Impact of Low-Pressure in High-Altitude Area on the Aging Characteristics of NCM523/Graphite Pouch Cells
Abstract
1. Introduction
2. Experimental
2.1. Samples
2.2. Testing Equipment
2.3. Aging Test
3. Results
3.1. Electrochemical Performance
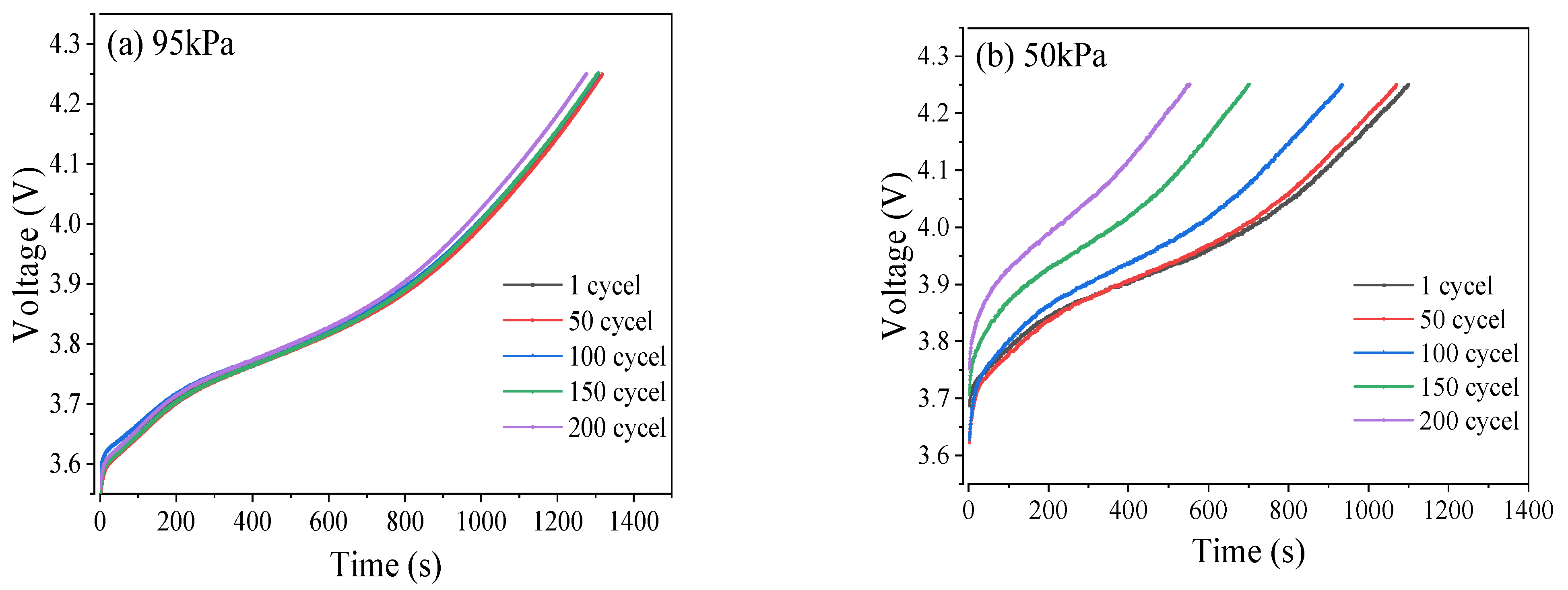
3.1.1. Cyclic Voltage and Capacity
3.1.2. SOH and CE of LIBs
3.1.3. DV/DQ and DQ/DV
3.2. Battery Impedance
3.3. Battery Temperature
3.4. Structural Characteristics of the Batteries
4. Conclusions
- (1)
- Compared with the normal plain condition (95 kPa), after 200 cycles, SOH of the battery in a low-pressure environment (50 kPa) dropped sharply to 46.6%, and the Rct increased significantly by 70%. The contribution rate of active lithium loss was as high as 74%, and active lithium loss is the dominant factor in capacity decay. Under low pressure, the heat generation increased significantly, and the heat generation structure changed, mainly due to the significant increase in generation of polarization heat and side-reaction heat, especially the increase of polarization heat caused by Rct.
