Upgrading Major Waste Streams Derived from the Biodiesel Industry and Olive Mills via Microbial Bioprocessing with Non-Conventional Yarrowia lipolytica Strains
Abstract
1. Introduction
2. Materials and Methods
2.1. Microorganisms and Raw Materials
2.2. Formulation of Fermentation Media and Batch Fermentations for Cit Production
2.3. Analytical Methods
2.4. Nomenclature
2.5. Statistical Analysis
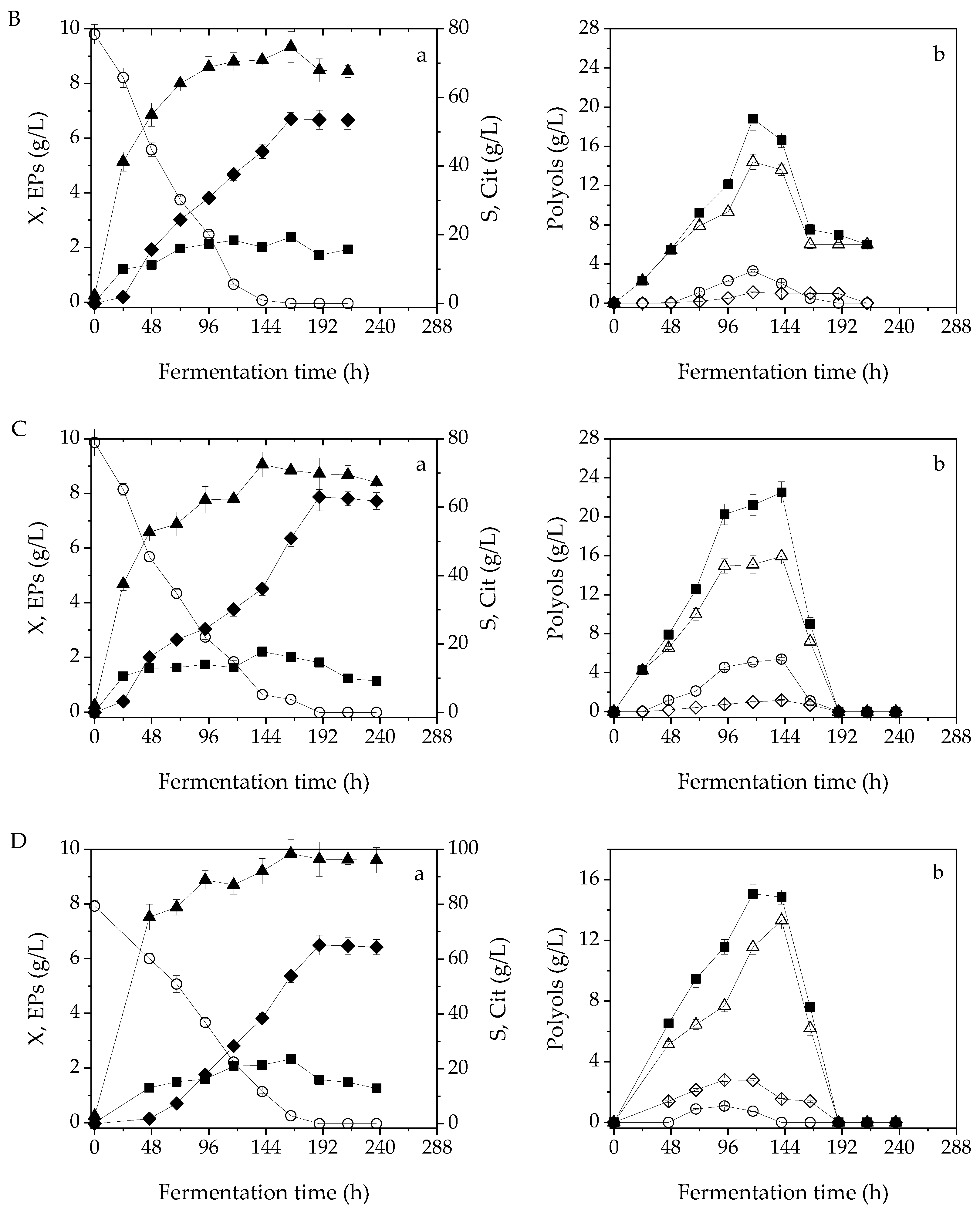
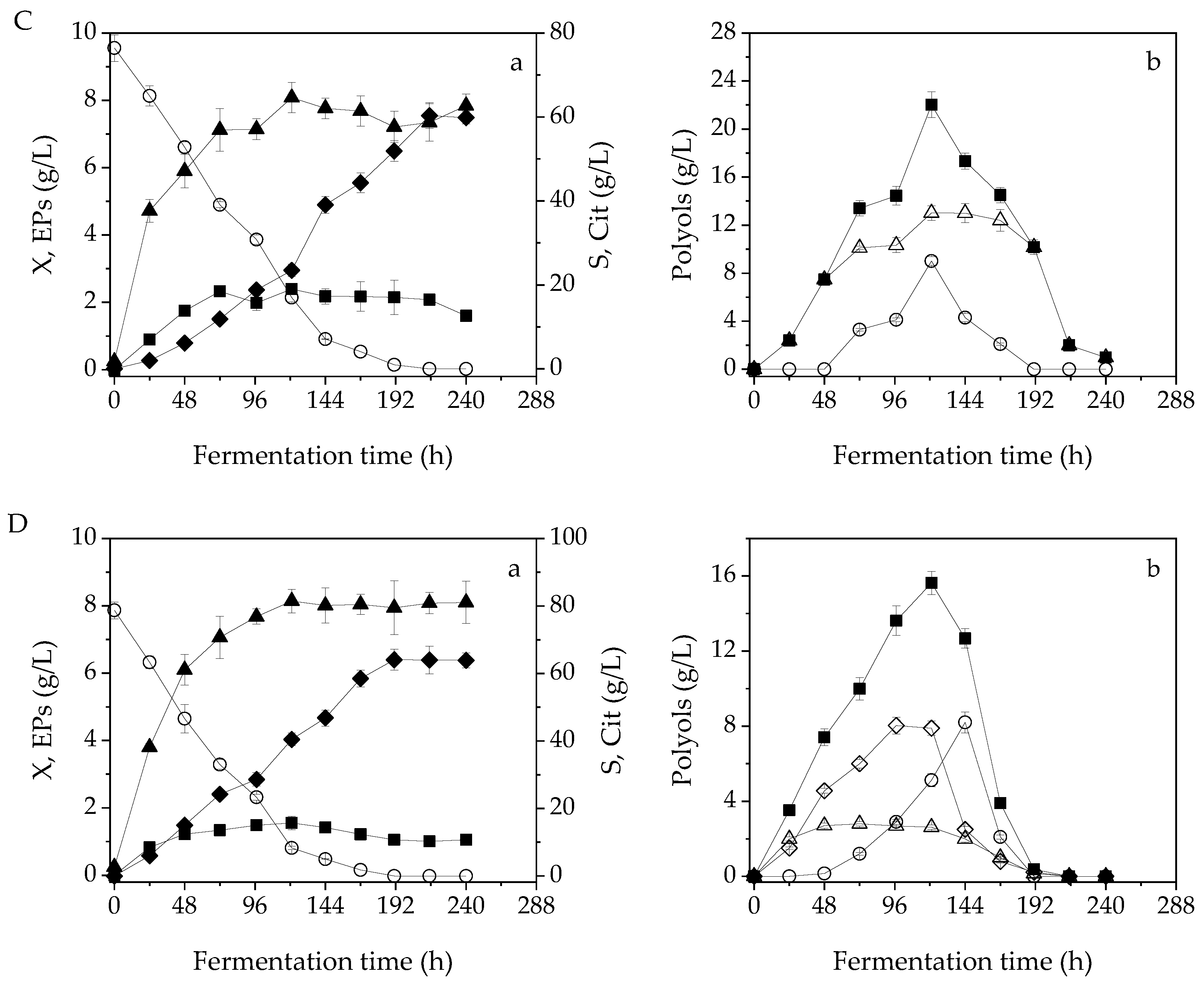
3. Results
4. Discussion
5. Conclusions
Author Contributions
Funding
Institutional Review Board Statement
Informed Consent Statement
Data Availability Statement
Conflicts of Interest
References
- United Nations. The 2030 Agenda for Sustainable Development. Available online: https://sdgs.un.org/goals (accessed on 14 December 2022).
- United Nations, Department of Economica and Social Affairs. Sustainable Development, the 17 SDGs. Available online: https://sdgs.un.org/goals (accessed on 11 December 2022).
- European Council. Fit for 55. Available online: https://www.consilium.europa.eu/en/policies/green-deal/fit-for-55-the-eu-plan-for-a-green-transition/ (accessed on 15 November 2022).
- Rocha, C.; Soria, M.A.; Madeira, L.M. Olive Mill Wastewater Valorization through Steam Reforming Using Multifunctional Reactors: Challenges of the Process Intensification. Energies 2022, 15, 920. [Google Scholar] [CrossRef]
