Abstract
Fish mint (Houttuynia cordata Thunb.) is an aromatic herb used as food and medicine across Asia. We evaluated how far-red (FR) light influences growth and secondary metabolites in the non-flowering cultivar ‘BCV02’ propagated by cuttings. Seedlings were grown for 14 days under FR at 35, 50, and 70 μmol m−2 s−1 (as FR35, 50, and 70, respectively) or without FR (as control, CK). All FR treatments increased plant height but reduced the shoot/rhizome ratio. Total chlorophyll and carotenoid contents were unchanged, while the chlorophyll a/b ratio declined from 2.37 (CK) to 2.15 (FR70). In shoots, combined 3-, 4-, and 5-O-caffeoylquinic acids with rutin, hyperoside, isoquercitrin, and quercitrin reached 12.61–13.83 mg g−1 dry weight (DW) under FR treatments, exceeding CK (8.48 mg g−1 DW). However, in rhizomes, these secondary metabolite contents ranged 0.82–1.00 mg g−1 DW across all treatments. On a per-pot basis, the highest accumulated compounds (4.37 mg per pot) occurred at FR35. Overall, growth and secondary metabolite biosynthesis in fish mint cuttings respond differently to changes in FR treatments, with FR35 optimizing compound accumulation. Quercitrin in shoots was 0.09–0.20 mg g−1 DW and not quantifiable in rhizomes, potentially below pharmacopeial thresholds specified in the Taiwan Herbal Pharmacopeia and Hong Kong Chinese Materia Medica Standards. These results underscore the importance of aligning cultivar choice, light regime, and market specifications to secure both yield and quality of H. cordata.
1. Introduction
Fish mint (Houttuynia cordata Thunb.), a perennial herb of the family Saururaceae, is distinguished by its characteristic fishy odor and thrives in moist, shaded environments across East and Southeast Asia. All plant parts are widely incorporated into traditional diets and medicinal practices, commonly consumed fresh as a salad, brewed as herbal tea, or dried during anthesis for medicinal use [1]. Extensive research has identified diverse bioactive constituents, including essential oils, flavonoids, phenolic acids, and polysaccharides, underlying their antiviral, antitumor, antibacterial, anti-inflammatory, and antioxidant properties [2,3,4]. A recent study has demonstrated that light quality modulates the accumulation of bioactive compounds in sprouts, with blue light enhancing and red light reducing key metabolites, thereby reflecting species- and organ-specific responses [5]. During the COVID-19 pandemic, fish mint was also employed in product formulations administered to infected patients [6,7]. With the globalization of herbal applications and expanding nutraceutical markets, ensuring stable quality and scaling up production have become urgent priorities. From an applied perspective, raw materials entering medicinal supply chains must meet pharmacopeial specifications in target markets, making cultivation conditions that stabilize phytochemical profiles directly actionable. At present, both the Taiwan Herbal Pharmacopoeia (THP) and the Hong Kong Chinese Materia Medica Standards (HKCMMS) mandate that Houttuyniae herba be harvested during the flowering stage and that it contain quercitrin at levels of no less than 0.2% and 0.17%, respectively [8,9].
Fish mint is mainly propagated by rhizomes, while cutting propagation enables clonal plantations and supports large-scale production of uniform seedlings [3]. Its growth and secondary metabolite accumulation are reported to depend on farming systems [10] and environmental conditions, including temperature and light [11,12]. To align propagation with those pharmacopeial expectations introduced above, establishing suitable cultivation strategies is essential to ensure both the stable yield and consistent quality of this medicinal plant. Despite the extensive use of rhizomes and the practicality of cuttings for clonal scale-up, the far-red (FR) responses of vegetative cuttings have not been delineated. During the initial stages of cutting propagation, adventitious root formation is accompanied by a temporary imbalance between assimilate supply and demand, making the cuttings particularly sensitive to light intensity and quality during the first weeks of rooting [13].
Light is a key environmental factor that governs plant growth, development, and secondary metabolism. Within the visible spectrum, red (600–700 nm) and blue (400–500 nm) wavelengths are the primary absorption bands of chlorophylls, supplying essential energy for photosynthesis. In addition, plants possess photoreceptors that sense wavelength, intensity, direction, and duration of light, enabling precise regulation of developmental and physiological processes [14,15]. Spectral composition strongly influences growth performance and metabolic activity, as demonstrated in diverse species including fish mint [16,17]. Far-red (FR) light plays a distinct role in shade perception, where a reduced red/far-red ratio (R/FR) triggers shade-avoidance responses, such as petiole elongation, suppressed leaf expansion, and decreased photosynthetic efficiency [18,19,20]. The Emerson effect further highlights FR’s synergistic action, as combined R and FR irradiation enhances photosynthesis beyond additive contributions [21,22,23]. FR also alters pigment profiles, often lowering the chlorophyll a/b ratio to optimize light capture under shaded conditions [24]. Due to differences in species and lighting conditions, previous studies have not reached a consistent conclusion on whether FR light has a positive effect on the growth of medicinal and/or aromatic plants, although it is well established that FR light reduces the biosynthesis of photosynthetic pigments [25,26,27,28]. Furthermore, low-fluence FR responses are known to follow the reciprocity law and may interact with the red–blue (RB) background, as evidenced in leafy vegetables [29]. Moreover, FR irradiation during cultivation has been associated with reduced nutraceutical quality and diminished postharvest longevity under elevated storage temperatures [30].
The regulatory role and biosynthetic pathway of phenylpropanoid and phenolic compounds and their derivatives influenced by FR light on plants have already been investigated in Brassica oleracea [31]. FR light is generally considered to suppress flavonoid biosynthesis [20], but FR stimulates flavonoid accumulation in Dendrobium officinale through the FR light signaling network [32]. Furthermore, FR light also regulates secondary metabolite production, such as the upregulation of ginsenoside gene expression in Panax ginseng under shading [33] and the enhancement of steviol glycoside accumulation in Stevia rebaudiana via UGT85C2 induction under specific R/FR conditions [34]. Recently, Kim et al. [26] and Miranda Sotelo et al. [35] reported that FR enhances the accumulation of phenolics and flavonoids in Codonopsis lanceolata and Coriandrum sativum. These results are consistent with our prior work revealing that Prunella vulgaris exposed to high-FR light accumulated more rosmarinic acid and total phenolics [25]. Collectively, these findings identify FR light as having a regulatory role in the synthesis and accumulation of secondary metabolites.
In fish mint, propagation through rhizomes or hydroponic systems often results in season-specific sprouting or vigorous growth with low phytochemical content [3,10]. By contrast, cutting propagation enables uniform clonal scale-up, yet the photomorphogenic and metabolic responses of cuttings to FR remain unresolved. This gap is scientifically relevant because the early rooting stage of cuttings involves a transient imbalance between assimilate supply and demand, rendering them especially sensitive to light quality [13]. Given that horticultural production increasingly adopts RB + FR LED regimes, defining how FR influences both propagation success and pharmacopeial phytochemical standards is critical. While FR has been shown to enhance canopy development and biomass accumulation in leafy vegetables [29], it is unclear whether fish mint cuttings exhibit comparable responses or display species-specific trade-offs between yield and secondary metabolite quality.
To address this gap, we cultivated vegetative cuttings of fish mint under an RB background with adjustable FR levels and quantified growth performance, photosynthetic pigments, and secondary metabolite profiles by high-performance liquid chromatography (HPLC). We hypothesized that FR would induce dose-dependent shifts in morphogenesis and pigment composition, and modulate phytochemical biosynthesis, thereby helping to define FR ranges that ensure both uniform seedling production and consistent phytochemical quality.
