composition of OPEX.
In the stage involving the projection of tariff components, taxes, and consortium revenues, the parameters of consumed energy and compensated energy did not represent significant risk to the project. Variations in these values only affect the final number of customers, since the consortium must allocate 80% of generated credits to consumers.
The same stage excluded risks related to the CIP, as well as the PIS, COFINS, and ICMS. The CIP cannot be deducted from electricity bills and therefore does not affect consortium revenues. PIS and COFINS fluctuate around a mean value, but their percentage level remains relatively low, making such variation negligible; therefore, the mean was adopted for the period under analysis. ICMS depends on state government regulation and does not vary within narrow ranges that would justify stochastic treatment.
In the economic analysis stage, the MARR was also excluded from the risk assessment because it derives from a long-term fixed-income security that remains constant throughout the project’s economic horizon. The final risk analysis incorporated 32,500 iterations, capturing the maximum number of cases allowed by the XLRisk® tool and ensuring a more comprehensive and reliable economic evaluation.
3. Results and Discussion
This section presents the results of the risk assessment applied to the economic feasibility analysis of the biogas-fired thermoelectric plant. The results are organized into three parts. First, the estimations of tariff components are reported (Section 3.1). Next, the effects of the risk study on Scenarios 1 and 2 are described (Section 3.2 and Section 3.3). Finally, a general discussion highlights the main findings derived from the results (Section 3.4).
3.1. Tariff Component Forecasting
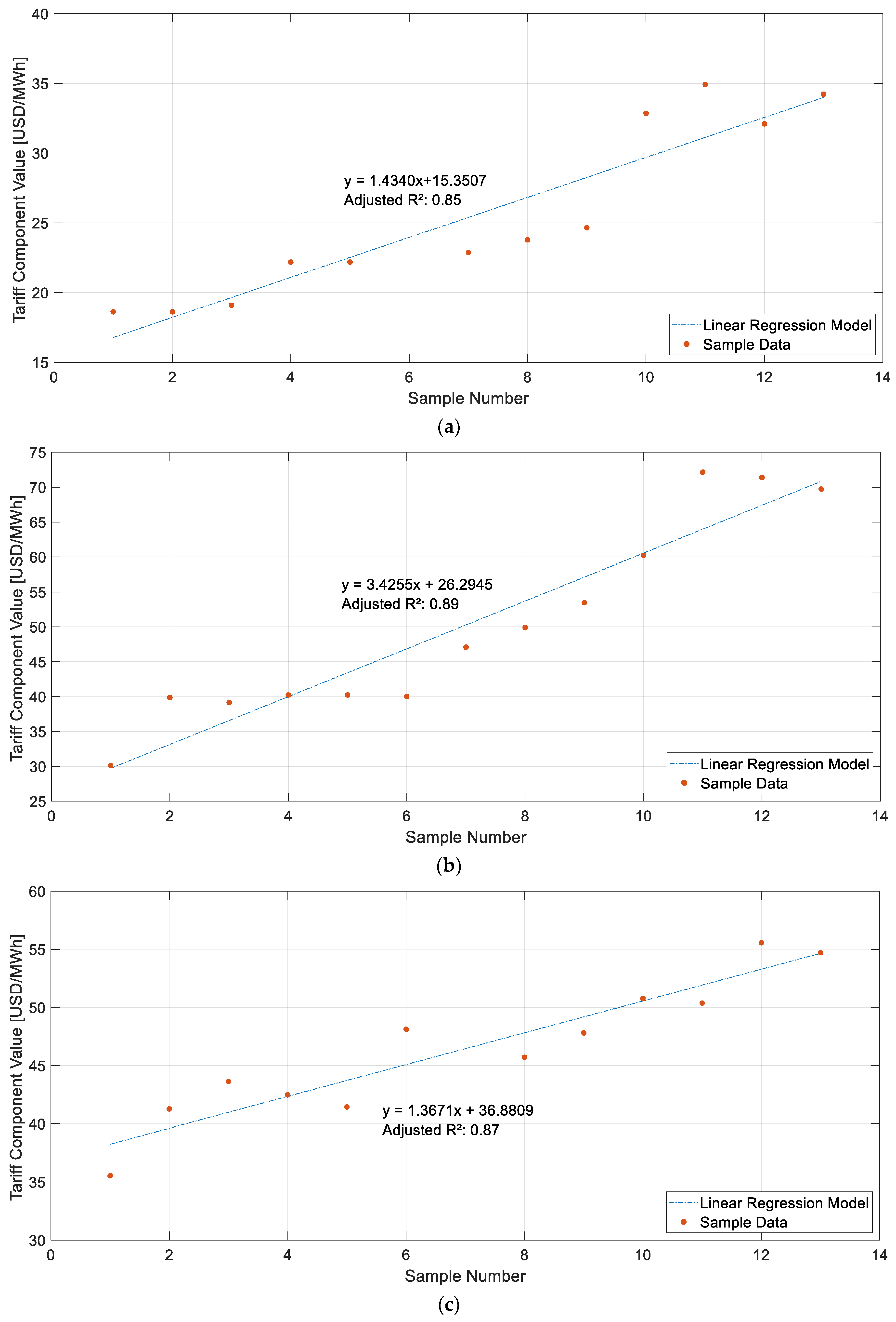
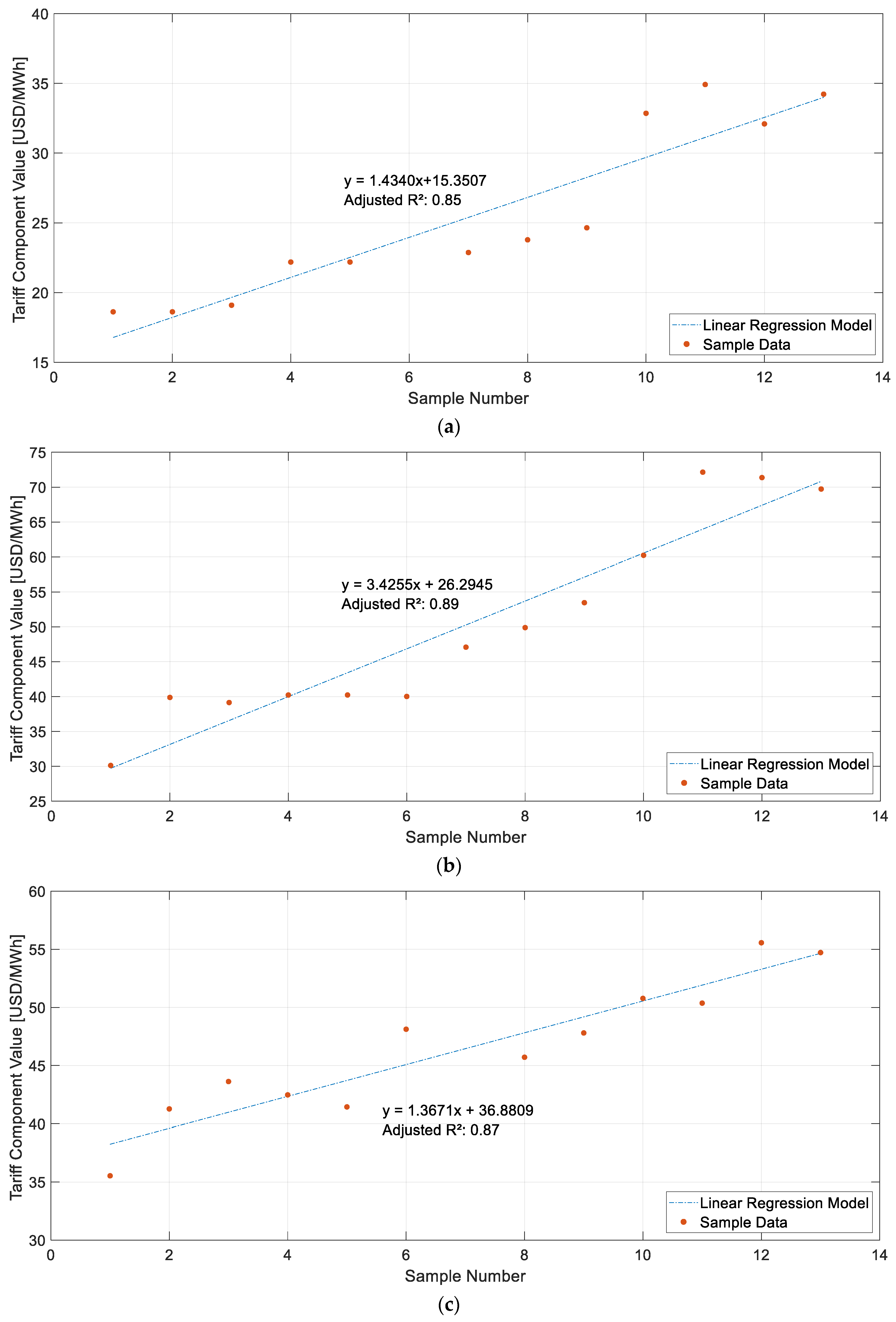
To estimate the projected values of the tariff components over the study period, historical data from the last ten years were aggregated, producing 13 observations for the TUSD, TE, and TUSD-Fio B components between 2014 and 2024. Two revisions in tariff values occurred in 2015 and 2017, which explains the total of 13 data points in the historical series.
