Effects of Different Types of Potassium Fertilizers on Nutrient Uptake by Grapevine
Abstract
1. Introduction
2. Materials and Methods
2.1. Materials
2.2. Experimental Design
2.3. Determination of Indicators
2.4. Statistical Analyses
3. Results
3.1. Biomass (Dry Weight) of Grapevine
3.2. Photosynthetic Pigment Content in Grapevine Leaves
3.3. Total N Content in Grapevine
3.4. Total P Content in Grapevine
3.5. Total K Content in Grapevine
3.6. Soil pH Value and Available Nutrient Concentration
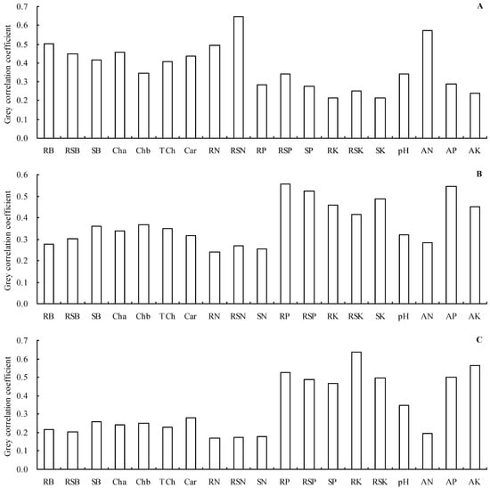
3.7. Correlation and Grey Relational Analyses
4. Discussion
5. Conclusions
Author Contributions
Funding
Institutional Review Board Statement
Informed Consent Statement
Data Availability Statement
Conflicts of Interest
References
- Rawat, J.; Sanwal, P.; Saxena, J. Potassium Solubilizing Microorganisms for Sustainable Agriculture; Spinger: Varanasi, India, 2016. [Google Scholar]
- Bindraban, P.S.; Dimkpa, C.; Nagarajan, L.; Roy, A.; Rabbinge, R. Revisiting fertilisers and fertilisation strategies for improved nutrient uptake by plants. Biol. Fertil. Soils 2015, 51, 897–911. [Google Scholar] [CrossRef]
- Blidariu, C.; Sala, F. Influence of organic and mineral fertilization on sugar content in Italian Riesling grape variety. J. Hortic. For. Biotechnol. 2012, 16, 251–254. [Google Scholar]
- Rogiers, S.Y.; Coetzee, Z.A.; Walker, R.R.; Deloire, A.; Tyerman, S.D. Potassium in the grape (Vitis vinifera L.) berry: Transport and function. Front. Plant Sci. 2017, 8, 1629. [Google Scholar] [CrossRef]
- He, P.C. Vinology; China Agricultural Press: Beijing, China, 2001. [Google Scholar]
- Villette, J.; Cuéllar, T.; Verdeil, J.; Delrot, S.; Gaillard, I. Grapevine potassium nutrition and fruit quality in the context of climate change. Front. Plant Sci. 2020, 11, 123. [Google Scholar] [CrossRef] [PubMed]
- Nieves-Cordones, M.; Alemán, F.; Martínez, V.; Rubio, F. K+ uptake in plant roots: The systems involved, their regulation and parallels in other organisms. J. Plant Physiol. 2014, 171, 688–695. [Google Scholar] [CrossRef]
- Garcia, K.; Zimmermann, S.D. The role of mycorrhizal associations in plant potassium nutrition. Front. Plant Sci. 2014, 5, 337. [Google Scholar] [CrossRef]
- Zörb, C.; Senbayram, M.; Peiter, E. Potassium in agriculture-status and perspectives. J. Plant Physiol. 2014, 171, 656–669. [Google Scholar] [CrossRef]
- Hafsi, C.; Debez, A.; Abdelly, C. Potassium deficiency in plants: Effects and signaling cascades. Acta Physiol. Plant. 2014, 36, 1055–1070. [Google Scholar] [CrossRef]
- Oosterhuis, D.M.; Loka, D.A.; Kawakami, E.M.; Pettigrew, W.T. Chapter three—The physiology of potassium in crop production. Adv. Agron. 2014, 126, 203–233. [Google Scholar]
- Cesco, S.; Neumann, G.; Tomasi, N.; Pinton, R.; Weisskopf, L. Release of plant-borne flavonoids into the rhizosphere and their role in plant nutrition. Plant Soil 2010, 329, 1–25. [Google Scholar] [CrossRef]
- Chérel, I.; Gaillard, I. The complex fine-tuning of K+ fluxes in plants in relation to osmotic and ionic abiotic stresses. Int. J. Mol. Sci. 2019, 20, 715. [Google Scholar] [CrossRef] [PubMed]
