Effects of Mean Inflow Velocity and Droplet Diameter on the Propagation of Turbulent V-Shaped Flames in Droplet-Laden Mixtures
Abstract
1. Introduction
- (a)
- to analyse the effects of mean inflow velocity and initial droplet diameters on the flame structure at different axial locations from the flame holder for turbulent V-shaped flames propagating into droplet-laden mixtures with mono-sized droplet diameters.
- (b)
- to explain the effects of mean inflow velocity and initial droplet diameter on consumption speed, density-weighted displacement speed and turbulent burning velocity at different axial locations from the flame holder.
2. Mathematical Background
3. Numerical Implementation
4. Results and Discussion
4.1. Reacting Mixture Composition
4.2. Flame Brush Thickness and Flame Angle
4.3. Reaction Zone Structure
4.4. Statistical Analysis of Flame Speeds
5. Conclusions
Author Contributions
Funding
Acknowledgments
Conflicts of Interest
References
- Smith, K.O.; Gouldin, F.C. Experimental investigation of flow turbulence effects on premixed methane-air flames. Prog. Astronaut. Aeronaut. 1978, 58, 37–54. [Google Scholar]
- Veynante, D.; Duclos, J.M.; Piana, J. Experimental analysis of flamelet models for premixed turbulent combustion. Proc. Combust. Inst. 1994, 25, 1249–1256. [Google Scholar] [CrossRef]
- Veynante, D.; Piana, J.; Duclos, J.M.; Martel, C. Experimental analysis of flame surface density models for premixed turbulent combustion. Proc. Combust. Inst. 1996, 26, 413–420. [Google Scholar] [CrossRef]
- Gouldin, F.C. Combustion intensity and burning rate integral of premixed flames. Proc. Combust. Inst. 1996, 26, 381–388. [Google Scholar] [CrossRef]
- Shepherd, I.G. Flame surface density and burning rate in premixed turbulent flames. Proc. Combust. Inst. 1996, 26, 373–379. [Google Scholar] [CrossRef]
- Sattler, S.S.; Knaus, D.S.; Gouldin, F.C. Determination of three-dimensional flamelet orientation distributions in turbulent v-flames from two-dimensional image data. Proc. Combust. Inst. 2002, 29, 1785–1792. [Google Scholar] [CrossRef]
- Sponfeldner, T.; Boxx, I.; Beyrau, F.; Hardalupas, Y.; Meier, W.; Taylor, A.M.K.P. On the alignment of fluid-dynamic principal strain-rates with the 3D flamelet-normal in a premixed turbulent V-flame. Proc. Combust. Inst. 2015, 35, 1269–1276. [Google Scholar] [CrossRef]
- Vena, P.C.; Deschamps, B.; Smallwood, G.J.; Johnson, M.R. Equivalence ratio gradient effects on flame front topology in a stratified iso-octane/air turbulent V-flame. Proc. Combust. Inst. 2011, 33, 1551–1558. [Google Scholar] [CrossRef]
- Vena, P.C.; Deschamps, B.; Guo, H.; Smallwood, G.J.; Johnson, M.R. Heat release rate variations in a globally stoichiometric, stratified iso-octane/air turbulent V-flame. Combust. Flame 2015, 162, 944–959. [Google Scholar] [CrossRef]
- Letty, C.; Renou, B.; Reveillon, J.; Saengkaew, S.; Grehan, G. Experimental study of droplet temperature in a two-phase heptane/air V-flame. Combust. Flame 2013, 160, 1803–1881. [Google Scholar] [CrossRef]
- Kheirkhah, S.; Gulder, O.L. Topology and brush thickness of turbulent premixed V-shaped flame. Flow Turb. Combust. 2014, 93, 439–459. [Google Scholar] [CrossRef]
- Alshaalan, T.M.; Rutland, C.J. Turbulence, scalar transport, and reaction rates in flame-wall interaction. Proc. Combsut. Inst. 1998, 28, 793–799. [Google Scholar] [CrossRef]
- Bell, J.B.; Day, M.S.; Shepherd, I.G.; Johnson, M.R.; Cheng, R.K.; Grcar, J.F.; Beckner, V.E.; Lijewski, M. Numerical simulation of a laboratory-scale turbulent V-flame. Proc. Natl. Acad. Sci. USA 2005, 102, 10006–10011. [Google Scholar] [CrossRef] [PubMed]
- Domingo, P.; Vervisch, L.; Payet, S.; Hauguel, R. DNS of a premixed turbulent V flame and LES of a ducted flame using a FSD-PDF subgrid scale closure with FPI-tabulated chemistry. Combust. Flame 2005, 143, 566–586. [Google Scholar] [CrossRef]
- Wu, Y.Y.; Chan, C.K.; Zhou, L.X. Large eddy simulation of an ethylene–air turbulent premixed V-flame. J. Comput. Methods Appl. Math. 2011, 235, 3768–3774. [Google Scholar] [CrossRef]
- Dunstan, T.D.; Swaminathan, N.; Bray, K.N.C.; Cant, R.S. Geometrical Properties and Turbulent Flame Speed Measurements in Stationary Premixed V-flames Using Direct Numerical Simulation. Flow Turb. Combust. 2011, 87, 237–259. [Google Scholar] [CrossRef]
