Increasing Anaerobic Digestion Efficiency Using Food-Waste-Based Biochar
Abstract
:1. Introduction
2. Materials and Methods
2.1. Production of Biochar from Food Waste
2.2. Operating Conditions for the BMP Test
2.3. Analysis of Gas Production and Composition
2.4. Analysis of Biochar before and after the Biochemical Methane Potential (BMP) Test
2.5. Analysis of Methane Production Potential
2.6. Statistical Analyses
3. Results and Discussion
3.1. Biochar Composition
- Ca is a key component for the growth of some methanogens and is critical for the formation of microbial aggregates [30];
- Trace elements act as a cofactor for enzymes involved in methane formation [31];
- Trace elements facilitate methane production [32];
- Trace elements play an important role in the growth and metabolism of anaerobes [33];
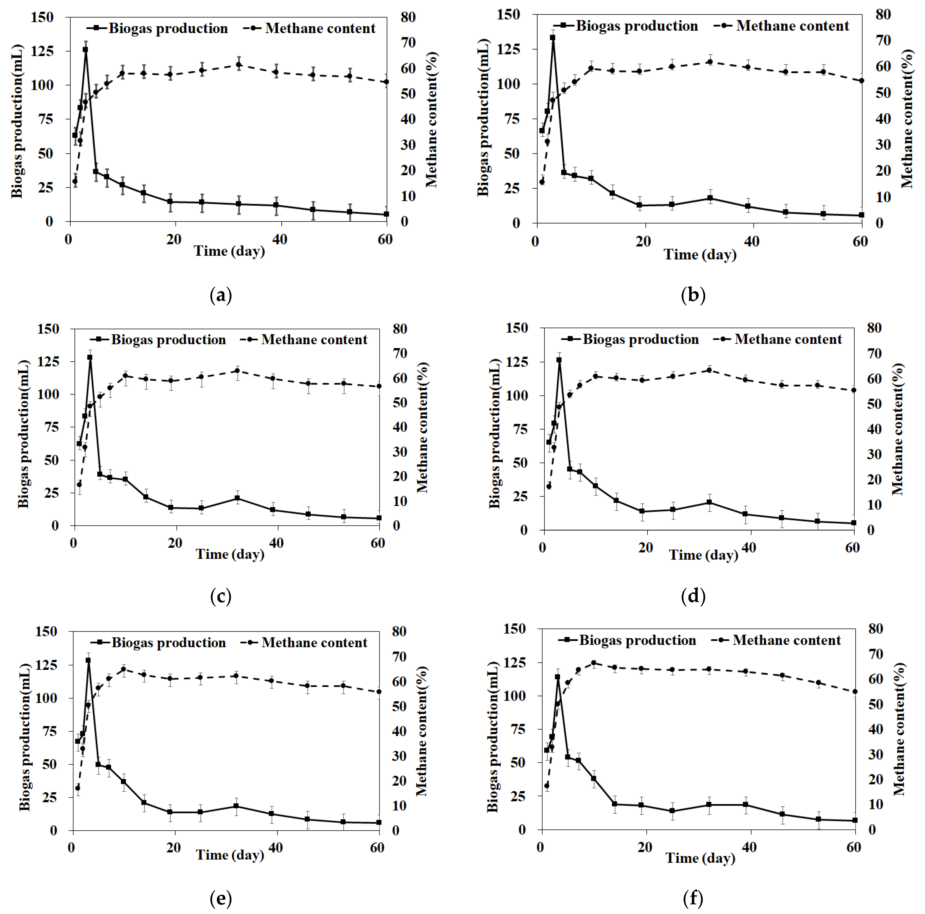
3.2. Results of Digestion Gas Production
3.2.1. Trend in Gas Generation
3.2.2. Changes in Total Suspended Solids and Volatile Suspended Solids
3.3. Changes in Biochar before and after the Biochemical Methane Potential Test
3.4. Results of Methane Production Potential
4. Conclusions
- Food-waste biochar added at a rate of 1% of the volume of the digestion tank increased the production of digestion gas by approximately 10% and methane by 4%;
- Increasing the biochar increased the number of microorganisms in the biochar. The 3% biochar condition had a higher VSS after the reaction compared to the initial stage of the reaction;
- The 3% biochar achieved the maximum methane production rate of 25.0 mL CH4·g−1 VS per day.