- Tsouko, E.; Papadaki, A.; Papapostolou, H.; Ladakis, D.; Natsia, A.; Koutinas, A.; Kampioti, A.; Eriotou, E.; Kopsahelis, N. Valorization of Zante Currant Side-streams for the Production of Phenolic-rich Extract and Bacterial Cellulose: A Novel Biorefinery Concept. J. Chem. Technol. Biotechnol. 2020, 95, 427–438. [Google Scholar] [CrossRef]
- Nikolaou, A.; Kourkoutas, Y. Exploitation of Olive Oil Mill Wastewaters and Molasses for Ethanol Production Using Immobilized Cells of Saccharomyces Cerevisiae. Environ. Sci. Pollut. Res. 2018, 25, 7401–7408. [Google Scholar] [CrossRef] [PubMed]
- Kaur, J.; Sarma, A.K.; Jha, M.K.; Gera, P. Valorisation of Crude Glycerol to Value-Added Products: Perspectives of Process Technology, Economics and Environmental Issues. Biotechnol. Rep. 2020, 27, e00487. [Google Scholar] [CrossRef]
- Zoppi, G.; Pipitone, G.; Pirone, R.; Bensaid, S. Aqueous Phase Reforming Process for the Valorization of Wastewater Streams: Application to Different Industrial Scenarios. Catal. Today 2022, 387, 224–236. [Google Scholar] [CrossRef]
- Hu, W.; Li, W.; Yang, H.; Chen, J. Current Strategies and Future Prospects for Enhancing Microbial Production of Citric Acid. Appl. Microbiol. Biotechnol. 2019, 103, 201–209. [Google Scholar] [CrossRef]
- Grand View Research. Citric Acid Market Size. Available online: https://www.grandviewresearch.com/press-release/global-citric-acid-market (accessed on 28 November 2022).
