Fungifuels: Polyethylene Decomposition and Electricity Generation with Aspergillus ochraceopetaliformis in Microbial Fuel Cell Systems
Abstract
1. Introduction
2. Materials and Methods
2.1. Fabrication of Microbial Fuel Cells
2.2. Characterization of Microbial Fuel Cells
2.3. Reactivation of the Aspergillus ochraceopetaliformis Culture and Obtaining the Spore Inoculum
2.4. Operation of the Microbial Fuel Cell
3. Results and Analysis
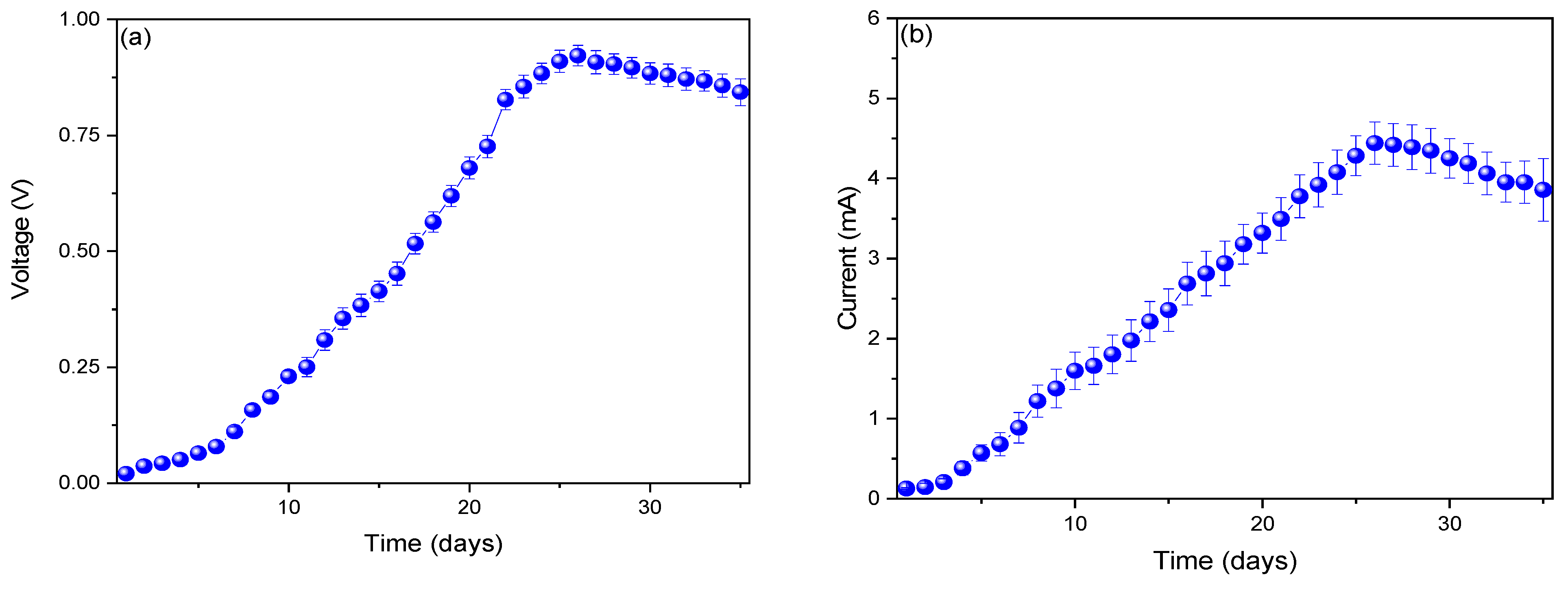
3.1. Behavior of Voltage and Electric Current:
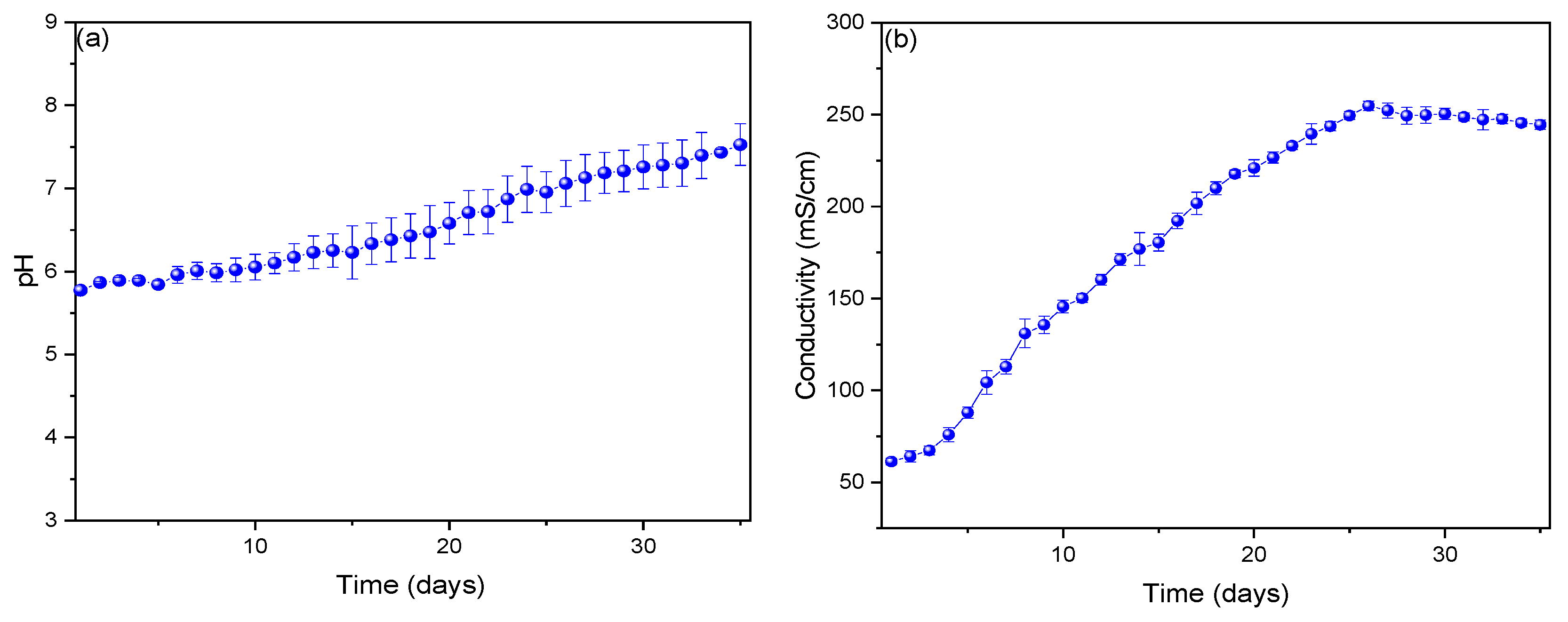
3.2. Monitoring of pH, Conductivity and ORP Profiles
3.3. Behavior of Power Density as a Function of Current Density and Internal Resistance
3.4. FTIR Spectrum and SEM Characteristics
4. Conclusions
Author Contributions
Funding
Institutional Review Board Statement
Informed Consent Statement
Data Availability Statement
Conflicts of Interest
References
- Pilapitiya, P.N.T.; Ratnayake, A.S. The world of plastic waste: A review. Clean. Mater. 2024, 11, 100220. [Google Scholar] [CrossRef]
- Hasan, M.M.; Haque, R.; Jahirul, M.I.; Rasul, M.G. Pyrolysis of plastic waste for sustainable energy Recovery: Technological advancements and environmental impacts. Energy Convers. Manag. 2025, 326, 119511. [Google Scholar] [CrossRef]
- Mong, G.R.; Tan, H.; Sheng, D.D.C.V.; Kek, H.Y.; Nyakuma, B.B.; Woon, K.S.; Othman, M.H.D.; Kang, H.S.; Goh, P.S.; Wong, K.Y. A review on plastic waste valorisation to advanced materials: Solutions and technologies to curb plastic waste pollution. J. Clean. Prod. 2024, 434, 140180. [Google Scholar] [CrossRef]
- Schade, A.; Melzer, M.; Zimmermann, S.; Schwarz, T.; Stoewe, K.; Kuhn, H. Plastic Waste Recycling—A Chemical Recycling Perspective. ACS Sustain. Chem. Eng. 2024, 12, 12270–12288. [Google Scholar] [CrossRef]
- Vuppaladadiyam, S.S.V.; Vuppaladadiyam, A.K.; Sahoo, A.; Urgunde, A.; Murugavelh, S.; Šrámek, V.; Pohořelý, M.; Trakal, L.; Bhattacharya, S.; Sarmah, A.K.; et al. Waste to energy: Trending key challenges and current technologies in waste plastic management. Sci. Total Environ. 2024, 913, 169436. [Google Scholar] [CrossRef]
- Chen, X.; Cheng, L.; Gu, J.; Yuan, H.; Chen, Y. Chemical recycling of plastic wastes via homogeneous catalysis: A review. Chem. Eng. J. 2024, 479, 147853. [Google Scholar] [CrossRef]
