Different Responses to NaCl vs. NaHCO3 Stress in Three Limonium Species: Linking Seed Phenotype to Physiological Tolerance
Abstract
1. Introduction
2. Materials and Methods
2.1. Plant Materials
2.2. Seed Morphometric Analysis
2.3. Salt and Alkali Stress Experiment
2.4. Indicators of Responses to Salt and Alkali Stress
2.5. Data Analysis
3. Results
3.1. Seed Phenotypic Traits of the Three Limonium Species
3.2. Saline and Alkaline Stress Responses
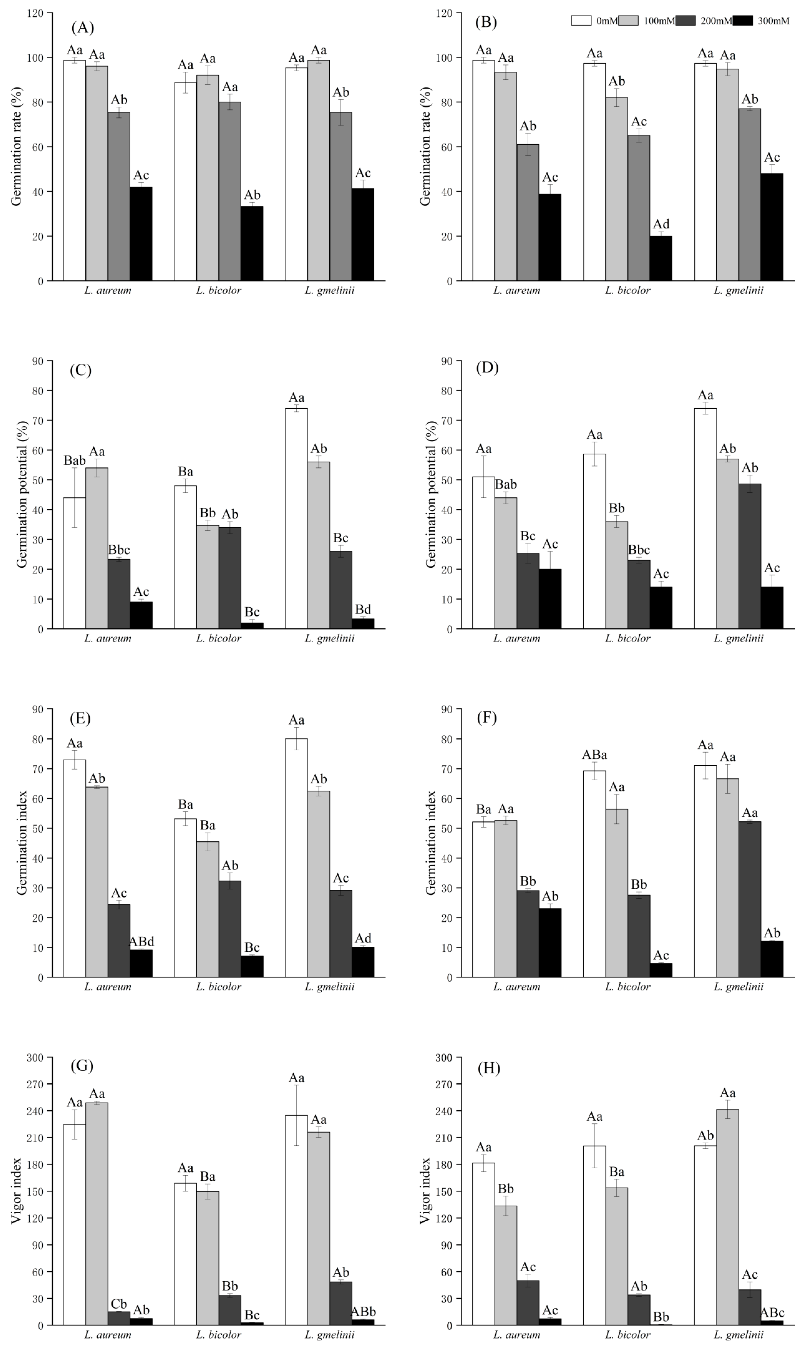
3.2.1. Effects of Salt Stress and Alkali Stress on Seed Germination of the Three Limonium Species
3.2.2. Effects of Saline and Alkali Stress on Morphological Characteristics of Seedlings
3.2.3. Dynamic Changes in Na+ and K+ Contents Under Saline and Alkali Stress
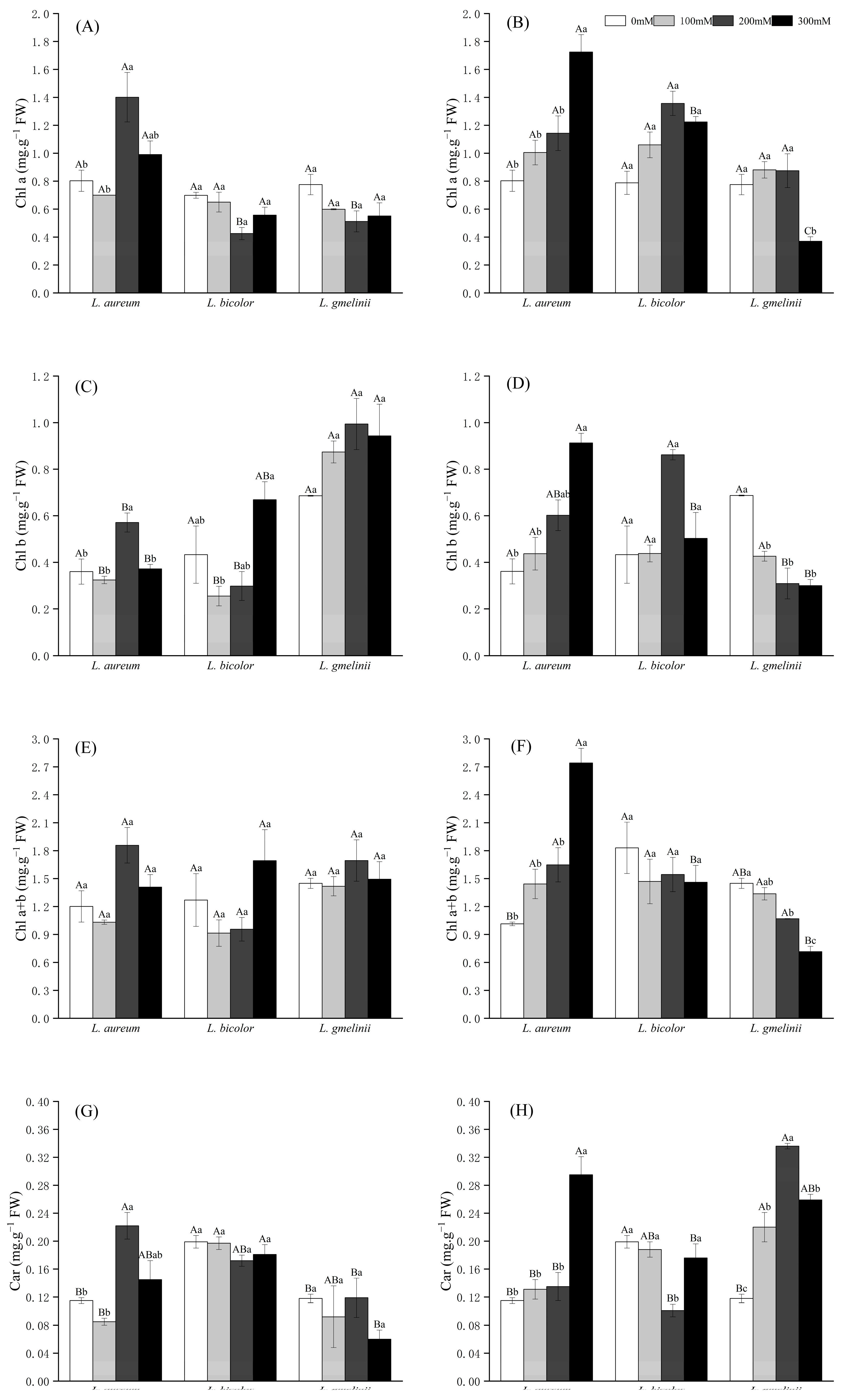
3.2.4. Effects of Saline and Alkali Stress on Photosynthetic Pigment Contents
3.2.5. Response of Membrane Lipid Peroxidation (MDA) to Saline and Alkali Stress
3.2.6. Changes in Osmotic Adjustment Substances in Response to Saline and Alkali Stress
3.2.7. Correlation Analysis of NaCl and NaHCO3 Stresses on Germination, Growth, and Physiological–Biochemical Parameters
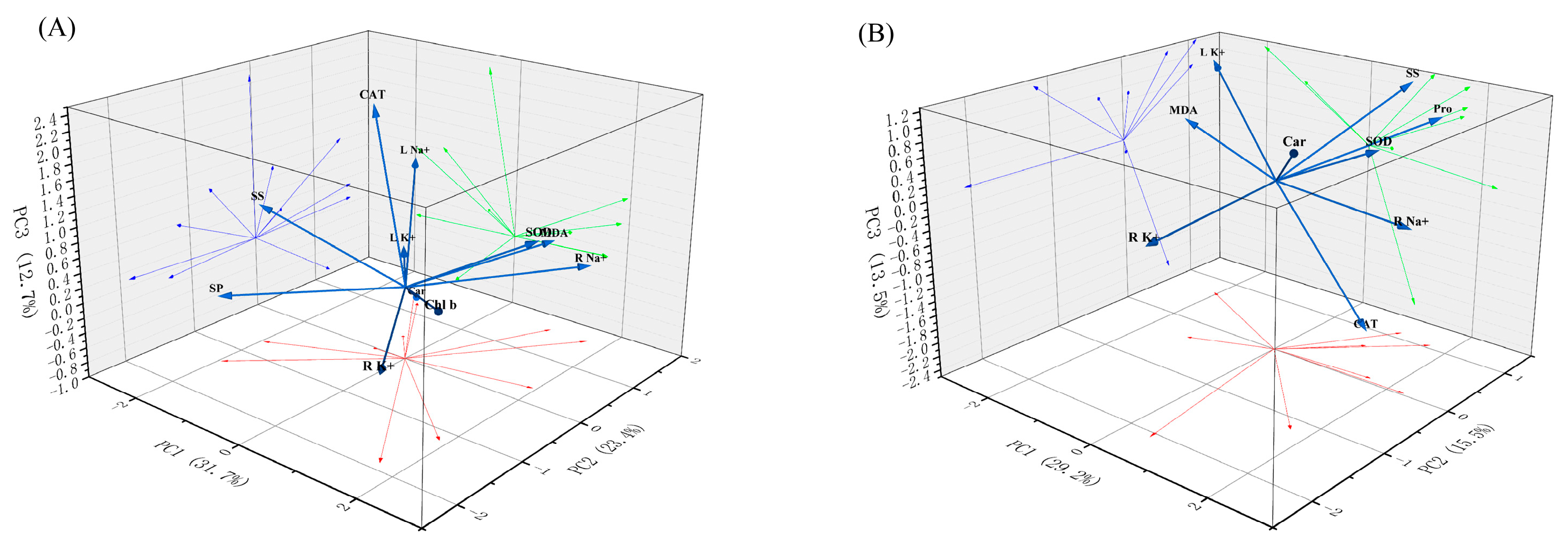
3.2.8. Principal Component Analysis of NaCl and NaHCO3 Stresses on Biochemical Parameters
4. Discussion
5. Conclusions
Author Contributions
Funding
Data Availability Statement
Acknowledgments
Conflicts of Interest
Abbreviations
| TGW | Thousand-grain weight |
| SL | Seed length |
| SW | Seed width |
| ST | Seed thickness |
| SLR | Seed length-to-width ratio |
| I | Shape index |
| SA | Seed area |
| SP | Seed perimeter |
| GR | Germination rate |
| GP | Germination potential |
| GI | Germination index |
| VI | Vigor index |
| STI | Salt Tolerance Index |
| RFW | Root fresh weight |
| LFW | Leaf fresh weight |
| RDW | Root dry weight |
| LDW | Leaf dry weight |
| TB | Total biomass |
| L-Na+ | Leaf sodium ion content |
| L-K+ | Leaf potassium ion content |
| R-Na+ | Root sodium ion content |
| R-K+ | Root potassium ion content |
| Chl a | Chlorophyll a |
| Chl b | Chlorophyll b |
| Chl a + b | Total chlorophyll |
| Car | Carotenoids |
| MDA | Malondialdehyde |
| SP | Soluble protein |
| SS | Soluble sugar |
| Pro | Proline |
| SOD | Superoxide dismutase |
| CAT | Catalase |
| PCA | Principal component analysis |
References
- Litalien, A.; Zeeb, B. Curing the earth: A review of anthropogenic soil salinization and plant-based strategies for sustainable mitigation. Sci. Total Environ. 2020, 698, 134235. [Google Scholar] [CrossRef]
- Wang, J.; Yao, L.; Li, Y.; Meng, Y.; Ma, X.; Lai, Y.; Si, E.; Ren, P.; Yang, K.; Shang, X.; et al. Comparative proteomic analysis of cultured suspension cells of the halophyte Halogeton glomeratus by iTRAQ provides insights into response mechanisms to salt stress. Front. Plant Sci. 2016, 7, 110. [Google Scholar] [CrossRef]
- Rao, P.S.; Mishra, B.N.; Gupta, S.R. Effects of soil salinity and alkalinity on grain quality of tolerant, semi-tolerant and sensitive rice genotypes. Rice Sci. 2013, 20, 284–291. [Google Scholar] [CrossRef]
- Hu, Y.; Schmidhalter, U. Opportunity and challenges of phenotyping plant salt tolerance. Trends Plant Sci. 2023, 28, 701–713. [Google Scholar] [CrossRef]
- Mann, A.; Lata, C.; Kumar, N.; Kumar, A.; Kumar, A.; Sheoran, P. Halophytes as new model plant species for salt tolerance strategies. Front. Plant Sci. 2023, 14, 1137211. [Google Scholar] [CrossRef]
- Tarolli, P.; Luo, J.; Park, E.; Barcaccia, G.; Masin, R. Soil salinization in agriculture: Mitigation and adaptation strategies combining nature-based solutions and bioengineering. iScience 2024, 27, 108830. [Google Scholar] [CrossRef]
- Dejus, B.; Cacivkins, P.; Gudrā, D.; Dejus, S.; Ustinova, M.; Roga, A.; Strods, M.; Ķibilds, J.; Boikmanis, G.; Ortlova, K.; et al. Wastewater-based prediction of COVID-19 cases using a random forest algorithm with strain prevalence data: A case study of five municipalities in Latvia. Sci. Total Environ. 2023, 906, 164519. [Google Scholar] [CrossRef]
- Tang, L.; Zhan, L.; Han, Y.; Wang, Z.; Dong, L.; Zhang, Z. Microbial community assembly and functional profiles along the soil-root continuum of salt-tolerant Suaeda glauca and Suaeda salsa. Front. Plant Sci. 2023, 14, 1301117. [Google Scholar] [CrossRef]
