Next Article in Journal
Organic Production of Snap Bean in Bulgaria: Pests and Diseases Incidence and Control, Soil Fertility and Yield
Next Article in Special Issue
Evaluation of Compost and Biochar as Partial Substitutes of Peat in Growing Media and Their Influence in Microbial Counts, Enzyme Activity and Lactuca sativa L. Seedling Growth
Previous Article in Journal
Genetics and Breeding of Fruit Trees
Previous Article in Special Issue
Influence of Biochar Mixed into Peat Substrate on Lettuce Growth and Nutrient Supply
 
 
Correction published on 22 February 2024, see Horticulturae 2024, 10(3), 206.
Font Type:
Arial Georgia Verdana
Font Size:
Aa Aa Aa
Line Spacing:
Column Width:
Background:
Article

Suitability of Co-Composted Biochar with Spent Coffee Grounds Substrate for Tomato (Solanum lycopersicum) Fruiting Stage

1
Instituto de Ciencias Agrarias, Consejo Superior de Investigaciones Científicas (ICA-CSIC), Calle Serrano 115bis, 28006 Madrid, Spain
2
E.T.S.I. Agronómica, Alimentaria y Biosistemas, Universidad Politécnica de Madrid, 28040 Madrid, Spain
*
Author to whom correspondence should be addressed.
Horticulturae 2023, 9(1), 89; https://doi.org/10.3390/horticulturae9010089
Submission received: 12 December 2022 / Revised: 4 January 2023 / Accepted: 5 January 2023 / Published: 10 January 2023 / Corrected: 22 February 2024
(This article belongs to the Special Issue Application of Chars in Growing Media)

Abstract

Peat is the predominant component of growing media in soilless horticultural systems. However, peat extraction from peatlands destroys these fragile ecosystems and emits greenhouse gas emissions (GHG). Peat replacement by other growing media is, thus, paramount to ensure a more sustainable horticultural sector. This study investigated the agronomical performances of two spent coffee ground-based composts with and without biochar, during three different stages of tomato (Solanum lycopersicum L.) development: seeds germination (0–6 days), seedling development (7–49 days), and plant-to-fruit maturity (36–100 days). The two composts were used as peat replacement and mixed with peat at four different volumetric proportions: 100% (pure compost), 50%, 30%, and 15%. The substrates had a stimulant effect on seed germination but induced stunted growth due to the elevated electrical conductivity. For the latest stages of plant development, compost with and without biochar mixed with peat at 50% promoted an increase in fruit production of 60.8% and 100.3%, compared to the control substrate. The present study provides evidence that combining biochar with spent coffee ground compost represents a potential alternative for peat-based growing media promoting a circular production model in the horticultural sector, but the results are dilution- and plant development stage-dependent.

1. Introduction

Since the 1950s, with the spread of soilless cultivation, peat has been the predominant growing media because of its optimal physical and chemical characteristics [1]. Now, around 90 million m3 of peat is extracted annually, of which 40 million m3 is used in horticulture [2]. The current global demand for peat-based growing substrates has triggered the degradation of fragile ecosystems. Peatlands store between 21% and 33% of the total global organic soil C stock on less than 3% of the terrestrial surface [3]. Peat bog drainage and extraction transforms these long-term C sinks into net greenhouse gas emitters, producing 1.2–1.9 Gt of CO2 y−1 [4].
In recent decades, the rising awareness of nature conservation has prompted the investigation of total or partial peat replacement by other organic and inorganic materials [5]. Compost from food waste (FW) has proved to be a sound alternative to peat, as it has comparable physical and chemical properties [6,7]. In particular, great attention has been drawn to recycling biowaste generated by coffee production [8]. Coffee is the most consumed beverage worldwide, and in 2020, it boasted a production of 10.6 million tons of green coffee beans [9]. Almost 50% of the total coffee production is used for soluble coffee preparation, with a ratio of 650 kg of spent coffee grounds (SCG) for every ton of green coffee [10], making SCG the primary waste product of coffee consumption. Like other coffee wastes, SCG is mainly disposed in landfills, thus, representing an environmental hazard due to the high concentration of chemical compounds of ecotoxicological concern, such as caffeine (0.4–2% wt), tannins (0.02% wt), and chlorogenic acid (4–11.4% wt) [8,10,11,12]. Composting is a sustainable solution to value underutilized high-nutrient waste in agriculture, such as SCG [13,14]; besides reducing the pressure on landfills, composting contributes to closing the product life cycles heading towards a circular economy model based on the “Recycling, Recovering, and Reusing” standard [15].
SCG contains significant amounts of macro- and micro-nutrients, e.g., nitrogen (27.9 g kg−1 dw), phosphorus (1.8 g kg−1 dw), potassium (11.7 g kg−1 of dw), magnesium (1.9 g kg−1 dw), sulphur (1.6 g kg−1 dw), and calcium (1.2 g kg−1 dw). Due to its low C/N ratio (16.9) and high moisture content (80 to 85%) [10,16], SCG should be co-composted with materials that, like garden pruning waste and biochar (BC), present a higher C/N ratio and a coarser texture to provide bulking properties.
BC and other carbonized materials have also been proposed as peat alternatives due to their capacity to mimic peat properties such as high porosity, structural stability, low bulk density, and high-water retention capacity [5,17]. Nevertheless, these carbon-rich materials do not provide nutrients to the mixture [18] and, therefore, require the addition of fertilizers and compost to sustain plant growth [19].
Using biochar as a bulking agent during the organic waste composting process changes the microbial activity and community composition, improves the retention of N, immobilizes potentially toxic metals and organic pollutants, and lowers greenhouse gas emissions during the process [20,21]. Moreover, the higher temperatures reached during the process in the presence of biochar enhance compost disinfection, decreasing the biological risk for agronomical use [21]. Concurrently, composting induces changes in the BC’s surface and pore network, increasing the degree of oxygen functionalities [22] and its cationic exchange capacity (CEC), enhancing dissolved ion adsorption, and thus, its plant growth-promoting properties [23].
Although the proven synergistic effect between compost and biochar results in a low-weight material with high potential to retain water and nutrients and to sequester carbon, with fascinating properties for horticultural production [17], studies investigating the application of co-composted biochar products as growing media mainly focus on early plant development stages, without differentiating between the effect on seedling development, plant development, flowering, and fruiting [23]. Common practices in soilless horticulture involves one or more transplants to ensure the optimum substrate for each plant development stage. Therefore, planning a one-size-fits-all solution for co-composted biochar substrates does not comply with the state-of-the-art in horticulture.
The present research examined the agronomical performances of two spent coffee ground-based composts with and without biochar and evaluated their potential use as peat replacement in growing media at three different plant development stages: germination, seedlings development, and fruiting. It was hypothesized that composting SCG with biochar would be a suitable peat replacement option for horticultural substrates. To test this hypothesis, we performed a pot experiment in a greenhouse using tomato plants (Solanum lycopersicum L.) at different stages of development, employing different percentages of compost to replace peat-based growing substrates. We analysed the growth and fruit production of the plants across four months.

