Enhancing Effect of Adding Previously Fermented Juice and Sudan Grass on the Quality of Alfalfa Silage
Abstract
1. Introduction
2. Materials and Methods
2.1. Experimental Materials
2.2. Experimental Design
- PFJI: adding PFJ at a concentration of 1%;
- PFJ0: no PFJ added; an equal amount of distilled water was added instead (control).
- M100: 100% alfalfa and 0% Sudan grass;
- M75: 75% alfalfa and 25% Sudan grass;
- M50: 50% alfalfa and 50% Sudan grass;
- M25: 25% alfalfa and 75% Sudan grass;
- M0: 0% alfalfa and 100% Sudan grass.
2.3. Experimental Methods
2.3.1. Silage Sample Preparation
2.3.2. Fermented Green Juice Preparation
2.3.3. Silage Quality Analysis
- Sensory evaluation: The German Agricultural Association silage sensory quality scoring method was used for the comprehensive sensory evaluation of silage quality based on odor, texture, and color [17].
- Fermentation quality assessment: After the silage period expired, 20 g of fresh samples were added to 180 mL of deionized water, stirred well, and refrigerated at 4 °C for 24 h. The pH of the extract was directly measured using a LeiCi brand pHS-3C acidity meter; the ammonia nitrogen (AN) content was determined using the phenol–sodium hypochlorite colorimetric method [18], and the ratio of AN to total nitrogen (TN) was calculated. Following the method described by Cao et al., the lactic acid (LA), acetic acid (AA), propionic acid (PA), and butyric acid (BA) contents in the extract were analyzed using Shimadzu high-performance liquid chromatography [19].
- Nutritional component analysis: After the silage matured, fresh samples were taken from the silage tank, oven-dried at 120 °C for 20 min to eliminate the greenness, further dried to constant weight at 65 °C, and the initial moisture content was determined. The air-dried sample was crushed using a crusher, passed through a 40-mesh sieve, and stored in a sealed plastic bag for later use. The dry matter (DM) content was determined using the drying method [20]; the crude protein (CP) content was determined using the Kjeldahl method [21]; the neutral detergent fiber (NDF) and acid detergent fiber (ADF) contents were determined using the Van Soest method [22]; and the crude ash (Ash) content was determined using the high-temperature incineration method [23]. The ether extraction (EE) content was determined using the Soxhlet fat extraction method [23], and the water-soluble carbohydrates (WSCs) were determined using the sulfuric acid–anthrone colorimetric method [24]. The relative feeding value (RFV) was calculated using the formula [25]:
- 4.
- Degradation rate of nutritional components: All subjects gave their informed consent for inclusion before they participated in the study. The study was conducted in accordance with the Declaration of Helsinki, and the protocol was approved by the Animal Welfare and Ethics Committee of Xinjiang Agricultural University, Urumqi, Xinjiang, China (project identification code: 2023032). The research sheep were purchased from farmers in Aerxiategou, Hejing County and Hejing Town, Bazhou, Xinjiang. The experiment involved four healthy and disease-free Chinese Merino sheep (Xinjiang type) with permanent rumen fistulas, aged 1.5 years, and with similar body weights (average weight 35 ± 1.48 kg). Their daily diet during the experimental period comprised corn stalks as roughage and a mixed concentrate purchased from Xinjiang Tiankang Biological Co. Ltd. (Urumqi, Xinjiang, China) The mixed culture solution was prepared and pretreated before cultivation following the method described by Menke et al. [26]. Before starting the experiment, the collected rumen fluid was filtered through a four-layer gauze and mixed with an anaerobic buffer at a ratio of 1:2. Subsequently, it was placed in a water bath at 39 °C and shaken until use. Each batch of samples was processed within 30 min before and after the treatment [26]. We accurately weighed the fermented samples required for the experimental design, prepared three replicates for each test sample, and recorded them in detail. A nylon screen mesh with a pore size of 300 mesh was used to make a nylon bag with a unified size of 12 cm × 6 cm (height × width). The three sides of the bag were sewn with a fine polyester thread to prevent fraying, and the loose edges were singed with a candle. The bags were cleaned, dried, and weighed before use. The fermented sample was poured into the nylon bag, rinsed with water, and gently flushed until the water was completely clear. Next, it was placed in an oven at 65 °C to dry to a constant weight. The degradation rates of DM, CP, NDF, and ADF were measured at 72 h. The degradation rate of nutrients was calculated using the following formula: nutrient degradation rate (%) = (the DM weight of the sample put into the nylon bag × the nutrient content of the original sample (%)—the DM weight remaining after digestion × the nutrient content of the digested sample (%)/(the DM weight of the sample put into the nylon bag × the nutrient content of the original sample) × 100% [27].