- Dunstan, T.D.; Swaminathan, N.; Bray, K.N.C. Influence of flame geometry on turbulent premixed flame propagation: A DNS investigation. J. Fluid Mech. 2012, 709, 191–222. [Google Scholar] [CrossRef]
- Lai, J.; Chakraborty, N.; Zhao, P.; Wang, L. Heat flux and flow topology statistics in oblique and head-on quenching of turbulent premixed flames by isothermal inert walls. Combust. Sci. Technol. 2019, 191, 353–381. [Google Scholar] [CrossRef]
- Ahmed, U.; Chakraborty, N.; Klein, M. Scalar gradient and strain rate statistics in oblique premixed flame-wall interaction within turbulent channel flows. Flow Turb. Combust. 2020. [Google Scholar] [CrossRef]
- Ozel-Erol, G.; Hasslberger, J.; Klein, M.; Chakraborty, N. A Direct Numerical Simulation analysis of turbulent V-shaped flames propagating into droplet-laden mixtures. Int. J. Multiph. Flow 2020, 133, 103455. [Google Scholar] [CrossRef]
- Polymeropoulos, C.E. Flame propagation in aerosols of fuel droplets, fuel vapor and air. Combust. Sci. Technol. 1984, 40, 217–232. [Google Scholar] [CrossRef]
- Silverman, I.; Greenberg, J.B.; Tambour, Y. Stoichiometry and polydisperse effects in premixed spray flames. Combust. Flame 1993, 93, 97–118. [Google Scholar] [CrossRef]
- Greenberg, J.B.; Silverman, I.; Tambour, Y. On droplet enhancement of the burning velocity of laminar premixed spray flames. Combust. Flame 1998, 113, 271–273. [Google Scholar] [CrossRef]
- Burgoyne, J.H.; Cohen, L. The effect of drop size on flame propagation in liquid aerosols. Proc. R. Soc. Lond. Ser. A 1954, 225, 375–392. [Google Scholar]
- Mizutani, Y.; Nishimoto, T. Turbulent flame velocities in premixed sprays part i. experimental study. Combust. Sci. Technol. 1972, 6, 1–10. [Google Scholar] [CrossRef]
- Hayashi, S.; Kumarevgai, S.; Sakai, T. Propagation velocity and structure of flames in droplet-vapor-air mixtures. Combust. Sci. Technol. 1977, 15, 169–177. [Google Scholar] [CrossRef]
- Szekely, G.A.; Faeth, G.M. Effects of envelope flames on drop gasification rates in turbulent diffusion flames. Combust. Flame 1983, 49, 255–259. [Google Scholar] [CrossRef]
- Ballal, D.R.; Lefebvre, A.H. Flame propagation in heterogeneous mixtures of fuel droplets, fuel vapor and air. Proc. Combust. Inst. 1981, 18, 321–328. [Google Scholar] [CrossRef]
- Lawes, M.; Saat, A. Burning rates of turbulent iso-octane aerosol mixtures in spherical flame explosions. Proc. Combust. Inst. 2011, 33, 2047–2054. [Google Scholar] [CrossRef]
- Reveillon, J.; Vervisch, L. Analysis of weakly turbulent dilute-spray flames and spray combustion regimes. J. Fluid Mech. 2005, 537, 317–347. [Google Scholar] [CrossRef]
- Wang, Y.; Rutland, C.J. Effects of temperature and equivalence ratio on the ignition of n-heptane fuel spray in turbulent flow. Proc. Combust. Inst. 2005, 30, 893–900. [Google Scholar] [CrossRef]
- Nakamura, M.; Akamatsu, F.; Kurose, R.; Katsuki, M. Combustion mechanism of liquid fuel spray in a gaseous flame. Phys. Fluids. 2005, 17, 1–14. [Google Scholar] [CrossRef]
- Reveillon, J.; Demoulin, F.X. Evaporating droplets in turbulent reacting flows. Proc. Combust. Inst. 2007, 31, 2319–2326. [Google Scholar] [CrossRef]
- Sreedhara, S.; Huh, K.Y. Conditional statistics of nonreacting and reacting sprays in turbulent flows by direct numerical simulation. Proc. Combust. Inst. 2007, 31, 2335–2342. [Google Scholar] [CrossRef]
- Watanabe, H.; Kurose, R.; Hwang, S.M.; Akamatsu, F. Characteristics of flamelets in spray flames formed in a laminar counterflow. Combust. Flame 2007, 148, 234–248. [Google Scholar] [CrossRef]
- Wandel, A.P.; Chakraborty, N.; Mastorakos, E. Direct numerical simulations of turbulent flame expansion in fine sprays. Proc. Combust. Inst. 2009, 32, 2283–2290. [Google Scholar] [CrossRef]
- Schroll, P.; Wandel, A.P.; Cant, R.S.; Mastorakos, E. Direct numerical simulations of autoignition in turbulent two-phase flows. Proc. Combust. Inst. 2009, 32, 2275–2282. [Google Scholar] [CrossRef]
- Xia, J.; Luo, K.H. Direct numerical simulation of inert droplet effects on scalar dissipation rate in turbulent reacting and non-reacting shear layers. Flow Turbul. Combust. 2010, 84, 397–422. [Google Scholar] [CrossRef]