- Zhao, Y.; Liu, J.; Banerjee, S.; Hartmann, M.; Peng, Y.; Elvers, I.; Zhao, X.; Zhou, Y.; Liu, S.; Wang, C.; et al. Continuous planting of euhalophyte Suaeda salsa enhances microbial diversity and multifunctionality of saline soil. Appl. Environ. Microbiol. 2024, 90, e0235523. [Google Scholar] [CrossRef]
- Imadi, S.R.; Shah, S.W.; Kazi, A.G.; Azooz, M.M.; Ahmad, P. Phytoremediation of Saline Soils for Sustainable Agricultural Productivity. In Plant Metal Interaction; Ahmad, P., Ed.; Elsevier: Amsterdam, The Netherlands, 2016; pp. 455–468. [Google Scholar]
- Cao, Y.B.; Song, H.F.; Zhang, L.Y. New Insight into Plant Saline-Alkali Tolerance Mechanisms and Application to Breeding. Int. J. Mol. Sci. 2022, 23, 16048. [Google Scholar] [CrossRef]
- Sharma, R.K.; Tisarum, C.M.; Kohli, S.K.; Batish, D.R.; Cha-Um, S.P.; Singh, H.P. Inroads into saline-alkaline stress response in plants: Unravelling morphological, physiological, biochemical, and molecular mechanisms. Planta 2024, 259, 130. [Google Scholar] [CrossRef]
- Mo, X.; Li, Y.; Ying, Z.; Wang, X.L. Effects of Sudden Drop in Salinity on Osmotic Pressure Regulation and Antioxidant Defense Mechanism of Scapharca subcrenata. Front. Physiol. 2020, 11, 884. [Google Scholar] [CrossRef] [PubMed]
- Qi, W.; Ma, H.; Li, S.; Wu, H.; Zhao, D. Seed germination and seedling growth in Suaeda salsa (L.) Pall. (Amaranthaceae) demonstrate varying salinity tolerance among different provenances. Biology 2023, 12, 1343. [Google Scholar] [CrossRef] [PubMed]
- Skorupa, M.; Szczepanek, J.; Mazur, J.; Domagalski, K.; Tretyn, A.; Tyburski, J. Salt stress and salt shock differently affect DNA methylation in salt-responsive genes in sugar beet and its wild, halophytic ancestor. PLoS ONE 2021, 16, e0251675. [Google Scholar] [CrossRef] [PubMed]
- Liu, Q.; Yang, Y.; Zhang, X.; Liu, R.; Song, J. Chloride allocation in the euhalophyte Suaeda salsa from different habitats in field and controlled saline conditions. Aquat. Bot. 2020, 164, 103292. [Google Scholar] [CrossRef]
- Wang, J.; Tian, Y.L.; Mu, Z.J.; Bai, C.L. Hot topics and frontier evolution of plant improvement of saline-alkali land—Visual analysis based on VOSviewer. Acta Agrestia Sin. 2023, 31, 2598–2607. [Google Scholar]
- Bhatt, A.; Batista-Silva, W.; Gallacher, D.; Pompelli, M.F. Germination of Cenchrus ciliaris, Pennisetum divisum, and Panicum turgidum is seasonally dependent. Botany 2020, 98, 449–458. [Google Scholar] [CrossRef]
- Hu, J.; He, Y.-Y.; Li, J.; Lü, Z.-L.; Zhang, Y.; Li, Y.; Li, J.; Ming-xu, Z.; Cao, Y.; Zhang, J. Planting halophytes increases the rhizosphere ecosystem multifunctionality via reducing soil salinity. Environ. Res. 2024, 245, 119707. [Google Scholar] [CrossRef]
- Mohamed, E.; Kasem, A.; Gobouri, A.A.; Elkelish, A.; Azab, E. Influence of maternal habitat on salt tolerance during germination and growth in Zygophyllum coccineum. Plants 2020, 9, 1504. [Google Scholar] [CrossRef]
- Zhao, X.; Li, Y.; Liu, Z.; Sun, W.; Zhang, H. Ecological stoichiometry, salt ions and homeostasis characteristics of different types of halophytes and soils. Front. Plant Sci. 2022, 13, 990246. [Google Scholar] [CrossRef]
- Li, J.; Zhang, X.; Liu, Y. The role of phenotypic variation in plant adaptation to environmental stress. Plant Biol. J. 2022. [Google Scholar]
- Gong, H.; Yang, M.; Wang, C.; Tian, C. Leaf phenotypic variation and its response to environmental factors in natural populations of Eucommia ulmoides. BMC Plant Biol. 2023, 23, 583. [Google Scholar] [CrossRef]
- Lepcha, N.; Voss-Fels, K.P.; Snowdon, R.J.; Laitinen, R.A.E. Importance of phenotypic plasticity in crop resilience. J. Exp. Bot. 2024, 75, 670–684. [Google Scholar] [CrossRef]
- Zhai, J.; Xian, X.; Zhang, Z.; Wang, Y. Nano-Zinc Oxide Can Enhance the Tolerance of Apple Rootstock M9-T337 Seedlings to Saline Alkali Stress by Initiating a Variety of Physiological and Biochemical Pathways. Plants 2025, 14, 233. [Google Scholar] [CrossRef]
- Liu, Y.; Wang, S.; Wang, Y.; Liang, Y.; Jiang, M.; Xiao, Z.; Huang, Z.; Jiang, Y. Seed germination ecology of endangered plant Horsfieldia hainanensis Merr. in China. BMC Plant Biol. 2024, 24, 486. [Google Scholar] [CrossRef]
