Magneto-Structural Relationship of Tetragonally-Compressed Octahedral Iron(II) Complex Surrounded by a pseudo-S6 Symmetric Hexakis-Dimethylsulfoxide Environment
Abstract
1. Introduction
2. Results and Discussion
2.1. Crystal Structure of 1
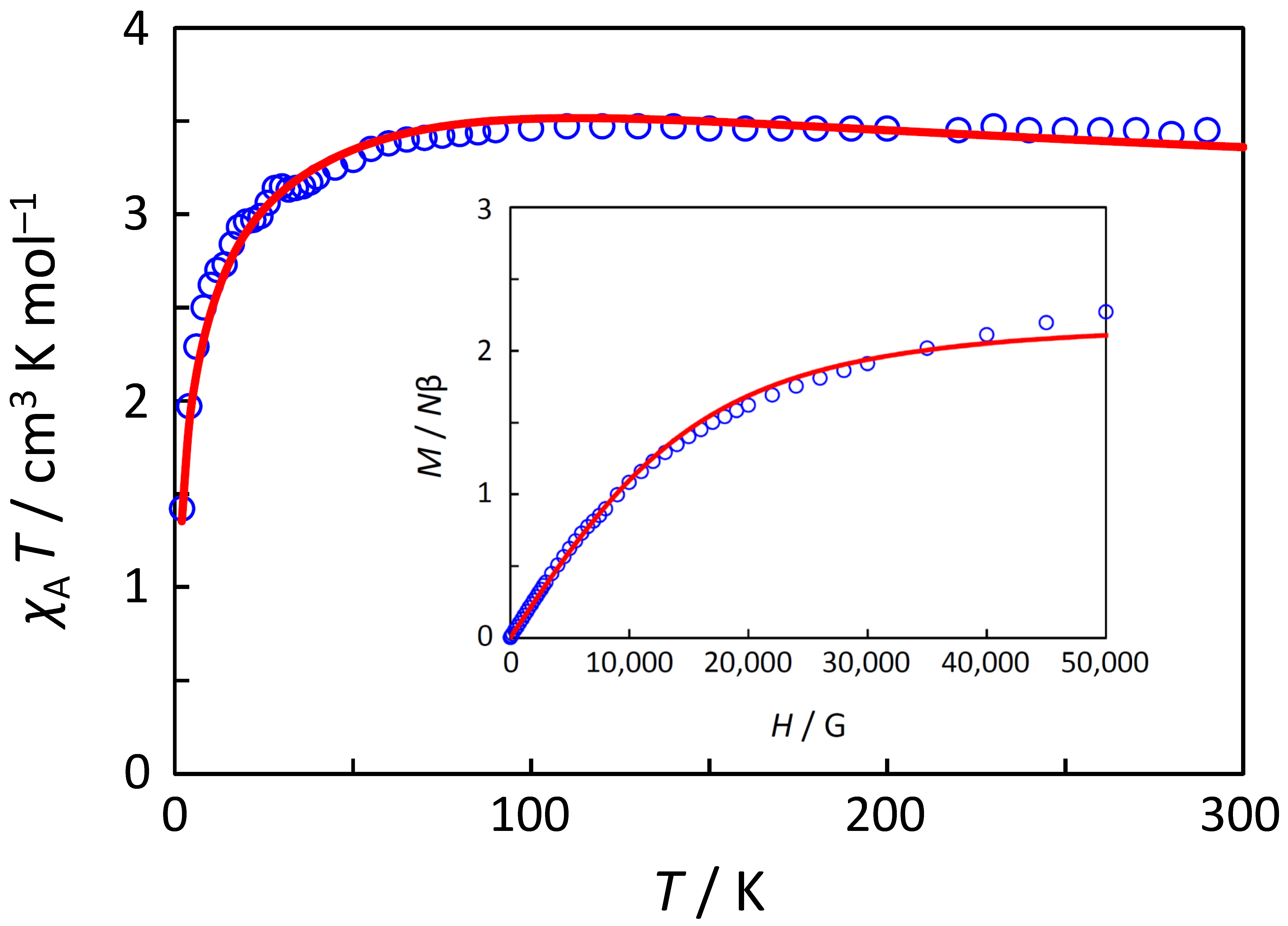
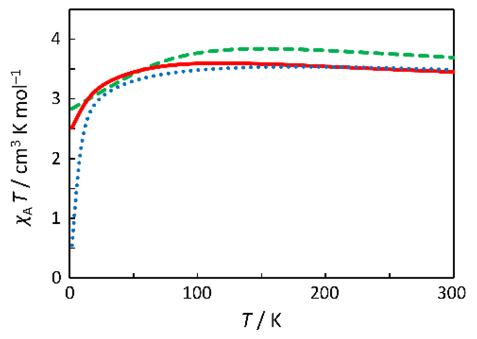
2.2. Magnetic Properties
2.3. Density Functional Theory (DFT) Computation
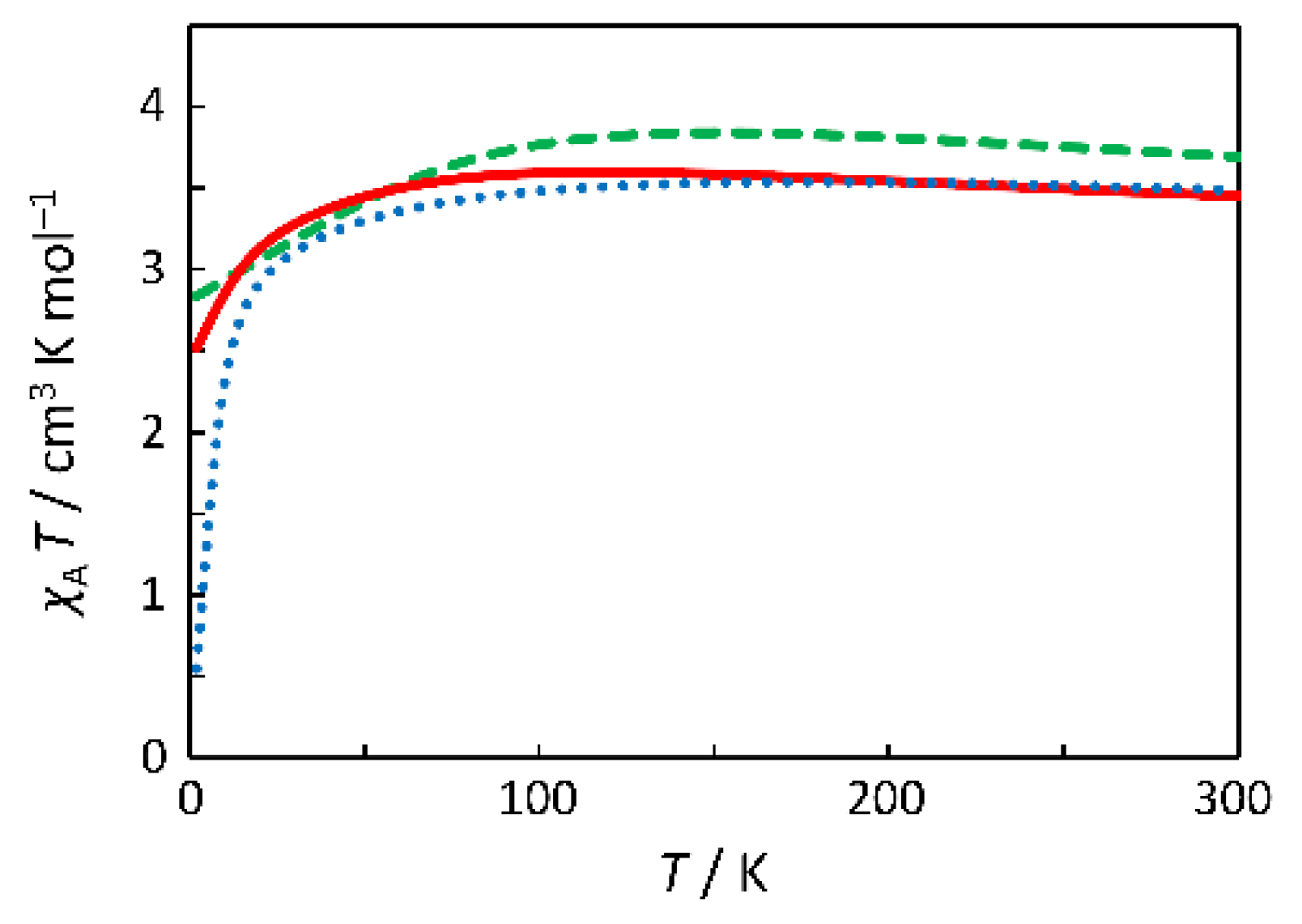
2.4. Magneto-Structural Relationship
3. Materials and Methods
3.1. Materials and Methods
3.2. Synthetic Procedures
3.3. Crystallography
3.4. Computations
4. Conclusions
Supplementary Materials
Author Contributions
Funding
Data Availability Statement
Conflicts of Interest
References
- Griffith, J.S. The Theory of Transition-Metal Ions; Cambridge University Press: Cambridge, UK, 1961. [Google Scholar]
- Figgis, B.N.; Lewis, J.; Mabbs, F.E.; Webb, G.A. The magnetic behaviour of cubic field 5T2g terms in lower symmetry. J. Chem. Soc. A 1967, 442–447. [Google Scholar] [CrossRef]
- Long, G.J.; Baker, W.A. On the magnetic properties of some distorted octahedral high-spin iron(II) complexes. J. Chem. Soc. A 1971, 2956–2959. [Google Scholar] [CrossRef]
- Kotani, M. On the magnetic moment of complex ions. (I). J. Phys. Soc. Jpn. 1949, 4, 293–297. [Google Scholar] [CrossRef]
- Abragam, A.; Pryce, M.H.L. The theory of paramagnetic resonance in hydrated cobalt salts. Proc. Roy. Soc. A 1951, 206, 173–191. [Google Scholar]
- Stevens, K.W.H.; Pryce, M.H.L. On the magnetic properties of covalent XY6 complexes. Proc. Roy. Soc. A 1953, 219, 542–555. [Google Scholar]
- Figgis, B.N. The magnetic properties of transition metal ions in asymmetric ligand fields. Part 2.—Cubic field 3T2 terms. Trans. Faraday Soc. 1961, 57, 198–203. [Google Scholar] [CrossRef]
- Figgis, B.N.; Lewis, J.; Mabbs, F.E.; Webb, G.A. The magnetic behaviour of cubic field 3T1g terms. J. Chem. Soc. A 1966, 1411–1421. [Google Scholar] [CrossRef]
