Theoretical Study on Magnetic Interaction in Pyrazole-Bridged Dinuclear Metal Complex: Possibility of Intramolecular Ferromagnetic Interaction by Orbital Counter-Complementarity
Abstract
1. Introduction
2. Theoretical Background
2.1. Orbital Complementarity and Counter-Complementarity
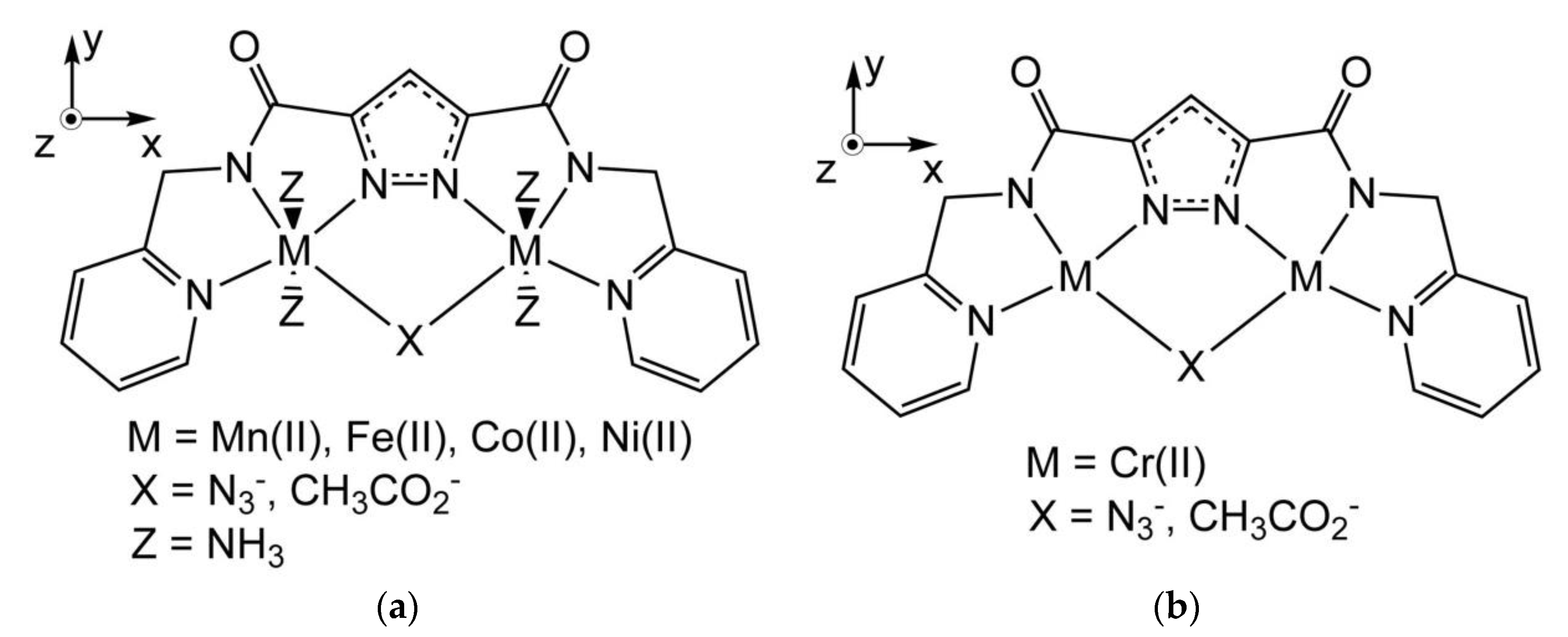
2.2. Computational Models
2.3. Computational Details
3. Results and Discussion
3.1. Optimized Structures and Calculated J Values
3.2. Orbital Energy Difference
3.3. Natural Orbital Analyses
4. Conclusions
Supplementary Materials
Author Contributions
Funding
Conflicts of Interest
References
- Caneschi, A.; Gatteschi, D.; Sessoli, R.; Barra, A.L.; Brunel, L.C.; Guillot, M. Alternating current susceptibility, high field magnetization, and millimeter band EPR evidence for a ground S = 10 state in [Mn12O12(CH3COO)16(H2O)4]∙2CH3COOH∙4H2O. J. Am. Chem. Soc. 1992, 113, 5873–5874. [Google Scholar] [CrossRef]
- Sessoli, R.; Gatteschi, D.; Caneschi, A.; Novak, M.A. Magnetic bistability in a metal-ion cluster. Nature 1993, 365, 141–143. [Google Scholar] [CrossRef]
- Christou, G.; Gatteschi, D.; Hendrickson, D.N.; Sessoli, R. Single-Molecule Magnets. In MRS Bulletin; Cambridge University Press: Cambridge, UK, 2000; Volume 25, pp. 66–71. [Google Scholar]
- Oshio, H.; Nihei, M.; Yoshida, A.; Nojiri, H.; Nakano, M.; Yamaguchi, A.; Karaki, Y.; Ishimoto, H. A Dinuclear MnIII–CuIISingle-Molecule Magnet. Chem. Euro. J. 2005, 11, 843–848. [Google Scholar] [CrossRef] [PubMed]
- Gadet, V.; Mallah, T.; Castro, I.; Verdaguer, M.; Veillet, P. High-TC molecular-based magnets: A ferromagnetic bimetallic chromium(III)-nickel(II) cyanide with TC = 90 K. J. Am. Chem. Soc. 1992, 114, 9213–9214. [Google Scholar] [CrossRef]
- Mallah, T.; Thiébaut, S.; Verdaguer, M.; Veillet, P. High-Tc Molecular-Based Magnets: Ferrimagnetic Mixed-Valence Chromium(III)-Chromium(II) Cyanides with Tc at 240 and 190 Kelvin. Science 1993, 262, 1554–1557. [Google Scholar] [CrossRef] [PubMed]
- Tokoro, H.; Ohkoshi, S. Novel magnetic functionalities of Prussian blue analogs. Dalton Trans. 2011, 40, 6825–6833. [Google Scholar] [CrossRef] [PubMed]
- Baker, M.L.; Kitagawa, Y.; Nakamura, T.; Tazoe, K.; Narumi, Y.; Kotani, Y.; Iijima, F.; Newton, G.N.; Okumura, M.; Oshio, H.; et al. X-ray Magnetic Circular Dichroism Investigation of the Electron Transfer Phenomena Responsible for Magnetic Switching in a Cyanide-Bridged [CoFe] Chain. Inorg. Chem. 2013, 52, 13956–13962. [Google Scholar] [CrossRef] [PubMed]