- Jiao, H.; Ali, S.S.; Alsharbaty, M.H.M.; Elsamahy, T.; Abdelkarim, E.; Schagerl, M.; Al-Tohamy, R.; Sun, J. A critical review on plastic waste life cycle assessment and management: Challenges, research gaps, and future perspectives. Ecotoxicol. Environ. Saf. 2024, 271, 115942. [Google Scholar] [CrossRef]
- Qian, Q.; Ren, J. From plastic waste to potential wealth: Upcycling technologies, process synthesis, assessment and optimization. Sci. Total Environ. 2024, 907, 167897. [Google Scholar] [CrossRef] [PubMed]
- Che, C.A.; Heynderickx, P.M. Hydrothermal carbonization of plastic waste: A review of its potential in alternative energy applications. Fuel Commun. 2024, 18, 100103. [Google Scholar] [CrossRef]
- Praveenkumar, T.R.; Sekar, M.; Pasupuleti, R.R.; Gavurová, B.; Kumar, G.A.; Kumar, M.V. Current technologies for plastic waste treatment for energy recovery, it’s effects on poly aromatic hydrocarbons emission and recycling strategies. Fuel 2024, 357, 129379. [Google Scholar] [CrossRef]
- He, Y.; Deng, X.; Jiang, L.; Hao, L.; Shi, Y.; Lyu, M.; Zhang, L.; Wang, S. Current advances, challenges and strategies for enhancing the biodegradation of plastic waste. Sci. Total Environ. 2024, 906, 167850. [Google Scholar] [CrossRef]
- Dey, S.; Veerendra, G.T.N.; Babu, P.A.; Manoj, A.P.; Nagarjuna, K. Degradation of plastics waste and its effects on biological ecosystems: A scientific analysis and comprehensive review. Biomed. Mater. Devices 2024, 2, 70–112. [Google Scholar] [CrossRef]
- Afshar, S.V.; Boldrin, A.; Astrup, T.F.; Daugaard, A.E.; Hartmann, N.B. Degradation of biodegradable plastics in waste management systems and the open environment: A critical review. J. Clean. Prod. 2024, 434, 140000. [Google Scholar] [CrossRef]
- Crystal Thew, X.E.; Lo, S.C.; Ramanan, R.N.; Tey, B.T.; Huy, N.D.; Chien Wei, O. Enhancing plastic biodegradation process: Strategies and opportunities. Crit. Rev. Biotechnol. 2024, 44, 477–494. [Google Scholar] [CrossRef]
- Rajvanshi, J.; Sogani, M.; Tziouvaras, G.; Kumar, A.; Syed, Z.; Sonu, K.; Gupta, N.S.; Sen, H. An analytical review on revamping plastic waste management: Exploring recycling, biodegradation, and the growing role of biobased plastics. Environ. Sci. Pollut. Res. 2024, 13, 1–19. [Google Scholar] [CrossRef] [PubMed]
- Boschi, A.; Scieuzo, C.; Salvia, R.; Arias, C.F.; Perez, R.P.; Bertocchini, F.; Falabella, P. Beyond microbial biodegradation: Plastic degradation by Galleria mellonella. J. Polym. Environ. 2024, 32, 2158–2177. [Google Scholar] [CrossRef]
