Preservation of Quality and Bioactive Compounds in Mangoes Using Chitosan-Graphene-Oxide-Based Biodegradable Packaging
Abstract
:1. Introduction
2. Materials and Methods
2.1. Fruit Material
2.2. Chemicals
2.3. Preparation and Characterization of CS-GO Biodegradable Packaging
2.4. Postharvest Treatments
2.5. Determination of Quality Parameters, Bioactive Compounds and Antioxidant Activity
2.5.1. Respiration Rate
2.5.2. Mass Loss
2.5.3. Skin and Pulp Color
2.5.4. External Appearance
2.5.5. Pulp Firmness
2.5.6. Soluble Solid Content (SSC)
2.5.7. Titratable Acidity (TA)
2.5.8. Beta-Carotene Content
2.5.9. Ascorbic Acid Content
2.5.10. Total Phenolic Compounds (TPC) Content
2.5.11. Yellow Flavonoid (YF) Content
2.5.12. Antioxidant Activity (AOX)
2.6. Statistical Analysis
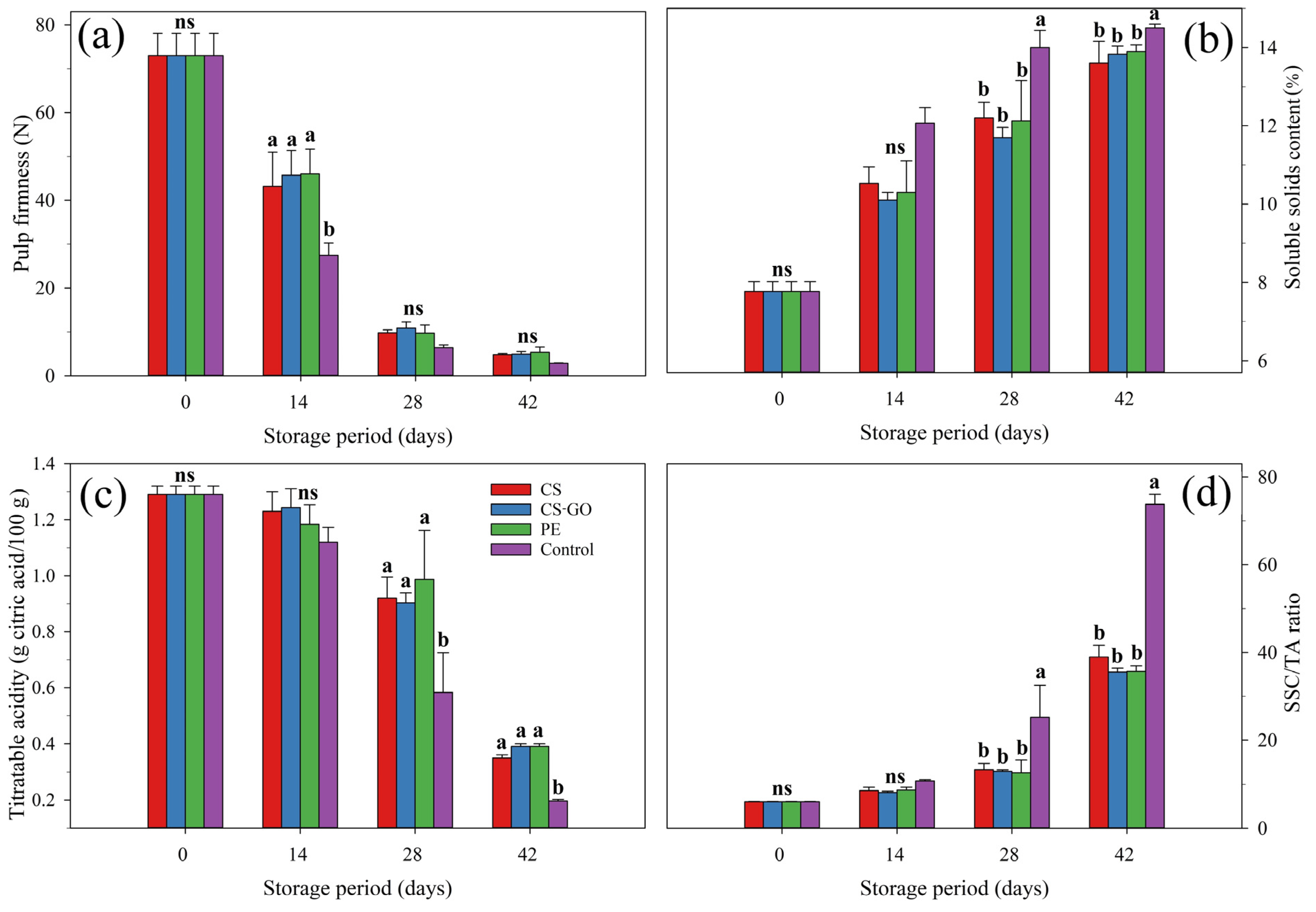
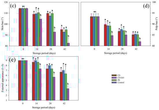
3. Results
3.1. Water Vapor Transmission Rate and Mechanical Properties of the Packaging
3.2. Fruit Quality Parameters
3.3. Beta-Carotene, Ascorbic Acid, Total Phenolic Compounds and Yellow Flavonoids
3.4. Antioxidant Activity
3.5. Principal Component Analysis
4. Discussion
5. Conclusions
Supplementary Materials
Author Contributions
Funding
Data Availability Statement
Acknowledgments
Conflicts of Interest
References
- Sousa, A.S.B.; Silva, M.C.A.; Lima, R.P.; Meireles, B.R.L.A.; Cordeiro, A.T.M.; Santos, E.F.S.; Amaro, A.L.; Pintado, M.M.E.; Silva, S.M. Phenolic Compounds and Antioxidant Activity as Discriminating Markers and Adding Value of Mango Varieties. Sci. Hortic. 2021, 287, 110259. [Google Scholar] [CrossRef]
- Tacias-Pascacio, V.G.; Castañeda-Valbuena, D.; Fernandez-Lafuente, R.; Berenguer-Murcia, Á.; Meza-Gordillo, R.; Gutiérrez, L.F.; Pacheco, N.; Cuevas-Bernardino, J.; Ayora-Talavera, T. Phenolic Compounds in Mango Fruit: A Review. J. Food Meas. Charact. 2022, 16, 619–636. [Google Scholar] [CrossRef]
- Win, S.T.; Setha, S. Enhancement of Anti-Inflammatory and Antioxidant Activities of Mango Fruit by Pre- and Postharvest Application of Salicylic Acid. Horticulturae 2022, 8, 555. [Google Scholar] [CrossRef]
- Singh, Z.; Singh, R.K.; Sane, V.A.; Nath, P. Mango–Postharvest Biology and Biotechnology. Crit. Rev. Plant Sci. 2013, 32, 217–236. [Google Scholar] [CrossRef]
- Santos, L.F.; Vilvert, J.C.; Souza, T.A.; Silva Alves, J.; Silva Ribeiro, T.; Neuwald, D.A.; Freitas, S.T. Minimum O2 Levels During Storage to Inhibit Aerobic Respiration and Prolong the Postharvest Life of ‘Tommy Atkins’ Mangoes Produced in Different Growing Seasons. Sci. Hortic. 2023, 318, 112094. [Google Scholar] [CrossRef]