- Fujita, A.; Watanabe, H.; Kurose, R.; Komori, S. Two-dimensional direct numerical simulation of spray flames-Part 1: Effects of equivalence ratio, fuel droplet size and radiation, and validity of flamelet model. Fuel 2013, 104, 515–525. [Google Scholar] [CrossRef]
- Wandel, A.P. Influence of scalar dissipation on flame success in turbulent sprays with spark ignition. Combust. Flame 2014, 161, 2579–2600. [Google Scholar] [CrossRef]
- Neophytou, A.; Mastorakos, E.; Cant, R.S. DNS of spark ignition and edge flame propagation in turbulent droplet-laden mixing layers. Combust. Flame 2010, 157, 1071–1086. [Google Scholar] [CrossRef]
- Neophytou, A.; Mastorakos, E.; Cant, R.S. The internal structure of igniting turbulent sprays as revealed by complex chemistry DNS. Combust. Flame 2012, 159, 641–664. [Google Scholar] [CrossRef]
- Wacks, D.; Chakraborty, N.; Mastorakos, E. Flame structure and propagation in turbulent flame-droplet interaction: A Direct Numerical Simulation analysis. Flow Turbul. Combust. 2016, 96, 573–607. [Google Scholar] [CrossRef]
- Wacks, D.; Chakraborty, N. Flow topology and alignments of scalar gradients and vorticity in turbulent spray flames: A Direct Numerical Simulation analysis. Fuel 2016, 184, 922–947. [Google Scholar] [CrossRef]
- Ozel Erol, G.; Hasslberger, J.; Klein, M.; Chakraborty, N. A direct numerical simulation analysis of spherically expanding turbulent flames in fuel droplet-mists for an overall equivalence ratio of unity. Phys. Fluids 2018, 30, 086104. [Google Scholar] [CrossRef]
- Ozel Erol, G.; Hasslberger, J.; Klein, M.; Chakraborty, N. A Direct Numerical Simulation investigation of spherically expanding flames propagating in fuel droplet-mists for different droplet diameters and overall equivalence ratios. Combust. Sci. Technol. 2019, 191, 833–867. [Google Scholar] [CrossRef]
- Ozel Erol, G.; Hasslberger, J.; Klein, M.; Chakraborty, N. Propagation of spherically expanding turbulent flames into fuel droplet-mists. Flow Turb. Combust. 2019, 103, 913–941. [Google Scholar] [CrossRef]
- Pillai, A.L.; Kurose, R. Combustion noise analysis of a turbulent spray flame using a hybrid DNS/APE-RF approach. Combust. Flame 2019, 200, 168–191. [Google Scholar] [CrossRef]
- Turquand-d’Auzay, C.; Ahmed, U.; Pillai, A.; Chakraborty, N.; Kurose, R. Statistics of progress variable and mixture fraction gradients in an open turbulent jet spray flame. Fuel 2019, 247, 198–208. [Google Scholar] [CrossRef]
- Malkeson, S.; Ahmed, U.; Pillai, A.L.; Chakraborty, N.; Kurose, R. Evolution of Surface Density Function in an open turbulent jet spray flame. Flow Turbul. Combust. 2020. [Google Scholar] [CrossRef]
- Tarrazo, E.F.; Sánchez, A.L.; Liñán, A.; Williams, F.A. A simple one-step chemistry model for partially premixed hydrocarbon combustion. Combust. Flame 2006, 147, 32–38. [Google Scholar]
- Malkeson, S.P.; Chakraborty, N. Statistical analysis of displacement speed in turbulent stratified flames: A direct numerical simulation study. Combust. Sci. Technol. 2010, 182, 1841–1883. [Google Scholar] [CrossRef]
- Peters, N.; Terhoeven, P.; Chen, J.H.; Echekki, T. Statistics of Flame Displacement Speeds from Computations of 2-D Unsteady Methane-Air Flames. Proc. Combust. Inst. 1998, 27, 833–839. [Google Scholar] [CrossRef]
- Echekki, T.; Chen, J.H. Analysis of the Contribution of Curvature to Premixed Flame Propagation. Combust. Flame 1999, 118, 303–311. [Google Scholar] [CrossRef]
- Papapostolou VOzel-Erol, G.; Turquand d’Auzay, C.; Chakraborty, N. A Numerical Investigation of the Minimum Ignition Energy Requirement for Forced Ignition of Turbulent Droplet-laden Mixtures. Combust. Sci. Technol. 2020. [Google Scholar] [CrossRef]
- Ballal, D.R.; Lefebvre, A. Ignition and flame quenching of quiescent fuel mists. Proc. R. Soc. A Math. Phys. Eng. Sci. 1978, 364, 277–294. [Google Scholar]
- Ballal, D.R.; Lefebvre, A. Ignition and flame quenching of flowing heterogeneous fuel-air mixtures. Combust. Flame 1978, 35, 155–168. [Google Scholar] [CrossRef]
- Danis, A.M.; Namer, I.; Cernansky, N.P. Droplet size and equivalence ratio effects on spark ignition of monodisperse N-heptane and methanol sprays. Combust. Flame 1988, 74, 285–294. [Google Scholar] [CrossRef]