All three components exhibited an upward trend that aligned with a linear pattern after the removal of outliers. Linear regressions were fitted to each dataset, excluding outliers to improve accuracy and reduce error. The resulting models achieved adjusted R2 values equal to or greater than 0.85. The adjusted R2 represents a measure of goodness of fit that accounts for both the number of variables and the sample size. This parameter adjusts proportionally to the variation in the dependent variable as explained by the independent variables [25]. Figure 1 shows the historical series and the corresponding linear regression models for each tariff component.
Figure 1.
Historical data series and linear regression models for each tariff component: (a) TUSD-Fio B, (b) TUSD, and (c) TE.
3.2. Results of Scenario 1
This section highlights the results of Scenario 1, which examines risk in the economic feasibility analysis of the business model under the assumption that all organic matter must be purchased. This perspective reflects the standpoint of an investor not directly engaged in poultry production. The reference case applies the average values of each independent variable, providing the basis for the results. Accordingly, Table 2 and Table 3 present the main costs considered in the composition of CAPEX and OPEX, respectively.
Table 2.
Composition of CAPEX.
Table 3.
Composition of OPEX for the Reference Case in Scenario 1.
Table 2 also applies to the reference case for the second scenario. In Table 3, the cost of video surveillance does not appear because its value is negligible compared to the other items considered. Furthermore, the OPEX composition presented reflects only the first year of analysis, and these values vary in subsequent years.
Continuing the analysis, Table 4 illustrates the cash flow of the reference case. Based on this evaluation, the results reported in Table 5 summarize the economic indicators derived from the reference case. The calculation of the MIRR applies the same rate as the MARR for both the financing rate and the reinvestment rate.
Table 4.
Reference Cash Flow for Scenario 1.
Table 5.
Results of the Economic Analysis for the Reference Cash Flow in Scenario 1.
The reference case indicates project feasibility, as the NPV remains positive. The MIRR confirms strong investment performance, while the discounted payback period demonstrates a favorable recovery horizon. However, the reference case represents only one of many possible outcomes.
The risk analysis applies an iterative process with 32,500 simulations, and the results are summarized in three probability distribution graphs. These graphs consolidate the likelihood of outcomes across different combinations of risk variable values. Figure 2, Figure 3 and Figure 4 illustrate the probability distributions for NPV, MIRR, and discounted payback period, respectively, generated through Monte Carlo simulation of Scenario 1. This approach provides a comprehensive macro-level perspective by accounting for a broad range of potential outcomes.
Figure 2.
Probability distribution of NPV for Scenario 1.
Figure 3.
Probability distribution of MIRR for Scenario 1.
Figure 4.
Probability distribution of Discounted Payback Period for Scenario 1.
The analysis emphasizes MIRR rather than IRR because MIRR incorporates the reinvestment rate of cash flows. This distinction proves essential when future cash flows cannot realistically be reinvested at the same rate as the IRR. In most cases, IRR produces values nearly double the MARR, which sets unrealistic expectations for reinvestment and limits its practical relevance.