- Wang, L.; Lin, G.B.; Li, Y.Y.; Qu, W.T.; Wang, Y.; Lin, Y.W.; Huang, Y.H.; Li, J.; Chen, Q.; Yang, G.; et al. Phenotype, Biomass, Carbon and Nitrogen Assimilation, and Antioxidant Response of Rapeseed under Salt Stress. Plants 2024, 13, 1488. [Google Scholar] [CrossRef]
- Abid, M.; Rafay, M.; Hussain, T.; Sabir, M.A.; Khalid, M.; Madnee, M.; Makki, H.A.; Qasim, M.; Taha, E.I.; Salem-Bekhit, M.M.; et al. Salinity effects on growth, biomass production, and genetic resources for phytoremediation potential of halophyte species in the desert. Genet. Resour. Crop Evol. 2024, 71, 2144. [Google Scholar] [CrossRef]
- Li, C.; He, R.; Tian, C.Y.; Song, J. Utilization of halophytes in saline agriculture and restoration of contaminated salinized soils from genes to ecosystem: Suaeda salsa as an example. Mar. Pollut. Bull. 2023, 192, 115728. [Google Scholar] [CrossRef]
- Abdellaoui, R.; Elkelish, A.; El-Keblawy, A.; Mighri, H.; Boughalleb, F.; Bakhshandeh, E. Editorial: Halophytes: Salt stress tolerance mechanisms and potential use. Front. Plant Sci. 2023, 14, 1218184. [Google Scholar] [CrossRef]
- Fang, S.W.; Hou, X.X.; Liang, X.M. Response mechanisms of plants under saline–alkali stress. Front. Plant Sci. 2021, 12, 667458. [Google Scholar] [CrossRef]
- Lei, S.; Jia, X.; Zhao, C.; Shao, M. A review of saline-alkali soil improvements in China: Efforts and their impacts on soil properties. Agric. Water Manag. 2025, 317, 109617. [Google Scholar] [CrossRef]
- Xia, X.; Jin, Y.; Zhao, H.; Wang, G.; Huang, D. Optimization and experiment of hot air drying process of Cyperus esculentus seeds. Agriculture 2023, 13, 617. [Google Scholar] [CrossRef]
- Thompson, R.P. Salinity tolerance in halophytes. New Phytol. 1993, 123, 221–235. [Google Scholar] [CrossRef]
- Tian, H.; Liu, H.; Zhang, D.; Hu, M.; Zhang, F.; Ding, S.; Yang, K. Screening of salt tolerance of maize (Zea mays L.) lines using membership function value and GGE biplot analysis. PeerJ 2024, 11, e16838. [Google Scholar] [CrossRef]
- Huynh, T.; Lee, D.J.; Applegate, G.; Lewis, T. Field methods for above and belowground biomass estimation in plantation forests. MethodsX 2020, 7, 101192. [Google Scholar] [CrossRef]
- Wellburn, A.R. The spectral determination of chlorophylls a and b, as well as total carotenoids, using various solvents with spectrophotometers of different resolution. J. Plant Physiol. 1994, 144, 307–313. [Google Scholar] [CrossRef]
- Du, D.; Hu, X.; Song, X.; Xia, X.; Sun, Z.; Lang, M.; Pan, Y.; Zheng, Y.; Pan, Y. SlTPP4 participates in ABA-mediated salt tolerance by enhancing root architecture in Solanum lycopersicum. J. Integr. Agric. 2023, 22, 2874–2888. [Google Scholar] [CrossRef]
- Yemm, E.W.; Willis, A.J. The estimation of carbohydrates in plant extracts by anthrone. Biochem. J. 1954, 57, 508–514. [Google Scholar] [CrossRef]
- Bates, L.S.; Waldren, R.P.; Teare, I.D. Rapid determination of free proline for water-stress studies. Plant Soil 1973, 39, 205–207. [Google Scholar] [CrossRef]
- Song, J.; Chen, M.; Feng, G.; Jia, Y.; Wang, B.; Zhang, F. Effect of salinity on growth, ion accumulation and the roles of ions in osmotic adjustment of two populations of Suaeda salsa. Plant Soil 2009, 314, 133–141. [Google Scholar] [CrossRef]
- Dhindsa, R.S.; Matowe, W. Drought Tolerance in Two Mosses: Correlated with Enzymatic Defence Against Lipid Peroxidation. J. Exp. Bot. 1981, 32, 79–91. [Google Scholar] [CrossRef]
- Miljković, D.; Stefanović, M.; Orlović, S.; Nedić, M.S.; Kešić, L.; Stojnić, S. Wild cherry (Prunus avium L.) leaf shape and size variations in natural populations at different elevations. Alp. Bot. 2019, 129, 163–174. [Google Scholar] [CrossRef]
- Dessì, L.; Cuena-Lombraña, A.; Podda, L.; Porceddu, M.; Fois, M.; Fausti, L.; Piazza, C.; Bacchetta, G. Effects of temperature and salinity on the seed germination of Limonium strictissimum (Salzm.) Arrigoni in the Mediterranean Basin. J. Arid Land 2025, 17, 259–270. [Google Scholar] [CrossRef]
- Chen, Z.; Wang, K.; Yao, J.; Li, G.; Ma, Y.; Si, H.; Yang, J.; Li, Y.; Shang, Y.; Meng, Y.; et al. Combined proteomic and metabolomic analysis of the molecular mechanism underlying the response to salt stress during seed germination in barley. Int. J. Mol. Sci. 2022, 23, 10515. [Google Scholar] [CrossRef]