- Mikami, M.; Oyagi, H.; Kojima, N.; Wakashima, Y.; Kikuchi, M.; Yoda, S. Microgravity experiments on flame spread along fuel-droplet arrays at high temperatures. Combust. Flame 2006, 146, 391–406. [Google Scholar] [CrossRef]
- Wray, A.A. Minimal Storage Time Advanced Schemes for Spectral Methods; Report No. MS 202; NASA Ames Research Centre: Mountain View, CA, USA, 1990. [Google Scholar]
- Poinsot, T.; Lele, S.K. Boundary conditions for direct simulation of compressible viscous flows. J. Comp. Phys. 1992, 101, 104–129. [Google Scholar] [CrossRef]
- Rotexo-Softpredict-Cosilab, GmbH & Co. KG, Bad Zwischenahn. Germany, Cosilab. Collection, Version 3.0. 2009. Available online: www.SoftPredict.com (accessed on 15 June 2020).
- Neophytou, A.; Mastorakos, E. Simulations of laminar flame propagation in droplet mists. Combust. Flame 2009, 156, 1627–1640. [Google Scholar] [CrossRef]
- Taylor, G.I. Diffusion by continuous movements. Proc. Lond. Math. Soc. 1922, 20, 196–212. [Google Scholar] [CrossRef]
- Chakraborty, N.; Cant, S. Unsteady effects of strain rate and curvature on turbulent premixed flames in an inlet-outlet configuration. Combust. Flame 2004, 137, 129–147. [Google Scholar] [CrossRef]
- Chakraborty, N.; Hesse, H.; Mastorakos, E. Numerical investigation of edge flame propagation behaviour in an igniting turbulent planar jet. Combust. Sci. Technol. 2010, 182, 1747–1781. [Google Scholar] [CrossRef]
- Haruki, Y.; Pillai, A.L.; Kitano, T.; Kurose, R. Numerical investigation of flame propagation in fuel droplet arrays. At. Sprays 2018, 28, 357–388. [Google Scholar] [CrossRef]
- De Chaisemartin, S.; Fréret, L.; Kah, D.; Laurent, F.; Fox, R.; Reveillon, J. Eulerian models for turbulent spray combustion with polydispersity and droplet crossing. C R Mec. 2009, 337, 438–448. [Google Scholar] [CrossRef]
- Chiu, H.H.; Liu, T.M. Group combustion of liquid droplets. Combust. Sci. Technol. 1977, 17, 127–142. [Google Scholar] [CrossRef]
- Zhao, S.; Bouali, Z.; Mura, A. Computational investigation of weakly turbulent flame kernel growths in iso-octane droplet clouds in CVC conditions. Flow Turb. Combust. 2020, 104, 139–177. [Google Scholar] [CrossRef]
- Peters, N. Turbulent Combustion, Cambridge Monograph on Mechanics; Cambridge University Press: Cambridge, UK, 2000. [Google Scholar]
- Bray, K.N.C. Turbulent Flows with Premixed Reactants. In Turbulent Reacting Flows; Libby, P.A., Williams, F.A., Eds.; Springer: Berlin/Heidelberg, Germany, 1980; pp. 115–183. [Google Scholar]
- Lipatnikov, A.N.; Chomiak, J. Turbulent flame speed and thickness: Phenomenology, evaluation, and application in multi-dimensional simulations. Prog. Energy Combust. Sci. 2002, 28, 1–74. [Google Scholar] [CrossRef]
- Meneveau, C.; Poinsot, T. Stretching and quenching of flamelets in premixed turbulent combustion. Combust. Flame 1991, 86, 311–332. [Google Scholar] [CrossRef]
- Yamashita, H.; Shimada, M.; Takeno, T. A numerical study on flame stability at the transition point of jet diffusion flames. Proc. Combust. Inst. 1996, 26, 27–34. [Google Scholar] [CrossRef]
- Sanakaran, R.; Hawkes, E.R.; Chen, J.H.; Law, C.K. Structure of a spatially developing turbulent lean methane–air Bunsen flame. Proc. Combust. Inst. 2006, 31, 1291–1298. [Google Scholar] [CrossRef]
- Damköhler, G. Zeitschrift fur Elektrochemie und angewante physikalische. Chemie 1940, 46, 601–626. [Google Scholar]
- Chakraborty, N.; Cant, R. S Influence of Lewis Number on curvature effects in turbulent premixed flame propagation in the thin reaction zones regime. Phys. Fluids 2005, 17, 105105. [Google Scholar] [CrossRef]
- Chakraborty, N. Comparison of displacement speed statistics of turbulent premixed flames in the regimes representing combustion in corrugated flamelets and thin reaction zones. Phys. Fluids 2007, 19, 105109. [Google Scholar] [CrossRef]
- Echekki, T.; Chen, J.H. Unsteady strain rate and curvature effects in turbulent premixed methane-air flames. Combust. Flame 1996, 106, 184–202. [Google Scholar] [CrossRef]

 ), 0.05 (
), 0.05 ( ) and 0.06 (
) and 0.06 ( ) with  5.0 (continuous line) and 10.0 (dashed line).