Author Contributions
Funding
Institutional Review Board Statement
Informed Consent Statement
Data Availability Statement
Conflicts of Interest
References
- Luz, F.C.; Cordiner, S.; Manni, A.; Mulone, V.; Rocco, V. Biochar characteristics and early applications in anaerobic digestion: A review. J. Environ. Chem. Eng. 2018, 6, 2892–2909. [Google Scholar] [CrossRef]
- Abbas, Y.; Yun, S.; Wang, Z.; Zhang, Y.; Zhang, X.; Wang, K. Recent advances in bio-based carbon materials for anaerobic digestion. Renew. Sustain. Energy Rev. 2021, 135, 110378. [Google Scholar] [CrossRef]
- Ugwu, S.; Harding, K.; Enweremadu, C. Comparative life cycle assessment of enhanced anaerobic digestion of agro-industrial waste for biogas production. J. Clean. Prod. 2022, 345, 131178. [Google Scholar] [CrossRef]
- Ming, G.; Shuang, Z.; Xinxin, M.; Weijie, G.; Na, S.; Qunhui, W.; Chuanfu, W. Effect of yeast addition on the biogas production performance of a food waste anaerobic digestion system. R. Soc. Open Sci. 2021, 7, 200443. [Google Scholar] [CrossRef]
- Zhang, C.; Su, H.; Baeyens, J.; Tan, T. Reviewing the anaerobic digestion of food waste for biogas production. Renew. Sustain. Energy Rev. 2014, 38, 383–392. [Google Scholar] [CrossRef]
- Rabii, A.; Aldin, S.; Dahman, Y.; Elbeshbishy, E. A Review on anaerobic co-digestion with a focus on the microbial populations and the effect of multi-stage digester configuration. Energies 2019, 12, 1106. [Google Scholar] [CrossRef] [Green Version]
- Fijoo, G.; Soto, M.; Méndez, M.; Lema, J.M. Sodium inhibition in the anaerobic digestion process: Antagonism and adaptation phenomena. Enzym. Microb. Technol. 1995, 17, 180–188. [Google Scholar] [CrossRef]
- Liu, Y.; Wang, W.; Wachem, A.; Zou, D. Effects of adding osmoprotectant on anaerobic digestion of kitchen waste with high level of salinity. J. Biosci. Bioeng. 2019, 128, 723–732. [Google Scholar] [CrossRef]
- Bo, Z.; Pin-jing, H. Performance assessment of two-stage anaerobic digestion of kitchen wastes. Environ. Technol. 2014, 34, 1277–1285. [Google Scholar] [CrossRef] [PubMed]
- Świechowski, K.; Matyjewicz, B.; Telega, P.; Białowiec, A. The influence of low-temperature food waste biochars on anaerobic digestion of food waste. Materials 2022, 15, 945. [Google Scholar] [CrossRef]
- Yun, S.; Fang, W.; Du, T.; Hu, X.; Huang, X.; Li, X. Use of bio-based carbon materials for improving biogas yield and digestate stability. Energy 2018, 164, 898–909. [Google Scholar] [CrossRef]
- Zhang, L.; Zhang, J.; Loh, K.-C. Activated carbon enhanced anaerobic digestion of food waste–Laboratory-scale and Pilot-scale operation. Waste Manag. 2018, 75, 270–279. [Google Scholar] [CrossRef]
- Lee, J.; Lee, S.-H.; Park, H. Enrichment of specific electro-active microorganisms and enhancement of methane production by adding granular activated carbon in anaerobic reactors. Bioresour. Technol. 2016, 205, 205–212. [Google Scholar] [CrossRef] [PubMed]
- Cai, J.; He, P.; Wang, Y.; Shao, L.; Lü, F. Effects and optimization of the use of biochar in anaerobic digestion of food wastes. Waste Manag. Res. 2016, 34, 409–416. [Google Scholar] [CrossRef] [PubMed]
- González, J.; Sánchez, M.E.; Gómez, X. Enhancing anaerobic digestion: The effect of carbon conductive materials. J. Carbon Res. 2018, 4, 59. [Google Scholar] [CrossRef] [Green Version]
