Producing Chlorella vulgaris in Ricotta Cheese Whey Substrate
Abstract
1. Introduction
2. Materials and Methods
2.1. Materials
2.2. Selecting Light Source and Optimal Mixing Speed Determination
2.3. Selecting Initial pH and Inoculum
2.4. Scaling Up
2.5. Calculation of the Critical Eddy Length and the Cell Diameter of C. vulgaris
2.6. Biomass Quantification
2.7. Kinetic Growth Parameters Determination
2.8. Biochemical Composition of the Biomass
2.9. Nutrient Removal
2.10. Statistical Analysis of Results
3. Results
3.1. Optimal Mixing Speed
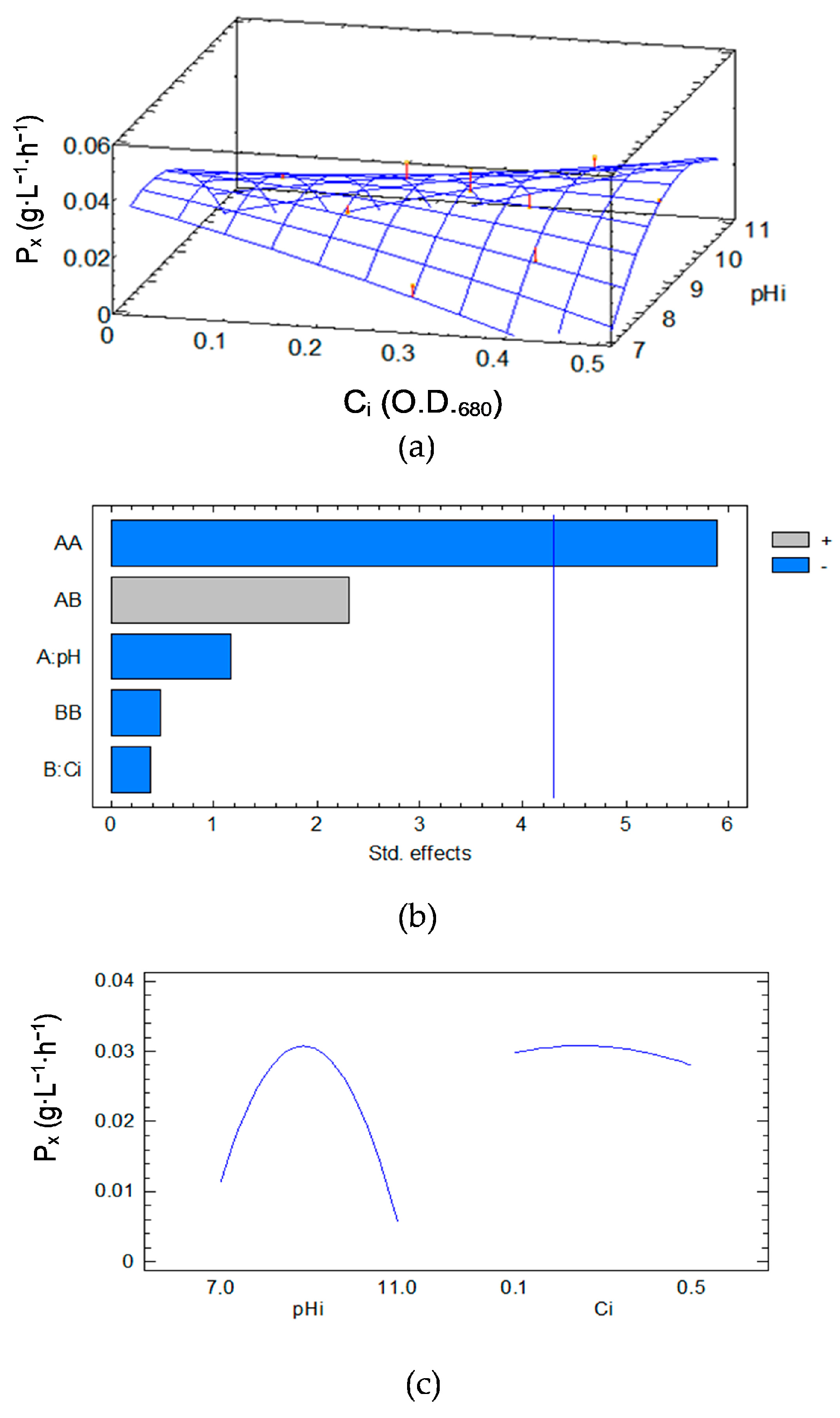
3.2. Selecting Initial pH and Inoculum
3.3. Scaling Up
3.4. Kinetic Growth Parameters
3.5. Biochemical Biomass Composition
3.6. Nutrient Removal
4. Discussion
5. Conclusions
Supplementary Materials
Author Contributions
Funding
Institutional Review Board Statement
Informed Consent Statement
Data Availability Statement
Acknowledgments
Conflicts of Interest
Abbreviations
| RCW | Ricotta cheese whey |
| COD | Chemical oxygen demand |
| TFMF | Tangential flow microfiltration |
| RCW-TFMF | Microfiltrated ricotta cheese whey |
| PAR | Photosynthetically active radiation |
| Db | Dry base |
| CDW | Cell dry weight |
| TP | Total phosphorus |
| TN | Total nitrogen |
References
- Tsotsouli, K.; Didos, S.; Koukaras, K.; Argiriou, A. Mixotrophic Cultivation of Dunaliella tertiolecta in Cheese Whey Effluents to Enhance Biomass and Exopolysaccharides (EPS) Production: Biochemical and Functional Insights. Mar. Drugs 2025, 23, 120. [Google Scholar] [CrossRef]
- Observatorio de La Cadena Láctea Argentina. Available online: https://www.ocla.org.ar/ (accessed on 30 October 2025).
- Secretaría de Agricultura, Ganadería y Pesca. Available online: https://www.magyp.gob.ar/sitio/areas/ss_lecheria/estadisticas/_02_industrial/ (accessed on 30 October 2025).
- Casá, N.E.; Lois-Milevicich, J.; Alvarez, P.; Mateucci, R.; de Escalada Pla, M. Chlorella vulgaris cultivation using ricotta cheese whey as substrate for biomass production. J. Appl. Phycol. 2022, 34, 745–756. [Google Scholar] [CrossRef]
- Nazos, T.T.; Stratigakis, N.C.; Spantidaki, M.; Lagouvardou Spantidaki, A.; Ghanotakis, D.F. Characterization of Cheese whey Effluents and Investigation of Their Potential to be used as a Nutrient Substrate for Chlorella Biomass Production. Waste Biomass- Valorization 2023, 14, 3643–3655. [Google Scholar] [CrossRef]
