Enhanced Recoverability and Recycling of Resistant Waste Crosslinked Polyethylene via FeTiO3 Catalyst-Assisted Slow Pyrolysis
Abstract
1. Introduction
2. Results and Discussion
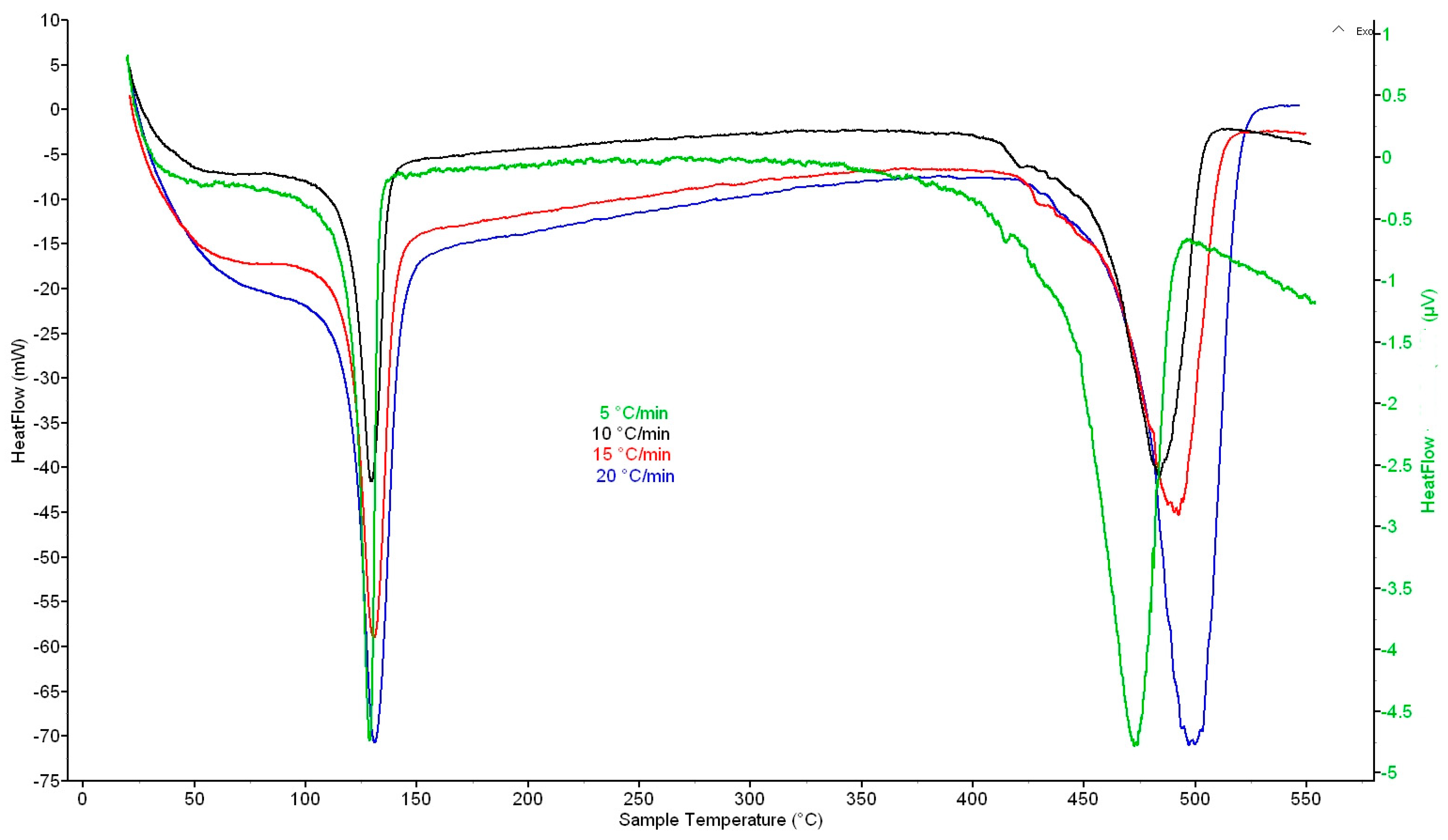
2.1. Basic Thermal Phenomena of XLPE Decomposition
2.2. XLPE Waste Pyrolysis Products
2.3. Mass Balance of the Process
2.4. Approach to the Catalytic Effect of FeTiO3
2.5. XLPE Waste Processing Strategy
- XLPE waste can be successfully processed without a catalyst if oil with a lower liquid hydrocarbon content (e.g., 65%) and a higher dissolved solid hydrocarbon content (e.g., 30%) is acceptable.
