Artificial Neural Networks for Residual Capacity Estimation of Cycle-Aged Cylindric LFP Batteries
Abstract
1. Introduction
2. Battery Aging Setup
2.1. Batteries Under Test and Experimental Setup
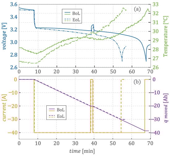
2.2. Data Description
3. Methodology of the Neural Network Approach
3.1. Description of the Tested ANN Model
3.2. Data Pre-Processing
3.3. Exhaustive Training Session
- Batch Size: It determines the number of observations per training iteration and affects the frequency of weight updates. Smaller batch sizes can improve convergence and reduce overfitting but may increase computational costs due to more frequent updates.
- The Length of Sub-sampling Data: It specifies the number of samples per observation during training, balancing computational efficiency and model accuracy. Excessive sub-sampling may lead to information loss, while minimal sub-sampling enhances accuracy at the cost of increased computational demands.
- The Number of LSTM Nodes: It Influences the complexity of the LSTM layer, which captures temporal dependencies. Higher node counts enable learning of intricate patterns but incur greater computational costs.
- The Number of Fully Connected Nodes: It determines the complexity of the fully connected layer. While higher node counts can enhance the model’s learning capacity, excessive complexity risks overfitting.
- Input Signal Selection: It examines the impact of different input signal combinations (e.g., V, I, T, and Q) on estimation performance. Including all signals yielded the highest accuracy and robustness, although results for specific combinations are omitted for brevity.
3.4. Performance Computation and Best Model Selection
- Root Mean Square Error (RMSE): The RMSE calculates the square root of the mean of the squared differences between predicted and actual values. It gives more weight to larger errors, making it valuable in contexts where significant errors need heavier penalization (3)A lower RMSE indicates higher model accuracy with respect to the test data.
- Max Absolute Error (MAE): This metric represents the maximum absolute differences between predicted and actual values. It may be more sensitive to outliers than other metrics; it provides an exhaustive view of the maximum deviation of samples (4).where and represent the actual and predicted values for the observation.
- Coefficient of Determination (R2): Known as R-square, this metric shows the proportion of variability in the data that the model explains, making it especially useful for evaluating the goodness of fit in regression problems. It ranges from 0 to 1, with a higher value indicating a better fit (5).where is the average of the observed values of the dependent variable.
4. Error Behavior of the Proposed ANN Versus Factor Variation
- Best ANN: The configuration with the lowest RMSE.
- Worst ANN: The configuration with the highest RMSE.
- Average ANN: The configuration with the RMSE closest to the mean value of all trained models.
5. Performance Evaluation of Proposed ANN
5.1. Traditional Evaluation Method
5.2. Performance Evaluation on a Different Aged Cell
5.3. Comparison with Other Types of Regressive Nodes
- The update gate, which determines how much of the past information should be carried forward;
- The reset gate, which controls how much of the previous state should be forgotten when computing candidate activation.
- Networks with a small number of recurrent (LSTM or GRU) nodes tend to perform worse in terms of RMSE;
- The most effective configurations typically use a batch size not exceeding 32;
- High-performing networks are distributed across all tested values of sub-sampling lengths and FC nodes, suggesting that these parameters are less critical to performance than the others.
5.4. Cross-Chemistry Validation on Differently Aged NMC Cells
6. Conclusions
Author Contributions
Funding
Data Availability Statement
Acknowledgments
Conflicts of Interest
Abbreviations
| SoH | State of Health |
| ANNs | Artificial Neural Networks |
| RNNs | Recurrent Neural Networks |
| RC | Residual Capacity |
| RMSE | Root Mean Square Error |
| LIBs | Lithium-ion batteries |
| CV | Constant Voltage |
| FNNs | Feed-forward Neural Networks |
| EoL | End of Life |
| RUL | Remaining Useful Life |
| CC | Constant Current |
| LSTM | Long Short-Term Memory |
| BoL | Beginning of Life |
| MAE | Max Absolute Error |
| GRU | Gated Recurrent Unit |
References
- IEA. Global EV Outlook 2018. 2018. Available online: https://www.iea.org/reports/global-ev-outlook-2018 (accessed on 3 July 2025).