- Patsialou, S.; Tsakona, I.A.; Vayenas, D.V.; Tekerlekopoulou, A.G. Biological Treatment of Second Cheese Whey Using Marine Microalgae/Cyanobacteria-Based Systems. Eng. Proc. 2024, 81, 4. [Google Scholar] [CrossRef]
- Silva, N.E.; Marchioni, S.; Castellanos-Fuentes, A.P.; Matyatz, A.; Genevois, C.E.; Flores, S.K.; de Escalada Pla, M. Sustainability and Economic Aspects of Food Fortification. In Sustainable Food Fortification: Biobased Approaches and Strategies; Sanghvi, G., Bishoyi, A.K., Joshi, S.J., Enshasy, H.A.E., Eds.; Springer Nature: Singapore, 2025; pp. 53–75. [Google Scholar]
- Vasilakis, G.; Karayannis, D.; Massouras, T.; Politis, I.; Papanikolaou, S. Biotechnological Conversions of Mizithra Second Cheese Whey by Wild-Type Non-Conventional Yeast Strains: Production of Yeast Cell Biomass, Single-Cell Oil and Polysaccharides. Appl. Sci. 2022, 12, 11471. [Google Scholar] [CrossRef]
- Sciuto, G.; Russo, N.; Randazzo, C.L.; Caggia, C. Valorization of Second Cheese Whey Through Microalgae-Based Treatments: Advantages, Limits, and Opportunities. BioTech 2025, 14, 79. [Google Scholar] [CrossRef]
- Stratigakis, N.C.; Nazos, T.T.; Goumenaki, M.; Tsolakidi, A.; Spantidaki, M.; Lagouvardou-Spantidaki, A.; Ghanotakis, D.F. Growth performance and adaptability of an EPS-producing Chlorella strain in cheese whey with high and low salinity: Prospects for the sustainable production of microalgal biomass. J. Appl. Phycol. 2025, 37, 1777–1794. [Google Scholar] [CrossRef]
- Lois-Milevicich, J.; Casá, N.; Alvarez, P.; Mateucci, R.; Busto, V.; de Escalada Pla, M. Chlorella vulgaris biomass production using brewery wastewater with high chemical oxygen demand. J. Appl. Phycol. 2020, 32, 2773–2783. [Google Scholar] [CrossRef]
- Liu, J.; Chen, F. Biology and Industrial Applications of Chlorella: Advances and Prospects. In Microalgae Biotechnology; Posten, C., Chen, S.F., Eds.; Springer International Publishing: Cham, Germany, 2014; Volume 153, pp. 1–35. [Google Scholar]
- Mayhead, E.; Silkina, A.; Llewellyn, C.A.; Fuentes-Grünewald, C. Comparing Nutrient Removal from Membrane Filtered and Unfiltered Domestic Wastewater Using Chlorella vulgaris. Biology 2018, 7, 12. [Google Scholar] [CrossRef]
- Fon Sing, S.; Isdepsky, A.; Borowitzka, M.A.; Lewis, D.M. Pilot-scale continuous recycling of growth medium for the mass culture of a halotolerant Tetraselmis sp. in raceway ponds under increasing salinity: A novel protocol for commercial microalgal biomass production. Bioresour. Technol. 2014, 161, 47–54. [Google Scholar] [CrossRef]