- If oil with a high content of liquid hydrocarbons (e.g., 75%) is required, especially with a content of low C6–C9 hydrocarbons, it is advantageous to use an ilmenite catalyst, even at an amount of 1%.
- In principle, the well-known FCC catalyst can also be used. However, a lower yield of liquid hydrocarbons (around 60%) and a relatively high proportion of solid hydrocarbons (around 20%) must be taken into account. It is also necessary to use a fairly large amount of that catalyst (10%).
2.6. Catalyst Regeneration and Possibility for Its Reuse
3. Materials and Methods
3.1. Materials
3.2. Methods
4. Conclusions
Supplementary Materials
Author Contributions
Funding
Data Availability Statement
Conflicts of Interest
References
- Selvin, M.; Shah, S.; Maria, H.J.; Thomas, S.; Tuladhar, R.; Jacob, M. Review on recycling of cross-linked polyethylene. Ind. Eng. Chem. Res. 2024, 63, 1200–1214. [Google Scholar] [CrossRef]
- Ahmad, H.; Rodrigue, D. Crosslinked polyethylene: A review on the crosslinking techniques, manufacturing methods, applications, and recycling. Polym. Eng. Sci. 2022, 62, 2376–2401. [Google Scholar] [CrossRef]
- Sen, S.; Celik, M.B. Modeling the effect of plastic oil obtained from XLPE cable waste on diesel engine performance and emision parameters with the response surface method. Sci. Technol. Energy Transit. 2024, 79, 58. [Google Scholar] [CrossRef]
- Mo, S.; Jun, Z.; Dong, L.; Chen, H. Study on pyrolysis characteristics of cross-linked polyethylene material cable. Procedia Eng. 2013, 52, 588–592. [Google Scholar] [CrossRef]
- Marcilla, A.; Ruiz-Femenia, R.; Hernández, J.; García-Quesada, J.C. Thermal and catalytic pyrolysis of crosslinked polyethylene. J. Anal. Appl. Pyrol. 2006, 76, 254–259. [Google Scholar] [CrossRef]
- Tamboli, S.M.; Mhaske, S.T.; Kale, D.D. Crosslinked polyethylene. Indian J. Chem. Technol. 2004, 11, 853–864. [Google Scholar]
- Singh, P.; Bhattacharya, S.; Déparrois, N.; Burra, K.R.G.; Gupta, A.K. Energy recovery from cross-linked polyethylene wastes using pyrolysis and CO2 assisted gasification. Appl. Energy 2019, 254, 113722. [Google Scholar] [CrossRef]
- García-Muñoz, P.; Pliego, G.; Zazo, J.A.; Bahamonde, A.; Casas, J.A. Ilmenite (FeTiO3) as low-cost catalyst for advanced oxidation processes. J. Environ. Chem. Eng. 2016, 4, 542–548. [Google Scholar] [CrossRef]
- Guo, S.; Huang, R.; Yuan, J.; Chen, R.; Chen, F. Efficient removal of aromatic pollutants via catalytic wet peroxide oxidation over synthetic anisotropic ilmenite/carbon nanocomposites. Clean Water 2023, 6, 74. [Google Scholar] [CrossRef]
- Malato, S.; Fernández-Ibáñez, P.; Maldonado, M.I.; Blanco, J.; Gernjak, W. Decontamination and disinfection of water by solar photocatalysis: Recent overview and trends. Catal. Today 2009, 147, 1–59. [Google Scholar] [CrossRef]