- Kamiusuki, T.; Okawa, H.; Kitaura, E.; Koikawa, M.; Matsumoto, N.; Kida, S.; Oshio, H. Binuclear copper(II) complexes of new dinucleating ligands with a pyrazolate group as an endogenous bridge. Effects of exogenous azide and acetate bridges on magnetic properties. J. Chem. Soc. Dalton Trans. 1989, 2077–2081. [Google Scholar] [CrossRef]
- Nishida, Y.; Kida, S. An Important Factor Determining the Significant Difference in Antiferromagnetic Interactions between Two Homologous (µ-Alkoxo)(µ-pyrazolato-N,N’)dicopper(II) Complexes. Inorg. Chem. 1988, 27, 447–452. [Google Scholar] [CrossRef]
- Behle, L.; Neuburger, M.; Zehnder, M.; Kaden, T.A. Metal Complexes with Macrocyclic Ligands. Part XXXIX. Mono- and binuclear copper(II) complexes of a bridging bis[1,4,7-triazacyclononane]. Helv. Chim. Acta 1995, 78, 693–702. [Google Scholar] [CrossRef]
- Meyer, F.; Beyreuther, S.; Heinze, K.; Zsolnai, L. Dinuclear Cobalt(II) Complexes of Pyrazole Ligands with Chelating Side Arms. Eur. J. Inorg. Chem. 1997, 130, 605–613. [Google Scholar] [CrossRef]
- Pons, J.; López, X.; Benet, E.; Casabó, J.; Teixidor, F.; Sánchez, F.J. Dinuclear μ-pyrazole nickel(II), cobalt(II), cadmium(II) and zinc(II) complexes with dinucleating pyrazole-derived ligands. Polyhedron 1990, 23, 2839–2845. [Google Scholar] [CrossRef]
- Kitagawa, Y.; Saito, T.; Yamaguchi, K. Approximate Spin Projection for Broken-Symmetry Method and Its Application. In Symmetry (Group Theory) and Mathematical Treatment in Chemistry; Akitsu, T., Ed.; IntechOpen: London, UK, 2018. [Google Scholar] [CrossRef]
- Tugrul Zeyrek, C. Importance of Orbital Complementarity in Spin Coupling through Two Different Bridging Groups in Dicopper(II) Complexes of Endogenous Alkoxo Bridging Ligand with Exogenous Carboxylate: Ab-initio and Semi-Empirical Calculations. Z. Naturforsch 2007, 62, 409–416. [Google Scholar] [CrossRef]
- Wang, L.-L.; Sun, Y.-M.; Qui, Z.-N.; Liu, C.-B. Magnetic Interactions in Two Heterobridged Dinuclear Copper(II) Complexes: Orbital Complementarity or Countercomplementarity? J. Phys. Chem. A 2008, 112, 8418–8422. [Google Scholar] [CrossRef] [PubMed]
- Miyagi, K.; Kitagawa, Y.; Asaoka, M.; Teramoto, R.; Natori, Y.; Saito, T.; Nakano, M. Theoretical study of magnetic interaction in pyrazole-bridged dinuclear Cu(II) complex. Polyhedron 2017, 136, 132–135. [Google Scholar] [CrossRef]
- Kachi-Terajima, C.; Ishii, R.; Tojo, Y.; Fukuda, M.; Kitagawa, Y.; Asaoka, M.; Miyasaka, H. Ferromagnetic Exchange Coupling in a Family of MnIII Salen-Type Schiff-Base Out-of-Plane Dimers. J. Phys. Chem. C 2017, 121, 12454–12468. [Google Scholar] [CrossRef]