- Franzese, P.; Iannuzzi, D. Wireless Battery Charger Based on Sensorless Control for E-Bike Station. In Proceedings of the 2019 21st European Conference on Power Electronics and Applications (EPE’19 ECCE Europe), Genova, Italy, 2–6 September 2019; pp. P.1–P.10. [Google Scholar] [CrossRef]
- Iannuzzi, D.; Pagano, M.; Franzese, P.; Roscia, C. On-Board Energy Storage Systems Based on Lithium Ion Capacitors for LRT Energy Saving: Optimization Design Procedure. In Proceedings of the 2020 IEEE International Conference on Industrial Technology (ICIT), Buenos Aires, Argentina, 26–28 February 2020; pp. 717–722. [Google Scholar] [CrossRef]
- Franzese, P.; Iannuzzi, D.; Mottola, F.; Proto, D.; Pagano, M. Charging Strategies for Ultra-Fast Stations with Multiple Plug-In Electric Vehicle Parking Slots. In Proceedings of the 2020 AEIT International Annual Conference (AEIT), Catania, Italy, 23–25 September 2020; pp. 1–6. [Google Scholar] [CrossRef]
- Franzese, P.; Di Pasquale, A.; Iannuzzi, D.; Pagano, M. Electric Ultra Fast Charging Stations: A Real Case Study. In Proceedings of the 2021 AEIT International Annual Conference (AEIT), Benevento, Italy, 15–17 September 2021; pp. 1–6. [Google Scholar] [CrossRef]
- Dannier, A.; Brando, G.; Ribera, M.; Spina, I. Li-Ion Batteries for Electric Vehicle Applications: An Overview of Accurate State of Charge/State of Health Estimation Methods. Energies 2025, 18, 786. [Google Scholar] [CrossRef]
- Spina, I.; Rogers, D.J.; Brando, G.; Chatzinikolaou, E.; Siwakoti, Y.P. Maximum Power per Ampere Modulation for Cascaded H-Bridge Converters. IEEE J. Emerg. Sel. Top. Power Electron. 2023, 11, 264–275. [Google Scholar] [CrossRef]
- Spina, I.; Cervone, A. Energy Saving in Battery Electric Vehicles Equipped with Induction Machines and Modular Multilevel Converters. In Proceedings of the 2021 IEEE 15th International Conference on Compatibility, Power Electronics and Power Engineering (CPE-POWERENG 2021), Setúbal, Portugal, 14–16 July 2021. [Google Scholar] [CrossRef]
- Brando, G.; Cervone, A.; Franzese, P.; Meo, S.; Toscano, L. Gain Scheduling Control with Minimum-Norm Pole-Placement Design of a Dual-Active-Bridge DC-DC Converter. In Proceedings of the 2020 International Symposium on Power Electronics, Electrical Drives, Automation and Motion (SPEEDAM), Sorrento, Italy, 24–26 June 2020; pp. 846–851. [Google Scholar] [CrossRef]
- The Boston Consulting Group. Batteries for Electric Cars: Challenges, Opportunities and the Outlook to 2020. Available online: http://large.stanford.edu/courses/2016/ph240/enright1/docs/file36615.pdf (accessed on 3 July 2025).
- Reddy, T.B. Linden’s Handbook of Batteries, 4th ed.; McGraw-Hill Education: New York, NY, USA, 2011. [Google Scholar]
- Ohzuku, T.; Brodd, R.J. An overview of positive-electrode materials for advanced lithium-ion batteries. J. Power Sources 2007, 174, 449–456. [Google Scholar] [CrossRef]
- Scrosati, B.; Garche, J. Lithium batteries: Status, prospects and future. J. Power Sources 2010, 195, 2419–2430. [Google Scholar] [CrossRef]
- Ji, X. A paradigm of storage batteries. Energy Environ. Sci. 2019, 12, 3203–3224. [Google Scholar] [CrossRef]
- Lee, S.; Mohtat, P.; Siegel, J.B.; Stefanopoulou, A.G.; Lee, J.W.; Lee, T.K. Estimation Error Bound of Battery Electrode Parameters With Limited Data Window. IEEE Trans. Ind. Inform. 2020, 16, 3376–3386. [Google Scholar] [CrossRef]
- Mejdoubi, A.E.; Chaoui, H.; Gualous, H.; den Bossche, P.; Omar, N.; Mierlo, J.V. Lithium-Ion Batteries Health Prognosis Considering Aging Conditions. IEEE Trans. Power Electron. 2018, 34, 6834–6844. [Google Scholar] [CrossRef]
