A New Family of High Tc Molecule-Based Magnetic Networks: V[x-ClnPTCE]2·yCH2Cl2 (PTCE = Phenyltricyanoethylene)
Abstract
1. Introduction
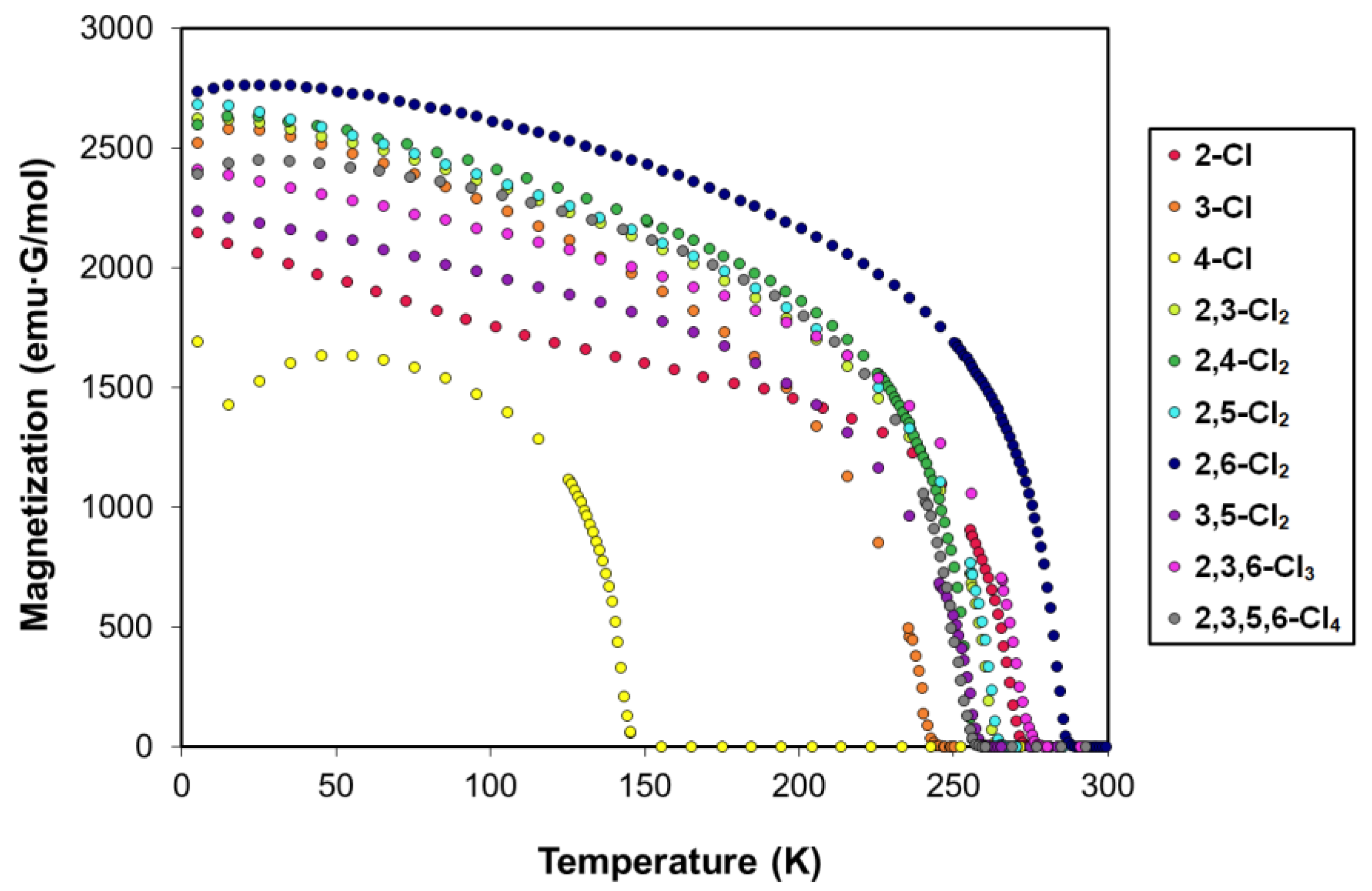
2. Results
3. Discussion
4. Materials and Methods
5. Conclusions
Supplementary Materials
Author Contributions
Funding
Conflicts of Interest
References
- Manriquez, J.M.; Yee, G.T.; Mclean, R.S.; Epstein, A.J.; Miller, J.S. A Room-Temperature Molecular/Organic-Based Magnet. Science 1991, 252, 1415–1417. [Google Scholar] [CrossRef] [PubMed]
- Miller, J.S. Oliver Kahn Lecture: Composition and structure of the V[TCNE]x (TCNE = tetracyanoethylene) room-temperature, organic-based magnet—A personal perspective. Polyhedron 2009, 28, 1596–1605. [Google Scholar] [CrossRef]
- Miller, J.S. Magnetically ordered molecule-based materials. Chem. Soc. Rev. 2011, 40, 3266–3296. [Google Scholar] [CrossRef] [PubMed]
- Wegner, D.; Yamachika, R.; Zhang, X.; Wang, Y.; Baruah, T.; Pederson, M.R.; Bartlett, B.M.; Long, J.R.; Crommie, M.F. Tuning Molecule-Mediated Spin Coupling in Bottom-Up-Fabricated Vanadium-Tetracyanoethylene Nanostructures. Phys. Rev. Lett. 2009, 103, 087205. [Google Scholar] [CrossRef] [PubMed]
- Yoo, J.-W.; Chen, C.-Y.; Jang, H.W.; Bark, C.W.; Prigodin, V.N.; Eom, C.B.; Epstein, A.J. Spin injection/detection using an organic-based magnetic semiconductor. Nat. Mater. 2010, 9, 638–642. [Google Scholar] [CrossRef] [PubMed]
- Yu, H.; Harberts, M.; Adur, R.; Lu, Y.; Hammel, P.C.; Johnston-Halperin, E.; Epstein, A.J. Ultra-narrow ferromagnetic resonance in organic-based thin films grown via low temperature chemical vapor deposition. Appl. Phys. Lett. 2014, 105, 012407. [Google Scholar] [CrossRef]
- Zhang, J.; Ensling, J.; Ksenofontov, V.; Gütlich, P.; Epstein, A.J.; Miller, J.S. [MII(TCNE)2] xCH2Cl2 (M = Mn, Fe, Co, Ni) Molecule-Based Magnets with Tc Values above 100 K and Coercive Fields up to 6500 Oe. Angew. Chem. Int. Ed. 1998, 37, 657–660. [Google Scholar] [CrossRef]
- Pokhodnya, K.I.; Vickers, E.B.; Bonner, M.; Epstein, A.J.; Miller, J.S. Solid Solution VxFe1–x[TCNE]2·zCH2Cl2 Room-Temperature Magnets. Chem. Mater. 2004, 16, 3218–3223. [Google Scholar] [CrossRef]
- Vickers, E.B.; Senesi, A.; Miller, J.S. Ni[TCNE]2 zCH2Cl2 (Tc = 13 K) and VxNi1−x[TCNE]y zCH2Cl2 solid solution room temperature magnets. Inorg. Chim. Acta 2004, 357, 3889–3894. [Google Scholar] [CrossRef]
- Vickers, E.B.; Selby, T.D.; Thorum, M.S.; Taliaferro, M.L.; Miller, J.S. Vanadium 7,7,8,8-Tetracyano-p-quinodimethane (V[TCNQ]2)-Based Magnets. Inorg. Chem. 2004, 43, 6414–6420. [Google Scholar] [CrossRef]