2. Materials and Methods

2.1. Composting and Growing Media Preparation

The production of the two composts, with and without biochar, was carried out in 200 L composters with a passive aeration system (HOTBIN composting, Northampton, UK). The raw materials used consisted of: spent coffee grounds collected from the coffee vending machines at the Institute of Agricultural Science—CSIC (Madrid, Spain); biochar provided by Carbón Vivo SL (Barcelona, Spain), produced from Aleppo pine trees at 650–750 °C with a residence time of 3.5 h; pruning green waste (GW) furnished by a local pruning company based in Brunete (Madrid, Spain). The composted mixture with biochar (CP-BC) consisted of one volumetric part of SCG, one of BC, and one of GW (1:1:1 v/v/v), while the compost mixture without biochar (CP) was a blend of one volumetric part of SCG and one of GW (1:1 v/v).
The initial moisture content was adjusted to optimal values (~60%) and monitored using a Radwag MA 110.R thermogravimetric balance equipped with infrared lamps. The compost mixtures were stirred manually every three days to ensure oxygenation and homogenization. The temperature was monitored using a Decagon RT-1 probe connected to a Decagon Em50 datalogger. After 30 days of composting, the mixtures were removed and left in open air for another 30 days to reach maturity. Samples of CP-BC and CP were collected to determine their physical and chemical characteristics.
To assess the potential peat replacement of the obtained composts, four mixtures at different volumetric proportions of either CP-BC or CP, with a commercial horticultural substrate (HS) (Jiffy GO PP7, Jiffygroup) that represents the Control substrate, were prepared: 100% (pure compost), 50%, 30%, and 15%. A total of eight treatments plus the control treatment were run.

2.2. Growing Experiments and Monitoring

The agronomical performances of all compost-growing media were tested at three different stages of tomato (Solanum lycopersicum L., cv. Marmande) plant development: seed germination (0–6 days), seedling development (7–49 days), and plant-to-fruit maturity (36–100 days). Seed germination and germination index (GI%) was estimated according to Zucconi et al. [24] with minor modifications [25]. Briefly, a solution of 2.5 g dw of growing substrates in 25 mL of water was prepared, shaken for 2 h, then centrifuged at 3000 rpm, and filtered by Whatman 2 filtering paper. Five tomato seeds were placed on filtering paper in a Petri dish, with five replicate dishes for each growing substrate. Afterwards, 5 mL of the growing substrate solution was added to the corresponding Petri dishes, including five control replicates in which deionized water was used. All the Petri dishes were incubated in the dark for 72 h at 22 °C, and the seed germination rate (G) and root length (L) were measured. The germination index (GI) was calculated as:
GI% = (Gsample/Gcontrol) × (Lsample/Lcontrol) × 100
where the subscript “sample” and “control” refers to the values obtained for the solution from the growing substrate extracts and the controls with water, respectively.
The seedling development experiment was started by placing tomato seeds on filtering paper, which was placed on a vermiculite bed inside Petri dishes (25 seeds per Petri dish). The Petri dishes were incubated in a growing chamber for 6 days at 20–22 °C with a 16:8 h light–dark period. The seedlings were then transplanted into 7 × 7 cm pots filled with CP-BC and CP at different dilutions and grown for 35 days in a greenhouse at 20–23 °C day and night, respectively, and a 12:12 h light–dark period. The pots were manually and indirectly irrigated every three days by adding water to the tray containing the pots. For this experiment, nine different growing media, for a total of 45 pots, were established by diluting the composts from 15 to 100 % with (n = 5), as described in Table 1.
For the plant production experiment, the tomato seeds were germinated and transplanted into 7 × 7 cm pots, as described above, but only using the HS. After 36 days, the plantlets were transplanted into 4.5 L pots filled with the growing substrates and kept up to fruit full ripeness in the greenhouse under the same environmental conditions as the seedling development trial. For this trial, eight different growing media, for a total of 51 pots, were established by diluting the composts from 15 to 100 % (n = 5 or 6 as reported in Table 1). Plant height was measured weekly and, at the end of the experiments, an aliquot of aerial biomass and the total of roots biomass was collected to assess the fresh above-and-below-ground biomass. Due to Alternaria solani (Sorauer) proliferation, parts of aerial biomass were trimmed; thus, an estimation of the total aboveground biomass produced was not possible. The biomass samples were dried at 65 °C for 3 days to obtain the dry weight. The tomatoes were harvested and weighted at full ripeness and dried at 65 °C for 7 days to assess the dry matter percentage. The average fresh fruit weight per treatment was estimated by dividing the total fresh weight by the total number of fruits.

2.3. Physical and Chemical Analysis of Substrates and Plants

Replicates that did not complete the developmental cycle were not analysed. Substrate, biomass, and fruit samples were dried at 65 °C for 3 days and finely ground in a ball mill (MM400, Retsch technology, Haan, Germany) for 10 min at a frequency of 25 s−1.
The substrates were analysed at the beginning (t0) and end (tfinal) of each experiment. For t0, each growing media was analysed in triplicate. For tfinal, an aliquot of 10 g was collected from each pot replicate. The dried above- and below-ground plant biomass was analysed to evaluate the total contents of carbon (C), nitrogen (N), nutrients, and trace elements. The replicates were analysed separately, except for some samples from the seedling development experiment, which were pooled together because of the scarce quantity of above-ground and below-ground biomass produced.
The electrical conductivity (EC) and pH of the substrates were measured in water extracts (1:10 w/v) using a CRISON microCM 2201 conductivity meter and a CRISON micropH 2001 pH meter, respectively [25].
Bulk density (BD) was measured using a 1 L graduated cylinder filled with a known sample mass and tapped manually for 60 s to ensure the absence of large void spaces, before measuring the final volume occupied by the sample mass. The total C and N contents were assessed using a Thermo Flash 2000 NC Soil Analyzer by dry combustion [25]. Ammonium (NH4+) and nitrate (NO3) were extracted using a 1:10 w/v substrate concentration in KCl solution and water, respectively. Quantification was carried out using a visible spectrophotometer HACH LanDR2800, using test cuvettes HACH LCK 303 or LCK 304 for ammonium, and HACH LCK 339 for nitrate [25].
The nutrients and trace element quantifications of the composts, substrates, and above- and below-ground biomasses were conducted using an induction-coupled plasma atomic emission spectrophotometer (ICP-AES, Perkin Elmer Optima 4300 DV, PerkinElmer Inc., Waltham, MA, USA) after nitric (HNO3) and perchloric acid (HClO4) digestion at 200 °C [25].

2.4. Statistical Analysis

An analysis of variance (ANOVA) was used to examine the differences among the physical and chemical properties of the substrates and their agronomical potential. When the p-value for the ANOVA was <0.05, the means were compared using Tukey’s test at the 0.05 level. All statistical analyses were conducted using R version 4.1.1 (R Core Team, 2021).

3. Results and Discussion

3.1. General Characteristics of the Produced Composts

During the composting process, CP-BC and CP underwent the thermophilic phase for 22 and 14 days, respectively, achieving sanitation conditions. After composting, CP-BC and CP had a pH of 8.6 and 6.8, respectively (Table 2); the higher value recorded for BC-based compost may be attributed to the alkaline nature of biochar, making it effective at buffering acidity and increasing the pH of growing substrates [19]. EC ranged between 1.05 and 2.02 dS m−1, with CP-BC showing the lower value (Table 2). Biochar may help to reduce salinity by holding nutrients, thus, allowing the use of larger proportions of compost in growing media [26]. C/N is considered a maturity index in compost, with a C/N lower than 21 indicating adequate maturity [27]. However, Khan et al. [28] suggested that for co-composted biochar, the maturity of the compost could be reached at higher C/N ratios due to the high stability of biochar C, as seen in this study (Table 2).
Mixing the two composts with peat changed the compost-based substrate characteristics. Overall, pH values ranged between 6.9 and 5.8, which were suitable for tomato production [13]. However, the EC values were slightly higher than the suggested level of ≤0.5 dS m−1 for an optimal growing media. The lower EC level registered in the CP-BC substrates could be attributed to the sorption of cations on the reactive surfaces within the high pore space of biochar [25].
The heavy metals content was of no concern, since it was below the threshold of potentially toxic elements established by regulations (Spanish Royal Decree 506/2013) for “Class A” compost—except for Cd in the CP-BC 50, which would comply with the “Class B” compost limits.
The bulk density values of all the compost-based growing media were within the optimal range (≤0.5 g cm−3) required for an ideal substrate [29]. Regarding WHC, no significant differences were observed among substrates compared to the control, except for CP 50, which decreased by 20.7%, and CP 15, which increased by 15%.