- Ferreira-Filipe, D.A.; Oliveira, L.; Paço, A.; Fernandes, A.J.; Costa, F.M.; Duarte, A.C.; Rocha-Santos, T.; Silva, A.L.P. Biodegradation of e-waste microplastics by Penicillium brevicompactum. Sci. Total Environ. 2024, 935, 173334. [Google Scholar] [CrossRef]
- Ibrahim, S.S.; Ionescu, D.; Grossart, H.P. Tapping into fungal potential: Biodegradation of plastic and rubber by potent Fungi. Sci. Total Environ. 2024, 934, 173188. [Google Scholar] [CrossRef] [PubMed]
- Abdel-Azeem, A.M.; Abdel-Azeem, M.A.; Abdul-Hadi, S.Y.; Darwish, A.G. Aspergillus: Biodiversity, ecological significances, and industrial applications. In Recent Advancement in White Biotechnology Through Fungi: Volume 1: Diversity and Enzymes Perspectives; Springer: Cham, Switzerland, 2019; pp. 121–179. [Google Scholar] [CrossRef]
- Ngo, C.C.; Nguyen, Q.H.; Nguyen, T.H.; Quach, N.T.; Dudhagara, P.; Vu, T.H.N.; Le, T.T.X.; Le, T.T.H.; Do, T.T.H.; Nguyen, V.D.; et al. Identification of fungal community associated with deterioration of optical observation instruments of museums in Northern Vietnam. Appl. Sci. 2021, 11, 5351. [Google Scholar] [CrossRef]
- Kinamot, V.B. Influence of seagrass traits on the diversity of endophytic fungi. Biodivers. J. Biol. Divers. 2024, 25, 1–8. [Google Scholar] [CrossRef]
- Ramdass, A.C.; Rampersad, S.N. Biodiversity and biocatalyst activity of culturable hydrocarbonoclastic fungi isolated from Marac–Moruga mud volcano in South Trinidad. Sci. Rep. 2021, 11, 19466. [Google Scholar] [CrossRef]
- Wu, J.Y.; Chen, Z.H.; Zeng, E.N.; Mo, L.; Sun, Z.W.; Wang, Y.Z.; Zhang, X.Y. Biodiversity and antimicrobial activity of intestinal fungi from three species of coral reef fishes. Res. Sq. 2022. [Google Scholar] [CrossRef]
- Liao, X.; Yang, J.; Zhou, Z.; Wu, J.; Xu, D.; Yang, Q.; Zhong, S.; Zhang, X. Diversity and antimicrobial activity of intestinal fungi from three species of coral reef fish. J. Fungi 2023, 9, 613. [Google Scholar] [CrossRef]
- Afrin, A.; Pothulapadu, C.A.S. Symphony of light: AIE and MFC in carbazole-based cyanostilbenes. J. Mater. Chem. C 2024, 12, 1923–1944. [Google Scholar] [CrossRef]
- Arun, J.; SundarRajan, P.; Pavithra, K.G.; Priyadharsini, P.; Shyam, S.; Goutham, R.; Le, Q.H.; Pugazhendhi, A. New insights into microbial electrolysis cells (MEC) and microbial fuel cells (MFC) for simultaneous wastewater treatment and green fuel (hydrogen) generation. Fuel 2024, 355, 129530. [Google Scholar] [CrossRef]