- Costa, C.S.R.; Lima, M.A.C.; Lima Neto, F.P.; Silva Costa, A.E.; Vilvert, J.C.; Martins, L.S.S.; Santos Musser, R. Genetic Parameters and Selection of Mango Genotypes Using the FAI-BLUP Multitrait Index. Sci. Hortic. 2023, 317, 112049. [Google Scholar] [CrossRef]
- Freitas, S.T.; Guimarães, Í.T.; Vilvert, J.C.; Amaral, M.H.P.; Brecht, J.K.; Marques, A.T.B. Mango Dry Matter Content at Harvest to Achieve High Consumer Quality of Different Cultivars in Different Growing Seasons. Postharvest Biol. Technol. 2022, 189, 111917. [Google Scholar] [CrossRef]
- Ntsoane, M.L.; Zude-Sasse, M.; Mahajan, P.; Sivakumar, D. Quality Assesment and Postharvest Technology of Mango: A Review of its Current Status and Future Perspectives. Sci. Hortic. 2019, 249, 77–85. [Google Scholar] [CrossRef]
- Oliveira, K.Á.R.; Conceição, M.L.; Oliveira, S.P.A.; Lima, M.S.; Galvão, M.S.; Madruga, M.S.; Magnani, M.; Souza, E.L. Postharvest Quality Improvements in Mango Cultivar Tommy Atkins by Chitosan Coating with Mentha piperita L. Essential Oil. J. Hortic. Sci. Biotechnol. 2020, 95, 260–272. [Google Scholar] [CrossRef]
- Rastegar, S.; Hassanzadeh Khankahdani, H.; Rahimzadeh, M. Effects of Melatonin Treatment on the Biochemical Changes and Antioxidant Enzyme Activity of Mango Fruit during Storage. Sci. Hortic. 2020, 259, 108835. [Google Scholar] [CrossRef]
- Nadeem, A.; Ahmed, Z.F.R.; Hussain, S.B.; Omar, A.E.-D.K.; Amin, M.; Javed, S.; Ali, A.; Ullah, S.; Razzaq, K.; Rajwana, I.A.; et al. On-Tree Fruit Bagging and Cold Storage Maintain the Postharvest Quality of Mango Fruit. Horticulturae 2022, 8, 814. [Google Scholar] [CrossRef]
- Li, R.; Wang, Y.; Li, W.; Shao, Y. Comparative Analyses of Ripening, Texture Properties and Cell Wall Composition in Three Tropical Fruits Treated with 1-Methylcyclopropene during Cold Storage. Horticulturae 2023, 9, 126. [Google Scholar] [CrossRef]
- Vasconcelos, O.C.M.; Duarte, D.; Silva, J.C.; Mesa, N.F.O.; Mederos, B.J.T.; Freitas, S.T. Modeling ‘Tommy Atkins’ Mango Cooling Time Based on Fruit Physicochemical Quality. Sci. Hortic. 2018, 244, 413–420. [Google Scholar] [CrossRef]
- Seymour, G.; Poole, M.; Giovannoni, J.; Tucker, G. The Molecular Biology and Biochemistry of Fruit Ripening; John Wiley & Sons: Hoboken, NJ, USA, 2013. [Google Scholar]