- Muzenda, C.; Nkwachukwu, O.V.; Arotiba, O.A. Synthetic Ilmenite (FeTiO3) Nanoparticles as a Heterogeneous Electro-Fenton Catalyst for the Degradation of Tetracycline in Wastewater. Ind. Eng. Chem. Res. 2022, 61, 11417–11428. [Google Scholar] [CrossRef]
- Luo, X.; Zhang, L.; Gong, X.; Liu, Y.; Tian, J. Defect-enriched ilmenite-type catalyst derived from titanium dioxide slag for peroxymonosulfate activation in efficient tetracycline removal. Chem. Eng. Sci. 2023, 280, 119068. [Google Scholar] [CrossRef]
- Dai, C.; He, H.; Chen, P.; Yang, Y.; Zhai, J.; Sun, W. Surface modification of ilmenite with sodium persulfate and its effect on flotation performance. Appl. Surf. Sci. 2025, 680, 161354. [Google Scholar] [CrossRef]
- Min, Z.; Asadullah, M.; Yimsiri, P.; Zhang, S.; Wu, H.; Li, C.-Z. Catalytic reforming of tar during gasification. Part I. Steam reforming of biomass tar using ilmenite as a catalyst. Fuel 2011, 90, 1847–1854. [Google Scholar] [CrossRef]
- Pio, D.T.; Tarelho, L.A.C.; Pinto, R.G.; Matos, M.A.A.; Frade, J.R.; Yaremchenko, A.; Mishra, G.S.; Pinto, P.C.R. Low-cost catalysts for in-situ improvement of producer gas quality during direct gasification of biomass. Energy 2018, 165, 442–454. [Google Scholar] [CrossRef]
- Uddin, M.A.; Tsuda, H.; Wu, S.; Sasaoka, E. Catalytic decomposition of biomass tars with iron oxide catalysts. Fuel 2008, 87, 451–459. [Google Scholar] [CrossRef]
- Lind, F.; Seemann, M.; Thunman, H. Continuous catalytic tar reforming of biomass derived raw gas with simultaneous catalyst regeneration. Ind. Eng. Chem. Res. 2011, 50, 1553–1562. [Google Scholar] [CrossRef]
- Nguyen, H.N.T.; Berguerand, N.; Schwebel, G.L.; Thunman, H. Importance of Decomposition Reactions for Catalytic Conversion of Tar and Light Hydrocarbons: An Application with an Ilmenite Catalyst. Ind. Eng. Chem. Res. 2016, 55, 11900–11909. [Google Scholar] [CrossRef]
- Nguyen, H.N.T.; Berguerand, N.; Thunman, H. Mechanism and Kinetic Modeling of Catalytic Upgrading of a Biomass-Derived Raw Gas: An Application with Ilmenite as Catalyst. Ind. Eng. Chem. Res. 2016, 55, 5843–5853. [Google Scholar] [CrossRef]
- Thacker, C.; Liang, Y.; Peng, Q.; Hess, P. The stability and major element partitioning of ilmenite and armalcolite during lunar cumulate mantle overturn. Geochim. Cosmochim. Acta 2009, 73, 820–836. [Google Scholar] [CrossRef]
- Royuela, D.; Martínez, J.D.; Callén, M.S.; López, J.M.; García, T.; Murillo, R.; Veses, A. Pyrolysis of polystyrene using low-cost natural catalysts: Production and characterisation of styrene-rich pyro-oils. J. Anal. Appl. Pyrolysis 2024, 182, 106690. [Google Scholar]
- Zazo, J.A.; Bedia, J.; Fierro, C.M.; Pliego, G.; Casas, J.A.; Rodriguez, J.J. Highly stable Fe on activated carbon catalysts for CWPO upon FeCl3 activation of lignin from black liquors. Catalysis Today 2012, 187, 115–121. [Google Scholar] [CrossRef]