- Freedman, D.E.; Harman, W.H.; Harris, T.D.; Long, G.J.; Chang, C.J.; Long, J.R. Slow Magnetic Relaxation in a High-Spin Iron(II) Complex. J. Am. Chem. Soc. 2010, 132, 1224–1225. [Google Scholar] [CrossRef]
- Bar, A.K.; Pichon, C.; Gogoi, N.; Duhayon, C.; Ramasesha, S.; Sutter, J.-P. Single-ion magnet behaviour of heptacoordinated Fe(ii) complexes: On the importance of supramolecular organization. Chem. Commun. 2015, 51, 3616–3619. [Google Scholar] [CrossRef] [PubMed]
- Sakiyama, H. Theoretical equations of Zeeman energy levels for distorted metal complexes with 5T2g ground terms. J. Math. Chem. 2019, 57, 858–874. [Google Scholar] [CrossRef]
- White, A.P.; Robertson, K.N.; Cameron, T.S.; Liengme, B.V.; Leznoff, D.B.; Trudel, S.; Aquino, M.A.S. Synthesis and characterization of [M(DMSO)6][SnCl6] complexes (M=Fe2+, Co2+, and Ni2+) An old mystery solved. Can. J. Chem. 2007, 85, 372–378. [Google Scholar] [CrossRef]
- Szostak, E.; Migdał-Mikuli, A. Thermal analysis, phase transitions and molecular reorientations in [Fe(OS(CH3)2)6](ClO4)2. J. Therm. Anal. Calorim. 2017, 129, 1151–1158. [Google Scholar] [CrossRef]
- Sakiyama, H.; Sudo, R.; Abiko, T.; Yoshioka, D.; Mitsuhashi, R.; Omote, M.; Mikuriya, M.; Yoshitake, M.; Koikawa, M. Magneto-structural correlation of hexakis-dmso cobalt(II) complex. Dalton Trans. 2017, 46, 16306–16314. [Google Scholar] [CrossRef] [PubMed]
- Sakiyama, H.; Abiko, T.; Ito, M.; Mitsuhashi, R.; Mikuriya, M.; Waki, K.; Usuki, T. Reversible crystal-to-crystal phase transition of an octahedral zinc(II) complex with six dimethylsulfoxide. Polyhedron 2019, 158, 494–498. [Google Scholar] [CrossRef]
- Sakiyama, H.; Shomura, K.; Ito, M.; Waki, K.; Yamasaki, M. The crystal structure of [Mg(dmso)6][BPh4]2 and the formation mechanism of the conformer on the basis of conformational analysis. Dalton Trans. 2019, 48, 10174–10179. [Google Scholar] [CrossRef]