2. Materials and Methods
2.1. Plant Materials, Cultural Practices, and Light Treatments
Fish mint (H. cordata) cultivar ‘BCV02’ was obtained from Nantou, Taiwan (23°57′06.4″ N, 120°44′59.8″ E). This cultivar does not flower under typical cultivation conditions in Taiwan, which prevents its cuttings from entering the reproductive growth phase and could thus interfere with the propagation process. Our study was conducted at the building of the National Research Institute of Chinese Medicine, Taipei, Taiwan (25°07′11″ N, 121°30′53″ E).
Plant cuttings measuring 10–15 cm in length and containing 1–2 viable axillary buds were excised from mother plants on 15 July 2024. To minimize potential genetic variation, cuttings from different mother plants were pooled randomly prior to planting. Lower leaves were removed, retaining only the upper two to three leaves. Each cutting was inserted approximately one-third to one-half of its length into a commercial growth medium composed of peat moss (Kekkilä-BVB, De Lier, The Netherlands), perlite, and vermiculite mixed at a volumetric ratio of 6:1:1 (v/v/v) from the same production batch. Each cutting was transplanted into a 3-inch black nursery pot (width = 8 cm and height = 8 cm). Cuttings were cultivated under controlled conditions in an LTI-613 plant growth chamber (TKS, New Taipei, Taiwan) maintained at 25 °C/20 °C (day/night) for 15 days. During this rooting period, watering was performed every 1–2 days as needed. Uniform cuttings were selected for fertilization. Each pot received 0.2 g of neutral organic fertilizer (N–P2O5–K2O–Organic matter = 5.1–2.1–2.1–80; Fat Field Enterprise Co., Changhua, Taiwan), and the following light experiments then conducted at an average temperature of 25 °C under a 12 h photoperiod for 14 days.
The LED lighting system (Taiwan HiPoint Co., Kaohsiung, Taiwan) was electronically controlled to regulate the composition of the light spectrum. All treatments received a fixed red light (peak at 660 nm) intensity of 40 μmol m−2 s−1 and blue light (peak at 450 nm) intensity of 20 μmol m−2 s−1, while far-red light (peak at 730 nm) was applied at 35 μmol m−2 s−1 (FR35), 50 μmol m−2 s−1 (FR50), and 70 μmol m−2 s−1 (FR70). The control (CK) was treated without FR. The distance between the light source and the plant canopy was maintained at approximately 15 cm throughout the experiment. Each treatment group included 4–5 replicates. Plant height was measured from the soil substrate to the uppermost node before and after the light experiments. The average initial plant height was 6.24 cm. Height increment was determined by subtracting the initial measurement from the post-experiment value. Fresh weights (FW) of both shoot and rhizome tissues were also recorded after the light experiments. The dry weights (DW) of lyophilized samples were measured, and the samples were then ground into powder for subsequent analyses of photosynthetic pigments and secondary metabolites. Total dry weight (DW) was calculated as the sum of the shoot and rhizome. The shoot/rhizome ratio of each sample was calculated based on the DW of shoots and rhizomes. Moisture content was calculated using the following equation:
2.2. Determination of Photosynthetic Pigments
The photosynthetic pigment content of the fish mint plants was determined following the method established by Yang et al. [36]. Briefly, a sample (0.01 g) of homogenized material was extracted with 5 mL of 80% acetone, and then centrifuged at 4500 rpm for 5 min at 4 °C using an MPW-352R centrifuge (MPW, Warsaw, Poland). The supernatant was collected, and its absorbance was measured at 663.6, 646.6, and 440.5 nm wavelengths as chlorophyll a (Chl a), chlorophyll b (Chl b), and carotenoid (Car), respectively, using U-3310 Spectrophotometer (Hitachi, Tokyo, Japan), followed by determining the contents quantitatively with the provided equations by Yang et al. [36].
Total Chl and Chl a/b were calculated as the sum and the ratio of Chl a and Chl b, respectively.
2.3. Determination of Secondary Metabolite Content
All fish mint samples were divided into shoots and rhizomes for separate HPLC analysis. A homogenized sample of 0.03 g was extracted with 1 mL of 70% methanol, mixed, and sonicated for 20 min. After centrifugation at 10,000 rpm for 5 min at room temperature, the supernatant was collected. The residue was extracted twice using the same procedure, and all supernatants were combined, mixed, and filtered through a 0.22 μm membrane prior to HPLC analysis, following the protocols of Loo et al. [10]. The HPLC system comprised an LC-40D XR pump, DGU-405 degassing unit, Cosmosil 5C18AR-II column (250 mm × 4.6 mm, 5 μm, Nacalai Tesque, Kyoto, Japan), and SPD-M20A photodiode array (PDA) detector (Shimadzu, Kyoto, Japan). Mobile phases were acetonitrile (A) and 0.2% acetic acid solution (B) with the following gradient: 0–15 min, A 10–20%; 15–20 min, A 20%; 20–30 min, A 20–90%; 30–40 min, A 90%. The flow rate was 1 mL/min, injection volume 10 μL, and column temperature 40 °C. Secondary metabolites including 3-O-caffeoylquinic acid (3CQA), 4-O-caffeoylquinic acid (4CQA), 5-O-caffeoylquinic acid (5CQA), rutin, isoquercitrin, hyperoside, and quercitrin were detected at 254 nm and quantified using calibration curves prepared with authentic standards (≥98%, Sun Hank Technology Co., Tainan, Taiwan). The limits of detection (LOD) and quantification (LOQ) for 3CQA, 4CQA, and 5CQA were 0.12 and 0.49 μg mL−1, respectively; for rutin, isoquercitrin, hyperoside, and quercitrin, the LOD and LOQ were 0.06 and 0.25 μg mL−1, respectively. Contents of the secondary metabolite were expressed as mg g−1 DW.
According to the HPLC quantification results, total CQA, total flavonoids, and total compounds were calculated separately for the shoot and rhizome samples. Total CQA was defined as the sum of 3CQA, 4CQA, and 5CQA; total flavonoids as the sum of rutin, isoquercitrin, hyperoside, and quercitrin; and total compounds as the combined sum of these eight compounds. Finally, the accumulated compounds per pot were estimated based on the total compounds and the DW of shoots and rhizomes.
2.4. Statistical Analysis
All experimental data were analyzed using statistical software (IBM SPSS Statistics 20) through a one-way analysis of variance (ANOVA). Group differences were further evaluated using the least significant difference (LSD) test at a significance level of p < 0.05.
3. Results
3.1. Plant Growth Status
The average plant height before the light experiments was 6.24 cm. After the 14-day light experiments, the average height increment of fish mint plants in CK was 0.46 cm, increasing progressively with the enhancement of FR from FR35 to FR70 to reach 2.20 cm under the FR70 treatment, which was significantly higher than in CK (Table 1). A comparable trend was observed for total dry weight. In the CK group, the latter value was 0.35 g per pot, increasing steadily with FR intensity to attain a maximum of 0.62 g per pot under FR70, which was significantly greater than in CK. The shoot/rhizome ratio in CK was 1.25, whereas it sharply increased to 2.07 under FR35, which was significantly higher than in all other treatments, and subsequently declined with further increases in FR intensity. Regarding moisture content, CK plants exhibited 91.09%, decreasing from there with increasing FR intensity, with both FR50 and FR70 treatments showing significantly lower values compared with CK.
Table 1.
Changes in height increment, total dry weight, shoot/rhizome ratio, and moisture content of fish mint (Houttuynia cordata) plants under different far-red light conditions over 14 days.