3.2. Germination and Seedling Development Phases

All the growing media induced GI% greater than 80%, indicating that the materials were phytotoxin-free and, in most cases, exerted phyto-stimulant properties (Table 3). Ronga et al. [13] reported a decreasing germination effect on tomato and basil seeds in SCG compost mixed at percentages greater than 30%. On the contrary, Hachicha et al. [14] reported that co-composted SCG with olive mill wastewater sludge and poultry manure had phyto-stimulant effects on lettuce and barley seeds. Negative effects on plants have been attributed to a high concentration of chlorogenic acid, which hinders germination and reduces root development [10]. In a previous study, the composting of coffee by-products was found to promote the decomposition of phytotoxic compounds, phenolic substances, and chlorogenic acid, allowing the recycling of these high-values resources in agriculture [25].
After 49 days, only 60% and none of the plants grown in CP-BC 100 and CP 100, respectively, survived (Table 4). One of the control seedlings perished due to mechanical damage during watering, lowering the control survival rate to 80%.
The heights of the seedlings cultivated in CP-BC and CP were, on average, one-third those of the control (Figure 1). The decrease in the heights of the seedlings was more evident as the compost concentration in the mixture increased, but no significant differences were found between the different peat-replacement treatments.
Previous research has shown that high EC values may limit the inclusion of compost in nursery media [18,29]. Increased salinity causes osmotic stress and ion imbalance, as well as oxidative stress and metabolic abnormalities [30], thus, causing stunted growth. Herrera et al. [31] reported that the excess of soluble salts in municipal solid waste compost used at doses higher than 30% in growing media lowered the development of tomato seedlings. Similarly, Kumar et al. [32], studying the effect of spent mushrooms digestate with a slightly high EC value on tomato germination, noted a decrease in seed germination and seedling stem and root length overcoming the optimal dilution of 10%. Huang et al. [33] assessed that the high EC of BC co-composted with chicken manure caused low and slow seed germination and suppressed the plant growth of different ornamental and agricultural species. However, Gascó et al. [34] reported that BC phytotoxicity on seed germination is a complex issue influenced by the type of biochar and seeds.
The biomass produced during the experiment (Table 4) was 4.4 to 15-fold lower for CP-BC and CP growing media compared to the control. Seedlings from all the treatments produced approximately 2.5 times more above-ground biomass than below-ground biomass. Exceptions were found for CP-BC 50 and CP 15, which resulted in lower above/below-ground mass ratios, and for CP-BC 100, which showed the highest quantity of above-ground biomass and above/below-ground ratios.

3.3. Plant Development

Regardless of the non-satisfactory results for the seedling development experiment, all of the compost-based substrates resulted in good agronomic performances when the plants were transplanted in compost and compost-biochar blended substrates after 36 days of growth on peat-based substrate, ensuring an overall survival rate of 100% (Table 4). Plants develop salinity tolerance during ontogeny, which may explain the different results observed in seedlings and plant development trials. In fact, tomato is more susceptible to salinity stress during germination and initial seedling growth stages [35].
During the 63-day test, all the treatments outperformed the control in heights, except for CP 100, with CP-BC 100 and CP-BC 50 registering the highest peaks (88.3 cm and 80.7 cm, respectively (Figure 2)). These results agree with Kamman et al. [23], who reported that Chenopodium quinoa grew three-fold more in co-composted BC growing media than in the peat-based control, suggesting that the nutrient loading of biochar during composting was the leading cause of this positive effect.
Both compost and biochar represent slow-release sources of nutrients for plants during distinct phenological phases [36,37], proving to be particularly rich in K [38]. The high K concentration in soluble and exchangeable forms close to the root zone increases the efficiency of its use by plants, positively affecting plant development, promoting a higher photosynthetic rate, leaf expansion, plant growth, and biomass accumulation [38,39].
However, the factors influencing plant growth under compost and biochar application are synergic; therefore, they are not attributable to a single mechanism. Improved plant growth in compost-biochar blended substrate may be attributable to better physical properties (e.g., water holding capacity, texture) or to microbiological properties (e.g., microbial biomass quantity, distribution, and diversity) [17,40].
As reported in Table 5, the increased height observed in plants grown in co-composted biochar substrates did not correspond to an increase in belowground biomass. Plants grown in a highly nutrient-rich environment usually develop lower root mass but higher leaf and stem mass fractions, promoting light interception and photosynthesis [41]. Moreover, Grafmüller et al. [42] suggested that adding nutrient-enhanced biochar in the root area may act as a hotspot for the plant, which requires fewer fine roots for nutrient supply.
Below-ground biomass was inversely proportional to compost dilution. Lazcano et al. [36] also observed the highest increase in root volume with compost dilution ranging between 10% and 20% in compartmentalized grown tomato plants. A compost addition of up to 30% in growing media has been reported to improve total pore space and organic matter content, promoting root development [43]. Moreover, compost nutrients and phytohormones induce root tip proliferation, improving root volume [31]. Similar to the effect reported for compost addition, the use of biochar in growing media increases root length and amount of root air, leading to an extension of root surface area and, consequently, to an increased capacity of water and nutrient absorption [44]. Furthermore, BC may induce the synthesis of indole-3-acetic acid (IAA) [45], the principal auxin in plants responsible for controlling the elongation of the primary root and the formation of lateral and adventitious roots [46].

3.4. Macronutrient Contents in Plant Biomass and Growing Media

Tomatoes grown in compost and biochar-blended compost accumulated larger quantities of N, P, and K than the plants grown on the control peat substrates, except for P content in the above-ground biomass of fruiting plants grown in BC-CP 50, and K contents in the below-ground biomass in most of the treatments in the seedlings experiment (Table A1). The detected biomass N content was directly proportional to the dilution rates for all the treatments in both experiments. Seedlings showed higher N content in roots than in leaves, while plants exhibited similar concentrations in above- and below-ground biomass. However, plants grown in biochar-blended substrates showed less N content than those grown in the corresponding compost dilutions. No N limitations were detected, since the initial and final N content did not decrease in the treatments of both experiments (Table A2), but the final N available forms were not measured in the present study. P content was higher in above- than below-ground biomass, even if the trend was less evident for seedlings. Indeed, plants grown in biochar-blended substrates accumulated less P than those grown in compost (Table A1). Regarding the plant development experiment, a decrease in the growing media P content was detected for all the treatments, even though the values were still higher than those for the control substrate (Table A2). Despite the K content in seedlings grown in the control media being similar between above- and below-ground biomass, all the treatments of both experiments, including plants developed in the control substrate, showed higher contents of K in the aboveground biomass (Table A1). The lower macronutrient values detected in seedlings and plants grown in biochar-blended treatments than those grown in compost may be explained by the higher cationic retention exerted by the biochar matrix [47]. As for N and P, the final substrate K content was higher than those of the control, except for CP-BC 15 and CP 15, indicating that the growing media macronutrient content was not a limiting factor for plant development (Table A2). Indeed, the lower development of seedlings growing in these substrates may be attributable to an excess of cations and/or salinity, as reported by other studies [18,29], rather than to a macronutrient limitation.