- Vickers, E.B.; Selby, T.D.; Miller, J.S. Magnetically Ordered (Tc = 200 K) Bis(tetracyanopyrazine)vanadium, V[TCNP]2·yCH2Cl2. J. Am. Chem. Soc. 2004, 126, 3716–3717. [Google Scholar] [CrossRef] [PubMed]
- Taliaferro, M.L.; Thorum, M.S.; Miller, J.S. Room-Temperature Organic-Based Magnet (Tc ≈ 50 °C) Containing Tetracyanobenzene and Hexacarbonylvanadate(−I). Angew. Chem. Int. Ed. 2006, 118, 5452–5457. [Google Scholar] [CrossRef]
- Vickers, E.B.; Giles, I.D.; Miller, J.S. M[TCNQ]y-Based Magnets (M = Mn, Fe, Co, Ni; TCNQ = 7,7,8,8-tetracyano-p-quinodimethane). Chem. Mater. 2005, 17, 1667–1672. [Google Scholar] [CrossRef]
- Hao, J.; Davidson, R.A.; Kavand, M.; Schooten, K.J.; Schooten, K.J.; van Schooten, K.J.; Boehme, C.; Miller, J.S. Hexacyanobutadienide-Based Frustrated and Weak Ferrimagnets: M(HCBD)2·zCH2Cl2 (M = V, Fe). Inorg. Chem. 2016, 55, 9393–9399. [Google Scholar] [CrossRef] [PubMed]
- Pokhodnya, K.I.; Epstein, A.J.; Miller, J.S. Thin-Film V[TCNE]x Magnets. Adv. Mater. 2000, 12, 410–413. [Google Scholar] [CrossRef]
- Lu, Y.; Yu, H.; Harberts, M.; Epstein, A.J.; Johnston-Halperin, E. Vanadium[ethyl tricyanoethylene carboxylate]x: A new organic-based magnet. J. Mater. Chem. C 2015, 3, 7363–7369. [Google Scholar] [CrossRef]
- Fitzgerald, J.P.; Kaul, B.B.; Yee, G.T. Vanadium [dicyanoperfluorostilbene]2·yTHF: A molecule-based magnet with Tc ≈ 205 K. Chem. Commun. 2000, 49–50. [Google Scholar] [CrossRef]
- Harvey, M.D.; Crawford, T.D.; Yee, G.T. Room-Temperature and Near-Room-Temperature Molecule-Based Magnets. Inorg. Chem. 2008, 47, 5649–5655. [Google Scholar] [CrossRef] [PubMed]
- Harvey, M.D.; Pace, J.T.; Yee, G.T. A room temperature ferrimagnet, vanadium[pentafluorophenyltricyanoethylene]2. Polyhedron 2007, 26, 2037–2041. [Google Scholar] [CrossRef]
- Amshumali, M.K.; Harvey, M.D.; Yee, G.T. Room temperature and near-room temperature coordination polymer magnets. Synth. Met. 2014, 188, 53–56. [Google Scholar] [CrossRef]
- Haskel, D.; Islam, Z.; Lang, J.; Kmety, C.; Srajer, G.; Pokhodnya, K.I.; Epstein, A.J.; Miller, J.S. Local structural order in the disordered vanadium tetracyanoethylene room-temperature molecule-based magnet. Phys. Rev. B 2004, 70, 054422. [Google Scholar] [CrossRef]
- Kortright, J.B.; Lincoln, D.M.; Edelstein, R.S.; Epstein, A.J. Bonding, Backbonding, and Spin-Polarized Molecular Orbitals: Basis for Magnetism and Semiconducting Transport in V[TCNE]2. Phys. Rev. Lett. 2008, 100, 257204. [Google Scholar] [CrossRef] [PubMed]