- Kothari, R.; Pathak, A.K.; Singh, H.M.; Goria, K.; Sheikh, Z.U.D.; Bharti, A.; Raina, S.; Rachna; Singh, A.; Singh, B.; et al. MFC-mediated wastewater treatment technology and bioelectricity generation: Future perspectives with SDGs 7 & 13. Process Saf. Environ. Prot. 2024, 192, 155–176. [Google Scholar] [CrossRef]
- Yu, Z.X.; Huangfu, L.X.; Yang, Y.L.; Wang, S.S.; Wu, G.H.; Cui, Y.G. Design and control of a novel 3-DOF parallel MFC micromanipulation platform. Eng. Sci. Technol. Int. J. 2025, 61, 101943. [Google Scholar] [CrossRef]
- Geng, J.; O’Dell, J.; Stark, N.; Kitin, P.; Zhang, X.; Zhu, J.Y. Microfibrillated cellulose (MFC) barrier coating for extending banana shelf life. Food Hydrocoll. 2024, 150, 109671. [Google Scholar] [CrossRef]
- Kalathil, S.; Miller, M.; Reisner, E. Microbial fermentation of polyethylene terephthalate (PET) plastic waste for the production of chemicals or electricity. Angew. Chem. Int. Ed. 2022, 61, e202211057. [Google Scholar] [CrossRef]
- Segundo, R.F.; Rocío, P.C.; Luis, C.C.; Angelats Silva, L.M. Potential Use of the Fungus Trichoderma sp. as a Plastic-Reducing Agent and Electricity Generator in Microbial Fuel Cells. Processes 2024, 12, 2904. [Google Scholar] [CrossRef]
- Segundo, R.F.; Magaly, D.L.C.N.; Otiniano, N.M.; Luis, C.C.; Angelats-Silva, L.M. Electricity Generation and Plastic Waste Reduction Using the Fungus Paecilomyces as a Biodegrader in Microbial Fuel Cells. Sustainability 2024, 16, 11137. [Google Scholar] [CrossRef]
- Lozano-Mahecha, R.A.; López-López, K. Isolation and characterization of Colombian endemic bacteria capable of degrading toluene. Rev. Colomb. Biotecnol. 2022, 24, 6–18. [Google Scholar] [CrossRef]
- Hao, D.C.; Wang, F.; Li, C.; Wang, Y.; Xue, J.; Xiao, P.G. Fungal bioaugmentation enhanced herbicide removal via soil microbial fuel cell: Taking Myrothecium verrucaria and haloxyfop-P as an example. Sci. Total Environ. 2025, 958, 178012. [Google Scholar] [CrossRef]
- Sekrecka-Belniak, A.; Toczyłowska-Mamińska, R. Fungi-based microbial fuel cells. Energies 2018, 11, 2827. [Google Scholar] [CrossRef]
- Kižys, K.; Pirštelis, D.; Morkvėnaitė-Vilkončienė, I. Effect of Gold Nanoparticles in Microbial Fuel Cells Based on Polypyrrole-Modified Saccharomyces cerevisiae. Biosensors 2024, 14, 572. [Google Scholar] [CrossRef]
- Moubasher, H.; Tammam, A.; Saleh, M. Enhancing electricity generation using fungal laccase-based microbial fuel cell. J. Microbiol. Biotechnol. Food Sci. 2024, 14, e9703. [Google Scholar] [CrossRef]