- Nieves-Cordones, M.; Andrianteranagna, M.; Cuéllar, T.; Chérel, I.; Gibrat, R.; Boeglin, M.; Moreau, B.; Paris, N.; Verdeil, J.L.; Zimmermann, S.D.; et al. Characterization of the grapevine Shaker K+ channel VvK3.1 supports its function in massive potassium fluxes necessary for berry potassium loading and pulvinus-actuated leaf movements. New Phytol. 2019, 222, 286–300. [Google Scholar] [CrossRef]
- White, P.J.; Karley, A.J. Cell Biology of Metals and Nutrients; Springer: Heidelberg, Germany, 2010. [Google Scholar]
- Zahoor, R.; Dong, H.; Abid, M.; Zhao, W.; Wang, Y.; Zhou, Z. Potassium fertilizer improves drought stress alleviation potential in cotton by enhancing photosynthesis and carbohydrate metabolism. Environ. Exp. Bot. 2017, 137, 73–83. [Google Scholar] [CrossRef]
- Zahoor, R.; Zhao, W.; Dong, H.; Snider, J.L.; Abid, M.; Iqbal, B. Potassium improves photosynthetic tolerance to and recovery from episodic drought stress in functional leaves of cotton (Gossypium hirsutum L.). Plant Physiol. Biochem. 2017, 119, 21–32. [Google Scholar] [CrossRef]
- Zhang, W.; Zhang, N.S.; Zhao, J.J.; Guo, Y.P.; Zhao, Z.Y.; Mei, L.X. Potassium fertilization improves apple fruit (Malus domestica Borkh. Cv. Fuji) development by regulating trehalose metabolism. J. Hortic. Sci. Biotechnol. 2017, 92, 539–549. [Google Scholar] [CrossRef]
- Wang, M.; Zheng, Q.; Shen, Q.; Guo, S. The critical role of potassium in plant stress response. Int. J. Mol. Sci. 2013, 14, 7370–7390. [Google Scholar] [CrossRef]
- Hasanuzzaman, M.; Bhuyan, M.H.M.; Nahar, K.; Hossain, M.S.; Mahud, J.A.; Hossen, M.S.; Masud, A.A.C.; Moumita; Fujita, M. Potassium: A vital regulator of plant responses and tolerance to abiotic stresses. Agronomy 2018, 8, 31. [Google Scholar] [CrossRef]
- Wakeel, A.; Gul, M.; Zörb, C. Soil Science: Agricultural and Environmental Prospectives I; Springer International Publishing: Cham, Switzerland, 2016. [Google Scholar]
- Zhou, M.; Mao, X.; Chen, H.; Bai, M.; Liu, K.Y.; Yang, G.S. Research advances on potassium nutrition and berry accumulation in grapevines. J. Fruit Sci. 2017, 34, 752–761. [Google Scholar]
- Sun, S.; Yang, J.; Zhang, S.Y.; Zhang, F.Q.; Ding, S.L. Research progress on relationship between potassium nutrition and photosynthesis physiology & fruit quality of fruit trees. Guangdong Agric. Sci. 2006, 33, 126–129. [Google Scholar]
- Abbasi, G.H.; Akhtar, J.; Ahmad, R.; Jamil, M.; Anwar-ul-Haq, M.; Ali, S.; Ijaz, M. Potassium application mitigates salt stress differentially at different growth stages in tolerant and sensitive maize hybrids. Plant Growth Regul. 2015, 76, 111–125. [Google Scholar] [CrossRef]
- Gautam, P.; Lal, B.; Tripathi, R.; Shahid, M.; Baig, M.J.; Maharana, S.; Puree, C.; Nayak, A.K. Beneficial effects of potassium application in improving submergence tolerance of rice (Oryza sativa L.). Environ. Exp. Bot. 2016, 128, 18–30. [Google Scholar] [CrossRef]
- Zafar, S.; Ashraf, M.Y.; Saleem, M. Shift in physiological and biochemical processes in wheat supplied with zinc and potassium under saline condition. J. Plant Nutr. 2018, 41, 19–28. [Google Scholar] [CrossRef]