- Cavallo, E.; Nobile, M.; Cerrutti, P.; Foresti, M.L. Exploring the Production of Citric Acid with Yarrowia Lipolytica Using Corn Wet Milling Products as Alternative Low-Cost Fermentation Media. Biochem. Eng. J. 2020, 155, 107463. [Google Scholar] [CrossRef]
- Morgunov, I.; Kamzolova, S.; Lunina, J. Citric Acid Production by Yarrowia Lipolytica Yeast on Different Renewable Raw Materials. Fermentation 2018, 4, 36. [Google Scholar] [CrossRef]
- Soong, Y.V.; Liu, N.; Yoon, S.; Lawton, C.; Xie, D. Cellular and Metabolic Engineering of Oleaginous Yeast Yarrowia Lipolytica for Bioconversion of Hydrophobic Substrates into High-value Products. Eng. Life Sci. 2019, 19, 423–443. [Google Scholar] [CrossRef]
- Erian, A.M.; Sauer, M. Utilizing Yeasts for the Conversion of Renewable Feedstocks to Sugar Alcohols—A Review. Bioresour. Technol. 2022, 346, 126296. [Google Scholar] [CrossRef]
- Sardon, H.; Mecerreyes, D.; Basterretxea, A.; Avérous, L.; Jehanno, C. From Lab to Market: Current Strategies for the Production of Biobased Polyols. ACS Sustain. Chem. Eng. 2021, 9, 10664–10677. [Google Scholar] [CrossRef]
- Martău, G.A.; Coman, V.; Vodnar, D.C. Recent Advances in the Biotechnological Production of Erythritol and Mannitol. Crit. Rev. Biotechnol. 2020, 40, 608–622. [Google Scholar] [CrossRef] [PubMed]
- Paulino, B.N.; Molina, G.; Pastore, G.M.; Bicas, J.L. Current Perspectives in the Biotechnological Production of Sweetening Syrups and Polyols. Curr. Opin. Food Sci. 2021, 41, 36–43. [Google Scholar] [CrossRef]
- Paramithiotis, S.; Müller, M.R.A.; Ehrmann, M.A.; Tsakalidou, E.; Seiler, H.; Vogel, R.; Kalantzopoulos, G. Polyphasic Identification of Wild Yeast Strains Isolated from Greek Sourdoughs. Syst. Appl. Microbiol. 2000, 23, 156–164. [Google Scholar] [CrossRef] [PubMed]
- Tryfinopoulou, P.; Tsakalidou, E.; Nychas, G.-J. Characterization of Pseudomonas Spp. Associated with Spoilage of Gilt-Head Sea Bream Stored under Various Conditions. Appl. Environ. Microbiol. 2002, 68, 65–72. [Google Scholar] [CrossRef]
- Folch, J.; Lees, M.; Stanley, G.H.S. A simple method for the isolation and purification of to-tal lipides from animal tissues. J. Biol. Chem. 1957, 226, 497–509. [Google Scholar] [CrossRef]
- Folin, O.; Ciocalteau, V. On tyrosine and tryptophane in proteins. J. Biol. Chem. 1927, 73, 627–650. [Google Scholar] [CrossRef]
- Xenopoulos, E.; Giannikakis, I.; Chatzifragkou, A.; Koutinas, A.; Papanikolaou, S. Lipid Production by Yeasts Growing on Commercial Xylose in Submerged Cultures with Process Water Being Partially Replaced by Olive Mill Wastewaters. Processes 2020, 8, 819. [Google Scholar] [CrossRef]
- Miller, G.L. Use of Dinitrosalicylic Acid Reagent for Determination of Reducing Sugar. Anal. Chem. 1959, 31, 426–428. [Google Scholar] [CrossRef]
- Lie, S. The Ebc-Ninhydrin Method for Determination of Free Alpha Amino Nitrogen. J. Inst. Brew. 1973, 79, 37–41. [Google Scholar] [CrossRef]
- Tsouko, E.; Papadaki, A.; Papanikolaou, S.; Danezis, G.P.; Georgiou, C.A.; Freire, D.M.G.; Koutinas, A. Enzymatic Production of Isopropyl and 2-Ethylhexyl Esters Using γ-Linolenic Acid Rich Fungal Oil Produced from Spent Sulphite Liquor. Biochem. Eng. J. 2021, 169, 107956. [Google Scholar] [CrossRef]