- Wang, L.-L.; Sun, Y.-M.; Gao, J.; Lin, X.-J.; Liu, C.-B. Insights into the control of magnetic coupling in the Mn4III complex: From ferromagnetic to antiferromagnetic. Dalton Trans. 2010, 39, 10249–10255. [Google Scholar] [CrossRef]
- Fukutome, H. The Unrestricted Hartree-Fock Theory of Chemical Reactions. I: The Electronic Instabilities in the Chemical Reactions and the Solutions of the Unrestricted SCF LCAO MO Equation for the Homopolar Two-Center Two-Electron System. Prog. Theoret. Phys. 1972, 47, 1156–1180. [Google Scholar] [CrossRef]
- Becke, A. Density-functional thermochemistry. III. The role of exact exchange. J. Chem. Phys. 1993, 98, 5648–5652. [Google Scholar] [CrossRef]
- Ditchfield, R.; Hehre, W.J.; Pople, J.A. Self-Consistent Molecular Orbital Methods. IX. Extended Gaussian-type basis for molecular-orbital studies of organic molecules. J. Chem. Phys. 1971, 54, 724–728. [Google Scholar] [CrossRef]
- Yamaguchi, K.; Fukui, H.; Fueno, T. Molecular orbital (MO) theory for magnetically interacting organic compounds. Ab-initio MO calculations of the effective exchange integrals for cyclophane-type carbene dimers. Chem. Lett. 1986, 15, 625–628. [Google Scholar] [CrossRef]
- Soda, T.; Kitagawa, Y.; Onishi, T.; Takano, Y.; Shigeta, Y.; Nagao, H.; Yoshioka, Y.; Yamaguchi, K. Ab initio computations of effective exchange integrals for H–H, H–He–H and Mn2O2 complex: Comparison of broken-symmetry approaches. Chem. Phys. Lett. 2000, 319, 223–230. [Google Scholar] [CrossRef]
- Frisch, M.J.; Trucks, G.W.; Schlegel, H.B.; Scuseria, G.E.; Robb, M.A.; Cheeseman, J.R.; Scalmani, G.; Barone, V.; Mennucci, B.; Petersson, G.A.; et al. Gaussian 09, Revision C.01; Gaussian, Inc.: Wallingford, CT, USA, 2009. [Google Scholar]
- Yoon, J.H.; Ryu, D.W.; Kim, H.C.; Yoon, S.W.; Suh, B.J.; Hong, C.S. An End-On Azide-Bridged Antiferromagnetic Single-Chain Magnet Involving Spin Canting and Field-Induced Two-Step Magnetic Transitions. Chem. Enro. J. 2009, 15, 3661–3665. [Google Scholar] [CrossRef] [PubMed]
- Ge, C.-H.; Cui, A.-L.; Ni, Z.-H.; Jiang, Y.-B.; Zhang, L.-F.; Ribas, J.; Kou, H.-Z. μ1,1-Azide-Bridged Ferromagnetic MnIII Dimer with Slow Relaxation of Magnetization. Inorg. Chem. 2006, 45, 4883–4885. [Google Scholar] [CrossRef] [PubMed]
- Natori, Y.; Kitagawa, Y.; Aoki, S.; Teramoto, R.; Tada, H.; Era, I.; Nakano, M. Quantum chemical design guidelines for absorption and emission color tuning of fac-Ir(ppy)3 complexes. Molecules 2018, 23, 577. [Google Scholar] [CrossRef] [PubMed]



| M | X | JAFM/cm−1 | JFM/cm−1 | Exptl b/cm−1 |
|---|---|---|---|---|
| Cr(II) | N3– | −8.9 | −8.3 | |
| CH3CO2– | −3.2 | −3.1 | ||
| Mn(II) | N3– | −9.1 | −8.1 | |
| CH3CO2– | −0.3 | −0.2 | ||