- Sukri, A.; Othman, R.; Abd-Wahab, F.; M Noor, N. Self-sustaining bioelectrochemical cell from fungal degradation of lignin-rich agrowaste. Energies 2021, 14, 2098. [Google Scholar] [CrossRef]
- Gorin, M.; Shabani, M.; Votat, S.; Lebrun, L.; Mbokou, S.F.; Pontié, M. Application of fungal-based microbial fuel cells for biodegradation of pharmaceuticals: Comparative study of individual vs. mixed contaminant solutions. Chemosphere 2024, 363, 142849. [Google Scholar] [CrossRef]
- Laily, F.N.; Juliastuti, S.R. Effect of micronutrient addition and development on microbial fuel cells (MFC) from food waste with the help of hydrolytic fungi. In IOP Conference Series: Earth and Environmental Science; IOP Publishing: Bristol, UK, 2022; Volume 1108, p. 012005. [Google Scholar] [CrossRef]
- Khan, B.; Rathore, A.; Adnan, A.; Yahya, S.; Arshan, M.M.K. Comparative analysis of electric current production by Saccharomyces cerevisiae using a dual chamber microbial fuel cell. Asian J. Adv. Res. 2021, 4, 996–1002. [Google Scholar]
- Tian, Y.; Li, C.; Liang, D.; Xie, T.; He, W.; Li, D.; Feng, Y. Fungus-sourced filament-array anode facilitates Geobacter enrichment and promotes anodic bio-capacitance improvement for efficient power generation in microbial fuel cells. Sci. Total Environ. 2022, 838, 155926. [Google Scholar] [CrossRef]
- Sarma, H.; Bhattacharyya, P.; Jadhav, D.A.; Pawar, P.; Thakare, M.; Pandit, S.; Mathuriya, A.S.; Prasad, R. Fungal-mediated electrochemical system: Prospects, applications and challenges. Curr. Res. Microb. Sci. 2021, 2, 100041. [Google Scholar] [CrossRef]
- Sharma, M.; Sharma, S.; Alkhanjaf, A.A.M.; Arora, N.K.; Saxena, B.; Umar, A.; Ibrahim, A.A.; Akhtar, M.S.; Mahajan, A.; Negi, S.; et al. Microbial fuel cells for azo dye degradation: A perspective review. J. Ind. Eng. Chem. 2024, 142, 45–67. [Google Scholar] [CrossRef]
- Thulasinathan, B.; Jayabalan, T.; Sethupathi, M.; Kim, W.; Muniyasamy, S.; Sengottuvelan, N.; Nainamohamed, S.; Ponnuchamy, K.; Alagarsamy, A. Bioelectricity generation by natural microflora of septic tank wastewater (STWW) and biodegradation of persistent petrogenic pollutants by basidiomycetes fungi: An integrated microbial fuel cell system. J. Hazard. Mater. 2021, 412, 125228. [Google Scholar] [CrossRef]
- Raqba, R.; Rafaqat, S.; Ali, N.; Munis, M.F.H. Biodegradation of Reactive Red 195 azo dye and Chlorpyrifos organophosphate along with simultaneous bioelectricity generation through bacterial and fungal based biocathode in microbial fuel cell. J. Water Process Eng. 2022, 50, 103177. [Google Scholar] [CrossRef]