- Azzaz, A.A.; Jeguirim, M.; Kinigopoulou, V.; Doulgeris, C.; Goddard, M.-L.; Jellali, S.; Matei Ghimbeu, C. Olive Mill Wastewater: From a Pollutant to Green Fuels, Agricultural and Water Source and Bio-Fertilizer—Hydrothermal Carbonization. Sci. Total Environ. 2020, 733, 139314. [Google Scholar] [CrossRef] [PubMed]
- Zahi, M.R.; Zam, W.; El Hattab, M. State of Knowledge on Chemical, Biological and Nutritional Properties of Olive Mill Wastewater. Food Chem. 2022, 381, 132238. [Google Scholar] [CrossRef] [PubMed]
- Nomanbhay, S.; Ong, M.Y.; Chew, K.W.; Show, P.-L.; Lam, M.K.; Chen, W.-H. Organic Carbonate Production Utilizing Crude Glycerol Derived as By-Product of Biodiesel Production: A Review. Energies 2020, 13, 1483. [Google Scholar] [CrossRef]
- Kosamia, N.M.; Samavi, M.; Uprety, B.K.; Rakshit, S.K. Valorization of Biodiesel Byproduct Crude Glycerol for the Production of Bioenergy and Biochemicals. Catalysts 2020, 10, 609. [Google Scholar] [CrossRef]
- Papanikolaou, S.; Aggelis, G. Biotechnological Valorization of Biodiesel Derived Glycerol Waste through Production of Single Cell Oil and Citric Acid by Yarrowia Lipolytica. Lipid Technol. 2009, 21, 83–87. [Google Scholar] [CrossRef]
- Papanikolaou, S.; Aggelis, G. Lipid Production by Yarrowia Lipolytica Growing on Industrial Glycerol in a Single-Stage Continuous Culture. Bioresour. Technol. 2002, 82, 43–49. [Google Scholar] [CrossRef]
- Papanikolaou, S.; Diamantopoulou, P.; Blanchard, F.; Lambrinea, E.; Chevalot, I.; Stoforos, N.G.; Rondags, E. Physiological Characterization of a Novel Wild-Type Yarrowia Lipolytica Strain Grown on Glycerol: Effects of Cultivation Conditions and Mode on Polyols and Citric Acid Production. Appl. Sci. 2020, 10, 7373. [Google Scholar] [CrossRef]
- Daskalaki, A.; Perdikouli, N.; Aggeli, D.; Aggelis, G. Laboratory Evolution Strategies for Improving Lipid Accumulation in Yarrowia Lipolytica. Appl. Microbiol. Biotechnol. 2019, 103, 8585–8596. [Google Scholar] [CrossRef]
- Diamantopoulou, P.; Filippousi, R.; Antoniou, D.; Varfi, E.; Xenopoulos, E.; Sarris, D.; Papanikolaou, S. Production of Added-Value Microbial Metabolites during Growth of Yeast Strains on Media Composed of Biodiesel-Derived Crude Glycerol and Glycerol/Xylose Blends. FEMS Microbiol. Lett. 2020, 367, fnaa063. [Google Scholar] [CrossRef]
- Tsouko, E.; Papanikolaou, S.; Koutinas, A.A. Production of Fuels from Microbial Oil Using Oleaginous Microorganisms. In Handbook of Biofuels Production; Elsevier: Amsterdam, The Netherlands, 2016; pp. 201–236. [Google Scholar] [CrossRef]
- Papanikolaou, S.; Aggelis, G. Lipids of Oleaginous Yeasts. Part II: Technology and Potential Applications. Eur. J. Lipid Sci. Technol. 2011, 113, 1052–1073. [Google Scholar] [CrossRef]
- Sarris, D.; Rapti, A.; Papafotis, N.; Koutinas, A.A.; Papanikolaou, S. Production of Added-Value Chemical Compounds through Bioconversions of Olive-Mill Wastewaters Blended with Crude Glycerol by a Yarrowia Lipolytica Strain. Molecules 2019, 24, 222. [Google Scholar] [CrossRef] [PubMed]
- Dourou, M.; Kancelista, A.; Juszczyk, P.; Sarris, D.; Bellou, S.; Triantaphyllidou, I.-E.; Rywinska, A.; Papanikolaou, S.; Aggelis, G. Bioconversion of Olive Mill Wastewater into High-Added Value Products. J. Clean. Prod. 2016, 139, 957–969. [Google Scholar] [CrossRef]
- Cairns, T.C.; Barthel, L.; Meyer, V. Something Old, Something New: Challenges and Developments in Aspergillus Niger Biotechnology. Essays Biochem. 2021, 65, 213–224. [Google Scholar] [CrossRef]