2.4. Statistical Analysis
3. Results
3.1. Nutritional Composition Analysis of Silage Raw Materials
3.2. Effects of Additives and Mixing Ratios on the Sensory Indicators of Alfalfa Silage
3.3. Effects of PFJ and Mixing Ratio on the Fermentation Quality of Alfalfa Silage
3.4. Effects of Additives and Mixing Ratio on the Nutritional Composition of Alfalfa Silage
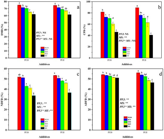
3.5. Effects of Additives and Mixing Ratio on the Nutrient Degradation Rate of Alfalfa Silage
3.6. Principal Component Analysis (PCA) of the Quality of Alfalfa Silage with Different Treatments
3.7. Comprehensive Evaluation Using the Fuzzy Mathematical Membership Function Method
4. Discussion
4.1. Sensory Evaluation Analysis of Different Treatments of Alfalfa Silage
4.2. Fermentation Quality Analysis of Different Treatments of Alfalfa Silage
4.3. Analysis of the Nutritional Composition in the Mixed Silage of Alfalfa and Sudan Grass
4.4. Analysis of Nutrient Degradation Rate in Mixed Silage of Alfalfa and Sudan Grass
5. Conclusions
Author Contributions
Funding
Institutional Review Board Statement
Informed Consent Statement
Data Availability Statement
Acknowledgments
Conflicts of Interest
References
- Chen, L.; Bao, X.; Guo, G.; Huo, W.; Xu, Q.; Wang, C.; Li, Q.; Liu, Q. Effects of Hydrolysable Tannin with or without Condensed Tannin on Alfalfa Silage Fermentation Characteristics and In Vitro Ruminal Methane Production, Fermentation Patterns, and Microbiota. Animals 2021, 11, 1967. [Google Scholar] [CrossRef] [PubMed]
- Xu, R.; Zhao, H.; Liu, G.; You, Y.; Ma, L.; Liu, N.; Zhang, Y. Effects of nitrogen and maize plant density on forage yield and nitrogen uptake in an alfalfa–silage maize relay intercropping system in the North China Plain. Field Crops Res. 2021, 263, 108068. [Google Scholar] [CrossRef]
- Liu, X.; Li, D.; Ge, Q.; Yang, B.; Li, S. Effects of harvest period and mixed ratio on the characteristic and quality of mixed silage of alfalfa and maize. Anim. Feed Sci. Technol. 2023, 306, 115796. [Google Scholar] [CrossRef]
- Bao, J.; Sun, Z.; Lu, J.; Li, Y.; Liu, G.; Yu, Z. Effects of Different Mixing Ratio and Silage Time on the Silage Quality of Alfalfa and Sweet Sorghum. Siliao Gongye 2021, 42, 43–47. [Google Scholar]
- Wen, A.; Yuan, X.; Wang, J.; Desta, S.T.; Shao, T. Effects of four short-chain fatty acids or salts on dynamics of fermentation and microbial characteristics of alfalfa silage. Anim. Feed Sci. Technol. 2017, 223, 141–148. [Google Scholar] [CrossRef]
- Jin, C. Effect of Different Additives on Mixed Silage of Corn and Alfalfa; Northwest A&F University: Xianyang, China, 2021. [Google Scholar]
- Fijałkowska, M.; Pysera, B.; Lipiński, K.; Strusińska, D. Changes of nitrogen compounds during ensiling of high protein herbages—A review. Ann. Anim. Sci. 2015, 15, 289–305. [Google Scholar] [CrossRef]
- Jones, D.J.C. The biochemistry of silage. J. Agric. Sci. 1991, 117, 386. [Google Scholar] [CrossRef]
- Wang, J.; Wang, Y.-Q.; Wen, A.-Y.; Shao, T. Effects of molasses addition on the fermentation quality of broccoli residue, rice straw and alfalfa mixed silage. Actapratac. Sin. 2014, 23, 248. [Google Scholar]