3.2. Photosynthetic Pigment Content
As shown in Table 2, Chl a, Chl b, and total Chl showed no statistically significant differences among treatments, but each demonstrated a gradual increase as FR intensity increased. The average Chl a content increased from 3.19 mg g−1 DW in FR35 to 3.71 mg g−1 DW in FR70 (Table 2). Similarly, Chl b exhibited an upward trend, increasing from 1.37 mg g−1 DW in CK to 1.72 mg g−1 DW in FR70 (Table 2). Total Chl exhibited an increase, rising from 4.58 mg g−1 DW in FR35 to 5.44 mg g−1 DW in FR70 (Table 2). The Chl a/b ratio ranged from 2.30 to 2.37 in CK and FR35, whereas it declined to 2.15–2.20 in FR50 and FR70, with significantly lower values observed (Table 2). Car content displayed a pattern comparable to that of Chl, increasing from 2.07 mg g−1 DW in CK to 2.50 mg g−1 DW under FR70; however, the variation among treatments was not statistically significant (Table 2). The results of photosynthetic pigments imply that far-red light plays a potential role in regulating the Chl a/b ratio of fish mint.
Table 2.
Contents of chlorophyll a (Chl a), chlorophyll b (Chl b), total chlorophyll (total Chl), carotenoids (Car), and the chlorophyll a/b ratio (Chl a/b) in fish mint (Houttuynia cordata) under different far-red light conditions over 14 days.
3.3. Secondary Metabolite Content
HPLC analysis was conducted on fish mint samples, separated into shoots and rhizomes. As shown in Figure 1, 3CQA, 4CQA, and 5CQA were detected in both tissues, with higher concentrations in shoots. CK shoots contained 1.46 mg g−1 DW of 3CQA, whereas in FR treatments it ranged from 2.55 to 2.93 mg g−1 DW, all being significantly higher than in CK, with FR50 also significantly higher than FR35 (Figure 1A). Moreover, CK rhizomes contained 0.38 mg g−1 DW 3CQA, with FR35 showing the highest value at 0.39 mg g−1 DW and FR70 the lowest at 0.32 mg g−1 DW. For 4CQA (Figure 1B), CK shoots contained 2.44 mg g−1 DW, whereas FR treatments ranged from 4.20 to 4.30 mg g−1 DW, all significantly higher than CK, with no significant differences among FR groups. The 4CQA content in rhizomes was 0.29 mg g−1 DW in CK, while FR35 and FR50 contained 0.37 and 0.34 mg g−1 DW, respectively, both being significantly higher than CK and FR70. The 5CQA content in shoots ranged from 1.50 to 2.03 mg g−1 DW, with no significant differences detected among treatments (Figure 1C). Similarly, rhizome concentrations ranged from 0.13 to 0.25 mg g−1 DW, with no significant variation observed. Total CQA in fish mint shoots was significantly lower in CK at 5.39 mg g−1 DW, compared to FR groups ranging 8.78–8.90 mg g−1 DW (Figure 1D). The lowest value in rhizomes was also recorded in CK at 0.79 mg g−1 DW, with significant differences observed only between the CK and FR35.