- Metsoviti, M.N.; Papapolymerou, G.; Karapanagiotidis, I.T.; Katsoulas, N. Effect of Light Intensity and Quality on Growth Rate and Composition of Chlorella vulgaris. Plants 2019, 9, 31. [Google Scholar] [CrossRef]
- Grubišić, M.; Peremin, I.; Djedović, E.; Šantek, B.; Ivančić Šantek, M. Cultivation of a Novel Strain of Chlorella vulgaris S2 under Phototrophic, Mixotrophic, and Heterotrophic Conditions, and Effects on Biomass Growth and Composition. Fermentation 2024, 10, 270. [Google Scholar] [CrossRef]
- Stanier, R.Y.; Kunisawa, R.; Mandel, M.; Cohen-Bazire, G. Purification and properties of unicellular blue-green algae (order Chroococcales). Microbiol. Mol. Biol. Rev. 1971, 35, 171–205. [Google Scholar] [CrossRef]
- Lois Milevicich, J. Aprovechamiento de un Efluente Cervecero Para la Obtención de Biomasa Microalgal. Ph.D. Thesis, Universidad Tecnológica Nacional—Facultad Regional Buenos Aires, Capital Federal, CABA, Argentina, August 2023. [Google Scholar]
- Argumedo Moix, M. Influencia Del Mezclado en la Producción de Biomasa y Composición Bioquímica de Spirulina Platensis LMPA-55. Master’s Thesis, Universidad Tecnológica Nacional—Facultad Regional Buenos Aire, Capital Federal, CABA, Argentina, December 2018. [Google Scholar]
- Trujillo-Roldán, M.A.; Valdez-Cruz, N.A. El Estrés Hidrodinámico: Muerte y Daño Celular en Cultivos Agitados. Rev. Latinoam. Microbiol. 2006, 48, 269–280. [Google Scholar]
- Büchs, J.; Maier, U.; Milbradt, C.; Zoels, B. Power consumption in shaking flasks on rotary shaking machines: I. Power consumption measurement in unbaffled flasks at low liquid viscosity. Biotechnol. Bioeng. 2000, 68, 589–593. [Google Scholar] [CrossRef]
- Monti, L.; Donati, E.; Zambrini, A.V.; Contarini, G. Application of membrane technologies to bovine Ricotta cheese exhausted whey (scotta). Int. Dairy J. 2018, 85, 121–128. [Google Scholar] [CrossRef]
- Perry, R.H.; Green, D.W.; Maloney, J.O. (Eds.) Perry’s Chemical Engineers’ Handbook, 7th ed.; McGraw-Hill: New York, NY, USA, 1999. [Google Scholar]
- Camacho, F.G.; Rodríguez, J.J.G.; Mirón, A.S.; Belarbi, E.H.; Chisti, Y.; Grima, E.M. Photobioreactor scale-up for a shear-sensitive dinoflagellate microalga. Process. Biochem. 2011, 46, 936–944. [Google Scholar] [CrossRef]