- Frecus, B.; Oprea, C.I.; Panait, P.; Ferbinteanu, M.; Cimpoesu, F.; Gîrţu, M.A. Ab initio study of exchange coupling for the consistent understanding of the magnetic ordering at room temperature in V[TCNE]x. Theor. Chem. Acc. 2014, 133, 1470. [Google Scholar] [CrossRef]
- Kahn, O. Molecular Magnetism; VCH: New York, NY, USA, 1993; ISBN 978-1-56081-566-2. [Google Scholar]
- Novoa, J.N.; Ribas-Ariño, J.; Shum, W.W.; Miller, J.S. Control of Two-Electron Four-Center (2e-/4c) C−C Bond Formation Observed for Tetracyanoethenide Dimerization, [TCNE]22−. Inorg. Chem. 2007, 46, 103–107. [Google Scholar] [CrossRef] [PubMed]
- Wang, G.; Zhu, H.; Fan, J.; Slebodnick, C.; Yee, G.T. Coordination Complexes with cis-TCNE Radical Anion Ligands. Models of M[TCNE]2 Magnets. Inorg. Chem. 2006, 45, 1406–1408. [Google Scholar] [CrossRef] [PubMed]
- McConnell, A.C.; Shurdha, E.; Bell, J.D.; Miller, J.S. Antiferromagnetic Ordering of MII(TCNE)[C4(CN)8]1/2 (M = Mn, Fe; TCNE = Tetracyanoethylene). J. Phys. Chem. C 2012, 116, 18952–18957. [Google Scholar] [CrossRef]
- Carlegrim, E.; Kanciurzewska, A.; de Jong, M.P.; Tengstedt, C.; Fahlman, M. The unoccupied electronic structure of the semi-conducting room temperature molecular magnet V(TCNE)2. Chem. Phys. Lett. 2008, 452, 173–177. [Google Scholar] [CrossRef][Green Version]
- Erdin, S. Ab initio studies of tetracyanoethylene-based organic magnets. Phys. B Condens. Matter 2008, 403, 1964–1970. [Google Scholar] [CrossRef]
- Hansch, C.; Leo, A.; Taft, R.W. A survey of Hammett substituent constants and resonance and field parameters. Chem. Rev. 1991, 91, 165–195. [Google Scholar] [CrossRef]
- Goldstein, S.W.; Bill, A.; Dhuguru, J.; Ghoneim, O. Nucleophilic Aromatic Substitution—Addition and Identification of an Amine. J. Chem. Educ. 2017, 94, 1388–1390. [Google Scholar] [CrossRef]
- Laev, S.S.; Shteingarts, V.D. Reductive dehalogenation of polyfluoroarenes by zinc in aqueous ammonia. J. Fluor. Chem. 1999, 96, 175–185. [Google Scholar] [CrossRef]
- Lv, H.; Cai, Y.-B.; Zhang, J.-L. Copper-Catalyzed Hydrodefluorination of Fluoroarenes by Copper Hydride Intermediates. Angew. Chem. Int. Ed. 2013, 52, 3203–3207. [Google Scholar] [CrossRef] [PubMed]
- Li, J.; Zheng, T.; Sun, H.; Li, X. Selectively catalytic hydrodefluorination of perfluoroarenes by Co(PMe3)4 with sodium formate as reducing agent and mechanism study. Dalton Trans. 2013, 42, 13048–13053. [Google Scholar] [CrossRef] [PubMed]