- (2)
- The deformation of the battery structure is considered as an important causation of low-pressure-induced performance degradation. The expansion of a gap between the electrodes led to poor electrolyte infiltration and a reduction in the effective lithium insertion area. Structural changes triggered multiple synergistic degradation mechanisms. Local polarization and failure contact and SEI film dynamic rupture–regeneration, in collaboration with a local high rate, results in hindering the transport of Li+ and consumption of active lithium. Besides, the reversible/irreversible loss of active lithium, resulting from the gaps, insufficient contact and consumption of electrolyte, are the main reasons for the acceleration in degradation under lower ambient pressure.
- (3)
- Applying external force could effectively stabilize the electrode structure, leading to an effective shrinking of the gap between electrodes, which increased the battery cycle capacity retention rate to 87.6% and significantly improved the cycle performance of the battery in a high-altitude environment. For the first time, this work established the relationship between low-pressure environment, structural deformation and electrochemical decay, providing a theoretical basis for the design and application of energy storage batteries in high-altitude areas.
Author Contributions
Funding
Data Availability Statement
Acknowledgments
Conflicts of Interest
References
- Rodrigues, M.-T.F.; Babu, G.; Gullapalli, H.; Kalaga, K.; Sayed, F.N.; Kato, K.; Joyner, J.; Ajayan, P.M. A materials perspective on Li-ion batteries at extreme temperatures. Nat. Energy 2017, 2, 17108. [Google Scholar] [CrossRef]
- Hollinger, A.S.; McAnallen, D.R.; Brockett, M.T.; DeLaney, S.C.; Ma, J.; Rahn, C.D. Cylindrical lithium-ion structural batteries for drones. Int. J. Energy Res. 2019, 44, 560–566. [Google Scholar] [CrossRef]
- Li, H.; Liu, B.; Zhou, D.; Zhang, C. Coupled Mechanical–Electrochemical–Thermal Study on the Short-Circuit Mechanism of Lithium-Ion Batteries under Mechanical Abuse. J. Electrochem. Soc. 2020, 167, 20501–20511. [Google Scholar] [CrossRef]
- Xie, S.; Gong, Y.; Li, G.; Ping, X. Effect of low-pressure environment on thermal runaway behavior of NCM523/graphite pouch cells with different overcharge cycles. J. Energy Storage 2022, 55, 105444. [Google Scholar] [CrossRef]
- Wang, Z.; Yang, X.; Xie, S. Study on the thermal safety evolution characteristics and early warning strategies of lithium-ion batteries aged at high-altitude environments. Appl. Therm. Eng. 2025, 264, 125501. [Google Scholar] [CrossRef]
- Feng, X.; Ouyang, M.; Liu, X.; Lu, L.; Xia, Y.; He, X. Thermal runaway mechanism of lithium ion battery for electric vehicles: A review. Energy Storage Mater. 2018, 10, 246–267. [Google Scholar] [CrossRef]
- Zhi, M.; Liu, Q.; Xu, Q.; Pan, Z.; Sun, Q.; Su, B.; Zhao, H.; Cui, H.; He, Y. Review of prevention and mitigation technologies for thermal runaway in lithium-ion batteries. Aerosp. Traffic Saf. 2024, 1, 55–72. [Google Scholar] [CrossRef]
- Wang, Z.; Zhao, Q.; Wang, S.; Song, Y.; Shi, B.; He, J. Aging and post-aging thermal safety of lithium-ion batteries under complex operating conditions: A comprehensive review. J. Power Sources 2024, 623, 235453. [Google Scholar] [CrossRef]
- Palacín, M.R.; de Guibert, A. Why do batteries fail? Science 2016, 351, 1253292. [Google Scholar] [CrossRef]