The highlighted markings in Figure 2, Figure 3 and Figure 4 indicate the 90% confidence interval derived from the probability distribution analysis. Two red markers define the lower and upper limits of this interval, while the histogram bars filled in blue represent the cases that fall within the confidence range. This means that there is a 90% probability that the outcome lies between the values identified by the red markers. Table 6 consolidates the minimum and maximum thresholds of the three economic indicators evaluated, thereby providing a comprehensive overview of the confidence bounds associated with the Monte Carlo simulation results.
Table 6.
Confidence Interval Thresholds for Scenario 1.
The risk analysis confirms that the biogas-fired thermoelectric plant project, under the assumption of purchased organic matter, demonstrates economic feasibility. This conclusion holds because the economic indicators present a 90% probability of remaining within the confidence thresholds reported in Table 6. For example, for the NPV, there is a 90% probability that its value lies between 4.48 million USD and 7.96 million USD, a 5% probability that it is below 4.48 million USD, and a 5% probability that it exceeds 7.96 million USD. In other words, the NPV remains positive within the considered confidence interval, indicating the feasibility of the proposed project. Similar interpretations apply to the MIRR.
Despite this high confidence level, understanding the probability of project infeasibility remains essential. The Monte Carlo iterations reveal that in 0.12% of cases, the NPV falls below zero and the MIRR remains lower than the MARR.
3.3. Results of Scenario 2
Scenario 2 excludes the cost of purchasing organic material, simulating the perspective of a poultry farm owner who seeks sustainable waste disposal while generating profit. The analytical framework applied to Scenario 2 follows the same structure as Scenario 1. The CAPEX composition remains unchanged from the first scenario, as presented in Table 2, while the OPEX composition differs and follows the structure detailed in Table 7.
Table 7.
Composition of OPEX for the Reference Case in Scenario 2.
The cash flow of the reference case, presented in Table 8, applies the mean values of each independent variable. Based on this reference case, Table 9 summarizes the resulting economic indicators. The calculation of the MIRR adopts the same rate used for the MARR as both the financing and reinvestment rates.
Table 8.
Reference Cash Flow for Scenario 2.
Table 9.
Results of the Economic Analysis for the Reference Cash Flow in Scenario 2.
The project again demonstrates economic feasibility, with an even stronger potential than in Scenario 1. The NPV remains positive, which alone indicates economic viability. Both the IRR and the MIRR exceed the MARR, while the shorter Discounted Payback Period further strengthens the case for investment. However, this isolated outcome does not provide sufficient insight into the risks associated with the project.
Figure 5, Figure 6 and Figure 7 present the probability distribution graphs of NPV, MIRR, and Discounted Payback Period, respectively, based on the Monte Carlo simulation for Scenario 2. The analysis highlights the MIRR once again, as it better reflects feasible reinvestment assumptions and provides a more realistic measure of investment performance under this configuration.
Figure 5.
Probability distribution of NPV for Scenario 2.
Figure 6.
Probability distribution of MIRR for Scenario 2.
Figure 7.
Probability distribution of Discounted Payback Period for Scenario 2.
Figure 5, Figure 6 and Figure 7 include red markers that define the range of possible results with a 90% confidence level. Table 10 consolidates the threshold values for each economic indicator analyzed.
Table 10.
Confidence Interval Thresholds for Scenario 2.
Analysis of Table 10 indicates that, despite inherent risks, the biogas-fired power plant project without the purchase of organic material remains both economically viable and secure as an investment. The economic indicators show a 90% probability of falling within the defined confidence interval thresholds, reinforcing the robustness of the project.
Based on the iterative results for this scenario, only 0.05% of the simulated cases presented a negative NPV combined with a MIRR below the MARR. These findings provide further evidence of the project’s economic feasibility and strengthen its investment attractiveness.
3.4. Assessment of Economic Performance and Feasibility
The results presented in this section demonstrate the technological maturity of poultry waste-to-energy systems when evaluated through an integrated economic and risk-based framework. By combining Monte Carlo simulation with conventional financial metrics, this study contributes to advancing the analytical tools used for assessing distributed biogas generation projects, providing a more robust and replicable foundation for decision-making. Based on the results presented, several observations can be highlighted.