- Das, L.; Das, P.; Bhowal, A.; Bhattachariee, C. Synthesis of Hybrid Hydrogel Nano-Polymer Composite using Graphene Oxide, Chitosan and PVA and its Application in Waste Water Treatment. Environ. Technol. Innov. 2020, 18, 100664. [Google Scholar] [CrossRef]
- Maraschin, T.G.; Correa, R.S.; Rodrigues, L.F.; Balzarettid, N.M.; Malmonge, J.A.; Galland, G.B.; Basso, N.R.S. Chitosan Nanocomposites with Graphene-Based Filler. Mater. Res. 2019, 22, e20180829. [Google Scholar] [CrossRef]
- Han Lyn, F.; Tan, C.P.; Zawawi, R.M.; Nur Hanani, Z.A. Physicochemical Properties of Chitosan/ Graphene Oxide Composite Films and Their Effects on Storage Stability of Palm-Oil Based Margarine. Food Hydrocoll. 2021, 117, 106707. [Google Scholar] [CrossRef]
- Parvin, N.; Rahman, A.; Roy, J.; Rashid, M.H.; Paul, N.C.; Mahamud, M.A.; Imran, S.; Sakil, M.A.; Uddin, F.M.J.; Molla, M.E.; et al. Chitosan Coating Improves Postharvest Shelf-Life of Mango (Mangifera indica L.). Horticulturae 2023, 9, 64. [Google Scholar] [CrossRef]
- Silva, K.G.d.; Cavalcanti, M.T.; Martinsa, L.P.; Alves, R.d.C.; Lucena, F.A.d.; Santos, M.S.A.; Silva, S.X.d.; Costa, F.B.d.; Moreira, I.d.S.; Pereira, E.M. Coatings Based on Gelatin and Chitosan in the Conservation of Papaya (Carica papaya L.) Minimally Processed. Horticulturae 2023, 9, 729. [Google Scholar] [CrossRef]
- Jakubowska, E.; Gierszewska, M.; Nowaczyk, J.; Olewnik-Kruszkowska, E. The Role of a Deep Eutectic Solvent in Changes of Physicochemical and Antioxidative Properties of Chitosan-Based Films. Carbohydr. Polym. 2021, 255, 117527. [Google Scholar] [CrossRef]
- Manousi, N.; Rosenberg, E.; Deliyanni, E.; Zachariadis, G.A.; Samanidou, V. Magnetic Solid-Phase Extraction of Organic Compounds Based on Graphene Oxide Nanocomposites. Molecules 2020, 25, 1148. [Google Scholar] [CrossRef]
- Ahmed, J.; Mulla, M.; Arfat, Y.A.; Thai, T.L.A. Mechanical, Thermal, Structural and Barrier Properties of Crab Shell Chitosan/Graphene Oxide Composite Films. Food Hydrocoll. 2017, 71, 141–148. [Google Scholar] [CrossRef]
- Paiva, C.A.; Vilvert, J.C.; Menezes, F.L.G.; Leite, R.H.L.; Santos, F.K.G.; Medeiros, J.F.; Aroucha, E.M.M. Extended Shelf-Life of Melons using Chitosan and Graphene Oxide Based Biodegradable Bags. J. Food Process. Preserv. 2020, 44, e14871. [Google Scholar] [CrossRef]
- National Mango Board. Available online: https://www.mango.org/ (accessed on 20 July 2023).