- Zhou, M.; Zeng, B.; Zhao, Y.; Bai, M.; Yang, G. Effects of potassium on the photosynthesis of Vitis davidii Foex. J. Hunan Agric. Univ. 2017, 43, 156–160. [Google Scholar]
- Han, H.S.; Lee, K.D. Effect of co-inoculation with phosphate and potassium solubilizing bacteria on mineral uptake and growth of pepper and cucumber. Plant Soil Environ. 2006, 52, 130–136. [Google Scholar] [CrossRef]
- Bernardi, A.C.D.C.; Carmello, Q.A.D.C.; Carvalho, S.A.D.; Machado, E.C.; Medina, C.L.; Gomes, M.D.M.D.A.; Lima, D.M. Nitrogen, phosphorus and potassium fertilization interactions on the photosynthesis of containerized citrus nursery trees. J. Plant Nutr. 2015, 38, 1902–1912. [Google Scholar] [CrossRef]
- Zhang, F.; Niu, J.; Zhang, W.; Chen, X.; Li, C.; Yuan, L.; Xie, J. Potassium nutrition of crops under varied regimes of nitrogen supply. Plant Soil 2010, 335, 21–34. [Google Scholar] [CrossRef]
- Li, M.; Zhang, H.; Yang, X.; Ge, M.; Ma, Q.; Wei, H.; Dai, Q.; Huo, Z.; Xu, K.; Luo, D. Accumulation and utilization of nitrogen, phosphorus and potassium of irrigated rice cultivars with high productivities and high N use efficiencies. Field Crops Res. 2014, 161, 55–63. [Google Scholar] [CrossRef]
- Malvi, U.R. Interaction of micronutrients with major nutrients with special reference to potassium. Karnataka J. Agric. Sci. 2011, 24, 106–109. [Google Scholar]
- Reid, J.B.; Trolove, S.N.; Tan, Y.; Johnstone, P.R. Nitrogen or potassium preconditioning affects uptake of both nitrate and potassium in young wheat (Triticum aestivum). Ann. Appl. Biol. 2016, 168, 66–80. [Google Scholar] [CrossRef]
- Li, Z.; Zhang, R.; Xia, S.; Wang, L.; Liu, C.; Zhang, R.; Fan, Z.; Chen, F.; Liu, Y. Interactions between N, P and K fertilizers affect the environment and the yield and quality of satsumas. Glob. Ecol. Conserv. 2019, 19, e00663. [Google Scholar] [CrossRef]
- Kandylis, P. Grapes and their derivatives in functional foods. Foods 2021, 10, 672. [Google Scholar] [CrossRef]
- Cao, S.Y.; Xie, S.X.; Fang, J.G.; Lu, X.P. A Map History of Local Grape Varieties in China; China Forestry Press: Beijing, China, 2018. [Google Scholar]
- Ramos, M.C.; Romero, M.P. Potassium uptake and redistribution in Cabernet Sauvignon and Syrah grape tissues and its relationships with grape quality parameters. J. Sci. Food Agric. 2017, 97, 3269–3277. [Google Scholar] [CrossRef]
- Sustr, M.; Soukup, A.; Tylova, E. Potassium in root growth and development. Plants 2019, 8, 435. [Google Scholar] [CrossRef] [PubMed]
- Pushpavathi, Y.; Satisha, J.; Satisha, G.C.; Reddy, M.L. Influence of potassium fertilization on yield, petiole and soil nutrient status of table grape cv. Sharad seedless. J. Plant Nutr. 2021, 44, 2218–2227. [Google Scholar]
- Gu, N.; Zhao, L.P.; Zhao, X.M. A review and perspective on slow and controlled release fertilizer in China. Appl. Mech. Mater. 2014, 535, 222–225. [Google Scholar] [CrossRef]
- Yang, Q.F.; Xu, D.Y.; Chen, H.; Wu, J.J. Effects of different potassium treatments on nutrient absorption and utilization and yield of starch-type sweet potato. Hunan Agric. Sci. 2021, 50, 30–33, 37. [Google Scholar]