- Brown, E.N.; Willms, R.B.; Gray, G.T.; Rae, P.J.; Cady, C.M.; Vecchio, K.S.; Flowers, J.; Flowers, M.Y. Influence of Molecular Conformation on the Constitutive Response of Polyethylene: A Comparison of HDPE, UHMWPE, and PEX. Exp. Mech. 2007, 47, 381–393. [Google Scholar] [CrossRef]
- Hartmann, M.; Kullmann, S.; Keller, H. Wastewater treatment with heterogeneous Fenton-type catalysts based on porous materials. J. Mater. Chem. 2010, 20, 9002–9017. [Google Scholar] [CrossRef]
- Fikri, M.; Abdul-Malek, Z. Partial discharge diagnosis and remaining useful lifetime in XLPE extruded power cables under DC voltage: A review. Electr. Eng. 2023, 105, 4195–4212. [Google Scholar] [CrossRef]
- Zhang, J.; Li, J.; Li, H.; Yang, M.; Li, Y.; Qi, Y.; Xu, Y.; Hu, W.; Liu, B. Recent Overview and Future Research Prospects of Cross-linked Polyethylene Materials: Cross-linking Methods and Applications. preprints 2024, 2024091601. [Google Scholar] [CrossRef]
- Mark, L.O.; Cendejas, M.C.; Hermans, I. The use of heterogeneous catalysis in the chemical valorization of plastic waste. ChemSusChem 2020, 13, 5808–5836. [Google Scholar] [PubMed]
- Miandad, R.; Barakat, M.A.; Aburiazaiza, A.S.; Rehan, M.; Nizami, A.S. Catalytic pyrolysis of plastic waste: A review. Process Saf. Environ. 2016, 102, 822–838. [Google Scholar]
- Ohkita, H.; Nishiyama, R.; Tochihara, Y.; Mizushima, T.; Kakuta, N.; Morioka, Y.; Ueno, A.; Tanifuji, S.; Katoh, H.; Sunazuka, H.; et al. Acid Properties of Silica–Alumina Catalysts and Catalytic Degradation of Polyethylene. Ind. Eng. Chem. Res. 1993, 32, 3112–3116. [Google Scholar]
- Uddin, M.A.; Koizumi, K.; Murata, K.; Sakata, Y. Thermal and catalytic degradation of structurally different types of polyethylene into fuel oil. Polym. Degrad. Stab. 1997, 56, 37–44. [Google Scholar] [CrossRef]
- Huang, Q.; Liu, C.; Wei, R.; Wang, J. Experimental study of polyethylene pyrolysis and combustion over HZSM- 5, HUSY, and MCM-41. J. Hazard. Mater. 2017, 333, 10–22. [Google Scholar] [CrossRef]
- Carmo, N.; Afonso, D.; Santos, E.; Fonseca, I.; Lemos, F.; Lemos, M.A.N.D.A. Coprocessing of Waste Plastic and Hydrocarbons over MFI (HZSM-5). Int. J. Chem. Kinet. 2016, 48, 329–336. [Google Scholar] [CrossRef]
- Figueiredo, A.L.; Araujo, A.S.; Linares, M.; Peral, A.; Garcia, R.A.; Serrano, D.P.; Fernandes, V.J. Catalytic cracking of LDPE over nanocrystalline HZSM-5 zeolite prepared by seed-assisted synthesis from an organic-template- free system. J. Anal. Appl. Pyrol. 2016, 117, 132–140. [Google Scholar] [CrossRef]
- Rodriguez, E.; Palos, R.; Gutierrez, A.; Vela, F.J.; Arandes, J.M.; Bilbao, J. Effect of the FCC Equilibrium Catalyst Properties and of the Cracking Temperature on the Production of Fuel from HDPE Pyrolysis Waxes. Energy Fuels 2019, 33, 5191–5199. [Google Scholar] [CrossRef]