- Brando, G.; Chatzinikolaou, E.; Rogers, D.; Spina, I. Electrochemical Cell Loss Minimization in Modular Multilevel Converters Based on Half-Bridge Modules. Energies 2021, 14, 1359. [Google Scholar] [CrossRef]
- Tao, S.; Zhang, M.; Zhao, Z.; Li, H.; Ma, R.; Che, Y.; Sun, X.; Su, L.; Sun, C.; Chen, X.; et al. Non-destructive degradation pattern decoupling for early battery trajectory prediction via physics-informed learning. Energy Environ. Sci. 2025, 18, 1544–1559. [Google Scholar] [CrossRef]
- Chen, Z.; Sun, M.; Shu, X.; Xiao, R.; Shen, J. Online State of Health Estimation for Lithium-Ion Batteries Based on Support Vector Machine. Appl. Sci. 2018, 8, 925. [Google Scholar] [CrossRef]
- Dini, P.; Paolini, D. Exploiting Artificial Neural Networks for the State of Charge Estimation in EV/HV Battery Systems: A Review. Batteries 2025, 11, 107. [Google Scholar] [CrossRef]
- Patil, M.; Tagade, P.; Hariharan, K.; Kolake, S.; Song, T.; Yeo, T.; Doo, S.G. A novel multistage Support Vector Machine based approach for Li ion battery remaining useful life estimation. Appl. Energy 2015, 159, 285–297. [Google Scholar] [CrossRef]
- Guo, P.; Cheng, Z.; Yang, L. A data-driven remaining capacity estimation approach for lithium-ion batteries based on charging health feature extraction. J. Power Sources 2019, 412, 442–450. [Google Scholar] [CrossRef]
- Hu, X.; Li, S.E.; Yang, Y. Advanced Machine Learning Approach for Lithium-Ion Battery State Estimation in Electric Vehicles. IEEE Trans. Transp. Electrif. 2016, 2, 140–149. [Google Scholar] [CrossRef]
- Wu, J.; Zhang, C.; Chen, Z. An online method for lithium-ion battery remaining useful life estimation using importance sampling and neural networks. Appl. Energy 2016, 173, 134–140. [Google Scholar] [CrossRef]
- You, G.-W.; Park, S.; Oh, D. Diagnosis of Electric Vehicle Batteries Using Recurrent Neural Networks. IEEE Trans. Ind. Electron. 2017, 64, 4885–4893. [Google Scholar] [CrossRef]
- Wu, Y.; Xue, Q.; Shen, J.; Lei, Z.; Chen, Z.; Liu, Y. State of Health Estimation for Lithium-Ion Batteries Based on Healthy Features and Long Short-Term Memory. IEEE Access 2020, 8, 28533–28547. [Google Scholar] [CrossRef]
- Zhang, W.; Li, X.; Li, X. Deep Learning-Based Prognostic Approach for Lithium-ion Batteries with Adaptive Time-Series Prediction and On-Line Validation. Measurement 2020, 164, 108052. [Google Scholar] [CrossRef]
- de la Vega, J.; Riba, J.R.; Ortega-Redondo, J.A. Real-Time Lithium Battery Aging Prediction Based on Capacity Estimation and Deep Learning Methods. Batteries 2024, 10, 10. [Google Scholar] [CrossRef]
- She, C.; Li, Y.; Zou, C.; Wik, T.; Wang, Z.; Sun, F. Offline and Online Blended Machine Learning for Lithium-Ion Battery Health State Estimation. IEEE Trans. Transp. Electrif. 2022, 8, 1604–1618. [Google Scholar] [CrossRef]
- Ungurean, L.; Micea, M.; Carstoiu, G. Online state of health prediction method for lithium-ion batteries, based on gated recurrent unit neural networks. Int. J. Energy Res. 2020, 44, 6767–6777. [Google Scholar] [CrossRef]
- Fan, Y.; Li, Y.; Zhao, J.; Wang, L.; Yan, C.; Wu, X.; Zhang, P.; Wang, J.; Gao, G.; Wei, L. Online State-of-Health Estimation for Fast-Charging Lithium-Ion Batteries Based on a Transformer–Long Short-Term Memory Neural Network. Batteries 2023, 9, 539. [Google Scholar] [CrossRef]
- Choi, Y.; Ryu, S.; Park, K.; Kim, H. Machine Learning-Based Lithium-Ion Battery Capacity Estimation Exploiting Multi-Channel Charging Profiles. IEEE Access 2019, 7, 75143–75152. [Google Scholar] [CrossRef]