Figure 1.
Contents of 3-O-caffeoylquinic acid (A), 4-O-caffeoylquinic acid (B), 5-O-caffeoylquinic acid (C) and total caffeoylquinic acids (sum of 3-, 4-, and 5-O-caffeoylquinic acids, (D) in the shoots and rhizomes of fish mint (Houttuynia cordata) under different far-red light conditions over 14 days. Values are means (n = 3), with standard deviations shown by vertical bars. Different letters indicate statistically significant differences among means (LSD, p < 0.05).
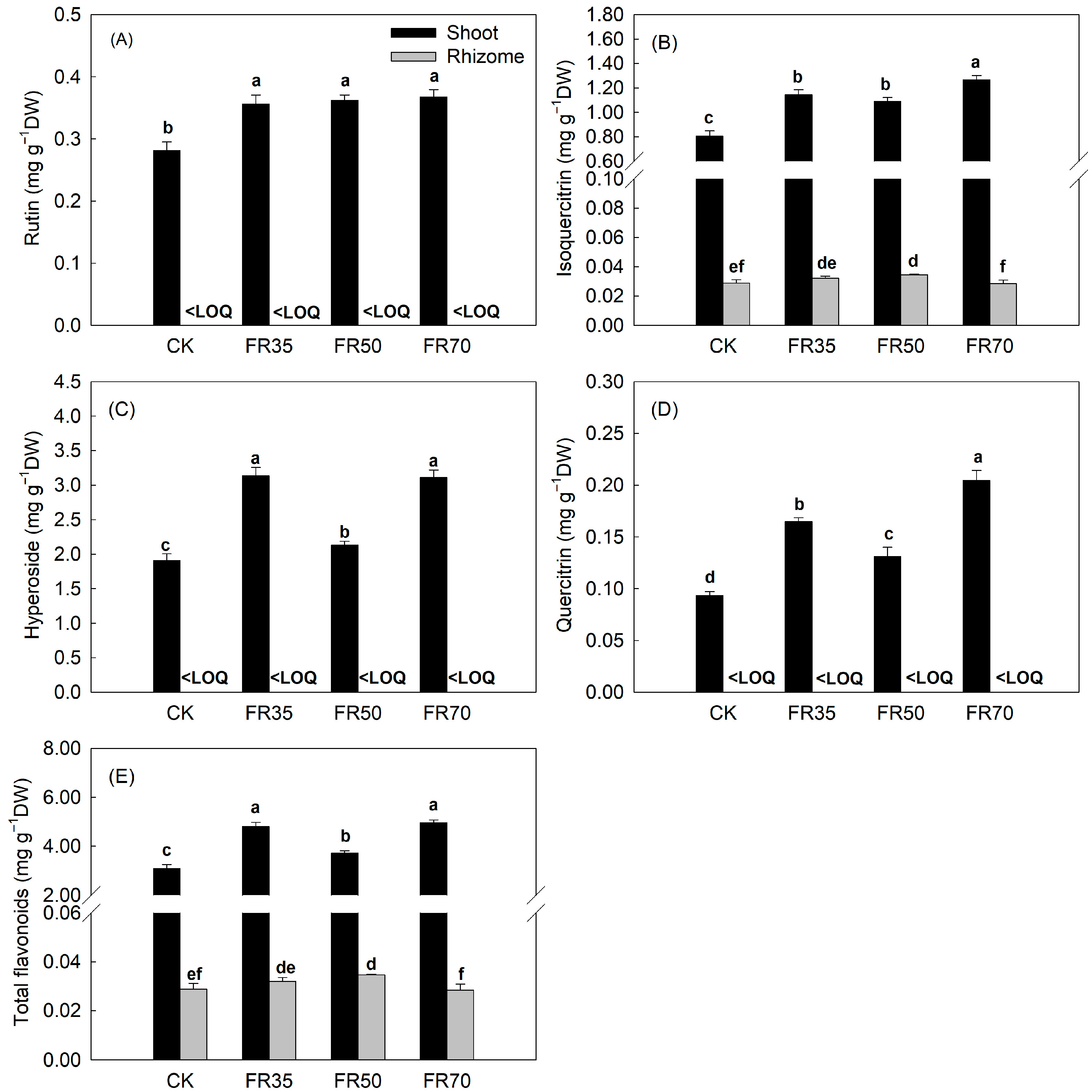
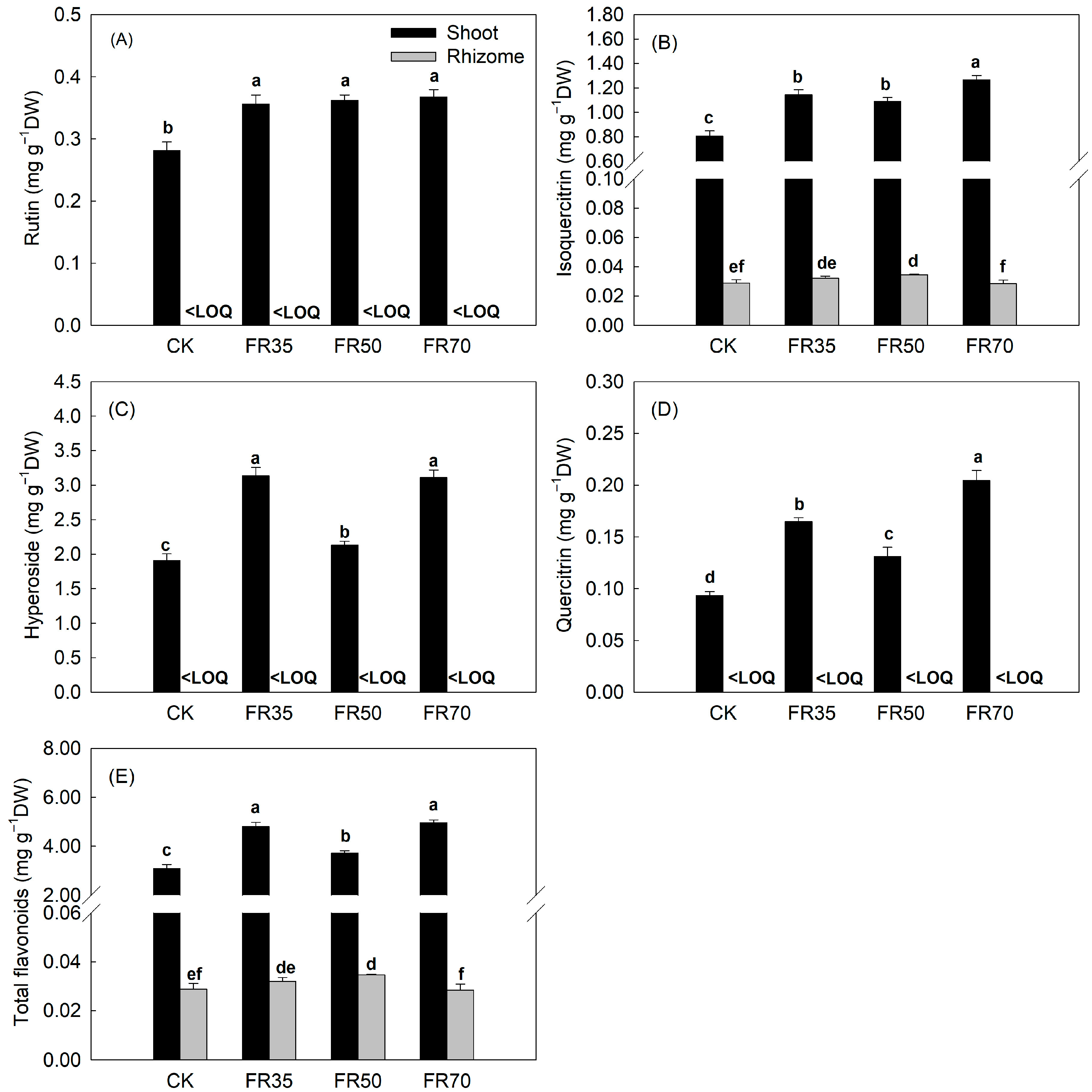
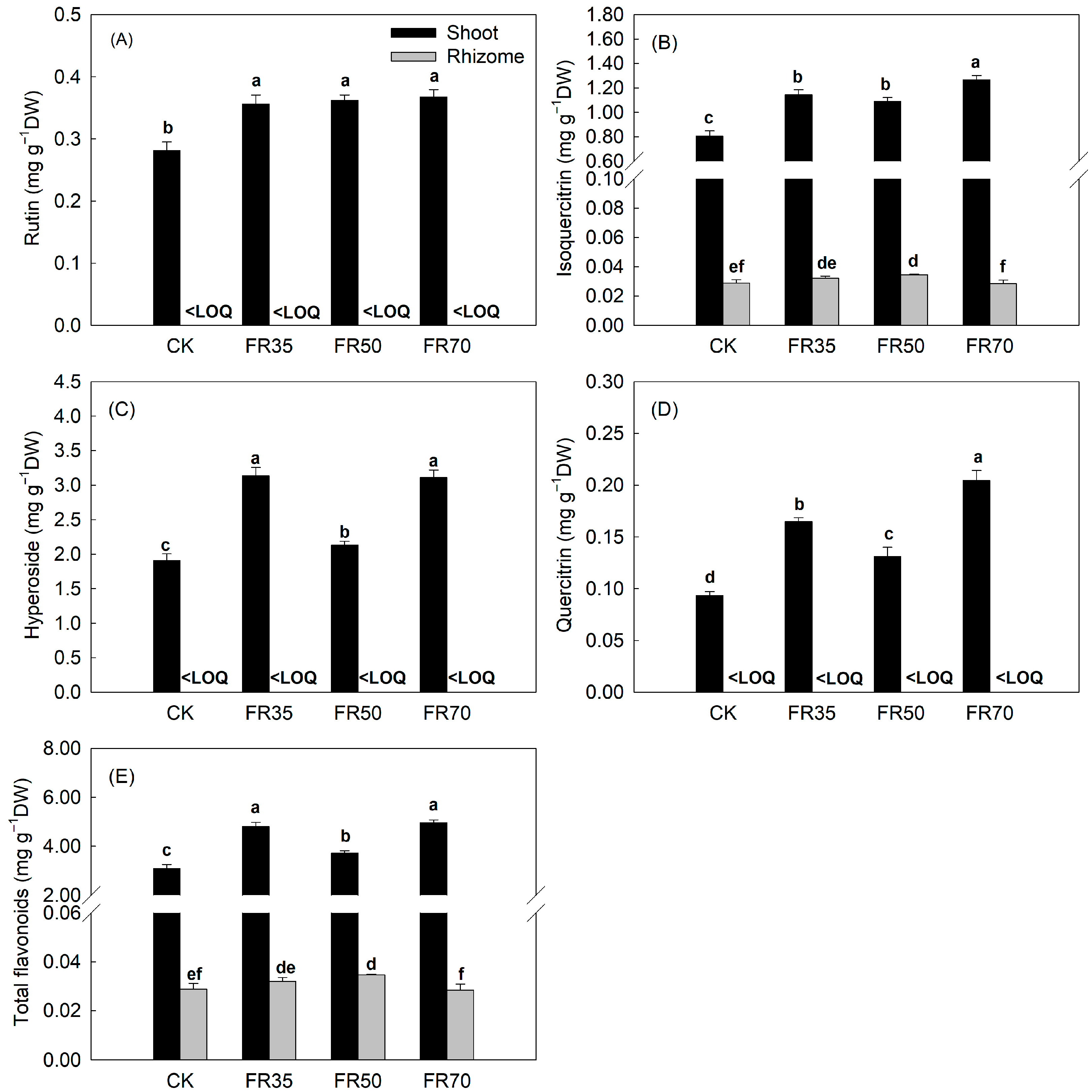
The HPLC quantifications of rutin, isoquercitrin, hyperoside, and quercitrin in shoots and rhizomes are shown in Figure 2, where total flavonoids are expressed as the combined contents of these four compounds. All compounds in rhizomes, except isoquercitrin, were detected by HPLC-PDA, but their concentrations were below the LOQ (0.25 μg mL−1). The rutin content in shoots was 0.28 mg g−1 DW in CK, whereas FR treatments ranging 0.36 to 0.37 mg g−1 DW were significantly higher (Figure 2A). The isoquercitrin content in shoots was 0.80 mg g−1 DW in CK, while FR35 and FR50 exhibited values of 1.14 and 1.09 mg g−1 DW, respectively, without significant differences. FR70 reached 1.27 mg g−1 DW, representing the highest concentration and significantly exceeding the other treatments (Figure 2B). The isoquercitrin content in rhizomes was 0.029 mg g−1 DW in CK, 0.032 mg g−1 DW in FR35, 0.035 mg g−1 DW in FR50, and 0.028 mg g−1 DW in FR70. Within the FR treatments, the content in FR70 was significantly lower, while CK exhibited significantly lower levels than FR50 (Figure 2B). CK contained 1.91 mg g−1 DW hyperoside in shoots, whereas FR groups had significantly elevated levels (Figure 2C). Among FR treatments, hyperoside content in shoots was significantly higher in FR35 and FR70 (3.11–3.14 mg g−1 DW) than in FR50 (2.13 mg g−1 DW). Figure 2D shows that the quercitrin content in shoots had significant variation among treatments, with concentrations increasing progressively from CK (0.09 mg g−1 DW) to FR50 (0.13 mg g−1 DW), FR35 (0.17mg g−1 DW), and FR70 (0.20 mg g−1 DW). The total flavonoid content in shoots was 3.09 mg g−1 DW in CK, which was significantly lower than in all FR groups (Figure 2E). Meanwhile, FR35 and FR70 were 4.80 and 4.95 mg g−1 DW, respectively, and showed significantly higher levels compared with the other treatments. Since isoquercitrin was the only compound quantified in the rhizome samples, the total flavonoid content in rhizomes corresponds to the isoquercitrin content (Figure 2E).