3.5. Fruit Production

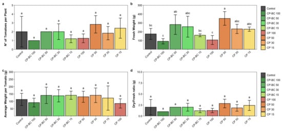
No significant differences in the number of tomatoes per plant were found among the substrates examined (Figure 3). Regarding fresh fruit biomass, CP-BC 100 and CP 100 decreased production by 47.7% and 39.3%, respectively, compared to the control. This decline in fruit biomass may be explained by the imbalance between the vegetative and reproductive growth in plants that occurs under overfertilization conditions, which enhances the production of the canopy rather than fruits [48]. On the contrary, the plants grown in 50 and 15% diluted substrates significantly increased the biomass of tomatoes. Compared to the control, CP 50 resulted in the largest productivity with an increase of 100.3%; CP-BC 50 and CP-BC 30 produced 60.8% and 47.1% more fresh fruit biomass than the control, followed by the 32.24% and 30.75% of CP 30 and CP 15, respectively. Huang et al. 2019 [33] showed that tomato plants grown in BC-compost mixtures produced a larger amount of fresh and dry fruit biomass; the authors attributed the result to the synergistic effect of the two materials, whereby compost increased nutrients availability while biochar provided a high nutrient-retention capacity. Similarly, Zawadzińska et al. [43] attributed the higher fresh tomato weights of compost growing media to the greater availability and uptake of nutrients. Although the influence of biochar on growing substrate properties and plant growth has been widely studied [17,19,49], little is known about the effects on horticultural fruit production. In this regard, Massa et al. [50] reported that BC stimulated tomato plant growth but not fruit yield, suggesting that replacing peat with biochar-based growing media represents a valuable strategy for improving plant biomass instead of crop yield. However, the present study highlighted the positive results of combining biochar with compost, representing a promising strategy to promote both growth and production performances in a soilless agricultural system.

4. Conclusions

Using biochar-blended composts as growing media has been proposed as an alternative to peat for horticulture. Despite the large variability in the agronomic performances reported in the literature, mainly related to the wide diversity of biochar, compost, and their mixtures, the present study shows that such performances may also be related to the plant development phases. The results showed that co-composting spent coffee grounds with biochar and green waste represents an effective strategy for nutrient-rich waste recycling and to produce a sound alternative to a non-renewable resource such as peat during the tomato fruiting phase—albeit not during seedlings growth. Peat diluted with compost or biochar-blended compost at a 50% volume results in an optimal growing substrate for tomato plants, which may enhance productivity compared to peat-growing media.
Replacing up to 50% of peat with co-composted materials will reduce pressure on peatlands by adopting a circular production chain model in the horticultural sector. This strategy may also be relevant to reduce the use of mineral fertilisers, as compost can supply plant nutrients. Moreover, biochar allows carbon to be stored in a compartmentalized system media, with critical environmental benefits. Nonetheless, further studies are needed to test the potential of the materials examined here for other horticultural species.

Author Contributions

Conceptualization, G.P. and M.P.; methodology, G.P., C.G.-R. and M.P.; software, G.P. and C.P.; validation, C.P. and M.P.; formal analysis, G.P., A.G.-U. and C.G.-R.; investigation, G.P., A.G.-U. and C.G.-R.; resources, M.P.; data curation, G.P., A.G.-U., C.P. and M.P.; writing—original draft preparation, G.P.; writing—review and editing, A.G.-U., C.G.-R., C.P. and M.P.; visualization, G.P., A.G.-U., C.G.-R. and M.P.; supervision, A.G.-U., C.P. and M.P.; project administration, M.P.; funding acquisition, M.P. All authors have read and agreed to the published version of the manuscript.

Funding

This work was financially supported by the Comunidad de Madrid and the Spanish National Research Council (CSIC) through the research grant Atracción de Talento (2019T1/AMB14503). C. Gómez-Ruano acknowledges the financial support received for her contract through the “Programa de Empleo Juvenil” by the Comunidad de Madrid (PEJ-2020-TL/AMB-17621).

Data Availability Statement

The data that support the findings of this study are available from the corresponding and lead authors upon reasonable request.

Acknowledgments

The authors want to thank Héctor Fritis Aguilera for his technical support.

Conflicts of Interest

The authors have no financial or proprietary interests in any material discussed in this article.

Appendix A

Table A1. Macronutrient contents in above-ground/below-ground biomass. Different letters within the same experiment indicate significant differences among treatments at a p < 0.05 level.
Table A1. Macronutrient contents in above-ground/below-ground biomass. Different letters within the same experiment indicate significant differences among treatments at a p < 0.05 level.
Experiment NPK
(g kg−1)(g kg−1)(g kg−1)
BiomassAboveBelowAboveBelowAboveBelow
SeedlingsControl8.0 ± 0.1 e10.0 ± 0.7 e4.13.819.521.3
CP-BC 10018.8 ± 0.2 a19.2 ± 1.02 b,c6.92.841.314.6
CP- BC 5013.4 ± 0.2 c19.4 ± 0.4 a,b,c8.98.833.923.3
CP-BC 3014.9 ± 0.5 b20.9 ± 0.6 a13.67.718.430.5
CP-BC 1511.6 ± 0.04 e17.4 ± 0.1 d9.210.027.518.4
CP 100------
CP 5012.2 ± 0.3 de21.0 ± 0.4 a9.47.735.425.7
CP 3012.4 ± 0.1 d20.4 ± 0.3 a,b9.010.229.019.9
CP 1511.9 ± 0.03 d,e18.01 ± 0.4 c,d9.58.026.710.4
PlantsControl11.4 ± 0.9 c,d11.0 ± 0.4 c3.8 ± 0.5 c,d2.1 ± 0.2 d12.4 ± 1.3 f4.4 ± 0.7 f
CP-BC 10015.0 ± 1.7 b14.8 ± 1.4 b4.4 ± 0.6 b,c2.9 ± 0.4 b,c33.0 ± 3 a,b24.1 ± 8.1 a,b
CP- BC 5012.8 ± 1.4 b,c,d11.7 ± 0.7 c3.2 ± 0.2 d2.2 ± 0.2 d25.0 ± 3 c,d15.5 ± 1.3 c,d
CP-BC 3011.5 ± 0.5 d11.2 ± 1.3 c4.5 ± 0.6 b,c3.4 ± 0.2 b23.7 ± 2.3 c,d13.2 ± 2.7 d,e
CP-BC 1511.0 ± 1.2 d11.03 ± 0.7 c4.5 ± 0.7 b,c3.1 ± 0.2 b,c18.5 ± 4.03 d,e,f8.8 ± 1.1 d,e,f
CP 10022.3 ± 0.4 a22.4 ± 1.8 a8.3 ± 0.8 a4.2 ± 0.6 a36.4 ± 4.8 a31.1 ± 6 a
CP 5014.4 ± 3.3 b,c14.2 ± 1.5 b5.3 ± 0.8 b2.5 ± 0.7 c,d26.8 ± 5.8 b,c20.8 ± 1 b,c
CP 3012.8 ± 1.1 b,c,d12.5 ± 1.4 b,c5.0 ± 0.3 b,c2.9 ± 0.2 b,c23.3 ± 2.7 c,d,e10.7 ± 2.9 d,e,f
CP 1511.0 ± 1.3 d10.7 ± 0.7 c4.5 ± 0.7 b,c3.3 ± 0.1 b,c16.3 ± 3 f7.4 ± 0.7 e,f
CP-BC: biochar-blended compost. CP: compost. The percentages of peat substitution (v:v) with compost materials were 100, 50, 30, and 15%.
Table A2. Macronutrient contents in growing media at the beginning and end of seedling and fruiting experiments. Different letters within experiments indicate significant differences among treatments at a p < 0.05 level.
Table A2. Macronutrient contents in growing media at the beginning and end of seedling and fruiting experiments. Different letters within experiments indicate significant differences among treatments at a p < 0.05 level.
Experiment NPK
(g kg−1)(g kg−1)(g kg−1)
SamplingInitialFinalInitialFinalInitialFinal
SeedlingsControl12 ± 0.1 d17.9 ± 0.5 c0.40.3 ± 0.01 e3.30.9 ± 0.3 f
CP-BC 10022.5 ± 0.2 b,c24.3 ± 3.7 a,b1.61.5 ± 0.04 a7.26.7 ± 0.5 a
CP- BC 5016.8 ± 0.3 c,d19.5 ± 1.5 c1.01.1 ± 0.1 b8.44.1 ± 0.5 b,c
CP-BC 3020.9 ± 1.4 b,c19.8 ± 0.8 c0.90.8 ± 0.03 c3.53.5 ± 0.3 c,d
CP-BC 1520.1 ± 0.4 b,c18.7 ± 0.8 c0.70.7 ± 0.05 c2.12.5 ± 0.2 e
CP 10036.9 ± 7.3 a-2.7-11.0-
CP 5027.3 ± 0.7 b29.02 ± 3.5 a1.71.0 ± 0.04 b12.04.4 ± 0.3 b
CP 3019.0 ± 0.6 c27.4 ± 2.5 a1.20.8 ± 0.05 c8.23.2 ± 0.3 c
CP 1520.7 ± 0.9 b,c28.3 ± 0.9 a0.70.6 ± 0.01 d2.12.0 ± 0.3 d
PlantsControl12 ± 0.1 d16.6 ± 0.5 e0.40.3 ± 0.03 f3.31.54 ± 0.6 e
CP-BC 10022.5 ± 0.2 b,c21.5 ± 4.1 a,b1.61.4 ± 0.2 b7.24.5 ± 1 b,c
CP- BC 5016.8 ± 0.3 c,d15.0 ± 0.8 d,e1.00.7 ± 0.1 c,d8.47.7 ± 0.8 a
CP-BC 3020.9 ± 1.4 b,c20.1 ± 1.1 b,c0.90.5 ± 0.05 e,f3.52.8 ± 1 c,d,e
CP-BC 1520.1 ± 0.4 b,c18.8 ± 0.4 e0.70.4 ± 0.03 e,f2.11.07 ± 0.12 d,e
CP 10036.9 ± 7.3 a34.0 ± 8.3 a2.72.1 ± 0.4 a11.05.5 ± 2.3 b
CP 5027.3 ± 0.7 b24.0 ± 2.0 b1.71.0 ± 0.1 c12.03.1 ± 0.4 c,d
CP 3019.0 ± 0.6 c19.8 ± 2.6 b,c,d1.20.7 ± 0.1 d,e8.22.8 ± 0.7 c,d,e
CP 1520.7 ± 0.9 b,c20.8 ± 1.1 b,c,d0.70.4 ± 0.03 e,f2.11.0 ± 0.4 e
CP-BC: biochar-blended compost. CP: compost. The percentages of peat substitution (v:v) with compost materials were 100, 50, 30, and 15%.

