A Method for Choosing the Spatial and Temporal Approximations for the LES Approach
Abstract
1. Introduction
2. Numerical Method and Model
3. Computational Mesh and Initial Conditions of the DHIT Problem
- Initial turbulence kinetic energy can be estimated as . Therefore, characteristic fluctuation velocity is and the turbulent Mach number is Thus, the flow can be considered incompressible;
- The integral turbulence scale, , is equal to a quarter of the computational domain length. This is the largest resolved scale because bigger scale eddies would be significantly deformed by the periodic conditions of the cube;
- The turbulent Reynolds number, , is sufficiently large for turbulence to form the inertial interval. Resolved velocity scales are inviscid. Unresolved velocity scales contain a fraction of the vortices from the inertial interval and the vortices from the dissipation interval. The scales of the latter are smaller than the numerical grid size;
- Initial integral time scale, , is estimated as . All simulations are carried out up to physical time . The energy spectrum of the turbulence is assumed to reach an equilibrium shape in two large eddy turnover times, and this shape at the final moment of time is determined only by the properties of the subgrid model and the numerical method.
4. Results
4.1. Consistent Initial Field Problem
4.2. Choice of Temporal Approximation
4.3. Choice of Central Differences
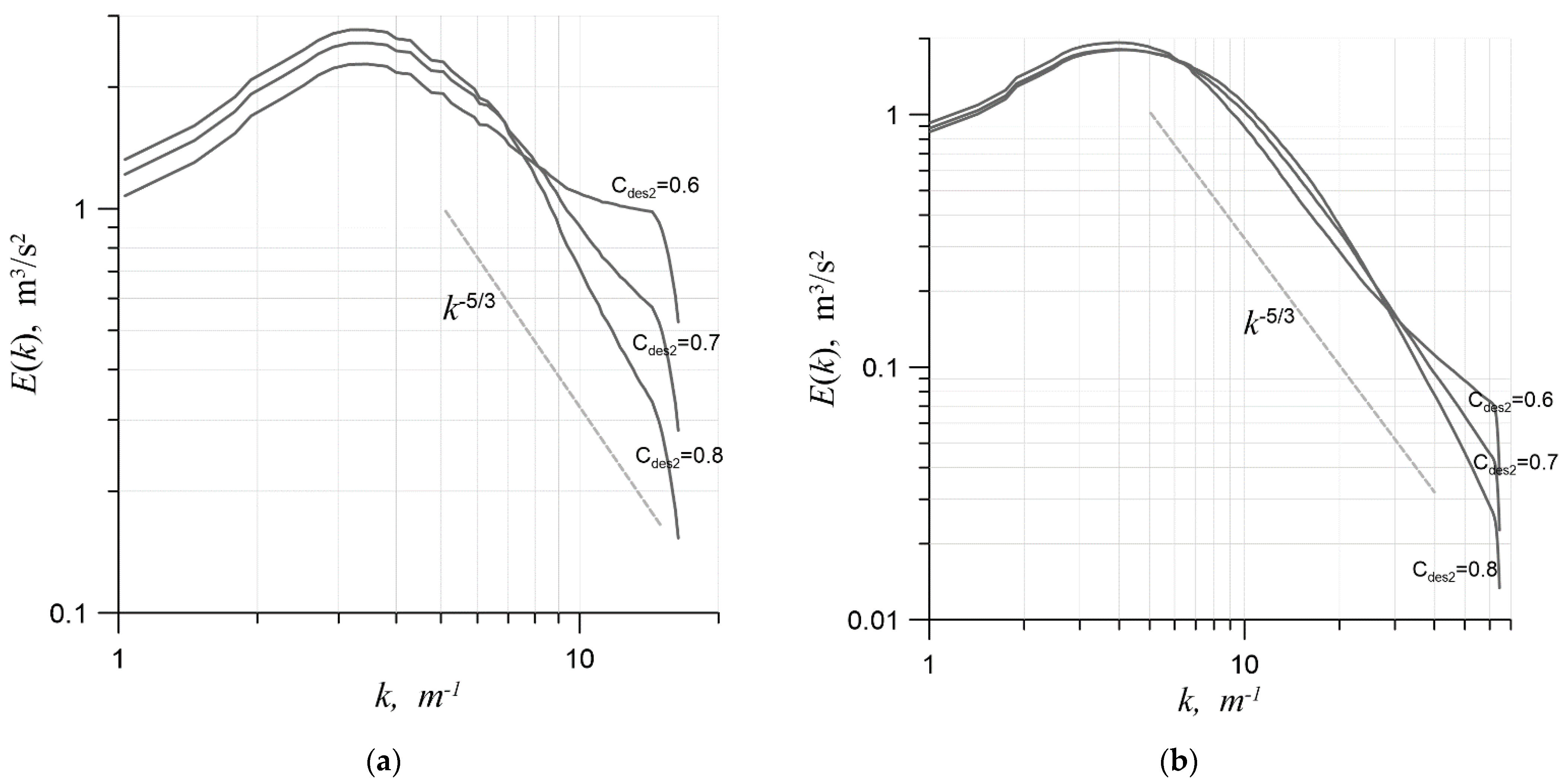
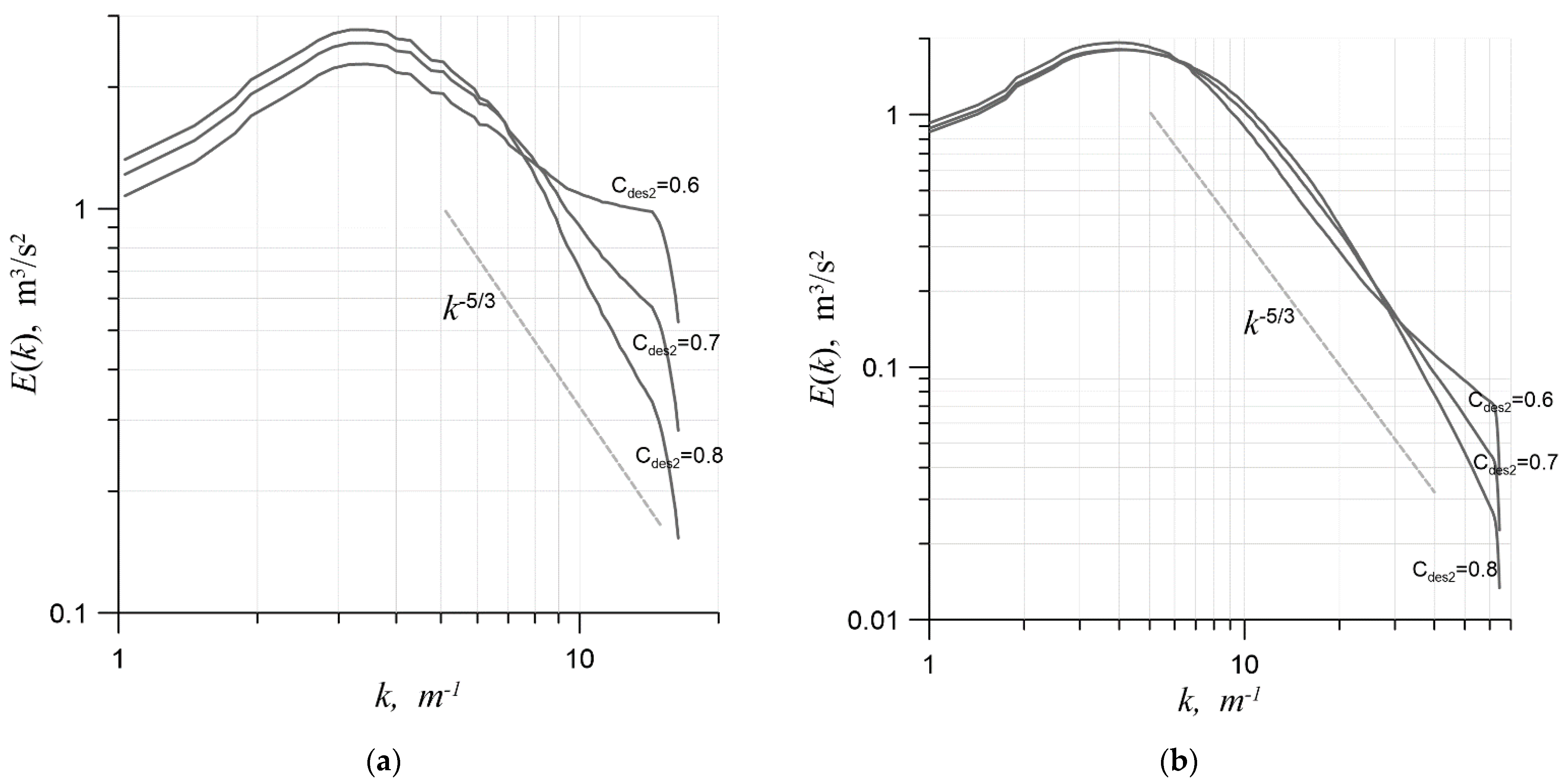
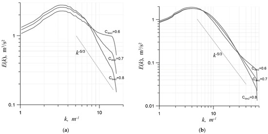
4.4. Constant Calibration
4.5. Determining the Maximum Weight of the Upwind Scheme
5. Conclusions
- Firstly, for simulations using the current implementation of DDES in zFlare, a hybrid scheme based on a central-difference scheme of the second order of accuracy and the explicit three-step Heun method (which has a weaker time-step constraint than the midpoint method) is recommended to maximize computational efficiency, at least if the computational mesh is close to uniform;