- Sufuer, B.; Aishan, A.; Sha-zhou, A.N.; Yimiti, Y.; Ashan, S. Effects of Adding Formaldehyde Additives on Fermented Half-Dry Silage of Sorghum Sudanense Stapf for Nutrients Change Rule. Xinjiang Agric. Sci. 2014, 51, 1900–1906. [Google Scholar]
- Qin, L.G.; Xu, Q.F.; Wang, B.P.; Yu, Z.; Sun, Q.-Z. Effects of Formic Acid or Sucrose on Sorghum sudanense (Piper) Stapf Silage. Chin. J. Grassl. 2010, 32, 76–80. [Google Scholar]
- Hasiyati, T.; Halidai, R.; Zuerdong, R.; Aibibula, Y. Study on Fermentation Quality of Sudangrass and Sweet Clover Mix Silage. Grass-Feed. Livest. 2013, 4, 62–64. [Google Scholar]
- Aibibula, Y.; Reshalaitihan, M.; Liu, C. Effect Addition of Previously Fermented Juice on Fermentation Quality of Alfalfa and Sudan Grass Silages. Grass-Feed. Livest. 2012, 1, 60–65. [Google Scholar]
- Pu, W. Effects of Fermented Green Juices on Sainfoin and Alfalfa Silage Quality and Its Mechanism; Lanzhou University: Lanzhou, China, 2022. [Google Scholar]
- Jiang, K.W.; Zhang, Q.Q.; Wang, Y.F.; Li, H.; Yang, Q.; Tursunnayi, R. Differences in soil bacterial communities of desert grasslands in Tianshan under different grazing disturbances. Pratac. Sci. 2023, 40, 1243–1257. [Google Scholar]
- Wang, P.; Souma, K.; Ishii, N.; Okada, S.; Uchimura, T.; Ohshima, M.; Masuko, T. Effects of Adding Fermented Juice of Epiphytic Lactic Acid Bacteria on Fermentation Quality and Flora of Lactic Acid Bacteria in Grass Silage. Jpn J. Grassl. Sci. 2009, 55, 141–147. [Google Scholar]
- Xu, C.; Yang, F.; Zhang, J.G. Silage Science and Technology; Science Press: Beijing, China, 2013. [Google Scholar]
- Broderick, G.A.; Kang, J.H. Automated simultaneous determination of ammonia and total amino acids in ruminal fluid and in vitro media. J. Dairy Sci. 1980, 63, 64–75. [Google Scholar] [CrossRef]
- Cao, Y.; Cai, Y.M.; Hirakubo, T. Fermentation characteristics and microorganism composition of total mixed ration silage with local food by-products indifferent seasons. Anim. Sci. J. 2011, 82, 259–266. [Google Scholar] [CrossRef]
- Filya, I.; Ashbell, G.; Hen, Y.; Weinberg, Z.G. The effect of bacterial inoculants on the fermentation and aerobic stability of whole crop wheat silage. Anim. Feed Sci. Technol. 2000, 88, 39–46. [Google Scholar] [CrossRef]
- Krishnamoorthy, U.; Muscato, T.V.; Sniffen, C.J.; Van Soest, P.J. Nitrogen fractions in selected feed stuffs. J. Dairy Sci. 1982, 65, 217–225. [Google Scholar] [CrossRef]
- Vansoest, P.J.; Robertson, J.B.; Lewis, B.A. Methods for dietary fiber, neutral detergent fiber and non starch polysaccharides in relation nutrition. J. Dairy Sci. 1991, 74, 3583–3597. [Google Scholar] [CrossRef]
- Zhang, L.Y. Feed Analysis and Feed Quality Detection Technology, 2nd ed.; China Agricultural University Press: Beijing, China, 2007. [Google Scholar]
- Owens, V.N.; Albrecht, K.A.; Muck, R.E.; Duke, S.H. Protein degradation and fermentation characteristics of red clover and alfalfa silage harvested with varying levels of total nonstructural carbohydrates. Crop Sci. 1999, 39, 1873–1880. [Google Scholar] [CrossRef]
- Undersander, D.J.; Moore, E.; Schneider, N. Relative Forage Quality. Focus on Forage. 2010. Available online: https://www.foragelab.com (accessed on 16 October 2023).