- Thapa, B.S.; Kim, T.; Pandit, S.; Song, Y.E.; Afsharian, Y.P.; Rahimnejad, M.; Kim, J.R.; Oh, S.-E. Overview of electroactive microorganisms and electron transfer mechanisms in microbial electrochemistry. Bioresour. Technol. 2022, 347, 126579. [Google Scholar] [CrossRef]
- Pandit, S.; Savla, N.; Sonawane, J.M.; Sani, A.M.; Gupta, P.K.; Mathuriya, A.S.; Rai, A.K.; Jadhav, D.A.; Jung, S.P.; Prasad, R. Agricultural waste and wastewater as feedstock for bioelectricity generation using microbial fuel cells: Recent advances. Fermentation 2021, 7, 169. [Google Scholar] [CrossRef]
- Arulmani, S.R.B.; Gnanamuthu, H.L.; Kandasamy, S.; Govindarajan, G.; Alsehli, M.; Elfasakhany, A.; Pugazhendhi, A.; Zhang, H. Sustainable bioelectricity production from Amaranthus viridis and Triticum aestivum mediated plant microbial fuel cells with efficient electrogenic bacteria selections. Process Biochem. 2021, 107, 27–37. [Google Scholar] [CrossRef]
- Hao, D.C.; Li, X.; Wang, Y.; Li, J.; Li, C.; Xiao, P. Xeno-Fungusphere: Fungal-Enhanced Microbial Fuel Cells for Agricultural Remediation with a Focus on Medicinal Plants. Agronomy 2025, 15, 1392. [Google Scholar] [CrossRef]
- Yaqoob, A.A.; Ibrahim, M.N.M.; Yaakop, A.S. Application of oil palm lignocellulosic derived material as an efficient anode to boost the toxic metal remediation trend and energy generation through microbial fuel cells. J. Clean. Prod. 2021, 314, 128062. [Google Scholar] [CrossRef]
- Idris, M.O.; Kim, H.C.; Yaqoob, A.A.; Ibrahim, M.N.M. Exploring the effectiveness of microbial fuel cell for the degradation of organic pollutants coupled with bio-energy generation. Sustain. Energy Technol. Assess. 2022, 52, 102183. [Google Scholar] [CrossRef]
- Rusyn, I. Role of microbial community and plant species in performance of plant microbial fuel cells. Renew. Sustain. Energy Rev. 2021, 152, 111697. [Google Scholar] [CrossRef]
- Zinovicius, A.; Rozene, J.; Merkelis, T.; Bruzaite, I.; Ramanavicius, A.; Morkvenaite-Vilkonciene, I. Evaluation of a yeast–polypyrrole biocomposite used in microbial fuel cells. Sensors 2022, 22, 327. [Google Scholar] [CrossRef] [PubMed]
- Das, I.; Das, S.; Das, S.; Ghangrekar, M.M. Proficient sanitary wastewater treatment in laboratory and field-scale microbial fuel cell with anti-biofouling Cu0.5Mn0.5Fe2O4 as cathode catalyst. J. Electrochem. Soc. 2021, 168, 054519. [Google Scholar] [CrossRef]