| Fe(II) | N3– | −13.1 | −11.3 | |
| CH3CO2– | −1.1 | −1.0 | ||
| Co(II) | N3– | −26.1 | −23.0 | |
| CH3CO2– | −2.0 | −0.1 | ||
| Ni(II) | N3– | −74.2 | −33.1 | |
| CH3CO2– | −3.2 | −3.1 | ||
| Cu(II) a | N3– | −436 | −364 | −371 |
| CH3CO2– | 13.5 | 23.0 | >8.9 |
| M | X | |
|---|---|---|
| Mn(II) | N3− | 0.42 |
| CH3CO2− | 0.06 | |
| Fe(II) | N3− | 0.40 |
| CH3CO2− | 0.07 | |
| Co(II) | N3− | 0.29 |
| CH3CO2− | 0.12 | |
| Ni(II) | N3− | 0.20 |
| CH3CO2− | 0.18 | |
| Cu(II) a | N3− | 1.33 |
| CH3CO2− | 0.60 |
| M | X | HONO | HONO-1 | HONO-2 | HONO-3 | HONO-4 |
|---|---|---|---|---|---|---|
| Mn(II) | N3− | 1.002 | 1.011 | 1.012 | 1.025 | 1.093 |
| CH3CO2− | 1.006 | 1.007 | 1.013 | 1.017 | 1.018 | |
| Fe(II) | N3− | 1.009 | 1.012 | 1.021 | 1.087 | |
| CH3CO2− | 1.004 | 1.009 | 1.016 | 1.019 | ||
| Co(II) | N3− | 1.011 | 1.023 | 1.094 | ||
| CH3CO2− | 1.007 | 1.013 | 1.022 | |||
| Ni(II) | N3− | 1.019 | 1.113 | |||
| CH3CO2− | 1.012 | 1.029 | ||||
| Cu(II)a | N3− | 1.188 | ||||
| CH3CO2− | 1.002 |
© 2020 by the authors. Licensee MDPI, Basel, Switzerland. This article is an open access article distributed under the terms and conditions of the Creative Commons Attribution (CC BY) license (http://creativecommons.org/licenses/by/4.0/).
Share and Cite
Fujii, T.; Kitagawa, Y.; Ikenaga, K.; Tada, H.; Era, I.; Nakano, M. Theoretical Study on Magnetic Interaction in Pyrazole-Bridged Dinuclear Metal Complex: Possibility of Intramolecular Ferromagnetic Interaction by Orbital Counter-Complementarity. Magnetochemistry 2020, 6, 10. https://doi.org/10.3390/magnetochemistry6010010
Fujii T, Kitagawa Y, Ikenaga K, Tada H, Era I, Nakano M. Theoretical Study on Magnetic Interaction in Pyrazole-Bridged Dinuclear Metal Complex: Possibility of Intramolecular Ferromagnetic Interaction by Orbital Counter-Complementarity. Magnetochemistry. 2020; 6(1):10. https://doi.org/10.3390/magnetochemistry6010010
Chicago/Turabian StyleFujii, Takuya, Yasutaka Kitagawa, Kazuki Ikenaga, Hayato Tada, Iori Era, and Masayoshi Nakano. 2020. "Theoretical Study on Magnetic Interaction in Pyrazole-Bridged Dinuclear Metal Complex: Possibility of Intramolecular Ferromagnetic Interaction by Orbital Counter-Complementarity" Magnetochemistry 6, no. 1: 10. https://doi.org/10.3390/magnetochemistry6010010
APA StyleFujii, T., Kitagawa, Y., Ikenaga, K., Tada, H., Era, I., & Nakano, M. (2020). Theoretical Study on Magnetic Interaction in Pyrazole-Bridged Dinuclear Metal Complex: Possibility of Intramolecular Ferromagnetic Interaction by Orbital Counter-Complementarity. Magnetochemistry, 6(1), 10. https://doi.org/10.3390/magnetochemistry6010010