- Zhang, Y.; Duan, D.; Lei, H.; Villota, E.; Ruan, R. Jet fuel production from waste plastics via catalytic pyrolysis with activated carbons. Appl. Energy 2019, 251, 113337. [Google Scholar] [CrossRef]
- Colantonio, S.; Cafiero, L.; De Angelis, D.; Ippolito, N.M.; Tuffi, R.; Ciprioti, S.V. Thermal and catalytic pyrolysis of a synthetic mixture representative of packaging plastics residue. Front. Chem. Sci. Eng. 2020, 14, 288–303. [Google Scholar] [CrossRef]
- Straka, P.; Bičáková, O.; Cihlář, J. Slow low-temperature pyrolysis of waste cross-linked polyethylene with a ruthenium catalyst. preprint 2023. [Google Scholar] [CrossRef]
- Straka, P.; Bičáková, O.; Cihlář, J. Low-temperature treatment of waste crosslinked polyethylene with ruthenium catalyst. Paliva 2023, 15, 19–23. [Google Scholar] [CrossRef]
- Li, X.; Mahadas, N.A.; Zhang, M.; DePodesta, J.; Stefik, M.; Tang, C. Sustainable high-density polyethylene via chemical recycling: From modification to polymerization methods. Polymer 2024, 295, 126698. [Google Scholar] [CrossRef]
- Kumar, S.; Panda, A.K.; Singh, R.K. A review on tertiary recycling of high-density polyethylene to fuel. Resour. Conserv. Recycl. 2011, 55, 893–910. [Google Scholar] [CrossRef]
- Panda, A.K.; Singh, R.K.; Mishra, D.K. Thermolysis of waste plastics to liquid fuel. A suitable method for plastic waste management and manufacture of value added products—A world prospective. Renew. Sust. Energy Rev. 2010, 14, 233–248. [Google Scholar] [CrossRef]
- Walpole, E.A. Process for Separating Ilmenite. Patent Application No. WO1992004121A1, 28 August 1991. [Google Scholar]
- DIN 16892:219-10; Crosslinked Polyethylene (PE-X) Pipes—General Quality Requirements, Testing. Normservis: Hamry nad Sázavou, Czech Republic, 2019.
- Shamsaei, M.; Aghayan, I.; Kazemi, K.A. Experimental investigation of using cross-linked polyethylene waste as aggregate in roller compacted concrete pavement. J. Clean. Prod. 2017, 165, 290–297. [Google Scholar] [CrossRef]
- Shapiro, A.J.; Brigandi, P.J.; Moubarak, M.; Sengupta, S.S.; Epps, T.H., III. Cross-Linked Polyolefins: Opportunities for Fostering Circularity Throughout the Materials Lifecycle. ACS Appl. Polym. Mater. 2024, 6, 11859–11876. [Google Scholar] [CrossRef] [PubMed]





| FeTiO3 | Gas | Oil | SCR | Sum |
|---|---|---|---|---|
| 0 | 5.07 | 96.67 | 1.26 | 100.00 |
| 1 | 6.67 | 92.07 | 1.26 | 100.00 |
| 5 | 7.99 | 90.01 | 1.10 | 100.00 |
| 10 | 6.90 | 91.92 | 1.18 | 100.00 |
| FeTiO3 (wt.%) | CH4 | C2–C5 | CO | CO2 | H2 | Sum |
|---|---|---|---|---|---|---|
| 0 | 12.5 | 66.1 | 2.5 | 1.6 | 17.2 | 100.00 |
| 1 | 25.3 | 70.2 | 0.4 | 3.1 | 1.0 | 100.00 |
| 5 | 4.3 | 94.6 | 0.0 | 0.0 | 1.1 | 100.00 |
| 10 | 1.3 | 97.8 | 0.0 | 0.0 | 0.9 | 100.00 |
| FeTiO3 (wt.%) | C6–C9 | C10–C17 | C18–C35 | C18–C24 | Sum |
|---|---|---|---|---|---|