- Sun, Q.; Sun, C.; Xiong, L. Mechanical, Barrier and Morphological Properties of Pea Starch and Peanut Protein Isolate Blend Films. Carbohydr. Polym. 2013, 98, 630–637. [Google Scholar] [CrossRef]
- Lima, A.B.; Silva, S.M.; Rocha, A.; Nascimento, L.C.; Ramalho, F.S. Conservação Pós-Colheita de Manga “Tommy Atkins” Orgânica sob Recobrimentos Bio-Orgânicos. Rev. Bras. Frutic. 2012, 34, 704–710. [Google Scholar] [CrossRef]
- Nagata, M.; Yamashita, I. Simple Method for Simultaneous Determination of Chlorophyll and Carotenoids in Tomato Fruit. Nippon. Shokuhin Kogyo Gakkaishi 1992, 39, 925–928. [Google Scholar] [CrossRef]
- Association of Official Analytical Chemists (AOAC). Official Methods of Analysis of the Association of Official Analytical Chemists, 21st ed.; AOAC: Rockville, MD, USA, 2019. [Google Scholar]
- Francis, F.J. Analysis of Anthocyanins. In Anthocyanins as Food Colors; Markakis, P., Ed.; Academic Press: New York, NY, USA, 1982; pp. 181–207. [Google Scholar]
- Munteanu, I.G.; Apetrei, C. Analytical Methods Used in Determining Antioxidant Activity: A Review. Int. J. Mol. Sci. 2021, 22, 3380. [Google Scholar] [CrossRef]
- Re, R.; Pellegrini, N.; Proteggente, A.; Pannala, A.; Yang, M.; Rice-Evans, C. Antioxidant Activity Applying an Improved ABTS Radical Cation Decolorization Assay. Free Radic. Biol. Med. 1999, 26, 1231–1237. [Google Scholar] [CrossRef] [PubMed]
- Brand-Williams, W.; Cuvelier, M.E.; Berset, C.L.W.T. Use of a Free Radical Method to Evaluate Antioxidant Activity. LWT Food Sci Technol. 1995, 28, 25–30. [Google Scholar] [CrossRef]
- Łysiak, G.P.; Rutkowski, K.; Walkowiak-Tomczak, D. Effect of Storage Conditions on Storability and Antioxidant Potential of Pears cv. ‘Conference’. Agriculture 2021, 11, 545. [Google Scholar] [CrossRef]
- Rambabu, K.; Bharath, G.; Banat, F.; Show, P.L.; Cocoletzi, H.H. Mango Leaf Extract Incorporated Chitosan Antioxidant Film for Active Food Packaging. Int. J. Biol. Macromol. 2019, 126, 1234–1243. [Google Scholar] [CrossRef]
- Silva, G.M.C.; Silva, W.B.; Medeiros, D.B.; Salvador, A.R.; Cordeiro, M.H.M.; Silva, N.M.; Santana, D.B.; Mizobutsi, G.P. The Chitosan Affects Severely the Carbon Metabolism in Mango (Mangifera indica L. cv. Palmer) Fruit During Storage. Food Chem. 2017, 237, 372–378. [Google Scholar] [CrossRef] [PubMed]
- Xiao, J.; Gu, C.; Zhu, D.; Huang, Y.; Luo, Y.; Zhou, Q. Development and Characterization of an Edible Chitosan/Zein-Cinnamaldehyde Nano-Cellulose Composite Film and its Effects on Mango Quality During Storage. LWT 2021, 140, 110809. [Google Scholar] [CrossRef]