- Reade, S.P.; Mahon, M.F.; Whittlesey, M.K. Catalytic Hydrodefluorination of Aromatic Fluorocarbons by Ruthenium N-Heterocyclic Carbene Complexes. J. Am. Chem. Soc. 2009, 131, 1847–1861. [Google Scholar] [CrossRef] [PubMed]
- Schwartsburd, L.; Mahon, M.F.; Poulten, R.C.; Warren, M.R.; Whittlesey, M.K. Mechanistic Studies of the Rhodium NHC Catalyzed Hydrodefluorination of Polyfluorotoluenes. Organometallics 2014, 33, 6165–6170. [Google Scholar] [CrossRef]
- King, J.A. Synthesis and Characterization of Molecule-Based Magnets Containing Methyl-Substituted Phenyltricyanoethylene Acceptors. Master’s Thesis, Virginia Tech, Blacksburg, VA, USA, 2009. [Google Scholar]
- Liu, X.; Ellis, J.E.; Mesaros, E.F.; Pearson, A.J.; Schoffers, E.; Hall, J.M.; Hoyne, J.H.; Shapley, J.R.; Fauré, M.; Saccavini, C.; et al. Transition Metal Carbonyl Compounds. In Inorganic Syntheses; Shapley, J.R., Ed.; John Wiley & Sons, Inc.: Hoboken, NJ, USA, 2004; pp. 93–132. ISBN 978-0-471-65368-4. [Google Scholar]
- Corson, B.B.; Stoughton, R.W. Reactions of alpha, beta-unsaturated dinitriles. J. Am. Chem. Soc. 1928, 50, 2825–2837. [Google Scholar] [CrossRef]
- Sellers, S.P.; Korte, B.J.; Fitzgerald, J.P.; Reiff, W.M.; Yee, G.T. Canted Ferromagnetism and Other Magnetic Phenomena in Square-Planar, Neutral Manganese(II) and Iron(II) Octaethyltetraazaporphyrins. J. Am. Chem. Soc. 1998, 120, 4662–4670. [Google Scholar] [CrossRef]
- Thomas, K.R.J.; Tharmaraj, P.; Chandrasekhar, V.; Bryan, C.D.; Cordes, A.W. Synthesis, Spectroscopy, and Electrochemistry of Ternary Copper(II) Complexes with 2,2-Diphenyl-4,4,6,6-tetrakis(3,5-dimethylpyrazolyl)cyclotriphosphazene and Nitrogenous Bases. X-ray Structures of N3P3Ph2(3,5-Me2Pz)4·Cu(ClO4)2·2H2O and N3P3Ph2(3,5-Me2Pz)4·Cu(ClO4)2·2ImH. Inorg. Chem. 1994, 33, 5382–5390. [Google Scholar]
- Frisch, M.J.; Trucks, G.W.; Schlegel, H.B.; Scuseria, G.E.; Robb, M.A.; Cheeseman, J.R.; Scalmani, G.; Barone, V.; Mennucci, B.; Petersson, G.A.; et al. Gaussian 09, Revision D.01; Gaussian Inc.: Wallingford, CT, USA, 2009. [Google Scholar]
- Rienstra-Kiracofe, J.C.; Tschumper, G.S.; Schaefer, H.F.; Nandi, S.; Ellison, G.B. Atomic and Molecular Electron Affinities: Photoelectron Experiments and Theoretical Computations. Chem. Rev. 2002, 102, 231–282. [Google Scholar] [CrossRef]









| Acceptor | Neutral Acceptor | Magnet |
|---|---|---|
| νCN, cm−1 | νCN, cm−1 | |
| H5PTCE | 2235, 2233 | 2210, 2129 |