References

  1. Gruda, N. Current and future perspective of growing media in Europe. Acta Hortic. 2012, 960, 37–43. [Google Scholar] [CrossRef]
  2. Leiber-Sauheitl, K.; Bohne, H.; Böttcher, J. First Steps toward a Test Procedure to Identify Peat Substitutes for Growing Media by Means of Chemical, Physical, and Biological Material Characteristics. Horticulturae 2021, 7, 164. [Google Scholar] [CrossRef]
  3. Gruda, N.S. Increasing Sustainability of Growing Media Constituents and Stand-Alone Substrates in Soilless Culture Systems. Agronomy 2019, 9, 298. [Google Scholar] [CrossRef]
  4. Freeman, B.W.J.; Evans, C.D.; Musarika, S.; Morrison, R.; Newman, T.R.; Page, S.E.; Wiggs, G.F.S.; Bell, N.G.A.; Styles, D.; Wen, Y.; et al. Responsible agriculture must adapt to the wetland character of mid-latitude peatlands. Glob. Chang. Biol. 2022, 28, 3795–3811. [Google Scholar] [CrossRef] [PubMed]
  5. Kern, J.; Tammeorg, P.; Shanskiy, M.; Sakrabani, R.; Knicker, H.; Kammann, C.; Tuhkanen, E.M.; Smidt, G.; Prasad, M.; Tiilikkala, K.; et al. Synergistic Use of Peat and Charred Material in Growing Media—An Option to Reduce the Pressure on Peatlands? J. Environ. Eng. Landsc. Manag. 2017, 25, 160–174. [Google Scholar] [CrossRef]
  6. Farrell, M.; Jones, D. Food waste composting: Its use as a peat replacement. Waste Manag. 2010, 30, 1495–1501. [Google Scholar] [CrossRef]
  7. Raviv, M. Composts in Growing Media: Feedstocks, Composting Methods and Potential Applications. Acta Hortic. 2014, 1018, 513–524. [Google Scholar] [CrossRef]
  8. Stylianou, M.; Agapiou, A.; Omirou, M.; Vyrides, I.; Ioannides, I.M.; Maratheftis, G.; Fasoula, D. Converting environmental risks to benefits by using spent coffee grounds (SCG) as a valuable resource. Environ. Sci. Pollut. Res. 2018, 25, 35776–35790. [Google Scholar] [CrossRef]
  9. FAOSTAT. Available online: https://www.fao.org/faostat/en/#data (accessed on 29 November 2022).
  10. Janissen, B.; Huynh, T. Chemical composition and value-adding applications of coffee industry by-products: A review. Resour. Conserv. Recycl. 2017, 128, 110–117. [Google Scholar] [CrossRef]
  11. Mead, M.N. Urban Issues: The Sprawl of Food Deserts. Environ. Health Perspect. 2008, 116, A335. [Google Scholar] [CrossRef]
  12. Ghoreishy, F.; Ghehsareh, A.M.; Fallahzade, J. Using composted wheat residue as a growth medium in culture of tomato. J. Plant Nutr. 2018, 41, 766–773. [Google Scholar] [CrossRef]
  13. Ronga, D.; Pane, C.; Zaccardelli, M.; Pecchioni, N. Use of Spent Coffee Ground Compost in Peat-Based Growing Media for the Production of Basil and Tomato Potting Plants. Commun. Soil Sci. Plant Anal. 2016, 47, 356–368. [Google Scholar] [CrossRef]
  14. Hachicha, R.; Rekik, O.; Hachicha, S.; Ferchichi, M.; Woodward, S.; Moncef, N.; Cegarra, J.; Mechichi, T. Co-composting of spent coffee ground with olive mill wastewater sludge and poultry manure and effect of Trametes versicolor inoculation on the compost maturity. Chemosphere 2012, 88, 677–682. [Google Scholar] [CrossRef]
  15. European Commission. Circular Economy Action Plan; Publications Office of the European Union: Luxembourg, 2020; 28p. [Google Scholar] [CrossRef]
  16. Ballesteros, L.F.; Teixeira, J.A.; Mussatto, S.I. Chemical, Functional, and Structural Properties of Spent Coffee Grounds and Coffee Silverskin. Food Bioprocess Technol. 2014, 7, 3493–3503. [Google Scholar] [CrossRef]
  17. Jindo, K.; Sánchez-Monedero, M.A.; Mastrolonardo, G.; Audette, Y.; Higashikawa, F.S.; Silva, C.A.; Akashi, K.; Mondini, C. Role of Biochar in Promoting Circular Economy in the Agriculture Sector. Part 2: A Review of the Biochar Roles in Growing Media, Composting and as Soil Amendment. Chem. Biol. Technol. Agric. 2020, 7, 16. [Google Scholar] [CrossRef]
  18. Nocentini, M.; Panettieri, M.; Barragán, J.M.G.D.C.; Mastrolonardo, G.; Knicker, H. Recycling pyrolyzed organic waste from plant nurseries, rice production and shrimp industry as peat substitute in potting substrates. J. Environ. Manag. 2021, 277, 111436. [Google Scholar] [CrossRef]
  19. Huang, L.; Gu, M. Effects of Biochar on Container Substrate Properties and Growth of Plants—A Review. Horticulturae 2019, 5, 14. [Google Scholar] [CrossRef]
  20. Sanchez-Monedero, M.; Cayuela, M.; Roig, A.; Jindo, K.; Mondini, C.; Bolan, N. Role of biochar as an additive in organic waste composting. Bioresour. Technol. 2018, 247, 1155–1164. [Google Scholar] [CrossRef]
  21. Godlewska, P.; Schmidt, H.P.; Ok, Y.S.; Oleszczuk, P. Biochar for composting improvement and contaminants reduction. A review. Bioresour. Technol. 2017, 246, 193–202. [Google Scholar] [CrossRef]
  22. Goñi-Urtiaga, A.; Courtier-Murias, D.; Picca, G.; Valentín, J.L.; Plaza, C.; Panettieri, M. Response of water-biochar interactions to physical and biochemical aging. Chemosphere 2022, 307, 136071. [Google Scholar] [CrossRef]
  23. Kammann, C.I.; Schmidt, H.-P.; Messerschmidt, N.; Linsel, S.; Steffens, D.; Müller, C.; Koyro, H.-W.; Conte, P.; Joseph, S. Plant growth improvement mediated by nitrate capture in co-composted biochar. Sci. Rep. 2015, 5, 11080. [Google Scholar] [CrossRef] [PubMed]
  24. Zucconi, F.; Forte, M.; Monaco, A.; De Bertoldi, M. Biological Evaluation of Compost Maturity. Biocycle 1981, 22, 27–29. [Google Scholar]
  25. Picca, G.; Plaza, C.; Madejón, E.; Panettieri, M. Compositing of Coffee Silverskin with Carbon Rich Materials Leads to High Quality Soil Amendments. Waste Biomass Valor. 2022, 1–11. [Google Scholar] [CrossRef]
  26. Sánchez-Monedero, M.; Sánchez-García, M.; Pino, R.C.-D.; Fornes, F.; Belda, R.; Lidón, A.; Cayuela, M. Biochar as an additive in composting: Impact on process performance and on the agronomical quality of the end product. Acta Hortic. 2021, 1317, 175–187. [Google Scholar] [CrossRef]
  27. Leege, P.B. Introduction of Test Methods for the Examination of Composting and Compost. In Beneficial Co-Utilization of Agricultural, Municipal and Industrial By-Products; Springer: Dordrecht, The Netherlands, 1998; pp. 269–282. [Google Scholar] [CrossRef]
  28. Khan, N.; Clark, I.; Sánchez-Monedero, M.A.; Shea, S.; Meier, S.; Bolan, N. Maturity indices in co-composting of chicken manure and sawdust with biochar. Bioresour. Technol. 2014, 168, 245–251. [Google Scholar] [CrossRef]
  29. Nieto, A.; Gascó, G.; Paz-Ferreiro, J.; Fernández, J.; Plaza, C.; Méndez, A. The effect of pruning waste and biochar addition on brown peat based growing media properties. Sci. Hortic. 2016, 199, 142–148. [Google Scholar] [CrossRef]