- Tian, Y.; Lin, C.; Li, H.; Du, J.; Xiong, R. Detecting undesired lithium plating on anodes for lithium-ion batteries—A review on the in-situ methods. Appl. Energy 2021, 300, 117386. [Google Scholar] [CrossRef]
- Jeevarajan, J.A.; Duffield, B.E. Performance and Safety of Lithium-Ion Polymer Pouch Cells. J. Space Saf. Eng. 2014, 1, 10–16. [Google Scholar] [CrossRef]
- Wang, Z.; Song, Y.; Yin, B.; Shi, B.; Li, Z.; Yu, J. Effect of ambient pressure on the fire characteristics of lithium-ion battery energy storage container. J. Loss Prev. Process Ind. 2024, 92, 105459. [Google Scholar] [CrossRef]
- Yu, H.; Wang, L.; Zhang, Z.; Li, Y.; Yang, S.; He, X. Insight Understanding of External Pressure on Lithium Plating in Commercial Lithium-Ion Batteries. Adv. Funct. Mater. 2024, 34, 2406966. [Google Scholar] [CrossRef]
- Cannarella, J.; Arnold, C.B. Stress evolution and capacity fade in constrained lithium-ion pouch cells. J. Power Sources 2014, 245, 745–751. [Google Scholar] [CrossRef]
- Mussa, A.S.; Klett, M.; Lindbergh, G.; Lindström, R.W. Effects of external pressure on the performance and ageing of single-layer lithium-ion pouch cells. J. Power Sources 2018, 385, 18–26. [Google Scholar] [CrossRef]
- Chen, X.; Hu, Y.; Li, S.; Wang, Y.; Li, D.; Luo, C.; Xue, X.; Xu, F.; Zhang, Z.; Gong, Z.; et al. State of health (SoH) estimation and degradation modes analysis of pouch NMC532/graphite Li-ion battery. J. Power Sources 2021, 498, 229884. [Google Scholar] [CrossRef]
- Ding, S.; Wang, L.; Dai, H.; He, X. Prognosticating nonlinear degradation in lithium-ion batteries: Operando pressure as an early indicator preceding other signals of capacity fade and safety risks. Energy Storage Mater. 2025, 75, 103998. [Google Scholar] [CrossRef]
- Li, W.; Yang, F.; Wang, K.; Wu, X.; Ling, M.; Shen, X.; Yang, X.; Lin, Z.; Wu, K.; Liang, C. Clarifying the Effect of Pressure on Performance in Lithium-Ion Batteries. J. Electrochem. Soc. 2025, 172, 010512. [Google Scholar] [CrossRef]
- Hoenicke, P.; Khatri, R.; Bauer, C.; Osama, M.; Kallo, J.; Willich, C. Influence of Low Pressures on the Performance of Lithium Ion Batteries for Airplane Applications. J. Electrochem. Soc. 2023, 170, 060541. [Google Scholar] [CrossRef]
- Xiong, R.; Li, H.; Mei, B.-A.; He, H.; Shen, W. Revealing the effect of external pressure on solid-electrolyte interphase and lithium plating in lithium-ion batteries. J. Energy Chem. 2025, 102, 734–744. [Google Scholar] [CrossRef]
- Liu, S.; Winter, M.; Lewerenz, M.; Becker, J.; Sauer, D.U.; Ma, Z.; Jiang, J. Analysis of cyclic aging performance of commercial Li4Ti5O12-based batteries at room temperature. Energy 2019, 173, 1041–1053. [Google Scholar] [CrossRef]
- Zhu, J.; Darma, M.S.D.; Knapp, M.; Sørensen, D.R.; Heere, M.; Fang, Q.; Wang, X.; Dai, H.; Mereacre, L.; Senyshyn, A.; et al. Investigation of lithium-ion battery degradation mechanisms by combining differential voltage analysis and alternating current impedance. J. Power Sources 2020, 448, 227575. [Google Scholar] [CrossRef]
- Fath, J.P.; Dragicevic, D.; Bittel, L.; Nuhic, A.; Sieg, J.; Hahn, S.; Alsheimer, L.; Spier, B.; Wetzel, T. Quantification of aging mechanisms and inhomogeneity in cycled lithium-ion cells by differential voltage analysis. J. Energy Storage 2019, 25, 100813. [Google Scholar] [CrossRef]