- Rushton, J.H.; Costich, E.W.; Everett, H.J. Power characteristics of mixing impellers. Parts I and II. Chem. Eng. Prog. 1950, 46, 395–404+467–476. [Google Scholar]
- Moheimani, N.R.; Borowitzka, M.A.; Isdepsky, A.; Sing, S.F. Standard Methods for Measuring Growth of Algae and Their Composition. In Algae for Biofuels and Energy; Borowitzka, M.A., Moheimani, N.R., Eds.; Springer: Dordrecht, The Netherlands, 2013; pp. 265–284. [Google Scholar]
- Anthony, J.; Sivashankarasubbiah, K.T.; Thonthula, S.; Rangamaran, V.R.; Gopal, D.; Ramalingam, K. An efficient method for the sequential production of lipid and carotenoids from the Chlorella Growth Factor-extracted biomass of Chlorella vulgaris. J. Appl. Phycol. 2018, 30, 2325–2335. [Google Scholar] [CrossRef]
- Chandra, R.; Rohit, M.V.; Swamy, Y.V.; Venkata Mohan, S. Regulatory function of organic carbon supplementation on biodiesel production during growth and nutrient stress phases of mixotrophic microalgae cultivation. Bioresour. Technol. 2014, 165, 279–287. [Google Scholar] [CrossRef] [PubMed]
- Zwietering, M.H.; Jongenburger, I.; Rombouts, F.M.; Van ‘T Riet, K. Modeling of the Bacterial Growth Curve. Appl. Environ. Microbiol. 1990, 56, 1875–1881. [Google Scholar] [CrossRef] [PubMed]
- Mishra, S.K.; Suh, W.I.; Farooq, W.; Moon, M.; Shrivastav, A.; Park, M.S.; Yang, J.-W. Rapid quantification of microalgal lipids in aqueous medium by a simple colorimetric method. Bioresour. Technol. 2014, 155, 330–333. [Google Scholar] [CrossRef]
- Lowry, O.H.; Rosebrough, N.J.; Farr, A.L.; Randall, R.J. Protein measurement with the Folin phenol reagent. J. Biol. Chem. 1951, 193, 265–275. [Google Scholar] [CrossRef]
- DuBois, M.; Gilles, K.A.; Hamilton, J.K.; Rebers, P.A.; Smith, F. Colorimetric method for determination of sugars and related substances. Anal. Chem. 1956, 28, 350–356. [Google Scholar] [CrossRef]
- Metzner, H. Über Eine Eingefäß-Methode zur Kontinuierlichen Messung von Photosynthese-und Atmungsquotienten. Photosynthetica 1967, 1, 249–252. [Google Scholar]
- Röbbelen, G. Untersuchungen An Strahleninduzierten Blattfarbmutanten Von Arabidopsis Thaliana (L) Heynh. Z. Ver-Erbungslehre 1957, 88, 189–252. [Google Scholar] [CrossRef]
- Wegmann, K.; Metzner, H. Synchronization of Dunaliella cultures. Arch. Microbiol. 1971, 78, 360–367. [Google Scholar] [CrossRef]
- HACH 10072 Method (Persulfate Digestion Method). Available online: https://cdn.hach.com/7FYZVWYB/at/8vtz4bshbf3m3pwcn6vw58t8/DOC3165301085.pdf (accessed on 5 November 2025).