) with  5.0 (continuous line) and 10.0 (dashed line).
   ), 0.05 (
), 0.05 ( ) and 0.06 (
) and 0.06 ( ) with  5.0 (continuous line) and 10.0 (dashed line).
) with  5.0 (continuous line) and 10.0 (dashed line).
 ), 0.05 (
), 0.05 ( ) and 0.06 (
) and 0.06 ( ) with  5.0 (solid line) and 10.0 (dashed line).
) with  5.0 (solid line) and 10.0 (dashed line).
   ), 0.05 (
), 0.05 ( ) and 0.06 (
) and 0.06 ( ) with  5.0 (solid line) and 10.0 (dashed line).
) with  5.0 (solid line) and 10.0 (dashed line).
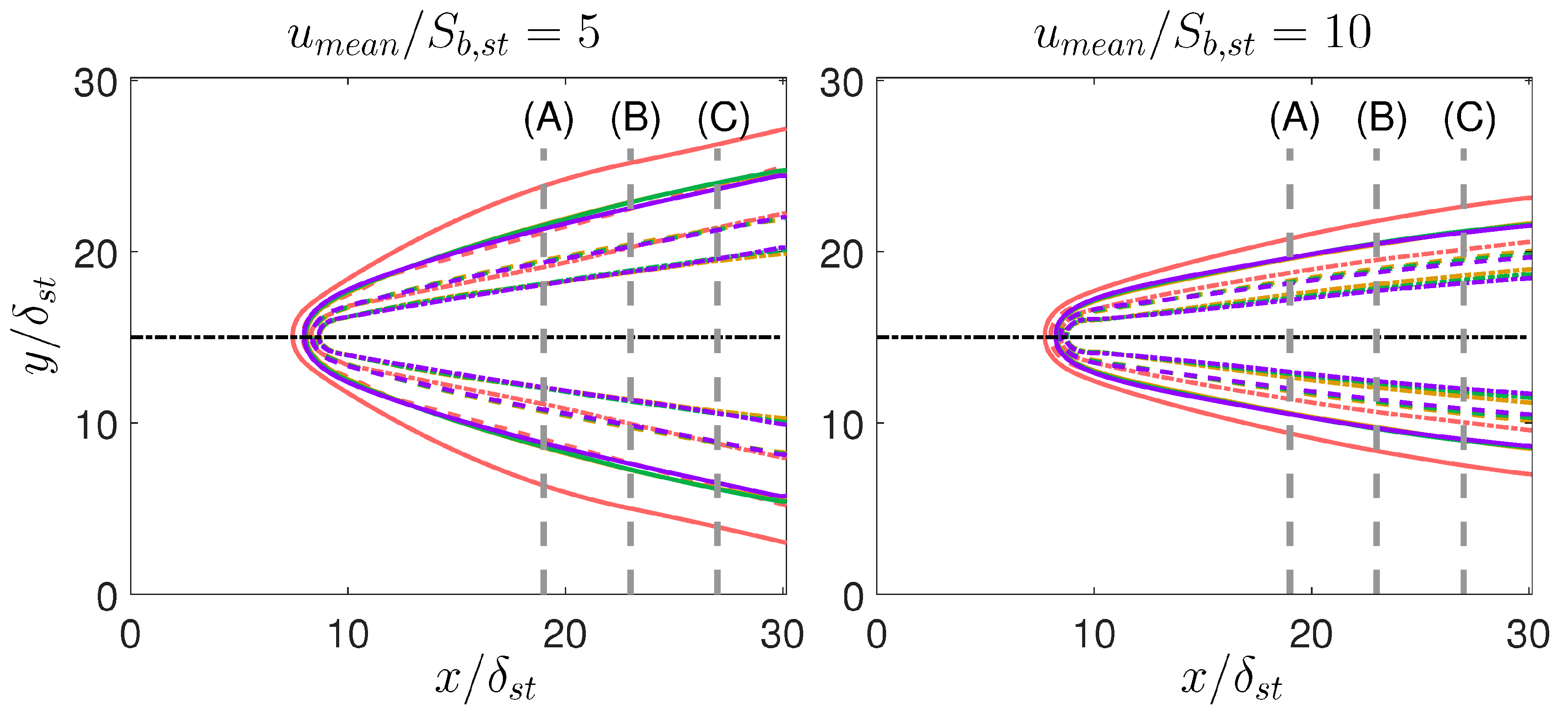
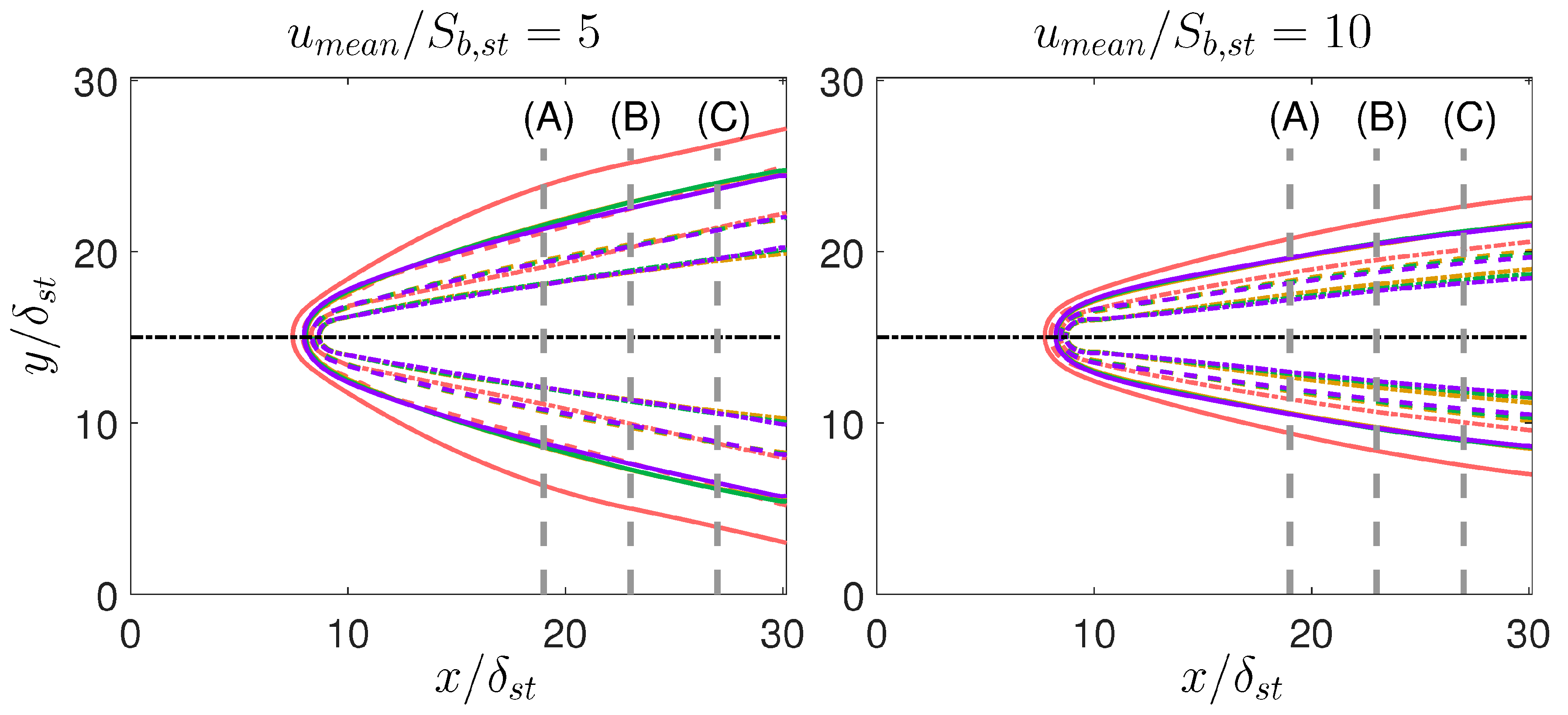
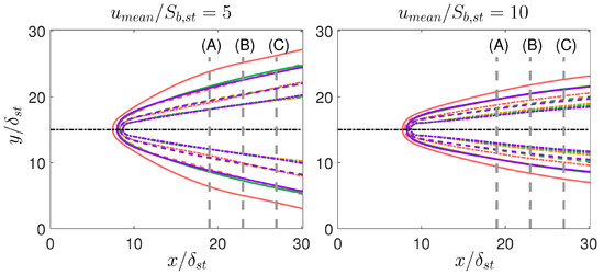
 ) case and droplet cases with initial droplet diameter  (
) case and droplet cases with initial droplet diameter  ( ), 0.05 (
), 0.05 ( ) and 0.06 (
) and 0.06 ( ) with  5.0 (left) and 10.0 (right). The dashed grey lines show the sampling locations (A, B, C from left to right), and the dotted black line shows the flame centre.