- Yin, T.; Jia, L.; Li, X.; Zheng, L.; Dai, Z. Effect of High-Rate Cycle Aging and Over-Discharge on NCM811 (LiNi0.8Co0.1Mn0.1O2) Batteries. Energies 2022, 15, 2862. [Google Scholar] [CrossRef]
- Cai, Z.; Mendoza, S.; Goodman, J.; McGann, J.; Han, B.; Sanchez, H.; Spray, R. The Influence of Cycling, Temperature, and Electrode Gapping on the Safety of Prismatic Lithium-Ion Batteries. J. Electrochem. Soc. 2020, 167, 160515. [Google Scholar] [CrossRef]
- Barcellona, S.; Colnago, S.; Dotelli, G.; Latorrata, S.; Piegari, L. Aging effect on the variation of Li-ion battery resistance as function of temperature and state of charge. J. Energy Storage 2022, 50, 104658. [Google Scholar] [CrossRef]
- Cook, R.W.; Swan, L.G.; Plucknett, K.P. Failure mode analysis of lithium ion batteries operated for low Earth orbit CubeSat applications. J. Energy Storage 2020, 31, 101561. [Google Scholar] [CrossRef]
- Liu, S.; Su, J.; Zhao, J.; Chen, X.; Zhang, C.; Huang, T.; Wu, J.; Yu, A. Unraveling the capacity fading mechanisms of LiNi0.6Co0.2Mn0.2O2 at elevated temperatures. J. Power Sources 2018, 393, 92–98. [Google Scholar] [CrossRef]
- Dubarry, M.; Truchot, C.; Liaw, B.Y. Synthesize battery degradation modes via a diagnostic and prognostic model. J. Power Sources 2012, 219, 204–216. [Google Scholar] [CrossRef]
- Pastor-Fernández, C.; Uddin, K.; Chouchelamane, G.H.; Widanage, W.D.; Marco, J. A Comparison between Electrochemical Impedance Spectroscopy and Incremental Capacity-Differential Voltage as Li-ion Diagnostic Techniques to Identify and Quantify the Effects of Degradation Modes within Battery Management Systems. J. Power Sources 2017, 360, 301–318. [Google Scholar] [CrossRef]
- Liu, Y.; Mao, G.; Yang, M.; Jiang, J.; Jiang, J. Slight Overcharge Aging Behaviors and Thermal Runaway Characteristics of Li(Ni0.5Co0.2Mn0.3)O2/Graphite Batteries at Different Ambient Temperatures. ACS Appl. Energy Mater. 2023, 6, 6760–6772. [Google Scholar] [CrossRef]
- Liu, J.; Zhou, L.; Zhang, Y.; Wang, J.; Wang, Z. Aging behavior and mechanisms of lithium-ion battery under multi-aging path. J. Clean. Prod. 2023, 423, 138678. [Google Scholar] [CrossRef]
- Guo, J.; Jin, S.; Sui, X.; Huang, X.; Xu, Y.; Li, Y.; Kristensen, P.K.; Wang, D.; Pedersen, K.; Gurevich, L.; et al. Unravelling and quantifying the aging processes of commercial Li(Ni0.5Co0.2Mn0.3)O2/graphite lithium-ion batteries under constant current cycling. J. Mater. Chem. A 2023, 11, 41–52. [Google Scholar] [CrossRef]
- Guo, J.; Li, Y.; Meng, J.; Pedersen, K.; Gurevich, L.; Stroe, D.-I. Understanding the mechanism of capacity increase during early cycling of commercial NMC/graphite lithium-ion batteries. J. Energy Chem. 2022, 74, 34–44. [Google Scholar] [CrossRef]
- Cai, Q.; Ji, Q.; Chen, X.; Wang, T.; Li, L.; Yuan, Q.; Gao, S.; Cheng, Y.-j. Comprehensive study of high-temperature calendar aging on cylinder Li-ion battery. Chem. Eng. Sci. 2024, 298, 120355. [Google Scholar] [CrossRef]
- Schmidt, A.; Smith, A.; Ehrenberg, H. Power capability and cyclic aging of commercial, high power lithium ion battery cells with respect to different cell designs. J. Power Sources 2019, 425, 27–38. [Google Scholar] [CrossRef]
- Liu, J.; Duan, Q.; Ma, M.; Zhao, C.; Sun, J.; Wang, Q. Aging mechanisms and thermal stability of aged commercial 18650 lithium ion battery induced by slight overcharging cycling. J. Power Sources 2020, 445, 227263. [Google Scholar] [CrossRef]