- Secondly, with the recommended hybrid numerical method, the optimal value of was found to be 0.56. This value was almost independent of the mesh spacing, at least if its cutoff scale fell within the inertial interval. At the same time, the optimal value of for a pure central-difference scheme of the second order of accuracy equal to 0.69 was found;
- Thirdly, the influence of the subgrid model very quickly decreased with an increase in the weight of the upwind part of the numerical scheme. It became insignificant at values as low as , which indicates a possibility of using these schemes with the ILES method in eddy-resolving regions.
Author Contributions
Funding
Data Availability Statement
Conflicts of Interest
References
- Spalart, P.R. Strategies for turbulence modelling and simulations. Int. J. Heat Fluid Flow 2000, 21, 252–263. [Google Scholar] [CrossRef]
- Reynolds, O. On the Dynamical Theory of Incompressible Viscous Fluids and the Determination of the Criterion. Phil. Trans. R. Soc. Lond. 1895, 186, 123–164. [Google Scholar]
- Smagorinsky, J. General circulation experiments with the primitive equations: I. The basic experiment. Mon. Weather. Rev. 1963, 91, 99–164. [Google Scholar] [CrossRef]
- Lilly, D.K. The Representation of Small-Scale Turbulence in Numerical Simulation Experiments; IBM Form: Yorktown Heights, NY, USA, 1967; pp. 195–210. [Google Scholar]
- Deardorff, J.W. A numerical study of three-dimensional turbulent channel flow at large Reynolds numbers. J. Fluid Mech. 1970, 41, 453–480. [Google Scholar] [CrossRef]
- Kolmogorov, A.N. The local structure of turbulence in incompressible viscous fluid for very large Reynolds numbers. CR Acad. Sci. USSR 1941, 30, 301–305. [Google Scholar]
- Chaouat, B. The state of the art of hybrid RANS/LES modeling for the simulation of turbulent flows. Flow Turbul. Combust. 2017, 99, 279–327. [Google Scholar] [CrossRef]
- Shur, M.; Spalart, P.R.; Strelets, M.; Travin, A. Detached-eddy simulation of an airfoil at high angle of attack. In Engineering Turbulence Modelling and Experiments 4; Elsevier Science Ltd.: Amsterdam, The Netherlands, 1999; pp. 669–678. [Google Scholar] [CrossRef]