- Pulliainen, T.K.; Wallin, H.C. Determination of total phosphorus in foods by colorimetry: Summary of NMKL’ collaborative study. J. AOAC Int. 1996, 79, 1408–1410. [Google Scholar] [CrossRef]
- HACH 8000 Method (Dichromate Digestion Method). Available online: https://cdn.hach.com/7FYZVWYB/at/t92wtrbwc74nf9jcpbcpwvsv/DR_4000_Chemical_Oxygen_Demand_all_ranges_Method_8000.pdf (accessed on 5 November 2025).
- Wang, C.; Lan, C.Q. Effects of shear stress on microalgae—A review. Biotechnol. Adv. 2018, 36, 986–1002. [Google Scholar] [CrossRef] [PubMed]
- Luzzi, S.C.; Gardner, R.G.; Heins, B.J. The Use of Chlorella species to Remove Nutrients from Dairy Wastewater to Produce Livestock Feed. Sustainability 2024, 16, 1382. [Google Scholar] [CrossRef]
- Garcia-Ochoa, F.; Gomez, E. Bioreactor scale-up and oxygen transfer rate in microbial processes: An overview. Biotechnol. Adv. 2009, 27, 153–176. [Google Scholar] [CrossRef] [PubMed]
- Barghbani, R.; Rezaei, K.; Javanshir, A. Investigating the Effects of Several Parameters on the Growth of Chlorella vulgaris Using Taguchi’s Experimental Approach. Int. J. Biotechnol. Wellness Ind. 2012, 1, 128–133. [Google Scholar] [CrossRef]
- Soto, M.F.; Diaz, C.A.; Zapata, A.M.; Higuita, J.C. BOD and COD removal in vinasses from sugarcane alcoholic distillation by Chlorella vulgaris: Environmental evaluation. Biochem. Eng. J. 2021, 176, 108191. [Google Scholar] [CrossRef]
- Vera-López Portillo, F.; Martínez-Jiménez, A. Pigmentos en Microalgas: Funciones, Aplicaciones y Técnicas de Sobreproducción. BioTecnología 2021, 25, 35–51. [Google Scholar]
- Velichkova, K.; Sirakov, I. Growth Parameters, Protein and Photosynthetic Pigment Content of Chlorella vulgaris Cultivated Under Photoautotrophic and Mixotrophic Conditions. Bulg. J. Agric. Sci. 2018, 24, 150–155. [Google Scholar]
- Yun, H.-S.; Kim, Y.-S.; Yoon, H.-S. Effect of Different Cultivation Modes (Photoautotrophic, Mixotrophic, and Heterotrophic) on the Growth of Chlorella sp. and Biocompositions. Front. Bioeng. Biotechnol. 2021, 9, 774143. [Google Scholar] [CrossRef]
- Yan, X.; Shan, S.; Li, X.; Xu, Q.; Yan, X.; Ruan, R.; Cheng, P. Carbon and energy metabolism for the mixotrophic culture of Chlorella vulgaris using sodium acetate as a carbon source. Front. Microbiol. 2024, 15, 1436264. [Google Scholar] [CrossRef] [PubMed]
- Khalili, A.; Najafpour, G.D.; Amini, G.; Samkhaniyani, F. Influence of nutrients and LED light intensities on biomass production of microalgae Chlorella vulgaris. Biotechnol. Bioprocess Eng. 2015, 20, 284–290. [Google Scholar] [CrossRef]
- Russo, G.L.; Langellotti, A.L.; Oliviero, M.; Baselice, M.; Sacchi, R.; Masi, P. Valorization of second cheese whey through cultivation of extremophile microalga Galdieria sulphuraria. AIMS Environ. Sci. 2021, 8, 435–448. [Google Scholar] [CrossRef]