- Amato, A.; Becci, A.; Beolchini, F. Citric Acid Bioproduction: The Technological Innovation Change. Crit. Rev. Biotechnol. 2020, 40, 199–212. [Google Scholar] [CrossRef]
- Papadaki, E.; Mantzouridou, F.T. Citric Acid Production from the Integration of Spanish-Style Green Olive Processing Wastewaters with White Grape Pomace by Aspergillus Niger. Bioresour. Technol. 2019, 280, 59–69. [Google Scholar] [CrossRef]
- Kamzolova, S.V.; Morgunov, I.G. Metabolic Peculiarities of the Citric Acid Overproduction from Glucose in Yeasts Yarrowia Lipolytica. Bioresour. Technol. 2017, 243, 433–440. [Google Scholar] [CrossRef]
- Tan, M.-J.; Chen, X.; Wang, Y.-K.; Liu, G.-L.; Chi, Z.-M. Enhanced Citric Acid Production by a Yeast Yarrowia Lipolytica Over-Expressing a Pyruvate Carboxylase Gene. Bioprocess Biosyst. Eng. 2016, 39, 1289–1296. [Google Scholar] [CrossRef]
- Fu, G.-Y.; Lu, Y.; Chi, Z.; Liu, G.-L.; Zhao, S.-F.; Jiang, H.; Chi, Z.-M. Cloning and Characterization of a Pyruvate Carboxylase Gene from Penicillium Rubens and Overexpression of the Genein the Yeast Yarrowia Lipolytica for Enhanced Citric Acid Production. Mar. Biotechnol. 2016, 18, 1–14. [Google Scholar] [CrossRef]
- Tzirita, M.; Kremmyda, M.; Sarris, D.; Koutinas, A.A.; Papanikolaou, S. Effect of Salt Addition upon the Production of Metabolic Compounds by Yarrowia Lipolytica Cultivated on Biodiesel-Derived Glycerol Diluted with Olive-Mill Wastewaters. Energies 2019, 12, 3649. [Google Scholar] [CrossRef]
- Papanikolaou, S.; Rontou, M.; Belka, A.; Athenaki, M.; Gardeli, C.; Mallouchos, A.; Kalantzi, O.; Koutinas, A.A.; Kookos, I.K.; Zeng, A.-P.; et al. Conversion of Biodiesel-Derived Glycerol into Biotechnological Products of Industrial Significance by Yeast and Fungal Strains. Eng. Life Sci. 2017, 17, 262–281. [Google Scholar] [CrossRef] [PubMed]
- Kumar, L.R.; Yellapu, S.K.; Yan, S.; Tyagi, R.; Drogui, P. Elucidating the Effect of Impurities Present in Different Crude Glycerol Sources on Lipid and Citric Acid Production by Yarrowia lipolytica SKY7. J. Chem. Technol. Biotechnol. 2021, 96, 227–240. [Google Scholar] [CrossRef]
- Papanikolaou, S.; Kampisopoulou, E.; Blanchard, F.; Rondags, E.; Gardeli, C.; Koutinas, A.A.; Chevalot, I.; Aggelis, G. Production of Secondary Metabolites through Glycerol Fermentation under Carbon-excess Conditions by the Yeasts Yarrowia lipolytica and Rhodosporidium Toruloides. Eur. J. Lipid Sci. Technol. 2017, 119, 1600507. [Google Scholar] [CrossRef]
- Egermeier, M.; Russmayer, H.; Sauer, M.; Marx, H. Metabolic Flexibility of Yarrowia Lipolytica Growing on Glycerol. Front. Microbiol. 2017, 8, 49. [Google Scholar] [CrossRef] [PubMed]
- Egermeier, M.; Sauer, M.; Marx, H. Golden Gate-Based Metabolic Engineering Strategy for Wild-Type Strains of Yarrowia lipolytica. FEMS Microbiol. Lett. 2019, 366, fnz022. [Google Scholar] [CrossRef] [PubMed]
- Tomaszewska, L.; Rywińska, A.; Gładkowski, W. Production of Erythritol and Mannitol by Yarrowia lipolytica Yeast in Media Containing Glycerol. J. Ind. Microbiol. Biotechnol. 2012, 39, 1333–1343. [Google Scholar] [CrossRef] [PubMed]
- Fickers, P.; Cheng, H.; Sze Ki Lin, C. Sugar Alcohols and Organic Acids Synthesis in Yarrowia Lipolytica: Where Are We? Microorganisms 2020, 8, 574. [Google Scholar] [CrossRef]