- Gao, X.; Li, C.L.; Zhang, M.; Wang, R. Effects of potassium fertilizer type and rate on yield and quality of potato. J. Soil Water Conserv. 2014, 28, 143–148. [Google Scholar]
- Li, Z.; Fan, R.; Peng, X.; Shu, J.; Liu, L.; Wang, J.; Lin, L. Salicylic acid alleviates selenium stress and promotes selenium uptake of grapevine. Physiol. Mol. Biol. Plants 2022, 28, 625–635. [Google Scholar] [CrossRef]
- Hao, Z.B.; Cang, J.; Xu, Z. Plant Physiology Experiment; Harbin Institute of Technology Press: Harbin, China, 2004. [Google Scholar]
- Bao, S. Soil and Agricultural Chemistry Analysis; China Agriculture Press: Beijing, China, 2000. [Google Scholar]
- Lin, L.; Li, Z.; Wang, J.; Liang, D.; Xia, H.; Lv, X.; Tang, Y.; Wang, X.; Deng, Q.; Liao, M. 24-epibrassinolide promotes selenium uptake in grapevine under selenium stress. Sci. Hortic. 2023, 308, 111564. [Google Scholar] [CrossRef]
- Zhang, R.; Liu, Q.; Xu, X.; Liao, M.; Lin, L.; Hu, R.; Luo, X.; Wang, Z.; Wang, J.; Deng, Q.; et al. An amino acid fertilizer improves the emergent accumulator plant Nasturtium officinale R. Br. phytoremediation capability for cadmium-contaminated paddy soils. Front. Plant Sci. 2022, 13, 1003743. [Google Scholar] [CrossRef]
- Ye, X.F.; Zhu, H.B.; Jin, D.M.; Liu, G.S.; Wang, Y.Y.; Cui, S.Y.; Yu, Q.W.; Zhang, S. Influence of different potassium fertilizer on some enzyme activities of growing flue-cured tobacco. Acta Agric. Boreali-Sin. 2007, 22, 67–70. [Google Scholar]
- Deng, L.S.; Lin, C.L.; Gong, L.; Li, Z.H.; Tu, P.F.; Zhang, C.L. Effect of different potassium fertilizers on growth and production of potato under fertigation. J. South China Agric. Univ. 2010, 31, 12–14, 27. [Google Scholar]
- Yan, S.Y.; Lu, J.; Song, K.; Li, B.; Yang, J.H.; Zhang, C. Effects of potassium fertilization on the quality of ‘Muscat Hamburg’ grapes. J. Tianjin Agric. Univ. 2022, 29, 14–18. [Google Scholar]
- Cocco, A.; Mercenaro, L.; Muscas, E.; Mura, A.; Nieddu, G.; Lentini, A. Multiple effects of nitrogen fertilization on grape vegetative growth, berry quality and pest development in mediterranean vineyards. Horticulturae 2021, 7, 530. [Google Scholar] [CrossRef]
- Duncan, E.G.; O’Sullivan, C.A.; Roper, M.M.; Biggs, J.S.; Peoples, M.B. Influence of co-application of nitrogen with phosphorus, potassium and sulphur on the apparent efficiency of nitrogen fertiliser use, grain yield and protein content of wheat. Field Crops Res. 2018, 226, 56–65. [Google Scholar] [CrossRef]
- Duncan, E.G.; O’Sullivan, C.A.; Roper, M.M.; Palta, J.; Whisson, K.; Peoples, M.B. Yield and nitrogen use efficiency of wheat increased with root length and biomass due to nitrogen, phosphorus, and potassium interactions. J. Plant Nutr. Soil Sci. 2018, 181, 364–373. [Google Scholar] [CrossRef]
- Jiang, Z.M.; Wang, W.; Chu, C.C. Towards understanding of nitrogen use efficiency in plants. Chin. Bull. Life Sci. 2018, 30, 1060–1071. [Google Scholar]
- Hu, M.J.; Guo, Y.P.; Shen, Y.G.; Zhang, L.C. Environmental regulation of Citrus photosynthesis. Chin. J. Appl. Ecol. 2006, 17, 535–540. [Google Scholar]