First, examining the revenue columns in Table 4 and Table 8 reveals a peculiar behavior: returns decline over the first six years and then increase in the subsequent years. This effect results from the gradual application of the TUSD-Fio B tariff component on credit compensation, as established by Brazilian legislation [7,8]. The minimum point occurs in 2029, when the full application of the TUSD-Fio B component begins.
The average growth rate of the TUSD tariff component surpasses that of TUSD-Fio B. As a result, from 2029 onward, TUSD-based compensation increases, which enhances profitability in the business model and explains the upward trend in economic returns from that year forward. However, both tariff components are subject to risk, and depending on the extent of such risk, outcomes may occur in which TUSD-Fio B outweighs TUSD, leading to persistent reductions in annual revenues.
Beyond this tariff-related effect on business revenues, Scenario 2 exhibits a higher probability of economic feasibility. This outcome was expected, given that the reference case recorded a 65.3% reduction in base OPEX costs, which significantly mitigated its impact on cash flow. Another way to confirm the advantages of Scenario 2 appears in Table 11, which consolidates the main results of the risk analysis for economic feasibility.
Table 11.
Key Results from the risk analysis.
Analysis of the data in Table 11 indicates a low risk of economic infeasibility for both projects. This outcome results from reserving 20% of the total expected generation capacity to address potential shortages in organic material availability for biogas production. With this safeguard in place, the business model can stabilize revenue and ensure operational continuity even under supply constraints.
For the reference case, this reserve margin can either remain unused or be allocated as needed to offset or fully mitigate the shortage, depending on the total electricity generation achieved. This strategy strengthens the resilience of the project and further enhances the reliability of the investment.
Figure 8 presents the correlations between the key risk variables and the three economic indicators used in the evaluation. In Scenario 1, the total cost of poultry manure, plant operation and maintenance costs, and the value of the TUSD tariff in the first year emerge as the main variables influencing both the NPV and the MIRR. For the Discounted Payback Period, the availability of poultry manure and the tariff components TUSD and TE represent the most relevant risk variables affecting the investment recovery horizon. The correlations of TUSD and TE shown in Figure 8 correspond to the values applied in the first year of the economic study (2024).

Figure 8.
Correlation of the main risk variables with economic indicators: (a) Scenario 1 and (b) Scenario 2. I OI: OPEX inflation. II POMC: Plant operation and maintenance costs; III TCPM: Total cost of poultry manure; IV APM: Availability of poultry manure; V MRC: Machinery rental costs.
In Scenario 2, the total cost of poultry manure no longer represents the main factor influencing NPV and MIRR, since this cost is excluded from the analysis. Under this configuration, the availability of poultry manure and machinery rental become the two most relevant drivers across all economic indicators. A third variable also emerges: plant operation and maintenance costs for NPV and MIRR, and the TUSD tariff for the Discounted Payback Period.
Comparing the leading risk variables across scenarios reveals clear trends. In Scenario 1, the total cost of poultry manure exerts the strongest influence on both NPV and MIRR, as it represents the largest share of OPEX and directly impacts periodic cash outflows. For the Discounted Payback Period, the availability of poultry manure is the dominant factor. This occurs because fluctuations in availability affect both the total cost of manure and OPEX-related expenses, as well as cash inflows. When availability falls below the 20% safety margin, annual revenues of the consortium decrease, mainly due to penalties incorporated into the business model.
In Scenario 2, the availability of poultry manure remains the most critical factor for the Discounted Payback Period and becomes the leading driver for NPV and MIRR as well. Excluding the purchase cost of organic matter reduces the long-term weight of OPEX on cash flow. Consequently, the total volume of feedstock—which is directly linked to electricity generation, the number of clients served, and annual revenues—emerges as the single most influential parameter across all three indicators. Other risk variables show comparatively lower influence on economic results. Among tariff components, TUSD-Fio B demonstrates the least impact because it only affects cash flow during the first six years. Finally, OPEX inflation exerts greater influence in Scenario 1, where higher OPEX levels amplify its effect over time.
In the Brazilian context of biogas systems, previous studies using different organic substrates provide valuable benchmarks for comparison. For example, in [26], the authors demonstrated the economic feasibility of small-scale biogas microgeneration from food waste, reporting payback periods of approximately four years when combining low-cost digesters with internal combustion engines. Similarly, the study in [27] evaluated food-waste-based cogeneration at a wholesale market and found a return on investment of 433% and a payback period of only 1.01 years, with an electricity generation cost of around USD 0.10/kWh. These examples indicate that biogas-based systems can achieve highly competitive economic performance, reinforcing the robustness of the economic feasibility demonstrated in the present study.