- Menke, K.H.; Raab, L.; Salewski, A.; Steingass, H.; Fritz, D.; Schneider, W. The estimation of the digestibility and metabolizable energy content of ruminant feeding stuffs from the gas production when they are incubated with rumen liquor in vitro. J. Agric. Sci. 1979, 93, 217–222. [Google Scholar] [CrossRef]
- Pei, C.X. Effect of Different Harvest Time and Drying Methods on Nutrient Like WSC of Herbage; Shanxi Agricultural University: Jinzhong, China, 2001. [Google Scholar]
- Wang, X.-Z. Effect of Compaction and Harvest Stage on Quality and Mycotoxin of Whole-Plant Corn Silage. Ph.D. Thesis, Shihezi University, Shihezi, China, 2019. [Google Scholar]
- Ge, J.; Yang, C.J.; Yang, Z.M.; Bai, X.M.; Zhao, H.X.; Liu, G.H. Quality of mixed naked oats (Avena nuda) and alfalfa (Medicago sativa) silage. Acta Pratac. Sin. 2015, 24, 104–113. [Google Scholar]
- Huang, X.H. Sophora alopecuroides and Corn Straw Mixed Silaging and Quality Evaluation of Silage; Lanzhou University: Lanzhou, China, 2014. [Google Scholar]
- Xingjun, X.; Lujia, H.; Shin-ichiro, H.A.A.; Kazuhisa, N.A.A.A. Effects of lactobacillus and cellulase on the quality of corn stover silage. J. China Agric. Univ. 2003, 8, 21–24. [Google Scholar]
- Haiwei, R.; Cong, W.; Junwei, D.; Zhizhong, L.; Jinping, L.; Yongming, S. Mixed ensiling quality of maize straw with waste cabbage and biogas production potential analysis. Trans. Chin. Soc. Agric. Eng. 2016, 32, 187–193. [Google Scholar]
- Gu, Y.J.; Zhan, J.S.; Sha, W.F.; Zhu, J.; Zhan, K.; Lin, M.; Zhang, W.Y. Comparative Analysis of Fermentation Quality and Nutrient Content of Mixed Storage of Soybean Straw and Corn Stover at Different Proportions. China Feed 2016, 6, 21–24. [Google Scholar]
- Liang, X.-Y.; Ji, Y.; Yi, J.; Fu, M.-Z.; Hu, Y.-B. Effects of mixing ratio and additives on ensilage eficieney of mixed chicory and silage maize. Acta Pratac. Sin. 2018, 27, 173–181. [Google Scholar]
- Hu, Y.B.; Liang, X.Y.; Yi, J.; Guan, H.; Zhang, J.; Zhang, J.M.; Meng, Y.H.; Ji, Y. Effects of mixing ratio and additives on the quality of napier grass and whole-plant corn mixed silage. Pratac. Sci. 2022, 39, 778–786. [Google Scholar]
- Zhang, J.G.; Kawamoto, H.; Cai, Y. Relationships between the addition rates of cellulose or glucose and silage fermentation at different temperatures. Anim. Sci. J. 2010, 81, 325–330. [Google Scholar] [CrossRef] [PubMed]