- Indren, M.; Birzer, C.H.; Kidd, S.P.; Hall, T.; Medwell, P.R. Effects of biochar parent material and microbial pre-loading in biochar-amended high-solids anaerobic digestion. Bioresour. Technol. 2020, 298, 122457. [Google Scholar] [CrossRef]
- Yue, X.; Arena, U.; Chen, D.; Lei, K.; Dai, Z. Anaerobic digestion disposal of sewage sludge pyrolysis liquid in cow dung matrix and the enhancing effect of sewage sludge char. J. Clean. Prod. 2019, 235, 801–811. [Google Scholar] [CrossRef]
- Mumme, J.; Srocke, F.; Heeg, K.; Werner, M. Use of biochars in anaerobic digestion. Bioresour. Technol. 2014, 164, 189–197. [Google Scholar] [CrossRef]
- Cimon, C.; Kadota, P.; Eskicioglu, C. Effect of biochar and wood ash amendment on biochemical methane production of wastewater sludge from a temperature phase anaerobic digestion process. Bioresour. Technol. 2020, 297, 122440. [Google Scholar] [CrossRef]
- Qi, Q.; Sun, C.; Zhang, J.; He, Y.; Tong, Y.W. Internal enhancement mechanism of biochar with graphene structure in anaerobic digestion: The bioavailability of trace elements and potential direct interspecies electron transfer. Chem. Eng. J. 2021, 406, 126833. [Google Scholar] [CrossRef]
- Jeong, Y.; Lee, Y.; Kim, I. Characterization of sewage sludge and food waste-based biochar for co-firing in a coal-fired power plant: A case study in Korea. Sustainability 2020, 12, 9411. [Google Scholar] [CrossRef]
- Yrjälä, K.; Lopez-Echartea, E. Chapter Ten: Structure and function of biochar in remediation and as carrier of microbes. Advances in Chemical Pollution. Adv. Chem. Pollut. Environ. Manag. Prot. 2021, 7, 269–294. [Google Scholar] [CrossRef]
- Ahn, K.; Shin, D.; Jung, J.; Jeong, Y.; Lee, Y.; Kim, I. Physicochemical properties of torrefied and pyrolyzed food waste biochars as fuel: A pilot-scale study. Energies 2022, 15, 333. [Google Scholar] [CrossRef]
- Gao, Y.; Fang, Z.; Liang, P.; Zhang, X.; Qiu, Y.; Kimura, K.; Haung, X. Anaerobic digestion performance of concentrated municipal sewage by forward osmosis membrane: Focus on the impact of salt and ammonia. Bioresour. Technol. 2019, 276, 204–210. [Google Scholar] [CrossRef] [PubMed]
- Roberts, K.P.; Heaven, S.; Banks, C.J. Quantification of methane losses from the acclimatisation of anaerobic digestion to marine salt concentrations. Renew. Energy 2016, 86, 497–506. [Google Scholar] [CrossRef] [Green Version]
- Owen, W.F.; Stuckey, D.C.; Healy, J.B.; Young, L.Y.; McCarty, P.L. Bioassay for monitoring biochemical methane potential and anaerobic toxicity. Water Res. 1979, 13, 485–492. [Google Scholar] [CrossRef]
- Shelton, D.R.; Tiedje, J.M. General method for determining anaerobic biodegradation potential. Appl. Environ. Microbiol. 1984, 47, 850–857. [Google Scholar] [CrossRef] [PubMed] [Green Version]
- Lay, J.-J.; Li, Y.-Y.; Noike, T. Influences of pH and moisture content on the methane production in high-solids sludge digestion. Water Res. 1997, 31, 1518–1524. [Google Scholar] [CrossRef]
- Lay, J.J.; Li, Y.Y.; Noike, T. Developments of bacterial population and methanogenic activity in a laboratory-scale landfill bioreactor. Water Res. 1998, 32, 3673–3679. [Google Scholar] [CrossRef]