- Wickert, E.; Marcondes, J.; Lemos, M.V.; Lemos, E.G.M. Nitrogen assimilation in Citrus based on CitEST data mining. Genet. Mol. Biol. 2007, 30, 810–818. [Google Scholar] [CrossRef]
- Mo, L.Y.; Wu, L.H.; Tao, Q.N. Research advances on GS/GOGAT cycle in higher plants. Plant Nutr. Fertil. Sci. 2001, 7, 223–231. [Google Scholar]
- Chen, C.; Tong, Y.A.; Lu, Y.L.; Gao, Y.M. Effects of different potassium fertilizers on production, quality and storability of Fuji apple. J. Plant Nutr. Fertil. 2016, 22, 216–224. [Google Scholar]
- Marques, D.J.; Broetto, F.; Lobato, A.K.D.S.; Silva, E.C.D.; Carvalho, J.G.D.; Vila, F.W.D.; Alves, G.A.R.; Andrade, I.P. Photosynthetic pigments, nitrogen status, and flower behavior in eggplant exposed to different sources and levels of potassium. Sci. Res. Essays 2013, 8, 67–74. [Google Scholar]



| Treatment | Chlorophyll a (mg/g) | Chlorophyll b (mg/g) | Total Chlorophyll (mg/g) | Carotenoid (mg/g) |
|---|---|---|---|---|
| Control | 1.764 ± 0.044 b | 0.697 ± 0.021 b | 2.461 ± 0.052 b | 0.364 ± 0.013 b |
| Complex fertilizer | 1.854 ± 0.063 ab | 0.719 ± 0.005 ab | 2.573 ± 0.064 ab | 0.386 ± 0.014 ab |
| Potassium nitrate | 1.902 ± 0.073 a | 0.752 ± 0.031 a | 2.654 ± 0.103 a | 0.394 ± 0.008 a |
| Potassium sulfate | 1.778 ± 0.044 b | 0.683 ± 0.037 b | 2.460 ± 0.061 b | 0.366 ± 0.013 b |
| Potassium dihydrogen phosphate | 1.782 ± 0.017 b | 0.685 ± 0.017 b | 2.467 ± 0.033 b | 0.370 ± 0.008 b |
| Treatment | Soil pH Value | Alkali-Hydrolyzable N Concentration (mg/kg) | Available P Concentration (mg/kg) | Available K Concentration (mg/kg) |
|---|---|---|---|---|
| Control | 6.34 ± 0.05 b | 93.38 ± 2.21 c | 89.26 ± 1.40 d | 117.44 ± 1.22 d |
| Complex fertilizer | 6.10 ± 0.06 c | 104.50 ± 2.37 a | 97.58 ± 1.43 b | 136.37 ± 2.03 c |
| Potassium nitrate | 6.46 ± 0.05 ab | 98.69 ± 1.18 b | 93.78 ± 1.84 c | 137.02 ± 2.76 c |
| Potassium sulfate | 6.44 ± 0.06 ab | 92.00 ± 1.96 c | 95.35 ± 0.77 bc | 147.92 ± 1.02 b |
| Potassium dihydrogen phosphate | 6.54 ± 0.08 a | 90.80 ± 2.28 c | 104.97 ± 2.80 a | 153.04 ± 1.21 a |
| Indicator | RB | RSB | SB | Cha | Chb | TCh | Car | RN | RSN | SN | RP | RSP | SP | RK | RSK | SK | pH | AN | AP | AK |
|---|---|---|---|---|---|---|---|---|---|---|---|---|---|---|---|---|---|---|---|---|
| RB | 1 | |||||||||||||||||||
| RSB | 0.923 ** | 1 | ||||||||||||||||||
| SB | 0.943 ** | 0.897 ** | 1 | |||||||||||||||||
| Cha | 0.716 ** | 0.679 ** | 0.817 ** | 1 | ||||||||||||||||
| Chb | 0.734 ** | 0.689 ** | 0.795 ** | 0.753 ** | 1 | |||||||||||||||
| TCh | 0.764 ** | 0.723 ** | 0.858 ** | 0.974 ** | 0.883 ** | 1 | ||||||||||||||
| Car | 0.796 ** | 0.780 ** | 0.779 ** | 0.632 * | 0.581 * | 0.652 ** | 1 | |||||||||||||
| RN | 0.734 ** | 0.642 ** | 0.611 * | 0.480 | 0.569 * | 0.539 * | 0.521 * | 1 | ||||||||||||
| RSN | 0.679 ** | 0.514 * | 0.582 * | 0.512 | 0.438 | 0.517 * | 0.480 | 0.878 ** | 1 | |||||||||||
| SN | 0.771 ** | 0.599 * | 0.669 ** | 0.554 * | 0.473 | 0.559 * | 0.547 * | 0.849 ** | 0.966 ** | 1 | ||||||||||