- Barcellona, S.; Piegari, L. Effect of current on cycle aging of lithium ion batteries. J. Energy Storage 2020, 29, 101310. [Google Scholar] [CrossRef]
- Hosen, M.S.; Yadav, P.; Van Mierlo, J.; Berecibar, M. A Post-Mortem Study Case of a Dynamically Aged Commercial NMC Cell. Energies 2023, 16, 1046. [Google Scholar] [CrossRef]
- Atalay, S.; Sheikh, M.; Mariani, A.; Merla, Y.; Bower, E.; Widanage, W.D. Theory of battery ageing in a lithium-ion battery: Capacity fade, nonlinear ageing and lifetime prediction. J. Power Sources 2020, 478, 229026. [Google Scholar] [CrossRef]
- Zhu, X.; Revilla, R.I.; Jaguemont, J.; Van Mierlo, J.; Hubin, A. Insights into Cycling Aging of LiNi0.80Co0.15Al0.05O2 Cathode Induced by Surface Inhomogeneity: A Post-mortem Analysis. J. Phys. Chem. C 2019, 123, 30046–30058. [Google Scholar] [CrossRef]
- Zhu, H.; Ma, J.; Ding, H.; Wu, H.; Zhang, C.; Fang, X.; Xuan, H.; Lao, L.; Ni, L.; Wang, X. Experimental study of capacity fading mechanism in multiple overdischarge on LiNi0.5Co0.2Mn0.3O2&LiMn2O4/graphite lithium-ion batteries. Ceram. Int. 2024, 50, 35537–35548. [Google Scholar]
- Ouyang, D.; Weng, J.; Chen, M.; Wang, J. Impact of high-temperature environment on the optimal cycle rate of lithium-ion battery. J. Energy Storage 2020, 28, 101242. [Google Scholar] [CrossRef]
















| Battery | Characteristics |
|---|---|
| Cell description | Polymer Lithium Ion Battery |
| Dimension | 125.8 mm × 43.8 mm × 9.5 mm |
| Nominal Capacity | ≥5000 mAh |
| Chemistry | Li(Ni0.5Co0.2Mn0.3)O2 |
| Capacity | 5000 mAh |
| Approx. Weight | ≤106 g |
| Nominal Voltage | 3.7 V |
| Cut-off Voltage | 2.75–4.2 V |
| Resistance | ≤2.0 mΩ |
| Pressure Environment | Ambient Temperature | External Force | Rate |
|---|---|---|---|
| 95 kPa | 25 °C | No | 0.5 C |
| 50 kPa | 25 °C | No | |
| 50 kPa | 25 °C | Yes |
Disclaimer/Publisher’s Note: The statements, opinions and data contained in all publications are solely those of the individual author(s) and contributor(s) and not of MDPI and/or the editor(s). MDPI and/or the editor(s) disclaim responsibility for any injury to people or property resulting from any ideas, methods, instructions or products referred to in the content. |
© 2025 by the authors. Licensee MDPI, Basel, Switzerland. This article is an open access article distributed under the terms and conditions of the Creative Commons Attribution (CC BY) license (https://creativecommons.org/licenses/by/4.0/).
Share and Cite
Chen, X.; Wang, Z.; Wang, J.; Lin, Y.; Li, J. Impact of Low-Pressure in High-Altitude Area on the Aging Characteristics of NCM523/Graphite Pouch Cells. Batteries 2025, 11, 261. https://doi.org/10.3390/batteries11070261
Chen X, Wang Z, Wang J, Lin Y, Li J. Impact of Low-Pressure in High-Altitude Area on the Aging Characteristics of NCM523/Graphite Pouch Cells. Batteries. 2025; 11(7):261. https://doi.org/10.3390/batteries11070261
Chicago/Turabian StyleChen, Xiantao, Zhi Wang, Jian Wang, Yichao Lin, and Jian Li. 2025. "Impact of Low-Pressure in High-Altitude Area on the Aging Characteristics of NCM523/Graphite Pouch Cells" Batteries 11, no. 7: 261. https://doi.org/10.3390/batteries11070261
APA StyleChen, X., Wang, Z., Wang, J., Lin, Y., & Li, J. (2025). Impact of Low-Pressure in High-Altitude Area on the Aging Characteristics of NCM523/Graphite Pouch Cells. Batteries, 11(7), 261. https://doi.org/10.3390/batteries11070261