- Tomaszewska, L.; Rakicka, M.; Rymowicz, W.; Rywińska, A. A Comparative Study on Glycerol Metabolism to Erythritol and Citric Acid in Yarrowia lipolytica Yeast Cells. FEMS Yeast Res. 2014, 14, 966–976. [Google Scholar] [CrossRef]
- Carly, F.; Vandermies, M.; Telek, S.; Steels, S.; Thomas, S.; Nicaud, J.-M.; Fickers, P. Enhancing Erythritol Productivity in Yarrowia Lipolytica Using Metabolic Engineering. Metab. Eng. 2017, 42, 19–24. [Google Scholar] [CrossRef]
- Rakicka, M.; Biegalska, A.; Rymowicz, W.; Dobrowolski, A.; Mirończuk, A.M. Polyol Production from Waste Materials by Genetically Modified Yarrowia Lipolytica. Bioresour. Technol. 2017, 243, 393–399. [Google Scholar] [CrossRef]
- Mirończuk, A.M.; Dobrowolski, A.; Rakicka, M.; Rywińska, A.; Rymowicz, W. Newly Isolated Mutant of Yarrowia Lipolytica MK1 as a Proper Host for Efficient Erythritol Biosynthesis from Glycerol. Process Biochem. 2015, 50, 61–68. [Google Scholar] [CrossRef]
- Liu, X.; Yu, X.; Wang, Z.; Xia, J.; Yan, Y.; Hu, L.; Wang, X.; Xu, J.; He, A.; Zhao, P. Enhanced Erythritol Production by a Snf1-Deficient Yarrowia Lipolytica Strain under Nitrogen-Enriched Fermentation Condition. Food Bioprod. Process. 2020, 119, 306–316. [Google Scholar] [CrossRef]
- Khan, A.; Bhide, A.; Gadre, R. Mannitol Production from Glycerol by Resting Cells of Candida Magnoliae. Bioresour. Technol. 2009, 100, 4911–4913. [Google Scholar] [CrossRef] [PubMed]
- Fountoulakis, M.S.; Dokianakis, S.N.; Kornaros, M.E.; Aggelis, G.G.; Lyberatos, G. Removal of Phenolics in Olive Mill Wastewaters Using the White-Rot Fungus Pleurotus Ostreatus. Water Res. 2002, 36, 4735–4744. [Google Scholar] [CrossRef] [PubMed]
- Crognale, S.; D’Annibale, A.; Federici, F.; Fenice, M.; Quaratino, D.; Petruccioli, M. Olive Oil Mill Wastewater Valorisation by Fungi. J. Chem. Technol. Biotechnol. 2006, 81, 1547–1555. [Google Scholar] [CrossRef]
- Lanciotti, R. Use of Yarrowia Lipolytica Strains for the Treatment of Olive Mill Wastewater. Bioresour. Technol. 2005, 96, 317–322. [Google Scholar] [CrossRef] [PubMed]
- Papanikolaou, S.; Galiotou-Panayotou, M.; Fakas, S.; Komaitis, M.; Aggelis, G. Citric Acid Production by Yarrowia Lipolytica Cultivated on Olive-Mill Wastewater-Based Media. Bioresour. Technol. 2008, 99, 2419–2428. [Google Scholar] [CrossRef]
- Sarris, D.; Matsakas, L.; Aggelis, G.; Koutinas, A.A.; Papanikolaou, S. Aerated vs Non-Aerated Conversions of Molasses and Olive Mill Wastewaters Blends into Bioethanol by Saccharomyces Cerevisiae under Non-Aseptic Conditions. Ind. Crop. Prod. 2014, 56, 83–93. [Google Scholar] [CrossRef]
- Sarris, D.; Galiotou-Panayotou, M.; Koutinas, A.A.; Komaitis, M.; Papanikolaou, S. Citric Acid, Biomass and Cellular Lipid Production by Yarrowia Lipolytica Strains Cultivated on Olive Mill Wastewater-Based Media. J. Chem. Technol. Biotechnol. 2011, 86, 1439–1448. [Google Scholar] [CrossRef]
- Rizzo, M.; Ventrice, D.; Varone, M.A.; Sidari, R.; Caridi, A. HPLC Determination of Phenolics Adsorbed on Yeasts. J. Pharm. Biomed. Anal. 2006, 42, 46–55. [Google Scholar] [CrossRef]
- Chtourou, M.; Ammar, E.; Nasri, M.; Medhioub, K. Isolation of a Yeast, Trichosporon Cutaneum, Able to Use Low Molecular Weight Phenolic Compounds: Application to Olive Mill Waste Water Treatment. J. Chem. Technol. Biotechnol. 2004, 79, 869–878. [Google Scholar] [CrossRef]