) with  5.0 (left) and 10.0 (right). The dashed grey lines show the sampling locations (A, B, C from left to right), and the dotted black line shows the flame centre.
   ) case and droplet cases with initial droplet diameter  (
) case and droplet cases with initial droplet diameter  ( ), 0.05 (
), 0.05 ( ) and 0.06 (
) and 0.06 ( ) with  5.0 (left) and 10.0 (right). The dashed grey lines show the sampling locations (A, B, C from left to right), and the dotted black line shows the flame centre.
) with  5.0 (left) and 10.0 (right). The dashed grey lines show the sampling locations (A, B, C from left to right), and the dotted black line shows the flame centre.
 ), 0.05 (
), 0.05 ( ) and 0.06 (
) and 0.06 ( ) with  5.0 (solid line) and 10.0 (dashed line).
) with  5.0 (solid line) and 10.0 (dashed line).
   ), 0.05 (
), 0.05 ( ) and 0.06 (
) and 0.06 ( ) with  5.0 (solid line) and 10.0 (dashed line).
) with  5.0 (solid line) and 10.0 (dashed line).

 ) and V-shaped spray flames with initial  (
) and V-shaped spray flames with initial  ( ), 0.05 (
), 0.05 ( ) and 0.06 (
) and 0.06 ( ) for  5.0 (continuous line) and 10.0 (dashed line). The y-axis is shown in log-scale.
) for  5.0 (continuous line) and 10.0 (dashed line). The y-axis is shown in log-scale.
   ) and V-shaped spray flames with initial  (
) and V-shaped spray flames with initial  ( ), 0.05 (
), 0.05 ( ) and 0.06 (
) and 0.06 ( ) for  5.0 (continuous line) and 10.0 (dashed line). The y-axis is shown in log-scale.
) for  5.0 (continuous line) and 10.0 (dashed line). The y-axis is shown in log-scale.
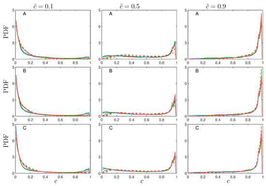
 ), 0.05 (
), 0.05 ( ), 0.06 (
), 0.06 ( )) and non-premixed (for initial  (
)) and non-premixed (for initial  ( ), 0.05 (
), 0.05 ( ), 0.06 (
), 0.06 ( )) modes of combustion for  5.0 (1st row) and 10.0 (2nd row) at locations A, B and C (left to right).
)) modes of combustion for  5.0 (1st row) and 10.0 (2nd row) at locations A, B and C (left to right).
   ), 0.05 (
), 0.05 ( ), 0.06 (
), 0.06 ( )) and non-premixed (for initial  (
)) and non-premixed (for initial  ( ), 0.05 (
), 0.05 ( ), 0.06 (
), 0.06 ( )) modes of combustion for  5.0 (1st row) and 10.0 (2nd row) at locations A, B and C (left to right).
)) modes of combustion for  5.0 (1st row) and 10.0 (2nd row) at locations A, B and C (left to right).
 ) and droplet cases with initial  (
) and droplet cases with initial  ( ), 0.05 (
), 0.05 ( ) and 0.06 (
) and 0.06 ( ) for  5.0 (1st column) and 10.0 (2nd column) at locations A, B, C (top to bottom). All terms are normalised by  .
) for  5.0 (1st column) and 10.0 (2nd column) at locations A, B, C (top to bottom). All terms are normalised by  .
   ) and droplet cases with initial  (
) and droplet cases with initial  ( ), 0.05 (
), 0.05 ( ) and 0.06 (
) and 0.06 ( ) for  5.0 (1st column) and 10.0 (2nd column) at locations A, B, C (top to bottom). All terms are normalised by  .
) for  5.0 (1st column) and 10.0 (2nd column) at locations A, B, C (top to bottom). All terms are normalised by  .