- Zheng, Y.; Hu, J.; Chen, J.; Deng, H.; Hu, W. State of health estimation for lithium battery random charging process based on CNN-GRU method. Energy Rep. 2023, 9, 1–10. [Google Scholar] [CrossRef]
- Huo, F.; Chen, C.-H. The State of Charge Estimation Based on GRU for Lithium-ion Batteries. In Proceedings of the 2022 IEEE 11th Global Conference on Consumer Electronics (GCCE), Osaka, Japan, 18–21 October 2022; pp. 220–221. [Google Scholar] [CrossRef]
- Cui, S.; Joe, I. A Dynamic Spatial-Temporal Attention-Based GRU Model With Healthy Features for State-of-Health Estimation of Lithium-Ion Batteries. IEEE Access 2021, 9, 27374–27388. [Google Scholar] [CrossRef]
- Alharbi, T.; Umair, M.; Alharbi, A. Lithium-Ion Battery State of Health Degradation Prediction Using Deep Learning Approaches. IEEE Access 2025, 13, 13464–13481. [Google Scholar] [CrossRef]
- Ding, G.; Wang, W.; Zhu, T. Remaining Useful Life Prediction for Lithium-Ion Batteries Based on CS-VMD and GRU. IEEE Access 2022, 10, 89402–89413. [Google Scholar] [CrossRef]
- Tang, X.; Liu, K.; Wang, X.; Gao, F.; Macro, J.; Widanage, W.D. Model Migration Neural Network for Predicting Battery Aging Trajectories. IEEE Trans. Transp. Electrif. 2020, 6, 363–374. [Google Scholar] [CrossRef]
- Tan, Y.; Zhao, G. Transfer Learning With Long Short-Term Memory Network for State-of-Health Prediction of Lithium-Ion Batteries. IEEE Trans. Ind. Electron. 2020, 67, 8723–8731. [Google Scholar] [CrossRef]
- Chen, L.; Ding, Y.; Wang, H.; Wang, Y.; Liu, B.; Wu, S.; Li, H.; Pan, H. Online Estimating State of Health of Lithium-Ion Batteries Using Hierarchical Extreme Learning Machine. IEEE Trans. Transp. Electrif. 2022, 8, 965–975. [Google Scholar] [CrossRef]
- Kaur, K.; Garg, A.; Cui, X.; Singh, S.; Panigrahi, B. Deep learning networks for capacity estimation for monitoring SOH of Li-ion batteries for electric vehicles. Int. J. Energy Res. 2020, 45, 3113–3128. [Google Scholar] [CrossRef]
- Mohtat, P.; Siegel, J.B.; Stefanopoulou, A.G.; Lee, S. UofM Pouch Cell Voltage and Expansion Cyclic Aging Dataset. Dataset 2021. [Google Scholar] [CrossRef]


























| Quantities | Values |
|---|---|
| Technology | LiFePO4 |
| Nominal capacity [Ah] | 40 |
| Nominal voltage [V] | 3.2 |
| Cut-off voltage [V] | 2.7 |
| Max voltage [V] | 3.65 |
| Nominal charging current [A] | 20 |
| Nominal discharging current [A] | 40 |
| Nominal working temperature [°C] | 25 ± 5 |
| Storage temperature [°C] | 25 ± 5 |
| Expected cycle life (DoD 100%) | 2500 |
| Step | Description | Cycler Control Values | End Event | Next Step |
|---|---|---|---|---|
| 1 | CC charging phase | Constant current: 20 A | Battery voltage = 3.65 V | 2 |
| 2 | CV charging phase | Constant voltage: 3.65 V | Battery current ≤ 0.4 A | 3 |
| 3 | Rest | Relax time: 10 min | - | 4 |
| 4 | CC discharging phase | Constant current: −40 A | Moved charge = 20 Ah | 5 |
| 5 | Rest | Relax time: 1 min | - | 6 |
| 6 | CC discharging phase | Constant current: −40 A | Battery voltage = 2.7 V | 7 |
| 7 | Rest | Relax time: 10 min | - | End |
| Step | Description | Cycler Control Values | End Event | Next Step |
|---|---|---|---|---|
| 1 | CC step charge | Constant current: 20 A | Moved charge = 4 Ah Battery voltage = 3.65 V | 2 3 |
| 2 | Charging rest | Relax time: 10 min | - | 3 |
| 3 | CV step charge | Constant voltage: 3.65 V | Battery current ≤ 0.05 A | 4 |
| 4 | Rest Ch-Dis | Relax time: 10 min | - | 5 |
| 5 | Before pulse rest | Relax time: 10 min | - | 6 |
| 6 | Pulse | 1-s current pulse: −40 A | - | 7 |