- Sakiyama, H.; Abiko, T.; Ito, M.; Mitsuhashi, R.; Mikuriya, M.; Waki, K. Conformational analysis of an octahedral zinc(II) complex with six dimethylsulfoxide. Polyhedron 2016, 119, 512–516. [Google Scholar] [CrossRef]
- Kahn, O. Molecular Magnetism; VCH: Weinheim, Germany, 1993. [Google Scholar]
- Sakiyama, H. Theoretical equations of Zeeman energy levels for distorted metal complexes with 3T1 ground terms. Magnetochemistry 2019, 5, 17. [Google Scholar] [CrossRef]
- Figgis, B.N.; Hitchman, M.A. Ligand Field Theory and Its Application; Wiley-VCH: Weinheim, Germany, 2000. [Google Scholar]
- Schmidt, M.W.; Baldridge, K.K.; Boatz, J.A.; Elbert, S.T.; Gordon, M.S.; Jensen, J.H.; Koseki, S.; Matsunaga, N.; Nguyen, K.A.; Su, S.; et al. General atomic and molecular electronic structure system. J. Comput. Chem. 1993, 14, 1347–1363. [Google Scholar] [CrossRef]
- Gordon, M.S.; Schmidt, M.W. Advances in Electronic Structure Theory; Elsevier: Amsterdam, The Netherlands, 2005. [Google Scholar]
- Tawada, Y.; Tsuneda, T.; Yanagisawa, S.; Yanai, T.; Hirao, K. A long-range-corrected time-dependent density functional theory. J. Chem. Phys. 2004, 120, 8425–8433. [Google Scholar] [CrossRef]
- Weigend, F.; Ahlrichs, R. Balanced basis sets of split valence, triple zeta valence and quadruple zeta valence quality for H to Rn: Design and assessment of accuracy. Phys. Chem. Chem. Phys. 2005, 7, 3297–3305. [Google Scholar] [CrossRef]
- Weigend, F. Accurate Coulomb-fitting basis sets for H to Rn. Phys. Chem. Chem. Phys. 2006, 8, 1057–1065. [Google Scholar] [CrossRef] [PubMed]





| Empirical Formula | C60H76B2FeO6S6 |
| Formula Weight | 1163.08 |
| Crystal system | tetragonal |
| Space group | P42/n |
| a/Å | 17.76361(7) |
| c/Å | 19.46383(12) |
| V/Å3 | 6141.73(5) |
| Z | 4 |
| Crystal Dimensions/mm | 0.373 × 0.292 × 0.211 |
| T/K | 203 |
| λ/Å | 0.71073 |
| ρcalcd/g cm−3 | 1.528 |
| µ/mm−1 | 0.496 |
| F(000) | 2464 |
| 2θmax/◦ | 60.1 |