- Verma, M.; Mishra, V. Recent trends in upgrading the performance of yeast as electrode biocatalyst in microbial fuel cells. Chemosphere 2021, 284, 131383. [Google Scholar] [CrossRef]
- Lin, C.W.; Lai, C.Y.; Liu, S.H.; Chen, Y.R.; Alfanti, L.K. Enhancing bioelectricity generation and removal of copper in microbial fuel cells with a laccase-catalyzed biocathode. J. Clean. Prod. 2021, 298, 126726. [Google Scholar] [CrossRef]
- Bashir, S.; Houf, W.; Liu, J.L.; Mulvaney, S.P. 3D Conducting polymeric membrane and scaffold Saccharomyces cerevisiae biofilms to enhance energy conversion in microbial fuel cells. ACS Appl. Mater. Interfaces 2021, 14, 20393–20403. [Google Scholar] [CrossRef]
- Votat, S.; Pontié, M.; Jaspard, E.; Lebrun, L. Crystal Violet (CV) Biodegradation Study in a Dual-Chamber Fungal Microbial Fuel Cell with Trichoderma harzianum. Energies 2024, 17, 247. [Google Scholar] [CrossRef]
- Umar, A.; Mubeen, M.; Ali, I.; Iftikhar, Y.; Sohail, M.A.; Sajid, A.; Kumar, A.; Solanki, M.K.; Divvela, P.K.; Zhou, L. Harnessing fungal bio-electricity: A promising path to a cleaner environment. Front. Microbiol. 2024, 14, 1291904. [Google Scholar] [CrossRef]
- Sayed, E.T.; Olabi, A.G.; Mouselly, M.; Alawadhi, H.; Abdelkareem, M.A. Zinc-based metal organic framework on carbon fiber brush as a novel anode of yeast-based microbial fuel cell. Int. J. Hydrogen Energy 2024, 52, 856–864. [Google Scholar] [CrossRef]
- Utami, T.S.; Arbianti, R.; Hidayatullah, I.M.; Yusupandi, F.; Hamdan, M.; Putri, N.F.; Riyadi, F.A.; Boopathy, R. Paracetamol degradation in a dual-chamber rectangular membrane bioreactor using microbial fuel cell system with a microbial consortium from sewage sludge. Case Stud. Chem. Environ. Eng. 2024, 9, 100551. [Google Scholar] [CrossRef]
- Chen, T.; Liu, H.; Li, J. Research on minimizing the MFC internal resistance via a shared electrode MFC-MEC coupling system. Biochem. Eng. J. 2024, 203, 109195. [Google Scholar] [CrossRef]
- Černoša, A.; Cortizas, A.M.; Traoré, M.; Podlogar, M.; Danevčič, T.; Gunde-Cimerman, N.; Gostinčar, C. A screening method for plastic-degrading fungi. Heliyon 2024, 10, e31130. [Google Scholar] [CrossRef]
- Zeghal, E.; Vaksmaa, A.; Vielfaure, H.; Boekhout, T.; Niemann, H. The potential role of marine fungi in plastic degradation–a review. Front. Mar. Sci. 2021, 8, 738877. [Google Scholar] [CrossRef]
- Wu, F.; Guo, Z.; Cui, K.; Dong, D.; Yang, X.; Li, J.; Wu, Z.; Li, L.; Dai, Y.; Pan, T. Insights into characteristics of white rot fungus during environmental plastics adhesion and degradation mechanism of plastics. J. Hazard. Mater. 2023, 448, 130878. [Google Scholar] [CrossRef]