| 0 | 0.00 | 69.50 | 30.50 | - | 100.00 |
| 1 | 14.57 | 67.40 | - | 18.03 | 100.00 |
| 5 | 15.92 | 67.02 | - | 17.06 | 100.00 |
| 10 | 18.27 | 64.69 | - | 17.04 | 100.00 |
| FeTiO3 (wt.%) | C | H | N | S | O | HHV | LHV |
|---|---|---|---|---|---|---|---|
| 0 | 84.98 | 14.10 | 0.02 | 0.03 | 0.87 | 47.65 | 44.57 |
| 1 | 84.23 | 14.06 | 0.11 | 0.00 | 1.60 | 44.55 | 41.48 |
| 5 | 85.46 | 14.36 | 0.08 | 0.00 | 0.10 | 44.77 | 41.63 |
| 10 | 84.73 | 14.40 | 0.07 | 0.00 | 0.80 | 44.40 | 41.26 |
| FeTiO3 (wt.%) | Gas | Liquid HCs C10–C17 | Liquid HCs C6–C17 | Solid HCs C18–C35 | Solid HCs C18–C24 | SCR | Sum |
|---|---|---|---|---|---|---|---|
| 0 | 5.07 | 65.10 | - | 28.57 | - | 1.26 | 100.00 |
| 1 | 6.67 | - | 75.47 | - | 16.60 | 1.26 | 100.00 |
| 5 | 7.99 | - | 75.44 | - | 15.47 | 1.10 | 100.00 |
| 10 | 6.90 | - | 76.28 | - | 15.64 | 1.18 | 100.00 |
| Mass Balance | Yield of Oil Fraction (HCs) | |||||||
|---|---|---|---|---|---|---|---|---|
| Oil | Gas | SCR | C6–C9 | C10–C17 | C18–C24 | C18–C35 | >C35 | |
| Without catalyst | 93.67 | 5.07 | 1.26 | 0.00 | 65.10 | - | 28.57 | 0.00 |
| With 1% FeTiO3 | 92.07 | 6.67 | 1.26 | 13.41 | 62.06 | 16.60 | - | 0.00 |
| With 10% FCC | 86.34 | 11.13 | 2.53 | 31.72 | 32.34 | - | 5.34 | 16.94 |
Disclaimer/Publisher’s Note: The statements, opinions and data contained in all publications are solely those of the individual author(s) and contributor(s) and not of MDPI and/or the editor(s). MDPI and/or the editor(s) disclaim responsibility for any injury to people or property resulting from any ideas, methods, instructions or products referred to in the content. |
© 2025 by the authors. Licensee MDPI, Basel, Switzerland. This article is an open access article distributed under the terms and conditions of the Creative Commons Attribution (CC BY) license (https://creativecommons.org/licenses/by/4.0/).
Share and Cite
Straka, P.; Bičáková, O.; Cihlář, J. Enhanced Recoverability and Recycling of Resistant Waste Crosslinked Polyethylene via FeTiO3 Catalyst-Assisted Slow Pyrolysis. Recycling 2025, 10, 202. https://doi.org/10.3390/recycling10060202
Straka P, Bičáková O, Cihlář J. Enhanced Recoverability and Recycling of Resistant Waste Crosslinked Polyethylene via FeTiO3 Catalyst-Assisted Slow Pyrolysis. Recycling. 2025; 10(6):202. https://doi.org/10.3390/recycling10060202
Chicago/Turabian StyleStraka, Pavel, Olga Bičáková, and Jaroslav Cihlář. 2025. "Enhanced Recoverability and Recycling of Resistant Waste Crosslinked Polyethylene via FeTiO3 Catalyst-Assisted Slow Pyrolysis" Recycling 10, no. 6: 202. https://doi.org/10.3390/recycling10060202
APA StyleStraka, P., Bičáková, O., & Cihlář, J. (2025). Enhanced Recoverability and Recycling of Resistant Waste Crosslinked Polyethylene via FeTiO3 Catalyst-Assisted Slow Pyrolysis. Recycling, 10(6), 202. https://doi.org/10.3390/recycling10060202