- Spalart, P.R.; Deck, S.; Shur, M.L.; Squires, K.D.; Strelets, M.K.; Travin, A. A new version of detached-eddy simulation, resistant to ambiguous grid densities. Theor. Comput. Fluid Dyn. 2006, 20, 181–195. [Google Scholar] [CrossRef]
- Travin, A.; Shur, M.; Strelets, M.; Spalart, P.R. Physical and Numerical Upgrades in the Detached-Eddy Simulation of Complex Turbulent Flows. Fluid Mech. Appl. 2002, 65, 239–254. [Google Scholar] [CrossRef]
- Gritskevich, M.S.; Garbaruk, A.V.; Schütze, J.; Menter, F.R. Development of DDES and IDDES Formulations for the k-ω Shear Stress Transport Model. Flow Turbul. Combust. 2012, 88, 431–449. [Google Scholar] [CrossRef]
- Yu, H.; Grimaji, S.S.; Luo, L.S. DNS and LES of decaying isotropic turbulence with and without frame rotation using lattice Boltzmann. J. Comp. Phys. 2005, 209, 599–616. [Google Scholar] [CrossRef]
- Hansen, A.; Sørensen, N.N.; Johansen, J.; Michelsen, J.A. Detached-eddy simulation of decaying homogeneous isotropic turbulence. In Proceedings of the 43rd AIAA Aerospace Sciences Meeting and Exhibit 2005, Reno, NV, USA, 10–13 January 2005; p. 885. [Google Scholar] [CrossRef]
- Chumakov, S.G.; Rutland, C.J. Dynamic structure subgrid-scale models for large eddy simulation. Int. J. Numer. Methods Fluids 2005, 47, 911–923. [Google Scholar] [CrossRef]
- Zhou, Z.; He, G.; Wang, S.; Jin, G. Subgrid-scale model for large-eddy simulation of isotropic turbulent flows using an artificial neural network. Comput. Fluids 2019, 195, 104319. [Google Scholar] [CrossRef]
- Bakhne, S. Comparison of convective terms’ approximations in DES family methods. Math. Model. Comput. Sim. 2022, 14, 99–109. [Google Scholar] [CrossRef]
- Bakhne, S.; Bosniakov, S.M.; Mikhailov, S.V.; Troshin, A.I. Comparison of gradient approximation methods in schemes designed for scale-resolving simulations. Math. Model. Comput. Sim. 2020, 12, 357–367. [Google Scholar] [CrossRef]