- Camatari, F.O.S.; Santana, L.C.L.A.; Carnelossi, M.A.G.; Alexandre, A.P.S.; Nunes, M.L.; Goulart, M.O.F.; Narain, N.; Silva, M.A.A.P. Impact of Edible Coatings Based on Cassava Starch and Chitosan on the Post-Harvest Shelf Life of Mango (Mangifera indica) ‘Tommy Atkins’ Fruits. Food Sci. Technol. 2018, 38, 86–95. [Google Scholar] [CrossRef]
- Eshetu, A.; Ibrahim, A.M.; Forsido, S.F.; Kuyu, C.G. Effect of Beeswax and Chitosan Treatments on Quality and shelf life of Selected Mango (Mangifera indica L.) Cultivars. Heliyon 2019, 5, e01116. [Google Scholar] [CrossRef]
- Costa, J.D.S.; Figueiredo Neto, A.; Almeida, F.A.C.; Costa, M.S. Conservation of ‘Tommy Atkins’ Mangoes Stored Under Passive Modified Atmosphere. Rev. Caatinga 2018, 31, 117–125. [Google Scholar] [CrossRef]
- Yungyuen, W.; Vo, T.T.; Uthairatanakij, A.; Ma, G.; Zhang, L.; Tatmala, N.; Kaewsuksaeng, S.; Jitareerat, P.; Kato, M. Carotenoid Accumulation and the Expression of Carotenoid Metabolic Genes in Mango during Fruit Development and Ripening. Appl. Sci. 2021, 11, 4249. [Google Scholar] [CrossRef]
- Vilvert, J.C.; Freitas, S.T.; Ferreira, M.A.R.; Costa, E.B.S.; Aroucha, E.M.M. Sample Size for Postharvest Quality Traits of ‘Palmer’ Mangoes. Rev. Bras. Frutic. 2021, 43, e014. [Google Scholar] [CrossRef]
- Vanoli, M.; Rizzolo, A.; Grassi, M.; Spinelli, L.; Torricelli, A. Modeling Mango Ripening during Shelf Life Based on Pulp Color Nondestructively Measured by Time-Resolved Reflectance Spectroscopy. Sci. Hortic. 2023, 310, 111714. [Google Scholar] [CrossRef]
- Chen, S.; Chen, X.; Fan, J.; Liu, H.; Zhou, J.; Chang, X. iTRAQ Proteomics Reveals Changes in the Lettuce (Lactuca sativa L. Grand Rapid) Proteome Related to Colour and Senescence under Modified Atmosphere Packaging. J. Sci. Food Agric. 2018, 99, 1908–1918. [Google Scholar] [CrossRef]
- Bhatt, T.; Patel, K. Carotenoids: Potent to Prevent Diseases Review. Nat. Prod. Bioprospecting 2020, 10, 109–117. [Google Scholar] [CrossRef] [PubMed]
- Ruales, J.; Baenas, N.; Moreno, D.A.; Stinco, C.M.; Meléndez-Martínez, A.J.; García-Ruíz, A. Biological Active Ecuadorian Mango ‘Tommy Atkins’ Ingredients–An Opportunity to Reduce Agrowaste. Nutrients 2018, 10, 1138. [Google Scholar] [CrossRef]