- Murray, P.A.; Zinder, S.H. Nutritional requirements of Methanosarcina sp. strain TM-1. Appl. Environ. Microbiol. 1985, 50, 49–55. [Google Scholar] [CrossRef] [Green Version]
- Zandvoort, M.H.; van Hullebusch, E.D.; Gieteling, J.; Lens, P.N.L. Granular sludge in full-scale anaerobic bioreactors: Trace element content and deficiencies. Enzym. Microb. Technol. 2006, 39, 337–346. [Google Scholar] [CrossRef]
- Zimmerman, A.R. Abiotic and microbial oxidation of laboratory-produced black carbon (biochar). Environ. Sci. Technol. 2010, 44, 1295–1301. [Google Scholar] [CrossRef] [PubMed]
- Molaey, R.; Bayrakdar, A.; Sürmeli, R.O.; Çalli, B. Influence of trace element supplementation on anaerobic digestion of chicken manure: Linking process stability to methanogenic population dynamics. J. Clean. Prod. 2018, 181, 794–800. [Google Scholar] [CrossRef]
- Albracht, S.P.J. Nickel hydrogenases: In search of the active site. Biochim. Biophys. Acta Bioenerg. 1994, 1188, 167–204. [Google Scholar] [CrossRef] [Green Version]
- Fauque, G.; Peck, H.D., Jr.; Moura, J.J.G.; Huynh, B.H.; Berlier, Y.; DerVartanian, D.V.; Teixeira, M.; Przybyla, A.E.; Lespinat, P.A.; Moura, I.; et al. The three classes of hydrogenases from sulfate-reducing bacteria of the genus Desulfovibrio. FEMS Microbiol. 1988, 4, 299–344. [Google Scholar] [CrossRef]
- Sawers, G. The hydrogenases and formate dehydrogenases of Escherichia coli. Antonie Van Leeuwenhoek 1994, 66, 57–88. [Google Scholar] [CrossRef]
- Takashima, M.; Speece, R.E.; Parkin, G.F. Mineral requirements for methane fermentation. Crit. Rev. Environ. Control 1990, 19, 465–479. [Google Scholar] [CrossRef]
- Lipscomb, J.B. Biochemistry of the soluble methane monooxygenase. Annu. Rev. Microbiol. 1994, 48, 371–399. [Google Scholar] [CrossRef]
- Zhang, T.; Zhang, P.; Hu, Z.; Qi, Q.; He, Y.; Zhang, J. New insight on Fe-bioavailability: Bio-uptake, utilization, and induce in optimizing methane production in anaerobic digestion. Chem. Eng. J. 2022, 441, 136099. [Google Scholar] [CrossRef]
- Schindelin, H.; Kisker, C.; Schlessman, J.L.; Howard, J.B.; Rees, D.C. Structure of ADP·AIF4-stabilized nitrogenase complex and its implications for signal transduction. Nature 1997, 387, 370–376. [Google Scholar] [CrossRef]
- Sing, K.S.W. Reporting physisorption data for gas/solid systems with special reference to the determination of surface area and porosity (Recommendations 1984). Pure Appl. Chem. 1985, 57, 603–619. [Google Scholar] [CrossRef]
- Rouquerol, J.; Avnir, D.; Fairbridge, C.W.; Everett, D.H.; Haynes, J.H.; Pernicone, N.; Ramsay, J.D.F.; Sing, K.S.W.; Unger, K.K. Recommendations for the characterization of porous solids. Pure Appl. Chem. 1994, 6, 1739–1758. [Google Scholar] [CrossRef]
- Lehmann, J.; Joseph, S. Biochar for Environmental Management: Science, Technology and Implementation, 2nd ed.; Routledge: London, UK, 2015. [Google Scholar] [CrossRef]
- Qambrani, N.A.; Rahman, M.M.; Won, S.; Shim, S.; Ra, C. Biochar properties and eco-friendly applications for climate change mitigation, waste management, and wastewater treatment: A review. Renew. Sustain. Energy Rev. 2017, 79, 255–273. [Google Scholar] [CrossRef]