| Case | Gaseous Premixed Flame | ||||
|---|---|---|---|---|---|
| 5.0 | at A | 3.14 | 3.45 | 3.38 | 3.23 | 
| at B | 3.34 | 4.13 | 4.00 | 3.75 | |
| at C | 3.70 | 4.50 | 4.40 | 4.06 | |
| at A | 3.04 | 3.50 | 3.33 | 3.18 | |
| at B | 3.12 | 4.27 | 4.12 | 3.83 | |
| at C | 3.35 | 4.79 | 4.97 | 4.35 | |
| at A | 2.47 | 2.82 | |||
| at B | 2.34 | 3.28 | |||
| at C | 2.37 | 3.84 | |||
| 10.0 | at A | 2.01 | 2.08 | 2.35 | 2.45 | 
| at B | 2.27 | 2.31 | 2.66 | 2.77 | |
| at C | 2.51 | 2.56 | 2.84 | 2.93 | |
| at A | 1.90 | 1.96 | 2.19 | 2.29 | |
| at B | 2.28 | 2.21 | 2.62 | 2.63 | |
| at C | 2.63 | 2.46 | 2.85 | 2.84 | |
| at A | 1.62 | 1.72 | |||
| at B | 1.87 | 1.90 | |||
| at C | 2.13 | 2.09 | 
| Case | Gaseous Premixed Flame | ||||
|---|---|---|---|---|---|
| 5.0 | Flame angle for at A | 16.1° | 20.5° | 20.4° | 18.9° | 
| Flame angle for at B | 13.6° | 15.8° | 16.1° | 14.8° | |
| Flame angle for at C | 17.1° | 15.5° | 16.6° | 17.0° | |
| Flame angle for at A | 14.7° | 14.7° | 14.4° | 11.7° | |
| Flame angle for at B | 7.2° | 12.1° | 12.1° | 15.4° | |
| Flame angle for at C | 11.0° | 13.0° | 14.4° | 15.0° | |
| Flame angle for at A | 13.5° | 9.8° | 11.2° | 11.6° | |
| Flame angle for at B | 10.6° | 9.3° | 10.0° | 9.5° | |
| Flame angle for at C | 10.5° | 9.6° | 10.2° | 12.2° | |
| 10.0 | Flame angle for at A | 16.7° | 13.8° | 14.1° | 13.4° | 
| Flame angle for at B | 12.0° | 9.9° | 10.1° | 9.5° | |
| Flame angle for at C | 12.7° | 11.9° | 10.1° | 9.7° | |
| Flame angle for at A | 14.0° | 11.5° | 11.0° | 10.7° | |
| Flame angle for at B | 9.7° | 8.2° | 8.1° | 7.3° | |
| Flame angle for at C | 11.0° | 9.7° | 9.4° | 8.6° | |
| Flame angle for at A | 12.4° | 9.8° | 8.8° | 8.8° | |
| Flame angle for at B | 8.7° | 7.2° | 6.8° | 6.3° | |
| Flame angle for at A | 9.4° | 7.7° | 7.9° | 6.8° | 
| Gaseous Premixed Flame | 0.04 | 0.05 | 0.06 | ||
|---|---|---|---|---|---|
| 5.0 | / | 1797 | 1722 | 1684 | 1708 | 
| / | 1600 | 1494 | 1499 | 1498 | |
| / | 1495 | 1404 | 1408 | 1413 | |
| / | 1432 | 1350 | 1354 | 1358 | |
| 118 | 75 | 68 | 58 | ||
| 1.06 | 0.77 | 0.71 | 0.60 | ||
| 1.19 | 0.88 | 0.80 | 0.69 | ||
| 1.27 | 0.94 | 0.85 | 0.73 | ||
| 10.0 | / | 1554 | 1490 | 1526 | 1665 | 
| / | 1487 | 1419 | 1422 | 1425 | |
| / | 1436 | 1370 | 1372 | 1374 | |
| / | 1385 | 1336 | 1336 | 1337 | |
| 102 | 64 | 59 | 53 | ||
| 1.05 | 0.74 | 0.68 | 0.56 | ||
| 1.10 | 0.78 | 0.73 | 0.65 | ||
| 1.14 | 0.80 | 0.76 | 0.68 | 
| Publisher’s Note: MDPI stays neutral with regard to jurisdictional claims in published maps and institutional affiliations. | 
© 2020 by the authors. Licensee MDPI, Basel, Switzerland. This article is an open access article distributed under the terms and conditions of the Creative Commons Attribution (CC BY) license (http://creativecommons.org/licenses/by/4.0/).
Share and Cite
Ozel Erol, G.; Chakraborty, N. Effects of Mean Inflow Velocity and Droplet Diameter on the Propagation of Turbulent V-Shaped Flames in Droplet-Laden Mixtures. Fluids 2021, 6, 1. https://doi.org/10.3390/fluids6010001
Ozel Erol G, Chakraborty N. Effects of Mean Inflow Velocity and Droplet Diameter on the Propagation of Turbulent V-Shaped Flames in Droplet-Laden Mixtures. Fluids. 2021; 6(1):1. https://doi.org/10.3390/fluids6010001
Chicago/Turabian StyleOzel Erol, Gulcan, and Nilanjan Chakraborty. 2021. "Effects of Mean Inflow Velocity and Droplet Diameter on the Propagation of Turbulent V-Shaped Flames in Droplet-Laden Mixtures" Fluids 6, no. 1: 1. https://doi.org/10.3390/fluids6010001
APA StyleOzel Erol, G., & Chakraborty, N. (2021). Effects of Mean Inflow Velocity and Droplet Diameter on the Propagation of Turbulent V-Shaped Flames in Droplet-Laden Mixtures. Fluids, 6(1), 1. https://doi.org/10.3390/fluids6010001
 
        


 
       