Figure 2.
Contents of rutin (A), isoquercitrin (B), hyperoside (C), quercitrin (D), and total flavonoids (E) in the shoots and rhizomes of fish mint (Houttuynia cordata) under different far-red light conditions over 14 days. Values are means (n = 3), with standard deviations shown by vertical bars. Different letters indicate statistically significant differences among means (LSD, p < 0.05). LOQ, limit of quantification = 0.25 μg mL−1.
Figure 3A shows the total content of compounds, including total caffeoylquinic acids and flavonoids, in shoots and rhizomes. CK had the lowest total compounds at 8.48 mg g−1 DW in shoots and 0.82 mg g−1 DW in rhizomes, confirming that FR substantially increases the production of bioactive compounds in fish mint. Furthermore, the accumulated compounds per pot were highest in FR35 at 4.37 mg, followed by FR70 at 4.11 mg, then FR50 at 3.63 mg, with CK being the lowest at 1.79 mg per pot (Figure 3B).
Figure 3.
Total compound contents in shoots and rhizomes (A) and accumulated compounds per pot (B) in fish mint (Houttuynia cordata) under different far-red light conditions over 14 days. Values are means (n = 3), with standard deviations shown by vertical bars. Different letters indicate statistically significant differences among means (LSD, p < 0.05).
4. Discussion
Fish mint (H. cordata) has been commercialized as tea powders and tinctures, and as fermented dietary supplements or encapsulated nutraceuticals, highlighting its versatility as a functional food with therapeutic potential across diverse disease conditions [37]. Previous studies have shown that yield and secondary metabolite accumulation in fish mint are enhanced under 30 °C/25 °C day/night [11], while full sunlight improves photosynthetic capacity and quercetin content in fish mint [12]. Compared with conventional soil cultivation, the hydroponic culture of fish mint effectively accelerates growth, and specific nutrient solutions increase 3CQA content, whereas the biosynthesis of flavonoids such as quercitrin is markedly reduced [10]. Light quality also affects physiology, with red light promoting chlorophyll accumulation, blue light enhancing chlorophyll fluorescence [16], and short-wavelength light effectively inducing the activity of antioxidant enzymes [17]. Similar effects of light quality have also been reported in the study of broccoli sprouts, which showed that blue light stimulates flavonoid and phenolic accumulation, whereas red or red+UVA generally suppresses these metabolites [5]. These findings highlight the broader potential of spectral manipulation to enhance functional compounds. Fish mint can be propagated via seeds or rhizomes; however, seed-based propagation is often ineffective due to frequent sterility [3]. Therefore, in this study, fish mint seedlings were propagated from cuttings and exposed to FR to evaluate their morphological and physiological responses.
Increasing FR intensity significantly enhanced plant height and total dry weight in fish mint. Stem elongation response suggests that fish mint cuttings may exhibit shade-avoidance traits regulated by phytochrome-mediated signaling, consistent with reports in other species [25,26,28]. Although FR has been shown to stimulate biomass accumulation in Ocimum basilicum [28] and Codonopsis lanceolata [26], other studies have reported inhibitory effects [25,27], suggesting species-specific responses and/or differences in lighting conditions [35]. In our study, increasing FR intensity (i.e., decreasing R/FR ratio) not only promoted shoot elongation but also decreased the shoot/rhizome ratio (Table 1), indicating a shift in biomass allocation toward rhizomes. Mechanistically, low R/FR is known to inactivate phytochrome B (phyB), thereby allowing phytochrome-interacting factors (PIFs) to induce auxin biosynthesis and promote stem elongation [18,19,38,39]. Concurrently, upregulation of gibberellin biosynthesis genes such as kaurene oxidase promotes cell division and elongation [40]. Such phytochrome-mediated crosstalk between auxin and gibberellin underlies shade-avoidance growth while simultaneously reallocating assimilates [39]. Recent evidence suggests that FR light can also act through phytochrome A (phyA)-mediated pathways integrating auxin, cytokinin, and carbohydrate metabolism to stimulate rhizome bud outgrowth and starch mobilization [41]. This dual effect explains why FR increased total biomass while reducing the shoot/rhizome ratio in our study, ultimately favoring rhizome development. Since rhizomes are the main propagation organ in fish mint, the FR-induced shift toward rhizome biomass directly enhances propagation efficiency. Additionally, the reduced moisture content observed in FR50 and FR70 compared with CK suggests that FR may also enhance evapotranspiration [28].
Chl content exhibits species-dependent responses to R/FR conditions, decreasing under low R/FR environments in some plants but showing a negative correlation with the R/FR ratio in others [41], with spectral composition further contributing to the diverse responses observed in cultivated plants [35]. In this study, photosynthetic pigment analysis revealed no significant differences in Chl or Car among FR treatments, but a clear progressive decline in the Chl a/b ratio with increasing FR intensity was observed (Table 2). Since Chl b is enriched in the peripheral light-harvesting complexes (LHCs), especially LHCII, a reduced Chl a/b ratio reflects relative expansion of PSII antenna size [42]. Such antenna adjustment enlarges the functional absorption cross section of PSII, thereby enhancing photon capture and lowering the light compensation point, which is advantageous under FR-enriched or shaded environments [43,44]. These findings are consistent with previous reports that FR inhibits Chl biosynthesis and reduces the Chl a/b ratio in other species [25,27,28]. This adjustment likely represents an acclimatory response rather than pigment suppression. Far-red light has been shown to induce the upregulation of LHC genes, increasing light harvesting capacity and facilitating balanced excitation through state transitions between PSII and PSI [45,46]. Thus, the FR-dependent reduction in Chl a/b ratio observed here suggests that fish mint may reallocate pigments toward PSII antenna complexes to optimize light harvesting efficiency, improve photosynthetic performance, and enhance adaptation to low light or canopy-like conditions.
Numerous previous studies have shown that FR promotes secondary metabolite accumulation. Our previous study on Prunella vulgaris shows that high-intensity FR stimulates the accumulation of total phenolics and rosmarinic acid [25]. Similarly, Miranda Sotelo et al. [35] demonstrate that total phenolics in the leaves and stems of Coriandrum sativum increase with FR intensity, while Kim et al. [26] report enhanced accumulation of total phenolics and total flavonoids in Codonopsis lanceolata under elevated FR conditions. In this study, FR exposure markedly increased the biosynthesis of 3CQA and 4CQA in fish mint shoots (Figure 1A,B), leading to higher total CQA levels (Figure 1D) and suggesting that high-intensity FR promotes the accumulation of caffeoylquinic acids. Caffeoylquinic acids (CQAs) are important bioactive polyphenols derived from the phenylpropanoid pathway [47], in which phenylalanine ammonia-lyase serves as a key regulatory enzyme and is known to be upregulated by FR via phytochrome-mediated signaling [31]. Hydroxycinnamoyl-CoA:quinate hydroxycinnamoyl transferase (HQT), which is often light inducible, principally channels precursors toward CQAs [48]. Taken together, it is suggested that FR-mediated signaling likely enhances CQAs accumulation through both the phenylpropanoid pathway and HQT. By contrast, rhizome CQAs remained low across FR treatments and often declined (Figure 1A–D). This organ specificity likely reflects weak FR-mediated signaling in subterranean tissues and tissue restricted expression of HQT paralogs [31,48], mirroring observations in C. sativum, where root phenolics are lower than in aerial organs [35].