| No. of Reflections Measured | 173,887 |
| No. of independent reflections | 8991 (Rint = 0.0201) |
| Data/restraints/parameters | 8991/163/405 |
| R1a (I > 2.00σ(I)) | 0.0327 |
| wR2b (All reflections) | 0.0356 |
| Goodness of Fit Indicator | 1.029 |
| Highest peak, deepest hole/e Å−3 | 0.49, −0.47 |
| CCDC deposition number | 1854569 |
Publisher’s Note: MDPI stays neutral with regard to jurisdictional claims in published maps and institutional affiliations. |
© 2021 by the authors. Licensee MDPI, Basel, Switzerland. This article is an open access article distributed under the terms and conditions of the Creative Commons Attribution (CC BY) license (http://creativecommons.org/licenses/by/4.0/).
Share and Cite
Sakiyama, H.; Abiko, T.; Koikawa, M.; Yamasaki, M. Magneto-Structural Relationship of Tetragonally-Compressed Octahedral Iron(II) Complex Surrounded by a pseudo-S6 Symmetric Hexakis-Dimethylsulfoxide Environment. Magnetochemistry 2021, 7, 30. https://doi.org/10.3390/magnetochemistry7020030
Sakiyama H, Abiko T, Koikawa M, Yamasaki M. Magneto-Structural Relationship of Tetragonally-Compressed Octahedral Iron(II) Complex Surrounded by a pseudo-S6 Symmetric Hexakis-Dimethylsulfoxide Environment. Magnetochemistry. 2021; 7(2):30. https://doi.org/10.3390/magnetochemistry7020030
Chicago/Turabian StyleSakiyama, Hiroshi, Takaaki Abiko, Masayuki Koikawa, and Mikio Yamasaki. 2021. "Magneto-Structural Relationship of Tetragonally-Compressed Octahedral Iron(II) Complex Surrounded by a pseudo-S6 Symmetric Hexakis-Dimethylsulfoxide Environment" Magnetochemistry 7, no. 2: 30. https://doi.org/10.3390/magnetochemistry7020030
APA StyleSakiyama, H., Abiko, T., Koikawa, M., & Yamasaki, M. (2021). Magneto-Structural Relationship of Tetragonally-Compressed Octahedral Iron(II) Complex Surrounded by a pseudo-S6 Symmetric Hexakis-Dimethylsulfoxide Environment. Magnetochemistry, 7(2), 30. https://doi.org/10.3390/magnetochemistry7020030