- Adhikari, B.; Olorunwa, O.J.; Barickman, T.C. Seed priming enhances seed germination and morphological traits of Lactuca sativa L. under salt stress. Seeds 2022, 1, 74–86. [Google Scholar] [CrossRef]
- DB62/T 4314-2021; Longzhong Limonium aureum (Longzhong Huanghua Buxuecao). Gansu Provincial Administration for Market Regulation: Lanzhou, China, 2021. Available online: https://m.book118.com/html/2025/0606/8122104000007075.shtm (accessed on 9 December 2025).
- Yang, S.B.; Xu, Y.D.; Tang, Z.F.; Jin, S.G.; Yang, S.H. The impact of alkaline stress on plant growth and its alkaline resistance mechanisms. Int. J. Mol. Sci. 2024, 25, 13719. [Google Scholar] [CrossRef]
- Adolf, V.I.; Jacobsen, S.-E.; Shabala, S. Salt tolerance mechanisms in quinoa (Chenopodium quinoa Willd.). Environ. Exp. Bot. 2012, 92, 43–54. [Google Scholar] [CrossRef]
- Liu, Q.; Peng, B.; Tian, C.Y.; Zhao, Z.Y.; Wang, L.; Wang, S.L. Study on the relationship between germination characteristics of 8 halophytes and NaCl salinity. Acta Ecol. Sin. 2023, 43, 7284–7293. [Google Scholar] [CrossRef]
- Javaid, A.R.; Mahmood, A.K.; Alshaya, D.M.; AlKahtani, M.D.F.; Waheed, A.Z.; Wasaya, A.H.; Khan, M.B.; Naqve, S.A.; Haider, M.S.; Shahid, M.I.; et al. Influence of environmental factors on seed germination and seedling characteristics of perennial ryegrass (Lolium perenne L.). Sci. Rep. 2022, 12, 9522. [Google Scholar] [CrossRef]
- Guo, R.; Zhou, Z.Y.; Cai, R.; Liu, L.; Wang, R.X.; Sun, Y.G.; Wang, D.; Yan, Z.; Guo, C.H. Metabolomic and physiological analysis of alfalfa (Medicago sativa L.) in response to saline and alkaline stress. Plant Physiol. Biochem. 2024, 207, 108338. [Google Scholar] [CrossRef]
- Chen, F.Y.; Movahedi, A.R.; Wei, H.B.; Zhuge, Q.Y.; Sun, W.J. Glycine betaine enhances poplar cultivar (Populus deltoides × Populus euramericana) tolerance to confront NaCl stress. Forests 2024, 15, 1295. [Google Scholar] [CrossRef]
- Datta, T.K.; Kumar, R.S.; Sinha, H.R.; Trivedi, P.K. Small but mighty: Peptides regulating abiotic stress responses in plants. Plant Cell Environ. 2024, 47, 1207–1223. [Google Scholar] [CrossRef]
- Zhu, Z.H.; Zhou, Y.Q.; Liu, X.Y.; Meng, F.X.; Xu, C.H.; Chen, M. Integrated transcriptomic and metabolomic analyses uncover the key pathways of Limonium bicolor in response to salt stress. Plant Biotechnol. J. 2025, 23, 715–730. [Google Scholar] [CrossRef]
- Yuan, F.; Wang, X.; Zhao, B.Q.; Xu, X.J.; Shi, M.; Leng, B.Y.; Dong, X.X.; Lu, C.X.; Feng, Z.T.; Guo, J.R.; et al. The genome of the recretohalophyte Limonium bicolor provides insights into salt gland development and salinity adaptation during terrestrial evolution. Mol. Plant 2022, 15, 1024–1044. [Google Scholar] [CrossRef]
- Yin, D.X.; Wang, D.; Jiang, B.; Song, W.W.; Xin, S.; Chen, Y.; Chen, Y.; Cameron, R.E. Effects of Salinity on Salt Tolerance of Limonium bicolor, a Salt-Secretion Halophyte in the Coastal Areas around Bohai Sea of China. Russ. J. Plant Physiol. 2024, 71, 153. [Google Scholar] [CrossRef]
- Calone, R.M.; Mircea, C.D.; González-Orenga, S.F.; Boscaiu, M.L.; Zuzunaga-Rosas, E.M.; Barbanti, L.G.; Vicente, O.P. Effect of recurrent salt and drought stress treatments on the endangered halophyte Limonium angustebracteatum Erben. Plants 2023, 12, 191. [Google Scholar] [CrossRef]
- Zhao, Y.L.; Ma, X.H.; Li, X.J.; Qi, Y.W. Seed germination demonstrates inter-annual variations in alkaline tolerance: A case study in perennial Leymus chinensis. BMC Plant Biol. 2024, 24, 397. [Google Scholar] [CrossRef]
- Maleki, K.R.; Vandelook, F.M.; Maleki, K.S.; Soltani, E.H. The role of ecological niche and seed mass in macroevolution of germination tolerance to salinity. Ann. Bot. 2025, mcaf199. [Google Scholar] [CrossRef]
- Tracy, S.M.; Black, C.R.; Roberts, J.A.; Mooney, S.J. Exploring the interacting effect of soil texture and bulk density on root system development in tomato (Solanum lycopersicum L.). Environ. Exp. Bot. 2013, 91, 38–47. [Google Scholar] [CrossRef]
- Abebe, H.G.; Tu, Y.J. Impact of salt and alkali stress on forage biomass yield, nutritive value, and animal growth performance: A comprehensive review. Grasses 2024, 3, 355–368. [Google Scholar] [CrossRef]
- Liu, X.B.; Su, S.W. Growth and physiological response of Viola tricolor L. to NaCl and NaHCO3 stress. Plants 2023, 12, 178. [Google Scholar] [CrossRef]