| 7 | Long rest | Relax time: 20 min | - | 8 |
| 8 | CC step discharge | Constant current: −40 A | Moved charge = 4 Ah Battery voltage = 2.7 V | 5 9 |
| 9 | Final HPPC rest | Relax time: 10 min | - | End |
| Factors | Values |
|---|---|
| Sub-sampling length | 1000 |
| Batch size | 16 |
| Number of LSTM nodes | 64 |
| Number of fully connected nodes | 10 |
| Maximum number of epochs | 100 |
| Validation patience | 10 |
| Validation frequency | 50 |
| Initial learning rate | 0.01 |
| Learning rate drop factor | 0.1 after 10 epochs |
| Training algorithm | Adam |
| Training computational time (s) | 520 (8 min e 40 s) |
| Step | Description | Cycler Control Values | End Event | Next Step |
|---|---|---|---|---|
| 1 | CC Charging phase | Constant current: 20 A | Battery voltage = 3.65 V | 2 |
| 2 | CV Charging phase | Constant voltage: 3.65 V | Battery current < 0.4 A | 3 |
| 3 | Rest | Relax time: 10 min | - | 4 |
| 4 | CC Discharging Phase 1 C | Constant current: −40 A | Duration 30 min | 5 |
| 5 | Short Rest | Relax time: 1 s | - | 6 |
| 6 | CC Discharging Phase 0.8 C | Constant current: −32 A | Battery voltage = 2.5 V | 7 |
| 7 | Rest | Relax time: 10 min | - | End |
| ANN with the Best RMSE | RMSE [%] | MAE [%] | |
|---|---|---|---|
| Cell 1—LSTM | 0.136 | 0.877 | 0.001 |
| Cell 1—GRU | 0.3961 | 2.9706 | 0.0051 |
| Cell 2—LSTM | 0.302 | 7.594 | 0.003 |
| Cell 2—GRU | 1.5342 | 9.5243 | 0.0714 |
| Aging Conditions | Performance Results | |||||
|---|---|---|---|---|---|---|
| Cell ID | C-Rate Charging [p.u.] | C-Rate Discharging [p.u.] | Temperature [°C] | RMSE [%] | MAE [%] | [p.u.] |
| 1 | 0.2 | 0.2 | 25 | 0.0010 | 0.0030 | 0.0023 |
| 2 | 0.2 | 0.2 | −5 | 1.9246 | 3.1990 | 0.5160 |
| 3 | 0.2 | 0.2 | 45 | 2.6928 | 13.6111 | 0.5076 |
| 4 | 1.5 | 1.5 | 25 | 1.1056 | 5.2750 | 0.0302 |
| 5 | 1.5 | 1.5 | 45 | 3.7931 | 9.8810 | 0.5324 |
| 6 | 2 | 2 | 25 | 1.8352 | 9.8996 | 0.0764 |
| 7 | 0.2 | 1.5 | 25 | 0.1159 | 0.9233 | 0.0017 |
Disclaimer/Publisher’s Note: The statements, opinions and data contained in all publications are solely those of the individual author(s) and contributor(s) and not of MDPI and/or the editor(s). MDPI and/or the editor(s) disclaim responsibility for any injury to people or property resulting from any ideas, methods, instructions or products referred to in the content. |
© 2025 by the authors. Licensee MDPI, Basel, Switzerland. This article is an open access article distributed under the terms and conditions of the Creative Commons Attribution (CC BY) license (https://creativecommons.org/licenses/by/4.0/).
Share and Cite
Franzese, P.; Iannuzzi, D.; Merolla, R.; Ribera, M.; Spina, I. Artificial Neural Networks for Residual Capacity Estimation of Cycle-Aged Cylindric LFP Batteries. Batteries 2025, 11, 260. https://doi.org/10.3390/batteries11070260
Franzese P, Iannuzzi D, Merolla R, Ribera M, Spina I. Artificial Neural Networks for Residual Capacity Estimation of Cycle-Aged Cylindric LFP Batteries. Batteries. 2025; 11(7):260. https://doi.org/10.3390/batteries11070260
Chicago/Turabian StyleFranzese, Pasquale, Diego Iannuzzi, Roberta Merolla, Mattia Ribera, and Ivan Spina. 2025. "Artificial Neural Networks for Residual Capacity Estimation of Cycle-Aged Cylindric LFP Batteries" Batteries 11, no. 7: 260. https://doi.org/10.3390/batteries11070260
APA StyleFranzese, P., Iannuzzi, D., Merolla, R., Ribera, M., & Spina, I. (2025). Artificial Neural Networks for Residual Capacity Estimation of Cycle-Aged Cylindric LFP Batteries. Batteries, 11(7), 260. https://doi.org/10.3390/batteries11070260