| RP | −0.060 | −0.231 | 0.098 | 0.104 | −0.061 | 0.054 | 0.146 | −0.385 | −0.113 | −0.043 | 1 | |||||||||
| RSP | −0.167 | −0.275 | −0.021 | −0.008 | −0.197 | −0.074 | −0.021 | −0.369 | −0.081 | −0.076 | 0.888 ** | 1 | ||||||||
| SP | −0.151 | −0.219 | 0.007 | −0.012 | −0.137 | −0.056 | 0.167 | −0.418 | −0.146 | −0.108 | 0.917 ** | 0.914 ** | 1 | |||||||
| RK | −0.491 | −0.551 * | −0.320 | −0.283 | −0.404 | −0.341 | −0.332 | −0.796 ** | −0.550 * | −0.488 | 0.819 ** | 0.769 ** | 0.777 ** | 1 | ||||||
| RSK | −0.410 | −0.428 | −0.217 | −0.077 | −0.341 | −0.172 | −0.081 | −0.651 ** | −0.353 | −0.354 | 0.794 ** | 0.763 ** | 0.817 ** | 0.851 ** | 1 | |||||
| SK | −0.322 | −0.436 | −0.198 | −0.169 | −0.385 | −0.253 | −0.161 | −0.651 ** | −0.364 | −0.261 | 0.890 ** | 0.804 ** | 0.820 ** | 0.945 ** | 0.829 ** | 1 | ||||
| pH | −0.335 | −0.156 | −0.208 | −0.121 | −0.220 | −0.162 | −0.285 | −0.669 ** | −0.820 ** | −0.763 ** | 0.118 | 0.149 | 0.095 | 0.436 | 0.219 | 0.291 | 1 | |||
| AN | 0.717 ** | 0.590 * | 0.681 ** | 0.578 * | 0.527 * | 0.595 * | 0.597 * | 0.811 ** | 0.912 ** | 0.922 ** | 0.036 | −0.003 | −0.003 | −0.434 | −0.226 | −0.233 | −0.731 ** | 1 | ||
| AP | −0.217 | −0.344 | −0.050 | −0.055 | −0.194 | −0.106 | 0.034 | −0.537 * | −0.266 | −0.243 | 0.934 ** | 0.897 ** | 0.916 ** | 0.840 ** | 0.819 ** | 0.850 ** | 0.225 | −0.157 | 1 | |
| AK | −0.217 | −0.242 | −0.028 | −0.025 | −0.225 | −0.095 | 0.007 | −0.635 * | −0.443 | −0.319 | 0.853 ** | 0.714 ** | 0.802 ** | 0.904 ** | 0.842 ** | 0.927 ** | 0.418 | −0.239 | 0.792 ** | 1 |
Disclaimer/Publisher’s Note: The statements, opinions and data contained in all publications are solely those of the individual author(s) and contributor(s) and not of MDPI and/or the editor(s). MDPI and/or the editor(s) disclaim responsibility for any injury to people or property resulting from any ideas, methods, instructions or products referred to in the content. |
© 2023 by the authors. Licensee MDPI, Basel, Switzerland. This article is an open access article distributed under the terms and conditions of the Creative Commons Attribution (CC BY) license (https://creativecommons.org/licenses/by/4.0/).
Share and Cite
Hu, W.; Wang, J.; Deng, Q.; Liang, D.; Xia, H.; Lin, L.; Lv, X. Effects of Different Types of Potassium Fertilizers on Nutrient Uptake by Grapevine. Horticulturae 2023, 9, 470. https://doi.org/10.3390/horticulturae9040470
Hu W, Wang J, Deng Q, Liang D, Xia H, Lin L, Lv X. Effects of Different Types of Potassium Fertilizers on Nutrient Uptake by Grapevine. Horticulturae. 2023; 9(4):470. https://doi.org/10.3390/horticulturae9040470
Chicago/Turabian StyleHu, Wenjie, Jin Wang, Qunxian Deng, Dong Liang, Hui Xia, Lijin Lin, and Xiulan Lv. 2023. "Effects of Different Types of Potassium Fertilizers on Nutrient Uptake by Grapevine" Horticulturae 9, no. 4: 470. https://doi.org/10.3390/horticulturae9040470
APA StyleHu, W., Wang, J., Deng, Q., Liang, D., Xia, H., Lin, L., & Lv, X. (2023). Effects of Different Types of Potassium Fertilizers on Nutrient Uptake by Grapevine. Horticulturae, 9(4), 470. https://doi.org/10.3390/horticulturae9040470