| 2-ClPTCE | 2241 | 2210, 2128 |
| 3-ClPTCE | 2240 | 2208, 2130 |
| 4-ClPTCE | 2237, 2230 | 2207, 2128 |
| 2,3-Cl2PTCE | 2243 | 2204, 2132 |
| 2,4-Cl2PTCE | 2241 | 2208, 2135 |
| 2,5-Cl2PTCE | 2242, 2228 | 2198, 2132 |
| 2,6-Cl2PTCE | 2244, 2229 | 2200, 2128 |
| 3,5-Cl2PTCE | 2238 | 2199, 2133 |
| 2,3,6-Cl3PTCE | 2244, 2226 | 2201, 2136 |
| 2,3,5,6-Cl4PTCE | 2247, 2238, 2225 | 2198, 2133 |
| Acceptor | Tc (K) | Var. in Tc (K) | No. of Meas. | E1/2 (V) | EA (eV) | Anion Dihedral (Degrees) | ||
|---|---|---|---|---|---|---|---|---|
| H5PTCE * | 213 | ±2 | 2 | 5100 | 2.0 | −0.40 | 2.64 | 16.5 |
| 2-ClPTCE | 271 | ±1 | 3 | 4700 | 3.1 | −0.34 | 2.67 | 38.2 |
| 3-ClPTCE | 243 | ±1 | 2 | 4900 | 4.8 | −0.28 | 2.84 | 15.3 |
| 4-ClPTCE | 146 | ±2 | 2 | 4400 | 6.8 | −0.32 | 2.81 | 14.8 |
| 2,3-Cl2PTCE | 265 | ±2 | 3 | 4300 | 4.2 | −0.29 | 2.80 | 38.3 |
| 2,4-Cl2PTCE | 256 | ±1 | 2 | 5000 | 3.9 | −0.29 | 2.83 | 37.0 |
| 2,5-Cl2PTCE | 265 | ±1 | 3 | 4400 | 4.1 | −0.26 | 2.85 | 38.1 |
| 2,6-Cl2PTCE | 285 | ±2 | 3 | 4900 | 4.1 | −0.28 | 2.66 | 62.1 |
| 3,5-Cl2PTCE | 257 | ±2 | 2 | 4800 | 4.2 | −0.20 | 3.02 | 14.6 |
| 2,3,6-Cl3PTCE | 276 | ±2 | 2 | 4600 | 2.6 | −0.23 | 2.79 | 60.9 |
| 2,3,5,6-Cl4PTCE | 256 | ±1 | 3 | 4500 | 3.6 | −0.20 | 2.89 | 61.0 |
© 2019 by the authors. Licensee MDPI, Basel, Switzerland. This article is an open access article distributed under the terms and conditions of the Creative Commons Attribution (CC BY) license (http://creativecommons.org/licenses/by/4.0/).
Share and Cite
Tatum, D.S.; Zadrozny, J.M.; Yee, G.T. A New Family of High Tc Molecule-Based Magnetic Networks: V[x-ClnPTCE]2·yCH2Cl2 (PTCE = Phenyltricyanoethylene). Magnetochemistry 2019, 5, 44. https://doi.org/10.3390/magnetochemistry5030044
Tatum DS, Zadrozny JM, Yee GT. A New Family of High Tc Molecule-Based Magnetic Networks: V[x-ClnPTCE]2·yCH2Cl2 (PTCE = Phenyltricyanoethylene). Magnetochemistry. 2019; 5(3):44. https://doi.org/10.3390/magnetochemistry5030044
Chicago/Turabian StyleTatum, David S., Joseph M. Zadrozny, and Gordon T. Yee. 2019. "A New Family of High Tc Molecule-Based Magnetic Networks: V[x-ClnPTCE]2·yCH2Cl2 (PTCE = Phenyltricyanoethylene)" Magnetochemistry 5, no. 3: 44. https://doi.org/10.3390/magnetochemistry5030044
APA StyleTatum, D. S., Zadrozny, J. M., & Yee, G. T. (2019). A New Family of High Tc Molecule-Based Magnetic Networks: V[x-ClnPTCE]2·yCH2Cl2 (PTCE = Phenyltricyanoethylene). Magnetochemistry, 5(3), 44. https://doi.org/10.3390/magnetochemistry5030044