- Zhang, X.Q.; Jin, Y.M.; Sun, Q.Z.; Wang, L.; Zhang, H.J. Effect of Additives on Fermentation Quality of Hempleaf Nettle (Urtica cannabina L.) Silage. Acta Agrestia Sin. 2010, 18, 291–296. [Google Scholar]
- Wen, A.-Y.; Yuan, X.-J.; Wang, J.; Wang, J.; Shao, T. Study on Fermentation Quality of Mixed Silage of Alfalfa and Italian Ryegrass. J. Anhui Sci. Technol. Univ. 2011, 25, 10–14. [Google Scholar]
- Dong, K.H.; Shen, Y.X. Forage Production; China Agriculture Press: Beijing, China, 2003. [Google Scholar]
- Li, X.-L.; Zhang, X.-Y.; Tang, Y.-G.; He, F.; Zhang, J.-Z. Effect of concentrate-forage ratio in diet on liveweight gain of stall fed goats. Acta Pratac. Sin. 2008, 17, 85–91. [Google Scholar]
- Fu, J.-T.; Wang, X.-K.; Ni, K.-K.; Yang, F.-Y. The effects of adding lactic acid bacteria and molasses on termentation of Broussonetia papyrifera and rice straw mixed silage. Acta Pratac. Sin. 2020, 29, 121–128. [Google Scholar]
- Muck, R.E.; Pitt, R.E. Aerobic deterioration in corn silage relative to the silo face. Trans. ASAE 1994, 37, 735–743. [Google Scholar] [CrossRef]
- Sun, L.; Jiang, Y.; Ling, Q.; Na, N.; Xu, H.; Vyas, D.; Adesogan, A.T.; Xue, Y. Effects of Adding Pre-Fermented Fluid Prepared from Lucerne or Red Clover on Fermentation Quality and In Vitro Digestibility of the Ensiled Wilting-Forages. Agriculture 2021, 11, 454. [Google Scholar] [CrossRef]



| Indices | DM (% FW) | CP (% DM) | NDF (% DM) | ADF (% DM) | EE (% DM) | Ash (% DM) | WSC (% DM) | RFV |
|---|---|---|---|---|---|---|---|---|
| Alfalfa | 36.63 ± 0.00 a | 15.76 ± 0.98 a | 64.40 ± 0.93 a | 44.33 ± 0.70 a | 3.13 ± 0.98 a | 9.69 ± 0.58 b | 3.75 ± 0.25 b | 128.57 ± 3.21 a |
| Sudan grass | 30.92 ± 0.00 b | 11.69 ± 0.24 b | 72.86 ± 0.92 b | 54.05 ± 1.18 b | 2.71 ± 0.03 b | 8.51 ± 0.52 a | 12.12 ± 0.05 a | 97.14 ± 3.24 b |
| Additive | Mixture Ratio | Color | Odor | Texture | Total Score | Grade |
|---|---|---|---|---|---|---|
| PFJ0 | M100 | 1 | 6 | 4 | 11 | good |
| M75 | 1 | 8 | 4 | 13 | good | |
| M50 | 2 | 10 | 4 | 16 | excellent | |
| M25 | 2 | 6 | 4 | 12 | good | |
| M0 | 1 | 10 | 4 | 15 | good | |
| PFJI | M100 | 1 | 10 | 4 | 15 | good |
| M75 | 1 | 8 | 4 | 13 | good | |
| M50 | 2 | 10 | 4 | 16 | excellent | |
| M25 | 2 | 10 | 4 | 16 | excellent | |
| M0 | 2 | 10 | 4 | 16 | excellent |
| Additive | Mixture Ratio | DM (% FW) | CP (% DM) | NDF (% DM) | ADF (% DM) | Ash (% DM) | EE (% DM) | WSC (% DM) | RFV |
|---|---|---|---|---|---|---|---|---|---|