- Xu, B.W.; Cao, L.J.; Zhang, Z.H.; Li, X.M.; Zhao, X.Q.; Wang, X.Y.; Wang, Y.L.; Wu, B.H.; Zhou, W.J.; Lin, C.H.; et al. Physiological effects of combined NaCl and NaHCO3 stress on the seedlings of two maple species. Front. Plant Sci. 2023, 14, 1209999. [Google Scholar] [CrossRef] [PubMed]
- Song, J.H.; Zhao, L.M.; Ma, Y.N.; Cao, X.Q.; An, R.J.; Zhao, J.W.; Ding, H.B.; Wang, H.L.; Li, C.F.; Li, Q.S. Response of seed germination, seedling growth and physiological characteristics to alkali stress in halophyte Suaeda liaotungensis. J. Plant Res. 2024, 137, 1137–1149. [Google Scholar] [CrossRef] [PubMed]
- Zomorrodi, N.; Rezaei Nejad, A.; Mousavi-Fard, S.; Feizi, H.; Nikoloudakis, N.; Fanourakis, D. Efficiency of Sodium and Calcium Chloride in Conferring Cross-Tolerance to Water Deficit in Periwinkle. Horticulturae 2022, 8, 1091. [Google Scholar] [CrossRef]
- Zomorrodi, N.; Rezaei Nejad, A.H.; Mousavi-Fard, S.; Feizi, H.; Tsaniklidis, G.; Fanourakis, D. Potency of Titanium Dioxide Nanoparticles, Sodium Hydrogen Sulfide and Salicylic Acid in Ameliorating the Depressive Effects of Water Deficit on Periwinkle Ornamental Quality. Horticulturae 2022, 8, 675. [Google Scholar] [CrossRef]
- Yu, S.Q.; Yu, L.J.; Hou, Y.M.; Zhang, Y.H.; Guo, W.J.; Xue, Y.F. Contrasting effects of NaCl and NaHCO3 stresses on seed germination, seedling growth, photosynthesis, and osmoregulators of the common bean (Phaseolus vulgaris L.). Agronomy 2019, 9, 409. [Google Scholar] [CrossRef]
- Yin, C.X.; Zhu, Y.C.; Li, M.X.; Wang, T.; Wang, J.Y.; Zhou, H.K.; Lin, Y.J. Research advances of salt exclusion, salt sequestration, salt secretion, and salt signaling regulation in plants. Plant Stress 2025, 17, 100952. [Google Scholar] [CrossRef]
- Lou, T.X.; Lv, S.L.; Wang, J.H.; Wang, D.L.; Lin, K.Q.; Zhang, X.; Zhang, B.; Guo, Z.J.; Yi, Z.; Li, Y.X. Cell size and xylem differentiation regulating genes from Salicornia europaea contribute to plant salt tolerance. Plant Cell Environ. 2024, 47, 2638–2657. [Google Scholar] [CrossRef]
- Zhou, Y.H.; Yue, Y.F.; Liu, J.X.; Zhang, H.B.; Huang, Z.G.; Hua, J.M. Multiomics reveal pivotal roles of sodium translocation and compartmentation in regulating salinity resistance in allotetraploid rapeseed. J. Exp. Bot. 2021, 72, 5687–5708. [Google Scholar] [CrossRef]
- Nie, S.W.; Gong, B.H.; Wen, X.Q.; Qiao, L.J.; Guo, Y.F.; Shi, Q.M. Brassinosteroid enhances cucumber stress tolerance to NaHCO3 by modulating nitrogen metabolism, ionic balance and phytohormonal response. Plants 2024, 14, 80. [Google Scholar] [CrossRef]
- Wang, Y.L.; Chen, Y.H.; Sui, X.Q. Sensitivity and responses of chloroplasts to salt stress in plants. Front. Plant Sci. 2024, 15, 1374086. [Google Scholar] [CrossRef] [PubMed]
- Lu, J.W.; Li, Y.H.; Liu, Y.F.; Chen, Y.M.; Wan, X.Q.; Li, J.B. Salt stress inhibits photosynthesis and destroys chloroplast structure by downregulating chloroplast development-related genes in Robinia pseudoacacia seedlings. Plants 2023, 12, 1283. [Google Scholar] [CrossRef] [PubMed]
- Begum, N.K.; Xiao, X.Q.; Wang, Y.L.; Li, X.M.; Irshad, S.A.; Zhao, S.W. Arbuscular mycorrhizal fungus Rhizophagus irregularis alleviates drought stress in soybean with overexpressing the GmSPL9d gene by promoting photosynthetic apparatus and regulating the antioxidant system. Microbiol. Res. 2023, 273, 127398. [Google Scholar] [CrossRef] [PubMed]
- Li, X.; Shi, X.; Wan, C.; Wang, X.; Ji, X.; Yang, H.; Jin, Y.; Zhang, Y. Maize Endophytic Plant Growth—Promoting Bacteria Peribacillus simplex Can Alleviate Plant Saline and Alkaline Stress. Int. J. Mol. Sci. 2024, 25, 10870. [Google Scholar] [CrossRef]
- Li, J.; Yang, Y.; Sun, K.; Chen, Y.; Chen, X.; Li, X. Exogenous melatonin enhances cold, salt and drought stress tolerance by improving antioxidant defense in tea plant (Camellia sinensis (L.) O. Kuntze). Molecules 2019, 24, 1826. [Google Scholar] [CrossRef]
- Saddique, M.A.B.; Jahan, M.S.; Ali, B.; Saleem, M.H.; Khan, T.U.; Qayyum, M.A.; Al-Hashimi, A.; Alharbi, B.M.; Alghanem, S.M.S.; Hussain, S.T.; et al. Naphthalene acetic acid induced morphological and biochemical alterations in Lagenaria siceraria under alkaline stress. Sci. Rep. 2025, 15, 99455. [Google Scholar] [CrossRef]