- Balasubramaniyan, M.; Kasiraman, D.; Amirtham, S. Chlorella vulgaris in biodesalination: A sustainable future from seawater to freshwater. Mar. Dev. 2024, 2, 7. [Google Scholar] [CrossRef]
- Safi, C.; Zebib, B.; Merah, O.; Pontalier, P.-Y.; Vaca-Garcia, C. Morphology, composition, production, processing and applications of Chlorella vulgaris: A review. Renew. Sustain. Energy Rev. 2014, 35, 265–278. [Google Scholar] [CrossRef]
- Gao, F.; Yang, H.-L.; Li, C.; Peng, Y.-Y.; Lu, M.-M.; Jin, W.-H.; Bao, J.-J.; Guo, Y.-M. Effect of organic carbon to nitrogen ratio in wastewater on growth, nutrient uptake and lipid accumulation of a mixotrophic microalgae Chlorella sp. Bioresour. Technol. 2019, 282, 118–124. [Google Scholar] [CrossRef]
- Ratomski, P.; Hawrot-Paw, M. Influence of Nutrient-Stress Conditions on Chlorella vulgaris Biomass Production and Lipid Content. Catalysts 2021, 11, 573. [Google Scholar] [CrossRef]
- Choix, F.J.; De-Bashan, L.E.; Bashan, Y. Enhanced accumulation of starch and total carbohydrates in alginate-immobilized Chlorella spp. induced by Azospirillum brasilense: I. Autotrophic conditions. Enzym. Microb. Technol. 2012, 51, 294–299. [Google Scholar] [CrossRef] [PubMed]
- Ho, S.-H.; Huang, S.-W.; Chen, C.-Y.; Hasunuma, T.; Kondo, A.; Chang, J.-S. Characterization and optimization of carbohydrate production from an indigenous microalga Chlorella vulgaris FSP-E. Bioresour. Technol. 2013, 135, 157–165. [Google Scholar] [CrossRef] [PubMed]
- Peng, Y.; Gao, F.; Hang, W.W.; Yang, H.; Jin, W.; Li, C. Effects of organic matters in domestic wastewater on lipid/carbohydrate production and nutrient removal of Chlorella vulgaris cultivated under mixotrophic growth conditions. J. Chem. Technol. Biotechnol. 2019, 94, 3578–3584. [Google Scholar] [CrossRef]
- Liang, Z.; Liu, Y.; Ge, F.; Xu, Y.; Tao, N.; Peng, F.; Wong, M. Efficiency assessment and pH effect in removing nitrogen and phosphorus by algae-bacteria combined system of Chlorella vulgaris and Bacillus licheniformis. Chemosphere 2013, 92, 1383–1389. [Google Scholar] [CrossRef]
- Ishika, T.; Bahri, P.A.; Laird, D.W.; Moheimani, N.R. The effect of gradual increase in salinity on the biomass productivity and biochemical composition of several marine, halotolerant, and halophilic microalgae. J. Appl. Phycol. 2018, 30, 1453–1464. [Google Scholar] [CrossRef]



| Systems | Ci (O.D.680) | pHi | pHf |
|---|---|---|---|
| A c | 0.3 | 9.00 | 8.19 |
| B c | 0.3 | 9.00 | 8.18 |
| C c | 0.3 | 9.00 | 8.07 |
| D | 0.2 | 8.00 | 7.90 |
| E | 0.4 | 8.00 | 8.05 |
| F | 0.2 | 10.00 | 8.45 |
| G | 0.4 | 10.00 | 8.49 |
| H | 0.1 | 9.00 | 8.24 |
| I | 0.3 | 11.00 | 9.11 |
| J | 0.3 | 7.00 | 7.97 |