Furthermore, FR treatments significantly increased the content of rutin, isoquercitrin, hyperoside, and quercitrin in fish mint shoots (Figure 2A–D), resulting in higher total flavonoid levels (Figure 2E). This accumulation pattern indicates that FR positively influences flavonoid biosynthesis, consistent with the findings of Li et al. [32] in Dendrobium officinale. Mechanistically, the FR responses likely reflect a phyA-dependent high irradiance response [19,49]. Activated phyA enters the nucleus, binds SUPPRESSOR OF PHYA (SPA) proteins, and switches off the CULLIN4 (CUL4)-Damaged DNA Binding Protein1 (DDB1)-CONSTITUTIVELY PHOTOMORPHOGENIC1 (COP1)/SPA E3 ligase, preventing ELONGATED HYPOCOTYL5 (HY5) ubiquitination [49]. Accumulated HY5 binds G-box and ACE elements to induce chalcone synthase (CHS), flavonol synthase (FLS), and other phenylpropanoid pathway genes [50]. HY5 also promotes R2R3-MYB factors, such as MYB12, that specify flavonol biosynthesis [51], explaining the increases in rutin, isoquercitrin, hyperoside, and quercitrin. In fish mint rhizomes, rutin, hyperoside, and quercitrin were detected by HPLC-PDA below the LOQ (0.25 μg mL−1), with the exception of isoquercitrin, by which the total flavonoid content was quantified (Figure 2A–E), while recent work indicated rhizomes contain other flavonoids but at consistently lower levels than leaves [52].
FR70 showed the highest total compounds in shoots (Figure 3A) and the greatest DW (Table 1), but accumulated compounds per pot were highest in FR35 (Figure 3B) because enhanced rhizome development in FR70 lowered the shoot/rhizome ratio. In contrast, FR35 maintained the highest shoot/rhizome ratio (Table 1) with compound levels comparable to FR70, resulting in the greatest accumulation per pot (Figure 3B). Integrating the growth and HPLC analysis of fish mint, FR35 was identified as the more suitable light condition compared to other conditions when aiming to produce plant material rich in CQA and flavonoids, whereas FR70 was more appropriate for achieving higher whole-plant yield or enhancing the vigor of seedling cuttings. Notably, in lettuce, applying FR photons during cultivation reduced nutraceutical quality at harvest and, under supra-optimal storage temperature, shortened shelf-life, underscoring that production-phase spectra can entail downstream quality trade-offs [30], which is conceptually consistent with our observation that FR70 enhanced biomass but shifted allocation toward rhizomes.
According to THP and HKCMMS, Houttuyniae herba must be harvested at anthesis, with minimum quercitrin contents of 0.2% (2 mg g−1 DW) and 0.17% (1.7 mg g−1 DW), respectively [8,9]. Under standard cultivation in Taiwan, the fish mint cultivar ‘BCV02’ does not flower. Shoots contained 0.09–0.20 mg g−1 DW quercitrin, whereas levels in rhizomes were below the limit of quantification (0.25 μg mL−1) (Figure 2D). These results indicate that ‘BCV02’ does not comply with THP or HKCMMS standards and should therefore not be used for medicinal purposes in these markets. These limitations highlight the need for alternative strategies to achieve pharmacopeial compliance. Future germplasm selection and breeding should prioritize flowering and quercitrin-rich accessions. Cultivation and postharvest optimization should also be explored, including moderate nutrient limitation and temperature regulation, leaf-enriched harvesting, and carefully controlled low temperature or freeze drying to preserve glycosides [53]. In addition, manipulation of FR light, together with other wavelengths, such as blue light, may enhance flavonoid accumulation [5].
5. Conclusions
Fish mint is a multifunctional plant with both medicinal and edible potential, and its growing market demand underscores the need for optimized production strategies. This study demonstrates that FR intensity influences both morphological traits and metabolite accumulation in cutting-propagated fish mint plants. Higher FR levels promoted stem elongation, rhizome development, and accumulation of caffeoylquinic acids and flavonoids in shoots, indicating its role as a regulatory environmental signal. However, because elevated FR also redirected carbon toward rhizomes, the FR level that maximizes total biomass did not coincide with the level that maximizes per-pot accumulation of target bioactive compounds. FR should be matched to production objectives. FR70 improved establishment traits, including propagation rate, seedling vigor, and rhizome enlargement, whereas FR35 maximized per-pot accumulation of caffeoylquinic acids and flavonoids by providing a better balance between metabolite accumulation and shoot biomass. For dual goals, a staged regime, FR70 during establishment followed by FR35 at finishing, is recommended. Furthermore, the ‘BCV02’ cultivar proved unsuitable for medicinal applications in some markets, as it failed to flower and contained quercitrin levels below specific pharmacopeial standards, indicating that lighting recipes cannot compensate for cultivar intrinsic deficits. These findings highlight the importance of matching cultivar choice and FR strategy to clearly defined market endpoints. Future work should quantify economic returns under staged FR schedules, test additional cultivars, and refine decision rules, such as switching FR at morphological milestones, to support sustainable, quality-driven fish mint production.
Author Contributions
Conceptualization, Z.-Y.W. and C.-C.C.; Methodology, Z.-Y.W., K.-H.L., Y.-C.Y. and C.-C.C.; Software, Z.-Y.W. and C.-C.C.; Validation, Z.-Y.W., K.-H.L. and C.-C.C.; Formal Analysis, Z.-Y.W., K.-H.L. and C.-C.C.; Investigation, Z.-Y.W. and Y.-C.Y.; Resources, C.-C.C.; Data Curation, Z.-Y.W. and C.-C.C.; Writing—Original Draft Preparation, Z.-Y.W., K.-H.L. and C.-C.C.; Writing—Review & Editing, Z.-Y.W., K.-H.L. and C.-C.C.; Visualization, Z.-Y.W., K.-H.L. and C.-C.C.; Supervision, C.-C.C.; Project Administration, C.-C.C.; Funding Acquisition, C.-C.C. All authors have read and agreed to the published version of the manuscript.
Funding
This research was funded by the TCM Independent Research Project of National Research Institute of Chinese Medicine, grant number MOHW 114-NRICM-B-325-000200.
Data Availability Statement
The original contributions presented in this study are included in the article.
Conflicts of Interest
The authors declare no conflicts of interest.