- Choong, Y.Y.; Norli, I.; Abdullah, A.Z.; Yhaya, M.F. Impacts of trace element supplementation on the performance of anaerobic digestion process: A critical review. Bioresour. Technol. 2016, 209, 369–379. [Google Scholar] [CrossRef] [PubMed]
- Zhang, L.; Jahng, D. Long-term anaerobic digestion of food waste stabilized by trace elements. J. Waste Manag. 2012, 32, 1151–1509. [Google Scholar] [CrossRef]
- Chiappero, M.; Norouzi, O.; Hu, M.; Demichelis, F.; Berruti, F.; Di Maria, F.; Masek, O.; Fiore, S. Review of biochar role as additive in anaerobic digestion processes. Renew. Sustain. Energy Rev. 2020, 131, 110037. [Google Scholar] [CrossRef]
- Montalvo, S.; Huiliñir, C.; Borja, R.; Sánchez, E.; Herrmann, C. Application of zeolites for biological treatment processes of solid wastes and wastewaters: A review. Bioresour. Technol. 2020, 301, 122808. [Google Scholar] [CrossRef]
- Sun, M.T.; Yang, Z.M.; Lu, J.; Fan, X.L.; Guo, R.B.; Fu, S.F. Improvement of bacterial methane elimination using porous ceramsite as biocarrier. J. Chem. Technol. Biotechnol. 2018, 93, 2406–2414. [Google Scholar] [CrossRef]
- Yu, Y.; Lu, X.; Wu, Y. Performance of an anaerobic baffled filter reactor in the treatment of algae-laden water and the contribution of granular sludge. Water 2014, 6, 122–138. [Google Scholar] [CrossRef] [Green Version]






| COD (mg/L) | TSS (mg/L) | VSS (mg/L) | NH4+-N (mg/L) | VFA (mg/L) | Alkalinity (mg/L as CaCO3) | |
|---|---|---|---|---|---|---|
| Excess sludge | 15,184 | 13,380 | 9170 | 8.1 | 22.5 | 110 |
| Digested sludge | - | 17,630 | 8870 | - | 198.5 | 4140 |
| Element | Ca | Cl | K | Fe | P | S | Sr |
| Fraction (%) | 59.16 | 17.63 | 15.39 | 4.48 | 1.73 | 0.83 | 0.25 |
| Element | Mn | Ti | Br | Cu | Cr | Rb | Zn |
| Fraction (%) | 0.15 | 0.13 | 0.08 | 0.07 | 0.06 | 0.02 | 0.02 |
| Element | C | O | P | Na | Mg | Al | S | Cl | K | Ca |
|---|---|---|---|---|---|---|---|---|---|---|
| Before | 84.98 | 10.85 | - | 1.04 | 0.14 | 0.08 | 0.11 | 1.33 | 1.10 | 0.36 |
| After | 66.92 | 31.51 | 0.48 | - | - | - | 0.37 | - | - | 0.71 |
Publisher’s Note: MDPI stays neutral with regard to jurisdictional claims in published maps and institutional affiliations. |
© 2022 by the authors. Licensee MDPI, Basel, Switzerland. This article is an open access article distributed under the terms and conditions of the Creative Commons Attribution (CC BY) license (https://creativecommons.org/licenses/by/4.0/).
Share and Cite
Shin, D.-C.; Kim, I.-T.; Jung, J.; Jeong, Y.; Lee, Y.-E.; Ahn, K.-H. Increasing Anaerobic Digestion Efficiency Using Food-Waste-Based Biochar. Fermentation 2022, 8, 282. https://doi.org/10.3390/fermentation8060282
Shin D-C, Kim I-T, Jung J, Jeong Y, Lee Y-E, Ahn K-H. Increasing Anaerobic Digestion Efficiency Using Food-Waste-Based Biochar. Fermentation. 2022; 8(6):282. https://doi.org/10.3390/fermentation8060282
Chicago/Turabian StyleShin, Dong-Chul, I-Tae Kim, Jinhong Jung, Yoonah Jeong, Ye-Eun Lee, and Kwang-Ho Ahn. 2022. "Increasing Anaerobic Digestion Efficiency Using Food-Waste-Based Biochar" Fermentation 8, no. 6: 282. https://doi.org/10.3390/fermentation8060282
APA StyleShin, D.-C., Kim, I.-T., Jung, J., Jeong, Y., Lee, Y.-E., & Ahn, K.-H. (2022). Increasing Anaerobic Digestion Efficiency Using Food-Waste-Based Biochar. Fermentation, 8(6), 282. https://doi.org/10.3390/fermentation8060282