| Phen (g/L) | Time (h) | X (g/L) | EPs (g/L) | Cit (g/L) | Man (g/L) | Ara (g/L) | Ery (g/L) | ΣPol (g/L) | YX/S (g/g) | YCit/S (g/g) | YΣPol/S (g/g) | Productivity Cit (g/L/h) | |
|---|---|---|---|---|---|---|---|---|---|---|---|---|---|
| Y. lipolytica LMBF Y-46 | |||||||||||||
| 0 | 191 | c | 9.0 ± 0.3 | 4.4 ± 0.6 | 29.3 ± 1.9 | 8.4 ± 0.3 | 2.0 ± 0.2 | 17.3 ± 0.9 | 27.8 ± 1.1 a | 0.360 | |||
| 240 | a, b | 9.5 ± 0.4 a | 4.9 ± 0.2 a | 40.1 ± 1.9 a | 9.4 ± 0.7 | 2.5 ± 0.2 | 1.2 ± 0.1 | 13.1 ± 0.6 | 0.124 | 0.437 | 0.167 | ||
| ≈1 | 121 | a, c | 8.2 ± 0.6 b | 2.5 ± 0.2 b | 35.1 ± 1.7 | 13.1 ± 0.8 | 1.2 ± 0.1 | 8.3 ± 0.4 | 22.6 ± 1.5 b | 0.106 | 0.292 | ||
| 215 | b | 7.0 ± 0.4 | 1.5 ± 0.1 | 58.0 ± 2 b | 4.1 ± 0.2 | - | - | 4.1 ± 0.2 | 0.605 | 0.27 | |||
| ≈2 | 121 | a, c | 8.1 ± 0.5 b | 2.4 ± 0.1 b | 23.5 ± 1.5 | 13.1 ± 0.6 | - | 9.0 ± 0.4 | 22.0 ± 1.1 b | 0.106 | 0.288 | ||
| 215 | b | 7.3 ± 0.6 | 2.1 ± 0.1 | 60.3 ± 3.1 c | 2.3 ± 0.1 | - | - | 2.0 ± 0.2 | 0.626 | 0.281 | |||
| ≈3 | 121 | a, c | 8.1 ± 0.4 b | 1.6 ± 0.2 c | 40.4 ± 1.9 | 2.6 ± 0.1 | 7.9 ± 0.4 | 5.1 ± 0.4 | 15.6 ± 0.6 c | 0.103 | 0.199 | ||
| 191 | b | 7.9 ± 0.8 | 1.1 ± 0.1 | 64.1 ± 3.1 d | <0.5 | <0.5 | - | <0.5 | 0.682 | 0.335 | |||
| Y. lipolytica ACA-YC 5033 | |||||||||||||
| 0 | 169 | a, b, c | 10.7 ± 0.5 a | 6.6 ± 0.7 a | 23.3 ± 1.1 a | 10.8 ± 0.3 | 3.1 ± 0.2 | 16.4 ± 0.5 | 30.3 ± 1.3 a | 0.139 | 0.303 | 0.394 | 0.138 |
| ≈1 | 117 | c | 8.8 ± 0.3 | 2.3 ± 0.1 | 37.6 ± 1.8 | 14.4 ± 0.8 | 1.1 ± 0.1 | 3.3 ± 0.1 | 18.8 ± 1.2 b | 0.24 | |||
| 165 | a, b | 9.3 ± 0.6 b | 2.4 ± 0.1 b | 53.8 ± 1.9 b | 6.2 ± 0.5 | 1.0 ± 0.1 | 0.5 ± 0.1 | 13.1 ± 0.6 | 0.119 | 0.6 | 0.326 | ||
| ≈2 | 141 | a, c | 9.1 ± 0.5 b | 2.2 ± 0.2 b | 36.2 ± 2 | 15.9 ± 0.8 | 1.2 ± 0.3 | 5.4 ± 0.2 | 22.5 ± 1.1 c | 0.115 | 0.285 | ||
| 189 | b | 8.7 ± 0.6 | 1.8 ± 2.1 | 63.6 ± 4.1 c | - | - | - | - | 0.621 | 0.333 | |||
| ≈3 | 117 | c | 8.7 ± 0.4 | 2.1 ± 0.1 | 28.4 ± 1.4 | 11.6 ± 0.5 | 2.8 ± 0.1 | 0.7 ± 0.1 | 15.1 ± 0.6 d | 0.190 | |||
| 165 | a | 9.8 ± 0.1 b | 2.3 ± 0.1 b | 53.9 ± 2.5 | 6.2 ± 0.5 | 1.4 ± 0.1 | - | 10.3 ± 0.2 | 0.124 | ||||
| 189 | b | 9.6 ± 0.8 | 1.6 ± 0.1 | 65.1 ± 3.6 d | - | - | - | - | 0.690 | 0.344 | |||
| Fatty Acid Methyl Esters (% w/w) | ||||||||
|---|---|---|---|---|---|---|---|---|
| Phen (g/L) | Time (h) | YL/X (% w/w) | C16:0 | Δ9C16:1 | C18:0 | Δ9C18:1 | Δ9,12C18:2 | |
| Y. lipolytica LMBF Y-46 | ≈0 | 215 | 8.8 | 18.9 | 4.7 | 11.9 | 50.5 | 14.0 |
| ≈1 | 121 | 9.6 | 15.1 | 5.3 | 11.2 | 53.1 | 15.3 | |
| ≈2 | 121 | 16.6 | 23.3 | 3.2 | 9.9 | 51.0 | 12.6 | |
| ≈3 | 121 | 9.6 | 17.3 | 3.6 | 7.0 | 51.8 | 20.2 | |
| Y. lipolytica ACA-YC 5033 | ≈0 | - | <5.0 | 16.1 | 7.3 | 7.9 | 58.0 | 10.5 |
| ≈1 | 165 | 5.8 | 18.2 | 9.1 | 9.6 | 54.1 | 8.0 | |
| ≈2 | 141 | 8.6 | 17.8 | 6.9 | 11.1 | 54.2 | 9.7 | |
| ≈3 | 165 | 14.6 | 18.9 | 4.3 | 11.9 | 50.8 | 14.0 | |
| Phen (g/L) | Time (h) | Decolorization (%) | |
|---|---|---|---|
| Y. lipolytica LMBF Y-46 | ≈1 | 121 | 31.1 ± 1.91 a |
| ≈2 | 145 | 28.1 ± 1.12 b | |
| ≈3 | 145 | 19.5 ± 0.77 c | |
| Y. lipolytica ACA-YC 5033 | ≈1 | 48 | 25.8 ± 1.53 a |
| ≈2 | 72 | 22.2 ± 0.98 a | |
| ≈3 | 96 | 25.9 ± 1.03 a |
| Strain | Feedstock | Fermentation Mode | Time (h) | X (g/L) | Cit (g/L) | YCit/S (g/g) | Productivity (g/L/h) | Reference |