- Sousa, F.F.; Pinsetta Junior, J.S.; Oliveira, K.T.E.F.; Rodrigues, E.C.N.; Andrade, J.P.; Mattiuz, B.-H. Conservation of ‘Palmer’ Mango with an Edible Coating of Hydroxypropyl Methylcellulose and Beeswax. Food Chem. 2021, 346, 128925. [Google Scholar] [CrossRef] [PubMed]
- Dong, C.; Wang, Q.; Wang, Y.; Qin, L.; Shi, Y.; Wang, X.; Wang, R. NtDREB-1BL1 Enhances Carotenoid Biosynthesis by Regulating Phytoene Synthase in Nicotiana tabacum. Genes 2022, 13, 1134. [Google Scholar] [CrossRef] [PubMed]
- Njus, D.; Kelley, P.M.; Tu, Y.J.; Schlegel, H.B. Ascorbic Acid: The Chemistry Underlying its Antioxidant Properties. Free Radic. Biol. Med. 2020, 159, 37–43. [Google Scholar] [CrossRef] [PubMed]
- Mellidou, I.; Georgiadou, E.C.; Kaloudas, D.; Kalaitzis, P.; Fotopoulos, V.; Kanellis, A.K. Vitamins. In Postharvest Physiology and Biochemistry of Fruits and Vegetables; Yahia, E., Ed.; Academic Press: New York, NY, USA, 2019; pp. 359–384. [Google Scholar]
- Mazurek, A.; Włodarczyk-Stasiak, M. A New Method for the Determination of Total Content of Vitamin C, Ascorbic and Dehydroascorbic Acid, in Food Products with the Voltammetric Technique with the Use of Tris(2-carboxyethyl)phosphine as a Reducing Reagent. Molecules 2023, 28, 812. [Google Scholar] [CrossRef]
- Ebrahimi, F.; Rastegar, S. Preservation of Mango Fruit with Guar-Based Edible Coatings Enriched with Spirulina platensis and Aloe vera Extract During Storage at Ambient Temperature. Sci. Hortic. 2020, 265, 109258. [Google Scholar] [CrossRef]
- Rastegar, S.; Hassanzadeh Khankahdani, H.; Rahimzadeh, M. Effectiveness of Alginate Coating on Antioxidant Enzymes and Biochemical Changes during Storage of Mango Fruit. J. Food Biochem. 2019, 43, e12990. [Google Scholar] [CrossRef]
- Chylińska, M.; Szymańska-Chargot, M.; Deryło, K.; Tchórzewska, D.; Zdunek, A. Changing of Biochemical Parameters and Cell Wall Polysaccharides Distribution during Physiological Development of Tomato Fruit. Plant Physiol. Biochem. 2017, 119, 328–337. [Google Scholar] [CrossRef] [PubMed]
- Rashid, M.I.; Fareed, M.I.; Rashid, H.; Aziz, H.; Ehsan, N.; Khalid, S.; Ghaffar, I.; Ali, R.; Gul, A.; Hakeem, K.R. Flavonoids and Their Biological Secrets. In Plant and Human Health, Volume 2: Phytochemistry and Molecular Aspects; Ozturk, M., Hakeem, K.R., Eds.; Springer: Cham, Switzerland, 2019; pp. 579–605. [Google Scholar] [CrossRef]
- Perumal, A.B.; Nambiar, R.B.; Sellamuthu, P.S.; Emmanuel, R.S. Use of Modified Atmosphere Packaging Combined with Essential Oils for Prolonging Post-Harvest Shelf Life of Mango (cv. Banganapalli and cv. Totapuri). LWT 2021, 148, 111662. [Google Scholar] [CrossRef]