  30. Yang, Y.; Guo, Y. Unraveling salt stress signaling in plants. J. Integr. Plant Biol. 2018, 60, 796–804. [Google Scholar] [CrossRef]
  31. Kumar, P.; Eid, E.M.; Taher, M.A.; El-Morsy, M.H.E.; Osman, H.E.M.; Al-Bakre, D.A.; Adelodun, B.; Fayssal, S.A.; Goala, M.; Mioč, B.; et al. Biotransforming the Spent Substrate of Shiitake Mushroom (Lentinula edodes Berk.): A Synergistic Approach to Biogas Production and Tomato (Solanum lycopersicum L.) Fertilization. Horticulturae 2022, 8, 479. [Google Scholar] [CrossRef]
  32. Herrera, F.; Castillo, J.E.; Chica, A.F.; Bellido, L.L. Use of municipal solid waste compost (MSWC) as a growing medium in the nursery production of tomato plants. Bioresour. Technol. 2008, 99, 287–296. [Google Scholar] [CrossRef]
  33. Huang, L.; Niu, G.; Feagley, S.E.; Gu, M. Evaluation of a hardwood biochar and two composts mixes as replacements for a peat-based commercial substrate. Ind. Crops Prod. 2018, 129, 549–560. [Google Scholar] [CrossRef]
  34. Gascó, G.; Cely, P.; Paz-Ferreiro, J.; Plaza, C.; Méndez, A. Relation between biochar properties and effects on seed germination and plant development. Biol. Agric. Hortic. 2016, 32, 237–247. [Google Scholar] [CrossRef]
  35. Sánchez-Monedero, M.A.; Roig, A.; Cegarra, J.; Bernal, M.P.; Noguera, P.; Abad, M.; Antón, A. Composts as Media Constit-uents for Vegetable Transplant Production. Compost Sci. Util. 2004, 12, 161–168. [Google Scholar] [CrossRef]
  36. Lazcano, C.; Arnold, J.; Tato, A.; Zaller, J.; Domínguez, J. Compost and vermicompost as nursery pot components: Effects on tomato plant growth and morphology. Span. J. Agric. Res. 2009, 7, 944–951. [Google Scholar] [CrossRef]
  37. Rombel, A.; Krasucka, P.; Oleszczuk, P. Sustainable biochar-based soil fertilizers and amendments as a new trend in biochar research. Sci. Total. Environ. 2022, 816, 151588. [Google Scholar] [CrossRef]
  38. Atzori, G.; Pane, C.; Zaccardelli, M.; Cacini, S.; Massa, D. The Role of Peat-Free Organic Substrates in the Sustainable Man-agement of Soilless Cultivations. Agronomy 2021, 11, 1236. [Google Scholar] [CrossRef]
  39. Römheld, V.; Kirkby, E.A. Research on potassium in agriculture: Needs and prospects. Plant Soil 2010, 335, 155–180. [Google Scholar] [CrossRef]
  40. Yang, Z.; Muhayodin, F.; Larsen, O.; Miao, H.; Xue, B.; Rotter, V. A Review of Composting Process Models of Organic Solid Waste with a Focus on the Fates of C, N, P, and K. Processes 2021, 9, 473. [Google Scholar] [CrossRef]
  41. Yan, Z.; Eziz, A.; Tian, D.; Li, X.; Hou, X.; Peng, H.; Han, W.; Guo, Y.; Fang, J. Biomass Allocation in Response to Nitrogen and Phosphorus Availability: Insight from Experimental Manipulations of Arabidopsis thaliana. Front. Plant Sci. 2019, 10, 598. [Google Scholar] [CrossRef]
  42. Grafmüller, J.; Schmidt, H.-P.; Kray, D.; Hagemann, N. Root-Zone Amendments of Biochar-Based Fertilizers: Yield Increases of White Cabbage in Temperate Climate. Horticulturae 2022, 8, 307. [Google Scholar] [CrossRef]
  43. Zawadzińska, A.; Salachna, P.; Nowak, J.S.; Kowalczyk, W.; Piechocki, R.; Łopusiewicz, Ł.; Pietrak, A. Compost Based on Pulp and Paper Mill Sludge, Fruit-Vegetable Waste, Mushroom Spent Substrate and Rye Straw Improves Yield and Nutritional Value of Tomato. Agronomy 2022, 12, 13. [Google Scholar] [CrossRef]
  44. Xiang, Y.; Deng, Q.; Duan, H.; Guo, Y. Effects of biochar application on root traits: A meta-analysis. GCB Bioenergy 2017, 9, 1563–1572. [Google Scholar] [CrossRef]
  45. Farhangi-Abriz, S.; Torabian, S. Biochar Increased Plant Growth-Promoting Hormones and Helped to Alleviates Salt Stress in Common Bean Seedlings. J. Plant Growth Regul. 2017, 37, 591–601. [Google Scholar] [CrossRef]
  46. Guardiola, J.L. Plant hormones. Physiology, biochemistry and molecular biology. Sci. Hortic. 1996, 66, 267–270. [Google Scholar] [CrossRef]
  47. Hagemann, N.; Joseph, S.; Schmidt, H.-P.; Kammann, C.I.; Harter, J.; Borch, T.; Young, R.B.; Varga, K.; Taherymoosavi, S.; Elliott, K.W.; et al. Organic coating on biochar explains its nutrient retention and stimulation of soil fertility. Nat. Commun. 2017, 8, 1089. [Google Scholar] [CrossRef]
  48. Vaccari, F.; Maienza, A.; Miglietta, F.; Baronti, S.; Di Lonardo, S.; Giagnoni, L.; Lagomarsino, A.; Pozzi, A.; Pusceddu, E.; Ranieri, R.; et al. Biochar stimulates plant growth but not fruit yield of processing tomato in a fertile soil. Agric. Ecosyst. Environ. 2015, 207, 163–170. [Google Scholar] [CrossRef]
  49. Širić, I.; Eid, E.M.; Taher, M.A.; El-Morsy, M.H.E.; Osman, H.E.M.; Kumar, P.; Adelodun, B.; Fayssal, S.A.; Mioč, B.; Andabaka, Ž.; et al. Combined Use of Spent Mushroom Substrate Biochar and PGPR Improves Growth, Yield, and Biochemical Response of Cauliflower (Brassica oleracea var. botrytis): A Preliminary Study on Greenhouse Cultivation. Horticulturae 2022, 8, 830. [Google Scholar] [CrossRef]
  50. Massa, D.; Bonetti, A.; Cacini, S.; Faraloni, C.; Prisa, D.; Tuccio, L.; Petruccelli, R. Soilless tomato grown under nutritional stress increases green biomass but not yield or quality in presence of biochar as growing medium. Hortic. Environ. Biotechnol. 2019, 60, 871–881. [Google Scholar] [CrossRef]
Figure 1. Mean ± standard deviations of the height of the seedlings grown in CP BC (a) and CP (b) over 49 days. Different letters indicate significant differences among treatments at a p < 0.05 level.
Figure 1. Mean ± standard deviations of the height of the seedlings grown in CP BC (a) and CP (b) over 49 days. Different letters indicate significant differences among treatments at a p < 0.05 level.
Horticulturae 09 00089 g001
Figure 2. Height ± standard deviations of plants grown in (a) CP-BC and (b) CP substrates. Different letters indicate significant differences among treatments at a p < 0.05 level.
Figure 2. Height ± standard deviations of plants grown in (a) CP-BC and (b) CP substrates. Different letters indicate significant differences among treatments at a p < 0.05 level.
Horticulturae 09 00089 g002
Figure 3. Mean values ± standard deviations of the (a) number of tomatoes per plant, (b) fresh biomass production (g), (c) average weight per tomato (g), (d) dry/fresh weight ratio (%). Different letters indicate significant differences among treatments at a p < 0.05 level.
Figure 3. Mean values ± standard deviations of the (a) number of tomatoes per plant, (b) fresh biomass production (g), (c) average weight per tomato (g), (d) dry/fresh weight ratio (%). Different letters indicate significant differences among treatments at a p < 0.05 level.