|---|---|---|---|---|---|---|---|---|
| ACA-YC 5031 | Crude glycerol ~70 g/L, OMW (Phen 2 g/L) | batch flask culture | 233 | 6.8 | 54.0 | 0.82 | 0.23 | [45] |
| LGAM S (7) | Crude glycerol ~50 g/L, OMW (Phen 2 g/L) | batch flask culture | 277 | 9.3 | 30.3 | 0.62 | 0.11 | [38] |
| Crude glycerol ~50 g/L, OMW (Phen ~2 g/L) | Batch bioreactor | 240 | 7.9 | 21 | 0.68 | 0.09 | ||
| LFMB 20 | Crude glycerol ~70 g/L, Glucose ~70 g/L | batch flask culture | 340 | ~12.0 | 53.4 | 0.41 1 | 0.16 | [46] |
| ACA-DC 5029 | Crude glycerol ~70 g/L | batch flask culture | 312 | 12 | 42.5 | 0.59 | 0.14 | [37] |
| Crude glycerol ~70 g/L, OMW (Phen 3.5 g/L) | batch flask culture | 240 | 8.7 | 37.4 | 0.55 | 0.16 | ||
| Crude glycerol ~170 g/L | batch flask culture | 528 | 12 | 79.0 | 0.46 | 0.15 | ||
| W29 | Raw glycerol 150 g/L | batch flask culture | 552 | 0.06 2 | 18.1 | 0.11 | 0.03 | [11] |
| ATCC 20 460 | Crude glycerol ~45 g/L | batch flask culture | 142 | 6.1 | 27.8 | 0.78 | 0.20 | [34] |
| SKY7 | Crude glycerol 10–13 g/L | fed batch | 96 | 12.5 | 18.74 | 2.20 | 0.19 | [47] |
| LMBF Y-46 | Crude glycerol ~77 g/L, OMW (Phen 3 g/L) | batch flask culture | 191 | 7.9 ± 0.8 | 64.1 ± 3.1 | 0.682 | 0.335 | Present study |
| ACA-YC 5033 | Crude glycerol ~77 g/L, OMW (Phen 3 g/L) | batch flask culture | 189 | 9.6 ± 0.8 | 65.1 ± 3.6 | 0.690 | 0.344 | Present study |
Disclaimer/Publisher’s Note: The statements, opinions and data contained in all publications are solely those of the individual author(s) and contributor(s) and not of MDPI and/or the editor(s). MDPI and/or the editor(s) disclaim responsibility for any injury to people or property resulting from any ideas, methods, instructions or products referred to in the content. |
© 2023 by the authors. Licensee MDPI, Basel, Switzerland. This article is an open access article distributed under the terms and conditions of the Creative Commons Attribution (CC BY) license (https://creativecommons.org/licenses/by/4.0/).
Share and Cite
Sarris, D.; Tsouko, E.; Kothri, M.; Anagnostou, M.; Karageorgiou, E.; Papanikolaou, S. Upgrading Major Waste Streams Derived from the Biodiesel Industry and Olive Mills via Microbial Bioprocessing with Non-Conventional Yarrowia lipolytica Strains. Fermentation 2023, 9, 251. https://doi.org/10.3390/fermentation9030251
Sarris D, Tsouko E, Kothri M, Anagnostou M, Karageorgiou E, Papanikolaou S. Upgrading Major Waste Streams Derived from the Biodiesel Industry and Olive Mills via Microbial Bioprocessing with Non-Conventional Yarrowia lipolytica Strains. Fermentation. 2023; 9(3):251. https://doi.org/10.3390/fermentation9030251
Chicago/Turabian StyleSarris, Dimitris, Erminta Tsouko, Maria Kothri, Maria Anagnostou, Eleni Karageorgiou, and Seraphim Papanikolaou. 2023. "Upgrading Major Waste Streams Derived from the Biodiesel Industry and Olive Mills via Microbial Bioprocessing with Non-Conventional Yarrowia lipolytica Strains" Fermentation 9, no. 3: 251. https://doi.org/10.3390/fermentation9030251
APA StyleSarris, D., Tsouko, E., Kothri, M., Anagnostou, M., Karageorgiou, E., & Papanikolaou, S. (2023). Upgrading Major Waste Streams Derived from the Biodiesel Industry and Olive Mills via Microbial Bioprocessing with Non-Conventional Yarrowia lipolytica Strains. Fermentation, 9(3), 251. https://doi.org/10.3390/fermentation9030251