| K | 0.5 | 9.00 | 8.39 |
| System-Capacity | VL (mL) | ds * (m) | rpm | Re | Np | P (w) | PV (w.m−3) |
|---|---|---|---|---|---|---|---|
| Erlenmeyer 125 mL | 25 | 0.065 | 100 | 8067 | 0.14 | 0.00079 | 31.74 |
| Erlenmeyer 500 mL | 200 | 0.098 | 100 | 18,337 | 0.16 | 0.00696 | 34.79 |
| Bioreactor 3 L | 2000 | 0.047 | 500 | 21,088 | 0.50 | 0.06789 | 33.94 |
| Parameter | Erlenmeyer 500 mL | Bioreactor 3 L |
|---|---|---|
| Xi (g·L−1) | 0.243 ± 0.009 a | 0.243 ± 0.009 a |
| Xf (g·L−1) | 2.2 ± 0.5 a | 2.8 ± 0.3 a |
| Px (g·L−1·h−1) | 0.021 ± 0.005 a | 0.027 ± 0.005 a |
| Px (g·L−1.d−1) | 0.5 ± 0.2 a | 0.7 ± 0.1 a |
| pHf | 8.07 ± 0.03 a | 8.17 ± 0.05 a |
| Erlenmeyer 500 mL | Bioreactor 3 L | |
|---|---|---|
| Carbohydrates (g·100 g−1) | 13 ± 3 a | 10 ± 3 a |
| Lipid (g·100 g−1) | 9.4 ± 0.2 a | 4.9 ± 0.4 b |
| Protein (g·100 g−1) | 22 ± 1 a | 13.5 ± 0.7 b |
| Chlorophyll a (mg·g−1) | 0.8 ± 0.1 a | 0.34 ± 0.06 b |
| Chlorophyll b (mg·g−1) | 0.7 ± 0.1 a | 0.36 ± 0.07 b |
| Carotenoid (mg·g−1) | 0.54 ± 0.07 a | 0.26 ± 0.04 b |
| Reduction (%) | Erlenmeyer 500 mL | Bioreactor 3 L |
|---|---|---|
| COD | 14.7 ± 0.6 a | 17.6 ± 0.5 b |
| TP | 30 ± 1 a | 96 ± 4 b |
| TN | 39 ± 1 a | 70 ± 2 b |
Disclaimer/Publisher’s Note: The statements, opinions and data contained in all publications are solely those of the individual author(s) and contributor(s) and not of MDPI and/or the editor(s). MDPI and/or the editor(s) disclaim responsibility for any injury to people or property resulting from any ideas, methods, instructions or products referred to in the content. |
© 2025 by the authors. Licensee MDPI, Basel, Switzerland. This article is an open access article distributed under the terms and conditions of the Creative Commons Attribution (CC BY) license (https://creativecommons.org/licenses/by/4.0/).
Share and Cite
Casá, N.; Alvarez, P.; Mateucci, R.; Argumedo Moix, M.; de Escalada Pla, M. Producing Chlorella vulgaris in Ricotta Cheese Whey Substrate. Fermentation 2025, 11, 705. https://doi.org/10.3390/fermentation11120705
Casá N, Alvarez P, Mateucci R, Argumedo Moix M, de Escalada Pla M. Producing Chlorella vulgaris in Ricotta Cheese Whey Substrate. Fermentation. 2025; 11(12):705. https://doi.org/10.3390/fermentation11120705
Chicago/Turabian StyleCasá, Nahuel, Paola Alvarez, Ricardo Mateucci, Maximiliano Argumedo Moix, and Marina de Escalada Pla. 2025. "Producing Chlorella vulgaris in Ricotta Cheese Whey Substrate" Fermentation 11, no. 12: 705. https://doi.org/10.3390/fermentation11120705
APA StyleCasá, N., Alvarez, P., Mateucci, R., Argumedo Moix, M., & de Escalada Pla, M. (2025). Producing Chlorella vulgaris in Ricotta Cheese Whey Substrate. Fermentation, 11(12), 705. https://doi.org/10.3390/fermentation11120705