- Ramakrishna, S.; Gámez-Arjona, R.; Bellani, M.; Martin-Olmos, A.; Escrig, S.; De Bellis, L.; De Luca, V.; Pardo, J.M.; Quintero, F.J.; Genoud, T.; et al. Elemental cryo-imaging reveals SOS1-dependent vacuolar sodium accumulation. Nature 2025, 637, 1228–1233. [Google Scholar] [CrossRef]
- Zagorščak, M.; Abdelhakim, L.; Rodriguez-Granados, N.Y.; Široká, J.; Ghatak, A.; Bleker, C.; Blejec, A.; Zrimec, J.; Novák, O.; Pěnčík, A.; et al. Integration of Multi-Omics and Deep Phenotyping Provides Novel Insights into Multiple Abiotic Stress Responses in Potato. bioRxiv 2024. [Google Scholar] [CrossRef]
- Kushwaha, P.; Kashyap, P.L.; Bhardwaj, A.K.; Kuppusamy, P.; Srivastava, A.K.; Tiwari, R. Bacterial endophyte mediated plant tolerance to salinity: Growth responses and mechanisms of action. World J. Microbiol. Biotechnol. 2020, 36, 26. [Google Scholar] [CrossRef]
- Zulfiqar, F.; Ashraf, M. Proline alleviates abiotic stress induced oxidative stress in plants. J. Plant Growth Regul. 2022, 42, 4629–4651. [Google Scholar] [CrossRef]
- Balasubramaniam, T.; Shen, G.; Esmaeili, N.; Zhang, H. Plants’ response mechanisms to salinity stress. Plants 2023, 12, 2253. [Google Scholar] [CrossRef] [PubMed]
- Renzetti, M.; Funck, D.; Trovato, M. Proline and ROS: A Unified Mechanism in Plant Development and Stress Response? Plants 2024, 14, 2. [Google Scholar] [CrossRef] [PubMed]
- Yang, Y.; Yao, Y.; Li, Y.; Zhang, Y.; Zhang, X.; Hu, M.; Ding, X.; Bakpa, O.P.; Xie, Y. Trehalose alleviated salt stress in tomato by regulating ROS metabolism, photosynthesis, osmolyte synthesis, and trehalose metabolic pathways. Front. Plant Sci. 2022, 13, 772948. [Google Scholar] [CrossRef]
- Afzal, S.; Chaudhary, N.; Singh, N.K. Role of Soluble Sugars in Metabolism and Sensing Under Abiotic Stress. In Plant Growth Regulators; Aftab, T., Hakeem, K.R., Eds.; Springer: Cham, Switzerland, 2021; pp. 305–334. [Google Scholar] [CrossRef]
- Song, Y.; Yu, L.; Chen, Y.; Feng, Y.; Chen, X.; Zhang, Y.; Zhou, Y.; Meng, Y.; Wang, Y. Response of photosynthetic characteristics and antioxidant system in the leaves of safflower to NaCl and NaHCO3. Plant Cell Rep. 2024, 43, 146. [Google Scholar] [CrossRef] [PubMed]
- Dvořák, P.; Krasylenko, Y.; Zeiner, A.; Šamaj, J.; Takáč, T. Signaling toward reactive oxygen species-scavenging enzymes in plants. Front. Plant Sci. 2020, 11, 618835. [Google Scholar] [CrossRef]
- Wang, Y.B.; Liu, C.D.; Han, G.F.; Wang, Y.H.; Bai, Z.X.; Song, C.L. Reactive oxygen species: Multidimensional regulators of plant adaptation to abiotic stress and development. J. Integr. Plant Biol. 2024, 66, 330–367. [Google Scholar] [CrossRef]
- Qi, J.W.; Luo, X.Y.; Huang, Y.J.; Lu, X.Q.; Zhao, P.F.; Deng, Y.M.; Qiu, R.Z. Molecular mechanism of response and adaptation of antioxidant enzyme system to salt stress in leaves of Gymnocarpos przewalskii. Plants 2023, 12, 3370. [Google Scholar] [CrossRef]
- Sarker, U.K.; Oba, S. The response of salinity stress-induced A. tricolor to growth, anatomy, physiology, non-enzymatic and enzymatic antioxidants. Front. Plant Sci. 2020, 11, 559876. [Google Scholar] [CrossRef]
- Berwal, M.K.; Kumar, R.; Prakash, K.S.; Rai, G.; Hebbar, K. Antioxidant Defense System in Plants Against Abiotic Stress. In Abiotic Stress in Plants; Fahad, S., Saud, S., Chen, Y., Wu, C., Wang, D., Eds.; CRC Press: Boca Raton, FL, USA, 2020; pp. 175–202. [Google Scholar] [CrossRef]
- Zhao, Y.; Ma, J.; Shen, Y.; Zhou, X.; Zheng, S. S-nitrosylation of the transcription factor MYB30 facilitates nitric oxide-promoted seed germination in Arabidopsis. Plant Cell 2024, 36, 367–382. [Google Scholar] [CrossRef]
- Ravi, S.; Foyer, C.H.; Pandey, G.K. The integration of reactive oxygen species (ROS) and calcium signalling in abiotic stress responses. Plant Cell Environ. 2023, 46, 1985–2006. [Google Scholar] [CrossRef]
- Koźmińska, A.; Kamińska, B.; Hanus-Fajerska, E. Sulfur-Oxidizing Bacteria Alleviate Salt and Cadmium Stress in Halophyte Tripolium pannonicum (Jacq.) Dobrocz. Int. J. Mol. Sci. 2024, 25, 2455. [Google Scholar] [CrossRef]
- Liu, G.Y.; Zeng, Y.L.; Li, B.Y.; Wang, X.F.; Jiang, L.W.; Guo, Y. SOS2 Phosphorylates FREE1 to Regulate Multi-Vesicular Body Trafficking and Vacuolar Dynamics under Salt Stress. Plant Cell 2025, 37, koaf012. [Google Scholar] [CrossRef]