Beyond the economic results, the proposed model also delivers notable environmental and social benefits. Environmentally, the conversion of poultry manure into biogas mitigates the uncontrolled decomposition of organic waste, reducing methane emissions and the release of other greenhouse gases into the atmosphere. This aligns with the waste management hierarchy by transforming a pollutant residue into a renewable energy source while simultaneously contributing to local decarbonization goals. The substitution of fossil-fuel-based electricity with biogas-based generation also enhances the life-cycle performance of the energy mix, lowering the overall carbon footprint of distributed generation systems.
From a life-cycle perspective, the system promotes circularity by reintroducing residues into productive chains. Although a full life-cycle assessment (LCA) was not performed in this study, the operational configuration of the consortium already embodies key sustainability principles, including waste recovery, emission reduction, and the generation of co-products such as digestate, which can be reused as organic fertilizer. These characteristics indicate a positive life-cycle performance that could be quantified in future research.
In terms of social impact, the project encourages local job creation in plant operation, maintenance, and logistics, while promoting the inclusion of small and medium poultry producers through cooperative participation models. Moreover, the reduction in waste-related environmental risks contributes to healthier rural environments and the improvement of living conditions in the surrounding communities. Together, these outcomes reinforce the potential of poultry waste-to-energy systems as catalysts for sustainable rural development.
4. Conclusions
The case study demonstrates that Brazil’s framework for MMDG offers strong potential for business expansion aligned with environmental sustainability. The consortium-based model for credit sharing enables innovative approaches to energy commercialization, attracting investors and facilitating broader access to renewable energy. The use of biogas from poultry waste exemplifies this synergy by converting an abundant residue into a valuable energy source, reducing environmental impacts while improving resource efficiency. Applied to Santa Maria de Jetibá—a leading poultry-producing municipality—the model proved economically feasible in both analyzed scenarios. Scenario 2, which excluded manure purchase, presented greater investment security, with lower infeasibility probability (0.05%) compared to Scenario 1 (0.12%), and indicators such as positive NPV, MIRR above the MARR, and favorable payback periods.
The risk analysis identified poultry manure availability and cost as the most influential variables affecting project performance. Incorporating this risk-based evaluation into the distributed generation framework improves decision-making by aligning profitability with environmental responsibility. Future studies should expand the model’s scope by including digestate valorization, greenhouse gas assessments, and seasonal variations in feedstock availability to strengthen both environmental and economic robustness. Overall, the consortium-based biogas model demonstrates a sustainable and resilient approach for energy generation and waste management, delivering positive socio-economic impacts for rural communities engaged in poultry farming. Furthermore, the study provides a methodological contribution by integrating risk-based analysis with conventional financial evaluation techniques. This framework can be adapted to other biomass-based energy systems, reinforcing its potential as a replicable tool for assessing the technological and financial sustainability of renewable distributed generation projects.
Author Contributions
Conceptualization, A.M.M. and C.B.D.; methodology, A.M.M. and C.B.D.; validation, A.M.M. and C.B.D.; formal analysis, A.M.M., C.B.D. and D.S.O.; investigation, A.M.M. and C.B.D.; writing—original draft preparation, A.M.M., C.B.D. and D.S.O.; writing—review and editing, C.B.D. and D.S.O.; supervision, C.B.D.; project administration, C.B.D.; funding acquisition, D.S.O. All authors have read and agreed to the published version of the manuscript.
Funding
The APC was funded by the Federal Institute of Espírito Santo (IFES, notice 10/2025), and by the Foundation for Research Support of Espírito Santo (FAPES) and the National Council for Scientific and Technological Development (CNPq) through agreement 18/2024.
Institutional Review Board Statement
Not applicable.
Informed Consent Statement
Not applicable.
Data Availability Statement
The data presented in this study are available on request from the corresponding author.
Acknowledgments
The authors thank the Foundation for Research Support of Espírito Santo (FAPES), the Federal Institute of Espírito Santo (IFES), and the National Council for Scientific and Technological Development (CNPq) for their financial and institutional support.