Horticulturae 09 00089 g003
Table 1. Rates of substrates and number of replicates (n) used for the plantlet development and fruiting experiments.
Table 1. Rates of substrates and number of replicates (n) used for the plantlet development and fruiting experiments.
SubstratePeat
(% v:v)
Compost
(% v:v)
Compost + Biochar (% v:v)n for Plantlet Developmentn for Plant Fruiting
Control1000055
CP-BC 1000010056
CP-BC 505005056
CP-BC 307003056
CP-BC 158501555
CP 1000100056
CP 505050056
CP 307030056
CP 158515055
CP-BC: biochar-blended compost. CP: compost. The percentages of peat substitution (v:v) with compost materials were 100, 50, 30, and 15%.
Table 2. Main physical and chemical characteristic of the growing media (mean values ± standard deviations, N = 3). Different letters indicate significant differences among treatments at a p < 0.05 level.
Table 2. Main physical and chemical characteristic of the growing media (mean values ± standard deviations, N = 3). Different letters indicate significant differences among treatments at a p < 0.05 level.
UnitsControlCP-BC
100
CP-BC
50
CP-BC
30
CP-BC
15
CP
100
CP
50
CP
30
CP
15
pH 5.4 ± 0.005 h8.6 ± 0.04 a6.9 ± 0.01 b6.7 ± 0.02 c6.1 ± 0.03 f6.8 ± 0.01 b6.4 ± 0.03 d6.2 ± 0.02 e5.8 ± 0.01 g
EC(dS m−1)0.5 ± 0.003 b1.1 ± 0.01 b0.8 ± 0.005 d0.6 ± 0.002 e0.8 ± 0.001 c2.02 ± 0.01 a1.1 ± 0.002 b0.8 ± 0.001 d0.8 ± 0.008 d
Bulk density(g cm−3)0.33 ± 0.01 a0.21 ± 0.02 b0.20 ± 0.01 b0.16 ± 0.003 c,d0.19 ± 0.001 b,c0.21 ± 0.001 b0.14 ± 0.005 d,e0.14 ± 0.01 d,e0.12 ± 0.005 e
WHC(% of DW)322.7 ± 16.5 a,b,c269.5 ± 49.2 b,c278.2 ± 39.7 b,c303.9 ± 20.4 a,b,c345.9 ± 12.9 a,b357.9 ± 56.4 a,b255.7 ± 20.9 c282.2 ± 15.1 a,b,c371.3 ± 6.5 a
Ctotg kg−1326.7 ± 1 f612.2 ± 2.2 a438.4 ± 7.3 d514.8 ± 17.2 b496.4 ± 0.5 b,c490.4 ± 2.2 c437.2 ± 3.4 d,e419.5 ± 3.41 e495.7 ± 0.1 c
Ntotg kg−112 ± 0.1 d22.5 ± 0.2 b,c16.8 ± 0.3 c,d20.9 ± 1.4 b,c20.1 ± 0.4 b,c36.9 ± 7.3 a27.3 ± 0.7 b19.0 ± 0.6 c,d20.7 ± 0.9 b,c
C/N 27.4 ± 0.1 a27.2 ± 0.1 a26.04 ± 0.3 a24.7 ± 2.3 a,b24.7 ± 0.4 a,b13.7 ± 2.7 c16.02 ± 0.4 c22.1 ± 0.8 b24 ± 1 a,b
NO3mg kg−15.9 ± 0.7 b1.4 ± 0.1 c1.8 ± 0.1 c1.3 ± 0.1 c1.7 ± 0.01 c12.1 ± 1.8 a2.9 ± 0.4 b2.1 ± 0.2 c1.3 ± 0.1 c
NH4+mg kg−10.01 ± 0.002 b0.09 ± 0.02 b0.02 ± 0.002 b0.01 ± 0.004 b0.01 ± 0.007 b2.5 ± 0.09 b0.01 ± 0.003 b0.01 ± 0.006 b0.004 ± 0.00 b
Pg kg−10.41.51.21.10.73.62.01.20.8
Kg kg−13.37.97.14.82.416.611.17.52.3
Cag kg−110.715.617.624.025.513.215.615.823.7
Feg kg−17.93.58.52.62.30.90.99.81.9
Mgg kg−13.13.54.44.24.13.74.64.13.7
Alg kg−111.32.57.71.71.30.810.310.51.0
Mnmg kg−159.496.05131.458.137.2561.65117.6597.7031.35
Namg kg−1178.3177.5206.6174.9148.4229.4216.2195.6144.6
Cdmg kg−1 (0.7) *n.d.n.d.n.d.0.7n.d.n.d.1.20 n.d.0.70
Cumg kg−1 (70) *2024.931.626.123.162.3049.4535.3026.40
Nimg kg−1 (25) *12.646.211.93.810.55.0512.6018.854.95
Pbmg kg−1 (45) *6.460.654.81.22.13.057.408.651.20
Znmg kg−1 (200) *24.5829.4539.724.226.849.0551.0040.1519.65
Cr (Total)mg kg−1 (70) *6.1548.0534.326.518.823.9015.9524.6517.40
* Safety limits established by the Spanish regulation on compost (Class A compost). Safety limit of Cd concentration for “Class B” compost is 2 mg kg−1. n.d.: not detectable. CP-BC: biochar-blended compost. CP: compost. The percentages of peat substitution (v:v) with compost materials were 100, 50, 30, and 15%.
Table 3. Germination index (±standard deviations) of the co-composted substrates.
Table 3. Germination index (±standard deviations) of the co-composted substrates.
ControlCP-BC
100
CP-BC
50
CP-BC
30
CP-BC
15
CP
100
CP
50
CP
30
CP
15
Germination Index114.7
± 9.0
102.9
± 10.0
109.5
± 15.2
106.5
± 11.0
331.4
± 8.5
114.4
± 5.5
85.7
± 16.8
131.4
± 14.9
271.4
± 4.7
ClassificationPhyto-
stimulant
Phyto-
stimulant
Phyto-
stimulant
Phyto-
stimulant
Phyto-
stimulant
Phyto-
stimulant
No
phytotoxic
Phyto-
stimulant
Phyto-
stimulant
CP-BC: biochar-blended compost. CP: compost. The percentages of peat substitution (v:v) with compost materials were 100, 50, 30, and 15%.
Table 4. Mean values ± standard deviations of survival rates (%), above- and below-ground biomass (g), and above/below-ground ratio (%) of seedlings grown in CP-BC and CP substrates. Different letters indicate significant differences among treatments at a p < 0.05 level.
Table 4. Mean values ± standard deviations of survival rates (%), above- and below-ground biomass (g), and above/below-ground ratio (%) of seedlings grown in CP-BC and CP substrates. Different letters indicate significant differences among treatments at a p < 0.05 level.
ControlCP-BC
100
CP-BC
50
CP-BC
30
CP-BC
15
CP
100
CP
50
CP
30
CP
15
Survival rates (%)80601001001000100100100
Above-ground
biomass (g)
7.5 ± 0.4 a1.7 ± 1.3 b1.2 ± 0.9 b0.5 ± 0.2 b1.7 ± 0.6 b-1.3 ± 0.2 b1.0 ± 0.8 b1.7 ± 0.6 b
Below-ground
biomass (g)
3.4 ± 0.9 a0.6 ± 0.5 b0.7 ± 0.1 b0.2 ± 0.1 b0.7 ± 0.1 b-0.5 ± 0.2 b0.4 ± 0.3 b1.1 ± 0.6 b
Above/below-ground ratio2.3 ± 0.63.5 ± 0.61.7 ± 1.32.3 ± 0.82.5 ± 0.6-2.7 ± 0.92.4 ± 0.51.8 ± 0.6
CP-BC: biochar-blended compost. CP: compost. The percentages of peat substitution (v:v) with compost materials were 100, 50, 30, and 15%.
Table 5. Mean values ± standard deviations of survival rates (%), below-ground biomass (g), dry/fresh below-ground ratio (%) of plants grown in CP-BC and CP substrates. Different letters indicate significant differences among treatments at a p < 0.05 level.
Table 5. Mean values ± standard deviations of survival rates (%), below-ground biomass (g), dry/fresh below-ground ratio (%) of plants grown in CP-BC and CP substrates. Different letters indicate significant differences among treatments at a p < 0.05 level.
ControlCP-BC
100
CP-BC
50
CP-BC
30
CP-BC
15
CP
100
CP
50
CP
30
CP
15
Survival rates (%)100100100100100100100100100
Below-ground biomass (g)37.6 ± 5.0 b26.4 ± 6.0 b,c14.0 ± 5.3 c,d38.0 ± 8.7 b53.7 ± 9.7 a11.6 ± 6.8 d30.1 ± 5.9 b37.6 ± 6.4 b51.7 ± 2.8 a
Dry/Fresh
below-ground
ratio
12.1 ± 1.6 b10.8 ± 2.3 b21.8 ± 7.9 a11.2 ± 1.7 b9.6 ± 0.6 b20.4 ± 4.3 a12.5 ± 1.7 b11.3 ± 1.6 b12.1 ± 0.9 b
CP-BC: biochar-blended compost. CP: compost. The percentages of peat substitution (v:v) with compost materials were 100, 50, 30, and 15%.
Disclaimer/Publisher’s Note: The statements, opinions and data contained in all publications are solely those of the individual author(s) and contributor(s) and not of MDPI and/or the editor(s). MDPI and/or the editor(s) disclaim responsibility for any injury to people or property resulting from any ideas, methods, instructions or products referred to in the content.