| CS-Based Package | Water-Ba rrier Properties | Mechanical Properties | ||
|---|---|---|---|---|
| WVTR (g/m2/s) | σ (×10−3 MPa) | ε (%) | Є (×10−3 MPa) | |
| 0% GO | 52.73 ± 3.49 a | 31.2 ± 2.5 b | 5.70 ± 0.27 a | 5.47 ± 0.29 b |
| 0.25% GO | 35.65 ± 2.42 b | 37.9 ± 4.5 a | 5.81 ± 0.32 a | 6.52 ± 0.77 a |
Disclaimer/Publisher’s Note: The statements, opinions and data contained in all publications are solely those of the individual author(s) and contributor(s) and not of MDPI and/or the editor(s). MDPI and/or the editor(s) disclaim responsibility for any injury to people or property resulting from any ideas, methods, instructions or products referred to in the content. |
© 2023 by the authors. Licensee MDPI, Basel, Switzerland. This article is an open access article distributed under the terms and conditions of the Creative Commons Attribution (CC BY) license (https://creativecommons.org/licenses/by/4.0/).
Share and Cite
Vilvert, J.C.; de Freitas, S.T.; Ferreira, M.A.R.; Costa, C.d.S.R.; Leite, R.H.d.L.; dos Santos, F.K.G.; Aroucha, E.M.M. Preservation of Quality and Bioactive Compounds in Mangoes Using Chitosan-Graphene-Oxide-Based Biodegradable Packaging. Horticulturae 2023, 9, 1145. https://doi.org/10.3390/horticulturae9101145
Vilvert JC, de Freitas ST, Ferreira MAR, Costa CdSR, Leite RHdL, dos Santos FKG, Aroucha EMM. Preservation of Quality and Bioactive Compounds in Mangoes Using Chitosan-Graphene-Oxide-Based Biodegradable Packaging. Horticulturae. 2023; 9(10):1145. https://doi.org/10.3390/horticulturae9101145
Chicago/Turabian StyleVilvert, João Claudio, Sérgio Tonetto de Freitas, Maria Aparecida Rodrigues Ferreira, Cristina dos Santos Ribeiro Costa, Ricardo Henrique de Lima Leite, Francisco Klebson Gomes dos Santos, and Edna Maria Mendes Aroucha. 2023. "Preservation of Quality and Bioactive Compounds in Mangoes Using Chitosan-Graphene-Oxide-Based Biodegradable Packaging" Horticulturae 9, no. 10: 1145. https://doi.org/10.3390/horticulturae9101145
APA StyleVilvert, J. C., de Freitas, S. T., Ferreira, M. A. R., Costa, C. d. S. R., Leite, R. H. d. L., dos Santos, F. K. G., & Aroucha, E. M. M. (2023). Preservation of Quality and Bioactive Compounds in Mangoes Using Chitosan-Graphene-Oxide-Based Biodegradable Packaging. Horticulturae, 9(10), 1145. https://doi.org/10.3390/horticulturae9101145