| PFJ0 | M100 | 38.68 ± 2.56 bc | 16.49 ± 0.8 ab | 61.35 ± 1.47 a | 46.82 ± 1.48 a | 10.38 ± 0.12 d | 4.57 ± 0.10 a | 7.86 ± 0.26 bc | 129.93 ± 0.13 a |
| M75 | 36.72 ± 3.44 c | 16.28 ± 0.86 ab | 63.54 ± 0.35 ab | 51.22 ± 0.13 b | 9.41 ± 0.68 bcd | 4.24 ± 0.41 ab | 7.04 ± 0.27 c | 116.87 ± 0.39 c | |
| M50 | 39.54 ± 0.16 bc | 12.94 ± 0.43 de | 64 ± 0.78 b | 51.88 ± 0.22 b | 8.85 ± 0.18 bc | 3.38 ± 0.89 abc | 9.02 ± 1.36 b | 114.76 ± 0.98 c | |
| M25 | 38.89 ± 0.13 bc | 12.12 ± 1.59 de | 65.53 ± 0.86 b | 51.3 ± 1.24 b | 8.89 ± 0.59 bc | 3.34 ± 0.48 abc | 11.87 ± 0.64 a | 113.2 ± 3.84 c | |
| M0 | 42.2 ± 0.69 abc | 12.34 ± 0.67 de | 74.98 ± 1.68 d | 56.09 ± 0.45 c | 7.36 ± 0.17 a | 2.76 ± 0.48 c | 12.01 ± 0.15 a | 91.04 ± 2.77 e | |
| PFJI | M100 | 46.72 ± 0.78 a | 17.62 ± 0.79 a | 63.51 ± 0.5 ab | 47.44 ± 0.48 a | 9.88 ± 0.11 cd | 3.68 ± 0.87 abc | 4.32 ± 0.02 e | 124.28 ± 0.04 b |
| M75 | 41.06 ± 0.97 abc | 14.94 ± 0.8 bc | 64.15 ± 1.11 b | 51.24 ± 0.86 b | 9.23 ± 0.7 bc | 2.93 ± 0.47 bc | 4.87 ± 0.19 de | 115.75 ± 3.65 c | |
| M50 | 39.68 ± 0.49 bc | 13.64 ± 0.42 cd | 64.36 ± 0.31 b | 52.04 ± 0.85 b | 9.51 ± 0.28 bcd | 3.57 ± 0.28 abc | 5.12 ± 0.28 de | 113.8 ± 1.09 c | |
| M25 | 42.35 ± 5.09 abc | 11.65 ± 0.67 de | 71.85 ± 0.45 c | 50.35 ± 1.2 b | 8.91 ± 0.45 bc | 3.34 ± 0.06 abc | 5.82 ± 0.28 d | 104.86 ± 1.41 d | |
| M0 | 43.39 ± 2.85 ab | 11.34 ± 0.86 e | 73.03 ± 1.33 cd | 56.83 ± 1.16 c | 8.52 ± 0.40 b | 2.56 ± 0.71 c | 7.44 ± 0.37 c | 92.22 ± 3.64 e | |
| Main effect analysis | |||||||||
| PFJ | ** | NS | ** | NS | NS | NS | ** | * | |
| MS | NS | ** | ** | ** | ** | * | ** | ** | |
| PFJ * MS | NS | NS | ** | NS | NS | NS | ** | NS | |
| Principal Component | Eigenvalue | Contribution (%) | Cumulative Contribution (%) |
|---|---|---|---|
| PC1 | 6.181 | 36.036 | 36.036 |
| PC2 | 2.505 | 20.195 | 56.231 |
| PC3 | 1.619 | 15.995 | 72.226 |
| PC4 | 1.105 | 15.535 | 87.761 |
| Indices | PC1 | PC2 | PC3 | PC4 |
|---|---|---|---|---|
| LA | 0.020 | −0.292 | 0.231 | −0.03 |
| AA | −0.187 | 0.382 | 0.027 | 0.159 |
| PA | 0.176 | −0.076 | −0.337 | −0.148 |
| BA | 0.108 | −0.135 | 0.486 | 0.067 |
| pH | −0.133 | 0.011 | 0.129 | 0.558 |
| DM | −0.041 | 0.087 | 0.001 | 0.294 |
| AN/TN | 0.094 | 0.206 | 0.18 | −0.436 |
| NDF | −0.227 | 0.024 | 0.076 | 0.116 |
| ADF | −0.273 | 0.102 | −0.187 | 0.097 |
| CP | 0.192 | 0.13 | −0.085 | −0.167 |
| Ash | 0.192 | 0.016 | 0.115 | −0.013 |