- Etesami, H.; Beattie, G.A. Mining Halophytes for Plant Growth-Promoting Halotolerant Bacteria to Enhance the Salinity Tolerance of Non-halophytic Crops. Front. Microbiol. 2018, 9, 148. [Google Scholar] [CrossRef]
- Ali, A.; Ahmad, K.; Kamran, M.; Ashraf, M.; Shabaan, M.; Babar, M.; Zulfiqar, F.; Haider, M.; Ali, S.; Elshikh, M.S. Synergistic Effects of Rhizobacteria and Salicylic Acid on Maize Salt-Stress Tolerance. Plants 2023, 12, 2519. [Google Scholar] [CrossRef]
- Verma, P.; Kaushal, S.; Sidhu, G. Harnessing biological synthesis: Zinc oxide nanoparticles for plant biotic stress management. Front. Chem. 2024, 12, 1432469. [Google Scholar] [CrossRef]













| Species | TGW/g | SL/mm | SW/mm | ST/mm | SLR | I | SA/cm2 | SP/cm |
|---|---|---|---|---|---|---|---|---|
| L. aureum | 0.684 ± 0.063 a | 2.457 ± 0.116 a | 0.777 ± 0.062 a | 0.733 ± 0.099 a | 3.169 ± 0.154 a | 0.107 ± 0.002 a | 0.017 ± 0.003 a | 0.621 ± 0.044 a |
| L. bicolor | 0.470 ± 0.070 b | 1.937 ± 0.108 b | 0.674 ± 0.039 a | 0.634 ± 0.069 a | 2.875 ± 0.091 a | 0.098 ± 0.001 b | 0.015 ± 0.004 b | 0.590 ± 0.066 b |
| L. gmelinii | 0.411 ± 0.021 b | 2.103 ± 0.065 b | 0.727 ± 0.046 a | 0.680 ± 0.111 a | 2.902 ± 0.204 a | 0.099 ± 0.004 b | 0.016 ± 0.007 b | 0.530 ± 0.087 b |
| Index | Treatment (mM) | L. aureum | L. bicolor | L. gmelinii |
|---|---|---|---|---|
| Leaf fresh weight/g | 0 | 3.75 ± 0.06 Aa | 2.68 ± 0.24 Ba | 4.55 ± 0.16 Aa |
| NaCl 100 | 14.18 ± 0.06 Aa | 2.42 ± 0.26 Ba | 3.53 ± 0.26 ABb | |
| NaCl 200 | 3.24 ± 0.09 Ab | 2.24 ± 0.09 Ba | 2.68 ± 0.20 ABbc | |
| NaCl 300 | 2.33 ± 0.09 Ac | 2.05 ± 0.09 Aa | 2.37 ± 0.13 Ac | |
| NaHCO3 100 | 3.05 ± 0.06 Aa | 2.17 ± 0.03 Bc | 2.58 ± 0.28 ABab | |
| NaHCO3 200 | 2.58 ± 0.10 Aa | 2.44 ± 0.09 Ba | 2.50 ± 0.16 Aa | |
| NaHCO3 300 | 2.46 ± 0.19 Aa | 2.05 ± 0.05 Aa | 2.33 ± 0.02 Aa | |
| Root fresh weight/g | 0 | 2.87 ± 0.06 Aa | 2.54 ± 0.12 Aa | 2.30 ± 0.21 Aab |
| NaCl 100 | 2.45 ± 0.30 Aa | 2.73 ± 0.30 Aab | 2.06 ± 0.11 Aab | |
| NaCl 200 | 2.53 ± 0.14 Aa | 2.50 ± 0.14 Aab | 2.48 ± 0.07 Aa | |
| NaCl 300 | 2.60 ± 0.38 Aa | 1.68 ± 0.37 Ab | 1.79 ± 0.10 Ab | |
| NaHCO3 100 | 2.55 ± 0.01 Bb | 2.88 ± 0.03 Aa | 1.71 ± 0.04 Cc | |
| NaHCO3 200 | 2.49 ± 0.04 Ba | 3.58 ± 0.17 Ab | 2.51 ± 0.04 Bc | |
| NaHCO3 300 | 1.60 ± 0.15 Ba | 2.31 ± 0.07 ABa | 2.57 ± 0.20 Aa | |
| Leaf dry weight/g | 0 | 0.57 ± 0.03 Aa | 0.53 ± 0.05 Aa | 0.68 ± 0.04 Aa |
| NaCl 100 | 0.53 ± 0.03 Aab | 0.32 ± 0.01 Bb | 0.59 ± 0.05 Aab | |
| NaCl 200 | 0.51 ± 0.03 Aab | 0.30 ± 0.01 Abc | 0.55 ± 0.14 Aab | |
| NaCl 300 | 0.37 ± 0.04 Ab | 0.21 ± 0.01 Bc | 0.38 ± 0.04 Ab | |
| NaHCO3 100 | 0.56 ± 0.05 Aa | 0.42 ± 0.02 Aa | 0.51 ± 0.06 Aa | |
| NaHCO3 200 | 0.37 ± 0.03 Aa | 0.37 ± 0.03 Aa | 0.34 ± 0.04 Aa | |
| NaHCO3 300 | 0.32 ± 0.1 Aa | 0.26 ± 0.02 Aa | 0.32 ± 0.01 Aa | |
| Root dry weight/g | 0 | 0.11 ± 0.01 Ba | 0.09 ± 0.01 Ba | 0.18 ± 0.01 Aa |
| NaCl 100 | 0.08 ± 0.01 Ba | 0.07 ± 0.01 Ba | 0.15 ± 0.02 Aab | |
| NaCl 200 | 0.10 ± 0.01 Aa | 0.07 ± 0.01 Aa | 0.12 ± 0.01 Aab | |
| NaCl 300 | 0.09 ± 0.01 ABa | 0.06 ± 0.01 Ba | 0.10 ± 0.01 Ab | |
| NaHCO3 100 | 0.09 ± 0.01 Ab | 0.05 ± 0.01 Ba | 0.08 ± 0.04 ABc | |
| NaHCO3 200 | 0.10 ± 0.01 Aa | 0.05 ± 0.01 Aa | 0.10 ± 0.01 Aa | |
| NaHCO3 300 | 0.09 ± 0.01 Ab | 0.06 ± 0.01 Bc | 0.10 ± 0.01 Aa | |
| Total biomass/g·m−2 | 0 | 0.69 ± 0.04 Aa | 0.62 ± 0.06 Aa | 0.81 ± 0.10 Aa |
| NaCl 100 | 0.63 ± 0.05 Aab | 0.40 ± 0.02 Bb | 0.65 ± 0.01 Aab | |
| NaCl 200 | 0.61 ± 0.05 Aab | 0.36 ± 0.01 Bbc | 0.47 ± 0.04 ABb | |
| NaCl 300 | 0.46 ± 0.04 Ab | 0.27 ± 0.01 Bc | 0.49 ± 0.04 Ab | |
| NaHCO3 100 | 0.66 ± 0.05 ABab | 0.47 ± 0.02 Bc | 0.70 ± 0.05 Aa | |
| NaHCO3 200 | 0.47 ± 0.36 Aa | 0.44 ± 0.02 Aa | 0.42 ± 0.01 Aa | |
| NaHCO3 300 | 0.50 ± 0.10 Aa | 0.34 ± 0.03 Aa | 0.40 ± 0.01 Aa |
| Stress Types | Kaiser–Meyer–Olkin Measure of Sampling Adequacy | Bartlett’s Test of Sphericity | ||
|---|---|---|---|---|
| Approx. Chi-Square | df | Sig. | ||
| NaCl | 0.615 | 202.679 | 55 | 0.000 |
| NaHCO3 | 0.604 | 61.844 | 36 | 0.005 |
| Traits | Component | |||
|---|---|---|---|---|
| 1 | 2 | 3 | 4 | |
| Chl b | 0.37 | −0.289 | 0.19 | −0.016 |
| Car | −0.223 | 0.307 | −0.299 | 0.236 |