Conflicts of Interest
The authors declare no conflicts of interest.
References
- Nibedita, B.; Irfan, M. Energy mix diversification in emerging economies: An econometric analysis of determinants. Renew. Sustain. Energy Rev. 2024, 189, 114043. [Google Scholar] [CrossRef]
- Shrestha, A.; Mustafa, A.A.; Htike, M.M.; You, V.; Kakinaka, M. Evolution of energy mix in emerging countries: Modern renewable energy, traditional renewable energy, and non-renewable energy. Renew. Energy 2022, 199, 419–432. [Google Scholar] [CrossRef]
- van Vliet, M.T.H.; Sheffield, J.; Wiberg, D.; Wood, E.F. Impacts of recent drought and warm years on water resources and electricity supply worldwide. Environ. Res. Lett. 2016, 11, 124021. [Google Scholar] [CrossRef]
- Schultz, H.S.; Carvalho, M. Design, Greenhouse Emissions, and Environmental Payback of a Photovoltaic Solar Energy System. Energies 2022, 15, 6098. [Google Scholar] [CrossRef]
- Huy, P.D.; Ramachandaramurthy, V.K.; Yong, J.Y.; Tan, K.M.; Ekanayake, J.B. Optimal placement, sizing and power factor of distributed generation: A comprehensive study spanning from the planning stage to the operation stage. Energy 2020, 195, 117011. [Google Scholar] [CrossRef]
- Brazilian Electric Power Regulatory Agency (ANEEL). Brasil, Normative Resolution nº 482; Brazilian Electric Power Regulatory Agency (ANEEL): Brasília, Brasil, 2012. (In Portuguese) [Google Scholar]
- Brazilian National Congress. Brasil, Brazilian Law No. 14,300; Brazilian National Congress: Brasília, Brasil, 2022. [Google Scholar]
- Brazilian Electric Power Regulatory Agency (ANEEL). Brasil, Normative Resolution nº 1000; Brazilian Electric Power Regulatory Agency (ANEEL): Brasília, Brasil, 2021. (In Portuguese) [Google Scholar]
- Brazilian Electric Power Regulatory Agency (ANEEL). Brasil, Normative Resolution nº 1059; Brazilian Electric Power Regulatory Agency (ANEEL): Brasília, Brasil, 2023. (In Portuguese) [Google Scholar]
- Ngabala, F.J.; Emmanuel, J.K. Potential substrates for biogas production through anaerobic digestion-an alternative energy source. Heliyon 2024, 10, e40632. [Google Scholar] [CrossRef] [PubMed]
- Obaideen, K.; Abdelkareem, M.A.; Wilberforce, T.; Elsaid, K.; Sayed, E.T.; Maghrabie, H.M.; Olabi, A.G. Biogas role in achievement of the sustainable development goals: Evaluation, Challenges, and Guidelines. J. Taiwan Inst. Chem. Eng. 2022, 131, 104207. [Google Scholar] [CrossRef]
- Akyürek, Z. Biogas Energy from Animal Waste. In Agricultural Waste: Environmental Impact, Useful Metabolites and Energy Production; Ramawat, K.G., Mérillon, J.-M., Arora, J., Eds.; Springer: Singapore, 2023; pp. 543–558. [Google Scholar]
- Jarrar, L.; Ayadi, O.; Asfar, J.A. Techno-economic Aspects of Electricity Generation from a Farm Based Biogas Plant. J. Sustain. Dev. Energy Water Environ. Syst. 2020, 8, 476–492. [Google Scholar] [CrossRef]
- Kalkal, P.; Teja, A.V.R. A Sustainable Business Framework Using Solar and Bio-Energy to Instate Incessant Power in Rural India: Optimal Scheduling, Smart Metering, and Economic Viability. IEEE Access 2022, 10, 11021–11035. [Google Scholar] [CrossRef]
- Pinto, J.A.; Barros, R.M.; dos Santos, I.F.S.; Tiago Filho, G.L.; de Oliveira Botan, M.C.; Bôas, T.F.V.; de Cássia Crispim, A.M. Study of the anaerobic co-digestion of bovine and swine manure: Technical and economic feasibility analysis. Clean Waste Syst. 2023, 5, 100097. [Google Scholar]