Share and Cite

MDPI and ACS Style

Picca, G.; Goñi-Urtiaga, A.; Gomez-Ruano, C.; Plaza, C.; Panettieri, M. Suitability of Co-Composted Biochar with Spent Coffee Grounds Substrate for Tomato (Solanum lycopersicum) Fruiting Stage. Horticulturae 2023, 9, 89. https://doi.org/10.3390/horticulturae9010089

AMA Style

Picca G, Goñi-Urtiaga A, Gomez-Ruano C, Plaza C, Panettieri M. Suitability of Co-Composted Biochar with Spent Coffee Grounds Substrate for Tomato (Solanum lycopersicum) Fruiting Stage. Horticulturae. 2023; 9(1):89. https://doi.org/10.3390/horticulturae9010089

Chicago/Turabian Style

Picca, Giuseppe, Asier Goñi-Urtiaga, Cristina Gomez-Ruano, César Plaza, and Marco Panettieri. 2023. "Suitability of Co-Composted Biochar with Spent Coffee Grounds Substrate for Tomato (Solanum lycopersicum) Fruiting Stage" Horticulturae 9, no. 1: 89. https://doi.org/10.3390/horticulturae9010089

APA Style

Picca, G., Goñi-Urtiaga, A., Gomez-Ruano, C., Plaza, C., & Panettieri, M. (2023). Suitability of Co-Composted Biochar with Spent Coffee Grounds Substrate for Tomato (Solanum lycopersicum) Fruiting Stage. Horticulturae, 9(1), 89. https://doi.org/10.3390/horticulturae9010089

Note that from the first issue of 2016, this journal uses article numbers instead of page numbers. See further details here.

Article Metrics

Back to TopTop