- Khan, S.; Ali, S.A.; Ali, A.S. Biodegradation of low density polyethylene (LDPE) by mesophilic fungus ‘Penicillium citrinum’ isolated from soils of plastic waste dump yard, Bhopal, India. Environ. Technol. 2023, 44, 2300–2314. [Google Scholar] [CrossRef] [PubMed]
- Liu, Z.; Chang, S.H.; Mailhot, G. Emerging Biochemical Conversion for Plastic Waste Management: A Review. Molecules 2025, 30, 1255. [Google Scholar] [CrossRef] [PubMed]








Disclaimer/Publisher’s Note: The statements, opinions and data contained in all publications are solely those of the individual author(s) and contributor(s) and not of MDPI and/or the editor(s). MDPI and/or the editor(s) disclaim responsibility for any injury to people or property resulting from any ideas, methods, instructions or products referred to in the content. |
© 2025 by the authors. Licensee MDPI, Basel, Switzerland. This article is an open access article distributed under the terms and conditions of the Creative Commons Attribution (CC BY) license (https://creativecommons.org/licenses/by/4.0/).
Share and Cite
Segundo, R.-F.; Cruz-Noriega, M.D.L.; Soto-Deza, N.; Otiniano, N.M.; Luis, C.-C.; Alviz-Meza, A. Fungifuels: Polyethylene Decomposition and Electricity Generation with Aspergillus ochraceopetaliformis in Microbial Fuel Cell Systems. Fermentation 2025, 11, 527. https://doi.org/10.3390/fermentation11090527
Segundo R-F, Cruz-Noriega MDL, Soto-Deza N, Otiniano NM, Luis C-C, Alviz-Meza A. Fungifuels: Polyethylene Decomposition and Electricity Generation with Aspergillus ochraceopetaliformis in Microbial Fuel Cell Systems. Fermentation. 2025; 11(9):527. https://doi.org/10.3390/fermentation11090527
Chicago/Turabian StyleSegundo, Rojas-Flores, Magaly De La Cruz-Noriega, Nancy Soto-Deza, Nélida Milly Otiniano, Cabanillas-Chirinos Luis, and Anibal Alviz-Meza. 2025. "Fungifuels: Polyethylene Decomposition and Electricity Generation with Aspergillus ochraceopetaliformis in Microbial Fuel Cell Systems" Fermentation 11, no. 9: 527. https://doi.org/10.3390/fermentation11090527
APA StyleSegundo, R.-F., Cruz-Noriega, M. D. L., Soto-Deza, N., Otiniano, N. M., Luis, C.-C., & Alviz-Meza, A. (2025). Fungifuels: Polyethylene Decomposition and Electricity Generation with Aspergillus ochraceopetaliformis in Microbial Fuel Cell Systems. Fermentation, 11(9), 527. https://doi.org/10.3390/fermentation11090527