- Liu, X.; Li, S.; Chen, W.; Yuan, H.; Ma, Y.; Siddiqui, M.A.; Iqbal, A. Assessing Greenhouse Gas Emissions and Energy Efficiency of Four Treatment Methods for Sustainable Food Waste Management. Recycling 2023, 8, 66. [Google Scholar] [CrossRef]
- Gao, Z.; Zheng, J.; Xu, G. Research Progress and Technological Application Prospects of Comprehensive Evaluation Methods for Egg Freshness. Foods 2025, 14, 1507. [Google Scholar] [CrossRef] [PubMed]
- Maciel, F.D.; Gates, R.S.; Tinôco, I.D.F.F.; Pelletier, N.; Ibarburu-Blanc, M.A.; Renato, N.D.S.; Sousa, F.C.D.; Andrade, R.R.; Silva, G.M.D.M.; Becciolini, V. Environmental Impacts of the Brazilian Egg Industry: Life Cycle Assessment of the Battery Cage Production System. Animals 2024, 14, 861. [Google Scholar] [CrossRef]
- IBGE. Value of Livestock and Agricultural Production Reached R$ 122.4 Billion in 2023. 2024. Available online: https://agenciadenoticias.ibge.gov.br/en/agencia-news/2184-news-agency/news/41366-value-of-livestock-and-agricultural-production-reached-r-122-4-billion-in-2023 (accessed on 4 November 2024).
- Achinas, S.; Achinas, V.; Euverink, G.J.W. A Technological Overview of Biogas Production from Biowaste. Engineering 2017, 3, 299–307. [Google Scholar] [CrossRef]
- Blank, L.; Tarquin, A. Engineering Economy, 7th ed.; McGraw-Hill Education: Columbus, OH, USA, 2011. [Google Scholar]
- A Gazeta. Poultry Farms in Espírito Santo Produce 50,000 Tons of Manure Per Month (In Portuguese). 2019. Available online: https://www.agazeta.com.br/es/agro/granjas-do-es-produzem-50-mil-toneladas-de-esterco-por-mes-1119 (accessed on 19 August 2024).
- EPE. Monthly Electricity Consumption by Class (Regions and Subsystems)—In Portuguese. 2024. Available online: https://www.epe.gov.br/pt/publicacoes-dados-abertos/publicacoes/consumo-de-energia-eletrica?utm_source=chatgpt.com (accessed on 11 November 2024).
- BCB. Central Bank of Brazil. 2024. Available online: https://www.bcb.gov.br/ (accessed on 11 November 2024).
- Montgomery, D.C.; Runger, G.C. Applied Statistics and Probability for Engineers, 6th ed.; John Wiley & Sons, Inc.: Hoboken, NJ, USA, 2013. [Google Scholar]
- Roa, I.D.; Henriquez, J.R.; Dutra, E.D.; Menezes, R.S.; Andrade, M.M.; Santos Junior, E.P.; Rocha, L.C.S.; Rotella, P., Jr. Economic Feasibility of Biogas Microgeneration from Food Waste: Potential for Sustainable Energy in Northeastern Brazil. Sustainability 2024, 16, 10238. [Google Scholar] [CrossRef]
- de Oliveira, D.E.; Miranda, A.C.; Junior, M.V.; Santana, J.C.C.; Tambourgi, E.B.; Facchini, F.; Iavagnilio, R.; Pinto, L.F.R. Economic and Environmental Feasibility of Cogeneration from Food Waste: A Case Study in São Paulo City. Sustainability 2024, 16, 2979. [Google Scholar] [CrossRef]
Disclaimer/Publisher’s Note: The statements, opinions and data contained in all publications are solely those of the individual author(s) and contributor(s) and not of MDPI and/or the editor(s). MDPI and/or the editor(s) disclaim responsibility for any injury to people or property resulting from any ideas, methods, instructions or products referred to in the content. |
© 2025 by the authors. Licensee MDPI, Basel, Switzerland. This article is an open access article distributed under the terms and conditions of the Creative Commons Attribution (CC BY) license (https://creativecommons.org/licenses/by/4.0/).