References
- Wu, Z.; Deng, X.; Hu, Q.; Xiao, X.; Jiang, J.; Ma, X.; Wu, M. Houttuynia cordata Thunb: An ethnopharmacological review. Front. Pharmacol. 2021, 12, 714694. [Google Scholar] [CrossRef]
- Fu, J.; Dai, L.; Lin, Z.; Lu, H. Houttuynia cordata Thunb: A review of phytochemistry and pharmacology and quality control. Chin. Med. 2013, 4, 101–123. [Google Scholar] [CrossRef]
- Pradhan, S.; Rituparna, S.; Dehury, H.; Dhall, M.; Singh, Y.D. Nutritional profile and pharmacological aspect of Houttuynia cordata Thunb. and their therapeutic applications. Pharmacol. Res. Mod. Chin. Med. 2023, 29, 100311. [Google Scholar] [CrossRef]
- Rafiq, S.; Hao, H.; Ijaz, M.; Raza, A. Pharmacological Effects of Houttuynia cordata Thunb (H. cordata): A Comprehensive Review. Pharmaceuticals 2022, 15, 1079. [Google Scholar] [CrossRef] [PubMed]
- Yang, L.; Fanourakis, D.; Tsaniklidis, G.; Li, K.; Yang, Q.; Li, T. Contrary to red, blue monochromatic light improves the bioactive compound content in broccoli sprouts. Agronomy 2021, 11, 2139. [Google Scholar] [CrossRef]
- Tsai, K.-C.; Huang, Y.-C.; Liaw, C.-C.; Tsai, C.-I.; Chiou, C.-T.; Lin, C.-J.; Wei, W.-C.; Lin, S.J.-S.; Tseng, Y.-H.; Yeh, K.-M.; et al. A traditional Chinese medicine formula NRICM101 to target COVID-19 through multiple pathways: A bedside-to-bench study. Biomed. Pharmacother. 2021, 133, 111037. [Google Scholar] [CrossRef]
- Wei, W.-C.; Liaw, C.-C.; Tsai, K.-C.; Chiou, C.-T.; Tseng, Y.-H.; Chiou, W.-F.; Lin, Y.-C.; Tsai, C.-I.; Lin, C.-S.; Lin, C.-S.; et al. Targeting spike protein-induced TLR/NET axis by Covid-19 therapeutic NRICM102 ameliorates pulmonary embolism and fibrosis. Pharmacol. Res. 2022, 2, 106424. [Google Scholar] [CrossRef] [PubMed]
- Committee on Chinese Medicine and Pharmacy. Taiwan Herbal Pharmacopeia English Version, 4th ed.; Ministry of Health and Welfare: Taipei, Taiwan, 2022; p. 203.
- Department of Health of Hong Kong. Hong Kong Chinese Materia Medica Standards; Department of Health: Hong Kong, China, 2012; Volume 4, p. 191.
- Loo, Y.-C.; Tsai, Y.-H.; Chen, H.; Hsieh, H.-P.; Chen, Y.-C.; Chen, H.-E.; Lin, Z.-H.; Huang, H.-T.; Liu, J.-M.; Liaw, C.-C.; et al. Quality and production enhancement of fish mint, Houttuynia cordata Thunb., cultivated in a hydroponic planting system with designed plant growth-promoting additives. Heliyon 2024, 10, e25875. [Google Scholar] [CrossRef]
- Li, Y.S.; Lin, K.H.; Wu, C.W.; Chang, Y.S. Effects of temperatures on growth, physiological, and antioxidant characteristics in Houttuynia cordata. Not. Bot. Horti Agrobot. 2021, 49, 12536. [Google Scholar] [CrossRef]
- Boonchaisri, S.; Mokoed, C.; Phuangchaona, P.; Treenate, E. Metabolomic and growth responses of Houttyunia cordata to varying light intensities and subsequent effects on fermented products. Trends Sci. 2024, 21, 7373. [Google Scholar] [CrossRef]
- Druege, U.; Hilo, A.; Perez-Perez, J.M.; Klopotek, Y.; Acosta, M.; Shahinnia, F.; Zerche, S.; Franken, P.; Hajirezaei, M.R. Molecular and physiological control of adventitious rooting in cuttings: Phytohormone action meets resource allocation. Ann. Bot. 2019, 123, 929–949. [Google Scholar] [CrossRef]
- Chen, M.; Chory, J.; Fankhauser, C. Light signal transduction in higher plants. Annu. Rev. Genet. 2004, 38, 87–117. [Google Scholar] [CrossRef]
- Smith, H. Light quality, photoperception, and plant strategy. Annu. Rev. Plant Physiol. 1982, 33, 481–518. [Google Scholar] [CrossRef]
- Wang, Z.; Tian, J.; Yu, B.; Yang, L.; Sun, Y. LED light spectrum affects the photosynthetic performance of Houttuynia cordata seedlings. Am. J. Opt. Photonics 2015, 3, 38–42. [Google Scholar] [CrossRef]
- Wang, Z.Q.; Tian, J.Y.; Yang, L. Effects of LED light spectra on active oxygen metabolism and expression of antioxidant isozymes in Houttuynia cordata Thunb. seedlings. Int. J. Environ. Agric. Res. 2015, 1, 28–34. [Google Scholar]
- Casal, J.J. Photoreceptor signaling networks in plant responses to shade. Annu. Rev. Plant Biol. 2013, 64, 403–427. [Google Scholar] [CrossRef]
- Casal, J.J.; Candia, A.N.; Sellaro, R. Light perception and signalling by phytochrome A. J. Exp. Bot. 2014, 65, 2835–2845. [Google Scholar] [CrossRef]
- Sheerin, D.J.; Hiltbrunner, A. Molecular mechanisms and ecological function of far-red light signalling. Plant Cell Environ. 2017, 40, 2509–2529. [Google Scholar] [CrossRef] [PubMed]
- Emerson, R.; Chalmers, R.; Cederstrand, C. Some factors influencing the long-wave limit of photosynthesis. Proc. Natl. Acad. Sci. USA 1957, 43, 133. [Google Scholar] [CrossRef] [PubMed]
- Emerson, R.; Rabinowitch, E. Red drop and role of auxiliary pigments in photosynthesis. Plant Physiol. 1960, 35, 477. [Google Scholar] [CrossRef] [PubMed]
- Legendre, R.; van Iersel, M.W. Supplemental far-red light stimulates lettuce growth: Disentangling morphological and physiological effects. Plants 2021, 10, 166. [Google Scholar] [CrossRef]
- Dale, M.P.; Causton, D.R. Use of the chlorophyll a/b ratio as a bioassay for the light environment of a plant. Funct. Ecol. 1992, 6, 190–196. [Google Scholar] [CrossRef]
- Chen, C.-L.; Yang, J.-P.; Huang, W.-D.; Chen, C.-C. The effect of Far-red light and nutrient level on the growth and secondary metabolites of the in vitro culture of Prunella vulgaris. Agronomy 2023, 13, 2250. [Google Scholar] [CrossRef]
- Kim, Y.L.; Sim, H.-S.; Jang, S.-N.; Lee, J.-H.; Son, K.-H. Changes in the growth and Lancemaside A content of Codonopsis lanceolata (deodeok) sprouts under LED-based lighting at different red/far-red ratios. Front. Plant Sci. 2025, 16, 1548781. [Google Scholar] [CrossRef]
- Klimek-Szczykutowicz, M.; Prokopiuk, B.; Dziurka, K.; Pawłowska, B.; Ekiert, H.; Szopa, A. The influence of different wavelengths of LED light on the production of glucosinolates and phenolic compounds and the antioxidant potential in in vitro cultures of Nasturtium officinale (Watercress). Plant Cell Tissue Organ Cult. 2022, 149, 113–122. [Google Scholar] [CrossRef]
- Park, J.U.; An, S.K.; Kim, J. Far-red light affects stomatal opening and evapotranspiration of sweet basil. Horticulturae 2023, 9, 1095. [Google Scholar] [CrossRef]
- Zou, J.; Fanourakis, D.; Tsaniklidis, G.; Cheng, R.; Yang, Q.; Li, T. Lettuce growth, morphology and critical leaf trait responses to far-red light during cultivation are low fluence and obey the reciprocity law. Sci. Hortic. 2021, 289, 110455. [Google Scholar] [CrossRef]