- Troshin, A.; Bakhne, S.; Sabelnikov, V. Numerical and physical aspects of large-eddy simulation of turbulent mixing in a helium-air supersonic co-flowing jet. In Progress in Turbulence IX; Örlü, R., Talamelli, A., Peinke, J., Oberlack, M., Eds.; Springer: Berlin/Heidelberg, Germany, 2021; pp. 297–302. [Google Scholar] [CrossRef]
- Bosnyakov, S.; Kursakov, I.; Lysenkov, A.; Matyash, S.; Mikhailov, S.; Vlasenko, V.; Quest, J. Computational tools for supporting the testing of civil aircraft configurations in wind tunnels. Prog. Aerosp. Sci. 2008, 44, 67–120. [Google Scholar] [CrossRef]
- Zhang, R.; Zhang, M.; Shu, C.W. On the order of accuracy and numerical performance of two classes of finite volume WENO schemes. Commun. Comput. Phys. 2011, 9, 807–827. [Google Scholar] [CrossRef]
- Suresh, A.; Huynh, H. Accurate Monotonicity-Preserving Schemes with Runge–Kutta Time Stepping. J. Comput. Phys. 1997, 136, 83–99. [Google Scholar] [CrossRef]
- Godunov, S.K.; Zabrodin, A.V.; Ivanov, M.I.; Kraiko, A.N.; Prokopov, G.P. Numerical Solution of Multidimensional Problems of Gas Dynamics; Nauka: Moscow, Russia, 1976; p. 400. [Google Scholar]
- Guseva, E.K.; Garbaruk, A.V.; Strelets, M.K. An automatic hybrid numerical scheme for global RANS-LES approaches. J. Phys. Conf. Ser. 2017, 929, 83–99. [Google Scholar] [CrossRef]
- Fornberg, B. Generation of Finite Difference Formulas on Arbitrarily Spaced Grids. Math. Comput. 1988, 51, 699–706. [Google Scholar] [CrossRef]
- van Leer, B.; Lee, W.T.; Roe, P.L.; Powell, K.G.; Tai, C.H. Design of Optimally Smoothing Multistage Schemes for the Euler Equations. Commun. Appl. Numer. Methods 1992, 8, 761–769. [Google Scholar] [CrossRef]
- Shur, M.L.; Spalart, P.R.; Strelets, M.K.; Travin, A.K. An Enhanced Version of DES with Rapid Transition from RANS to LES in Separated Flows. Flow Turbul. Combust. 2015, 95, 709–737. [Google Scholar] [CrossRef]
- Batchelor, G.K. The Theory of Homogeneous Turbulence; Cambridge University Press: Cambridge, UK, 1953; 197p. [Google Scholar]
- Shur, M.L.; Spalart, P.R.; Strelets, M.K.; Travin, A.K. Synthetic Turbulence Generators for RANS-LES Interfaces in Zonal Simulations of Aerodynamic and Aeroacoustic Problems. Flow Turbul. Combust. 2014, 93, 63–92. [Google Scholar] [CrossRef]