| EE | 0.166 | −0.154 | 0.042 | 0.152 |
| WSC | −0.072 | −0.327 | 0.023 | 0.226 |
| Additives | Mixture Ratio | ADF | WSC | BA | pH | Comprehensive Evaluation Value | Orders |
|---|---|---|---|---|---|---|---|
| PFJ0 | M100 | 1.00 | 0.46 | −0.31 | 0.00 | 0.29 | 10 |
| M75 | 0.56 | 0.35 | 1.00 | 0.27 | 0.55 | 4 | |
| M50 | 0.49 | 0.61 | 0.74 | 0.96 | 0.70 | 1 | |
| M25 | 0.55 | 0.98 | 0.06 | 1.00 | 0.65 | 2 | |
| M0 | 0.07 | 1.00 | 0.89 | 0.54 | 0.62 | 3 | |
| PFJI | M100 | 0.94 | 0.00 | −0.19 | 0.45 | 0.30 | 8 |
| M75 | 0.56 | 0.07 | 0.90 | 0.48 | 0.50 | 6 | |
| M50 | 0.48 | 0.10 | 0.89 | 0.54 | 0.51 | 5 | |
| M25 | 0.65 | 0.19 | 0.09 | 0.63 | 0.39 | 7 | |
| M0 | 0.00 | 0.41 | 0.00 | 0.75 | 0.29 | 9 |
Disclaimer/Publisher’s Note: The statements, opinions and data contained in all publications are solely those of the individual author(s) and contributor(s) and not of MDPI and/or the editor(s). MDPI and/or the editor(s) disclaim responsibility for any injury to people or property resulting from any ideas, methods, instructions or products referred to in the content. |
© 2024 by the authors. Licensee MDPI, Basel, Switzerland. This article is an open access article distributed under the terms and conditions of the Creative Commons Attribution (CC BY) license (https://creativecommons.org/licenses/by/4.0/).
Share and Cite
Dawuti, Y.; Kuerban, Z.; Cheng, Z.; Guo, P.; Gao, J.; Yimingniyazi, A. Enhancing Effect of Adding Previously Fermented Juice and Sudan Grass on the Quality of Alfalfa Silage. Fermentation 2024, 10, 418. https://doi.org/10.3390/fermentation10080418
Dawuti Y, Kuerban Z, Cheng Z, Guo P, Gao J, Yimingniyazi A. Enhancing Effect of Adding Previously Fermented Juice and Sudan Grass on the Quality of Alfalfa Silage. Fermentation. 2024; 10(8):418. https://doi.org/10.3390/fermentation10080418
Chicago/Turabian StyleDawuti, Yisilayi, Zaituniguli Kuerban, Zhize Cheng, Penghui Guo, Jinlan Gao, and Amanula Yimingniyazi. 2024. "Enhancing Effect of Adding Previously Fermented Juice and Sudan Grass on the Quality of Alfalfa Silage" Fermentation 10, no. 8: 418. https://doi.org/10.3390/fermentation10080418
APA StyleDawuti, Y., Kuerban, Z., Cheng, Z., Guo, P., Gao, J., & Yimingniyazi, A. (2024). Enhancing Effect of Adding Previously Fermented Juice and Sudan Grass on the Quality of Alfalfa Silage. Fermentation, 10(8), 418. https://doi.org/10.3390/fermentation10080418