- Zou, J.; Fanourakis, D.; Tsaniklidis, G.; Woltering, E.J.; Cheng, R.; Li, T. Far-red radiation during indoor cultivation reduces lettuce nutraceutical quality and shortens the shelf-life when stored at supra optimal temperatures. Postharvest Biol. Technol. 2023, 198, 112269. [Google Scholar] [CrossRef]
- Karamat, U.; Guo, J.; Jiang, S.; Khan, I.; Lu, M.; Fu, M.; Li, G. Comprehensive, genome-wide identification and expression analyses of phenylalanine ammonia-lyase family under abiotic stresses in Brassica oleracea. Int. J. Mol. Sci. 2024, 25, 10276. [Google Scholar] [CrossRef]
- Li, H.S.; Ye, W.; Wang, Y.; Chen, X.H. RNA sequencing-based exploration of the effects of far-red light on lncRNAs involved in the shade-avoidance response of D. officinale. PeerJ 2021, 9, e10769. [Google Scholar] [CrossRef]
- Mohanan, P.; Yang, T.-J.; Song, Y.H. Effect of far-red light on the production and diversity of ginsenosides in leaves of Panax ginseng Meyer. Appl. Biol. Chem. 2023, 66, 16. [Google Scholar] [CrossRef]
- Yoneda, Y.; Nakashima, H.; Miyasaka, J.; Ohdoi, K.; Shimizu, H. Impact of blue, red, and far-red light treatments on gene expression and steviol glycoside accumulation in Stevia rebaudiana. Phytochemistry 2017, 137, 57–65. [Google Scholar] [CrossRef] [PubMed]
- Miranda Sotelo, M.M.; Tu, Y.-K.; Chang, P.P.-C.; Fang, W.; Chung, H.-Y. Effects of low green light combined with different red and far-red light ratios on the growth and secondary metabolites of cilantro (Coriandrum sativum L.). Agronomy 2025, 15, 1363. [Google Scholar] [CrossRef]
- Yang, C.-M.; Chang, K.-W.; Yin, M.-H.; Huang, H.-M. Methods for the determination of the chlorophylls and their derivatives. Taiwania 1998, 43, 116–122. [Google Scholar]
- Ghosh, A.; Ghosh, B.; Parihar, N.; Ilaweibaphyrnai, M.; Panda, S.R.; Alexander, A.; Chella, N.; Murty, U.S.N.; Naidu, V.G.M.; Jagadeesh, K.G.; et al. Nutraceutical Prospects of Houttuynia cordata against the infectious viruses. Food Biosci. 2022, 50, 101977. [Google Scholar] [CrossRef]
- Franklin, K.A.; Whitelam, G.C. Phytochromes and shade-avoidance responses in plants. Ann. Bot. 2005, 96, 169–175. [Google Scholar] [CrossRef] [PubMed]
- Tan, T.; Li, S.; Fan, Y.; Wang, Z.; Ali Raza, M.; Shafiq, I.; Wang, B.; Wu, X.; Yong, T.; Wang, X.; et al. Far-red light: A regulator of plant morphology and photosynthetic capacity. Crop J. 2022, 10, 300–309. [Google Scholar] [CrossRef]
- Li, W.; Liu, S.W.; Ma, J.J.; Liu, H.M.; Han, F.X.; Li, Y.; Niu, S.H. Gibberellin signaling is required for far-red light-induced shoot elongation in Pinus tabuliformis seedlings. Plant Physiol. 2020, 182, 658–668. [Google Scholar] [CrossRef]
- Tan, X.; Sha, L.; Tian, B.; Yu, M.; Xie, Z.; Chen, W.; Huangfu, Y.; Guo, J.; Liu, J.; Deng, C.; et al. Synergistic integration of light signal, hormone dynamics, and carbohydrate metabolism orchestrates rhizome bud development in Arundo donax. Planta 2025, 262, 85. [Google Scholar] [CrossRef]
- Croce, R.; van Amerongen, H. Natural strategies for photosynthetic light harvesting. Nat. Chem. Biol. 2014, 10, 492–501. [Google Scholar] [CrossRef] [PubMed]
- Wu, G.; Ma, L.; Sayre, R.T.; Lee, C.-H. Identification of the optimal light harvesting antenna size for high-light stress mitigation in plants. Front. Plant Sci. 2020, 11, 505. [Google Scholar] [CrossRef]
- Jia, H.; Liggins, J.R.; Chow, W.S. Acclimation of leaves to low light produces large grana: The origin of the predominant attractive force at work. Philos. Trans. 2012, 367, 3494–3502. [Google Scholar] [CrossRef]
- Minagawa, J. State transitions—The molecular remodeling of photosynthetic supercomplexes that controls energy flow in the chloroplast. Biochim. Biophys. Acta Bioenerg. 2011, 1807, 897–905. [Google Scholar] [CrossRef]
- Kong, J.; Zhao, Y.; Fan, P.; Wang, Y.; Xu, X.; Wang, L.; Li, S.; Duan, W.; Liang, Z.; Dai, Z. Far-red light modulates grapevine growth by increasing leaf photosynthesis efficiency and triggering organ-specific transcriptome remodelling. BMC Plant Biol. 2024, 24, 189. [Google Scholar] [CrossRef] [PubMed]
- Zhang, S.; Zhang, L.; Zou, H.; Qiu, L.; Zheng, Y.; Yang, D.; Wang, Y. Effects of light on secondary metabolite biosynthesis in medicinal plants. Front. Plant Sci. 2021, 12, 781236. [Google Scholar] [CrossRef] [PubMed]
- D’Orso, F.; Hill, L.; Appelhagen, I.; Lawrenson, T.; Possenti, M.; Li, J.; Harwood, W.; Morelli, G.; Martin, C. Exploring the metabolic and physiological roles of hqt in S. lycopersicum by gene editing. Front. Plant Sci. 2023, 14, 1124959. [Google Scholar] [CrossRef] [PubMed]
- Sheerin, D.J.; Menon, C.; Oven-Krockhaus, S.Z.; Enderle, B.; Zhu, L.; Johnen, P.; Schleifenbaum, F.; Stierhof, Y.D.; Huq, E.; Hiltbrunner, A. Light-activated phytochrome A and B interact with members of the SPA family to promote photomorphogenesis in Arabidopsis by reorganizing the COP1/SPA complex. Plant Cell 2015, 27, 189–201. [Google Scholar] [CrossRef]
- Liu, Y.; Singh, S.K.; Pattanaik, S.; Wang, H.; Yuan, L. Light Regulation of the biosynthesis of phenolics, terpenoids, and alkaloids in plants. Commun. Biol. 2023, 6, 1055. [Google Scholar] [CrossRef]
- Bhatia, C.; Gaddam, S.R.; Pandey, A.; Trivedi, P.K. COP1 mediates light-dependent regulation of flavonol biosynthesis through HY5 in Arabidopsis. Plant Sci. 2021, 303, 110760. [Google Scholar] [CrossRef]
- Zeng, Y.; Tian, G.; Liu, X.; Chen, L.; Zhu, J.; He, F.; Li, K.; Yu, H.; Tang, M.; Yang, Z. Integrated metabolomic and transcriptomic analysis of polysaccharides and flavonoids in different tissues of Houttuynia cordata. Sci. Hortic. 2024, 338, 113729. [Google Scholar] [CrossRef]
- Yin, N.; Luo, J.; Wang, C.; Xiong, Y.; Sun, Y.; Yuan, E.; Zhang, H. Comprehensive evaluation of the effects of hot air drying temperature on the chemical composition, flavor characteristics and biological activity of Houttuynia cordata Thunb. Foods 2025, 14, 1962. [Google Scholar] [CrossRef] [PubMed]
Disclaimer/Publisher’s Note: The statements, opinions and data contained in all publications are solely those of the individual author(s) and contributor(s) and not of MDPI and/or the editor(s). MDPI and/or the editor(s) disclaim responsibility for any injury to people or property resulting from any ideas, methods, instructions or products referred to in the content. |
© 2025 by the authors. Licensee MDPI, Basel, Switzerland. This article is an open access article distributed under the terms and conditions of the Creative Commons Attribution (CC BY) license (https://creativecommons.org/licenses/by/4.0/).