| Leaf Na+ | −0.283 | 0.362 | 0.333 | 0.02 |
| Root K+ | 0.328 | −0.46 | 0.028 | 0.043 |
| Root Na+ | 0.332 | 0.405 | 0.026 | 0.132 |
| MDA | 0.205 | 0.404 | 0.093 | 0.169 |
| SS | −0.388 | −0.168 | 0.3 | 0.147 |
| SP | −0.388 | −0.327 | −0.031 | 0.214 |
| SOD | 0.385 | 0.078 | 0.307 | 0.076 |
| CAT | −0.113 | −0.004 | 0.748 | 0.095 |
| Eigenvalue | 3.486 | 2.573 | 1.395 | 1.027 |
| % of Variance | 31.687 | 23.391 | 12.680 | 9.333 |
| Cumulative % | 31.687 | 55.078 | 67.757 | 77.090 |
| Traits | Component | |||
|---|---|---|---|---|
| 1 | 2 | 3 | 4 | |
| Car | 0.366 | −0.39 | 0.344 | 0.109 |
| Leaf K+ | −0.442 | 0.227 | 0.348 | 0.309 |
| Root K+ | 0.095 | −0.686 | 0.011 | 0.343 |
| Root Na+ | 0.485 | 0.011 | −0.057 | −0.401 |
| Pro | 0.362 | 0.354 | 0.256 | −0.21 |
| MDA | −0.269 | −0.114 | 0.225 | −0.546 |
| SS | 0.238 | 0.374 | 0.368 | 0.446 |
| SOD | 0.352 | 0.03 | 0.215 | 0.078 |
| CAT | 0.207 | 0.215 | −0.678 | 0.259 |
| Eigenvalue | 2.625 | 1.394 | 1.214 | 1.143 |
| % of Variance | 29.172 | 15.492 | 13.488 | 12.696 |
| Cumulative % | 29.172 | 44.664 | 58.151 | 70.847 |
| Species | NaCl Concentration | Scores of PC1 | Scores of PC2 | Scores of PC3 | Total Scores | Ranking |
|---|---|---|---|---|---|---|
| L. aureum | 0 | −22.06 | −7.329 | 9.000 | −9.490 | 9 |
| 100 | 0.243 | −0.014 | 0.377 | 0.183 | 4 | |
| 200 | −16.786 | −197.895 | 10.824 | −45.923 | 11 | |
| 300 | 0.294 | −0.015 | 0.126 | 0.079 | 6 | |
| L. bicolor | 0 | −5.706 | 173.125 | −39.681 | 26.268 | 2 |
| 100 | 0.537 | 0.025 | 0.070 | 0.175 | 5 | |
| 200 | 1.964 | 151.001 | −11.952 | 61.433 | 1 | |
| 300 | 2.676 | 0.052 | 0.206 | 0.726 | 3 | |
| L. gmelinii | 0 | −0.239 | −152.521 | −21.360 | −29.556 | 10 |
| 100 | −12.895 | 0.053 | −0.064 | −3.218 | 7 | |
| 200 | −0.608 | −41.642 | −46.996 | −47.412 | 12 | |
| 300 | −15.658 | −0.012 | −0.024 | −3.928 | 8 |
| Species | NaHCO3 Concentration | Scores of PC1 | Scores of PC2 | Scores of PC3 | Total Scores | Ranking |
|---|---|---|---|---|---|---|
| L. aureum | 0 | −20.666 | 6.755 | −8.025 | −2.931 | 10 |
| 100 | 0.063 | 0.612 | 0.132 | 0.299 | 4 | |
| 200 | 15.838 | 5.830 | −22.347 | 0.600 | 3 | |
| 300 | 0.074 | 0.069 | 0.024 | 0.098 | 6 | |
| L. bicolor | 0 | −72.373 | −50.388 | −30.237 | −42.351 | 12 |
| 100 | 0.041 | −0.066 | −0.192 | −0.048 | 9 | |
| 200 | 77.118 | −46.777 | 9.040 | −32.080 | 11 | |
| 300 | −0.007 | −0.045 | 0.056 | 0.006 | 8 | |
| L. gmelinii | 0 | 975.323 | 97.498 | 16.369 | 289.192 | 2 |
| 100 | 0.004 | −0.040 | 0.117 | 0.033 | 7 | |
| 200 | 1163.608 | 90.607 | −1.244 | 331.288 | 1 | |
| 300 | 0.007 | −0.025 | 0.723 | 0.163 | 5 |
Disclaimer/Publisher’s Note: The statements, opinions and data contained in all publications are solely those of the individual author(s) and contributor(s) and not of MDPI and/or the editor(s). MDPI and/or the editor(s) disclaim responsibility for any injury to people or property resulting from any ideas, methods, instructions or products referred to in the content. |
© 2025 by the authors. Licensee MDPI, Basel, Switzerland. This article is an open access article distributed under the terms and conditions of the Creative Commons Attribution (CC BY) license.
Share and Cite
Liu, X.; Zhu, Z.; Liu, T.; Zhang, K.; Cai, B.; Tian, Q. Different Responses to NaCl vs. NaHCO3 Stress in Three Limonium Species: Linking Seed Phenotype to Physiological Tolerance. Horticulturae 2026, 12, 33. https://doi.org/10.3390/horticulturae12010033
Liu X, Zhu Z, Liu T, Zhang K, Cai B, Tian Q. Different Responses to NaCl vs. NaHCO3 Stress in Three Limonium Species: Linking Seed Phenotype to Physiological Tolerance. Horticulturae. 2026; 12(1):33. https://doi.org/10.3390/horticulturae12010033
Chicago/Turabian StyleLiu, Xiuqing, Zhu Zhu, Ting Liu, Kaiqiang Zhang, Biliang Cai, and Qing Tian. 2026. "Different Responses to NaCl vs. NaHCO3 Stress in Three Limonium Species: Linking Seed Phenotype to Physiological Tolerance" Horticulturae 12, no. 1: 33. https://doi.org/10.3390/horticulturae12010033
APA StyleLiu, X., Zhu, Z., Liu, T., Zhang, K., Cai, B., & Tian, Q. (2026). Different Responses to NaCl vs. NaHCO3 Stress in Three Limonium Species: Linking Seed Phenotype to Physiological Tolerance. Horticulturae, 12(1), 33. https://doi.org/10.3390/horticulturae12010033