- Etkin, B. Dynamics of Atmospheric Flight; John Wiley & Sons, Inc.: New York, NY, USA, 1972; 340p. [Google Scholar]
- Comte-Bellot, G.; Corrsin, S. The use of a contraction to improve the isotropy of grid-generated turbulence. J. Fluid Mech. 1966, 25, 657–682. [Google Scholar] [CrossRef]
- Comte-Bellot, G.; Corrsin, S. Simple Eulerian time correlation of full- and narrow-band velocity signals in grid-generated, ‘isotropic’ turbulence. J. Fluid Mech. 1971, 48, 273–337. [Google Scholar] [CrossRef]
- Sagaut, P. Large Eddy Simulation for Incompressible Flows: An Introduction, 3rd ed.; Springer Science & Business Media: Berlin/Heidelberg, Germany, 2006. [Google Scholar]
- Godunov, S.K.; Ryabenkii, V.S. Difference Schemes an Introduction to the Underlying Theory; Elsevier Science Publ.: Amsterdam, The Netherlands, 1987; 490p. [Google Scholar]










Publisher’s Note: MDPI stays neutral with regard to jurisdictional claims in published maps and institutional affiliations. |
© 2022 by the authors. Licensee MDPI, Basel, Switzerland. This article is an open access article distributed under the terms and conditions of the Creative Commons Attribution (CC BY) license (https://creativecommons.org/licenses/by/4.0/).
Share and Cite
Bakhne, S.; Sabelnikov, V. A Method for Choosing the Spatial and Temporal Approximations for the LES Approach. Fluids 2022, 7, 376. https://doi.org/10.3390/fluids7120376
Bakhne S, Sabelnikov V. A Method for Choosing the Spatial and Temporal Approximations for the LES Approach. Fluids. 2022; 7(12):376. https://doi.org/10.3390/fluids7120376
Chicago/Turabian StyleBakhne, Sergei, and Vladimir Sabelnikov. 2022. "A Method for Choosing the Spatial and Temporal Approximations for the LES Approach" Fluids 7, no. 12: 376. https://doi.org/10.3390/fluids7120376
APA StyleBakhne, S., & Sabelnikov, V. (2022). A Method for Choosing the Spatial and Temporal Approximations for the LES Approach. Fluids, 7(12), 376. https://doi.org/10.3390/fluids7120376

