Numerical Study on Wall-Thickness Deformation of Flexible Risers Under Combined Internal–External Flows
Abstract
1. Introduction
1.1. Research Background and Engineering Significance
1.2. Progress of VIV Research on Flexible Risers
1.3. Objectives and Novelty of This Study
2. Numerical Methods
2.1. Fluid Governing Equations
2.2. The Governing Equations of Solid Mechanics
2.3. Flow–Structure Interaction Method
2.4. Dynamic Mesh Morphing Based on RBF Interpolation
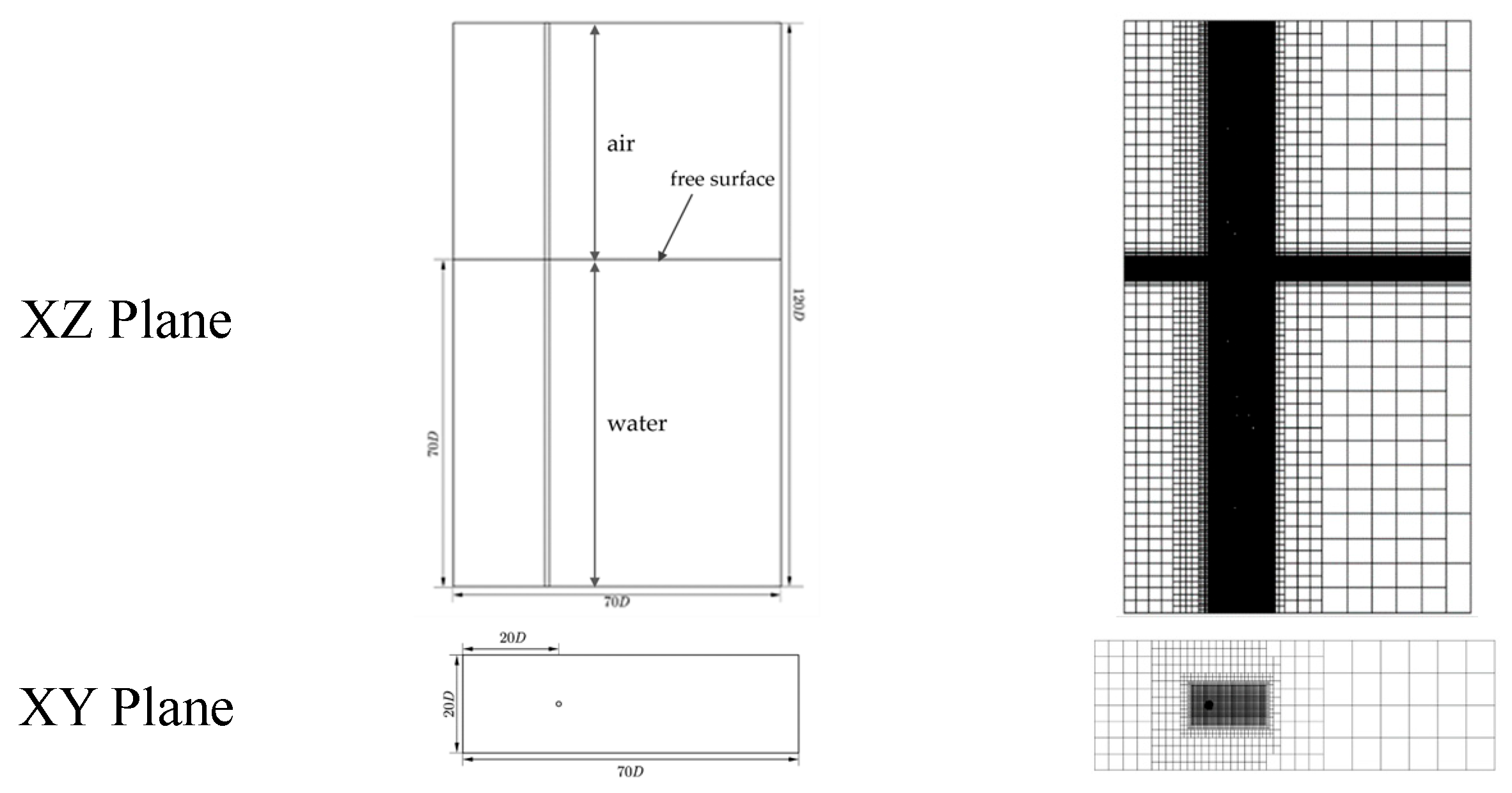
2.5. Grid Configuration and Simulation Domain Definition
3. Model Validation
4. Results and Discussion
4.1. Modal Analysis and Motion Trajectory
4.2. Flow Field and Spectral Analysis
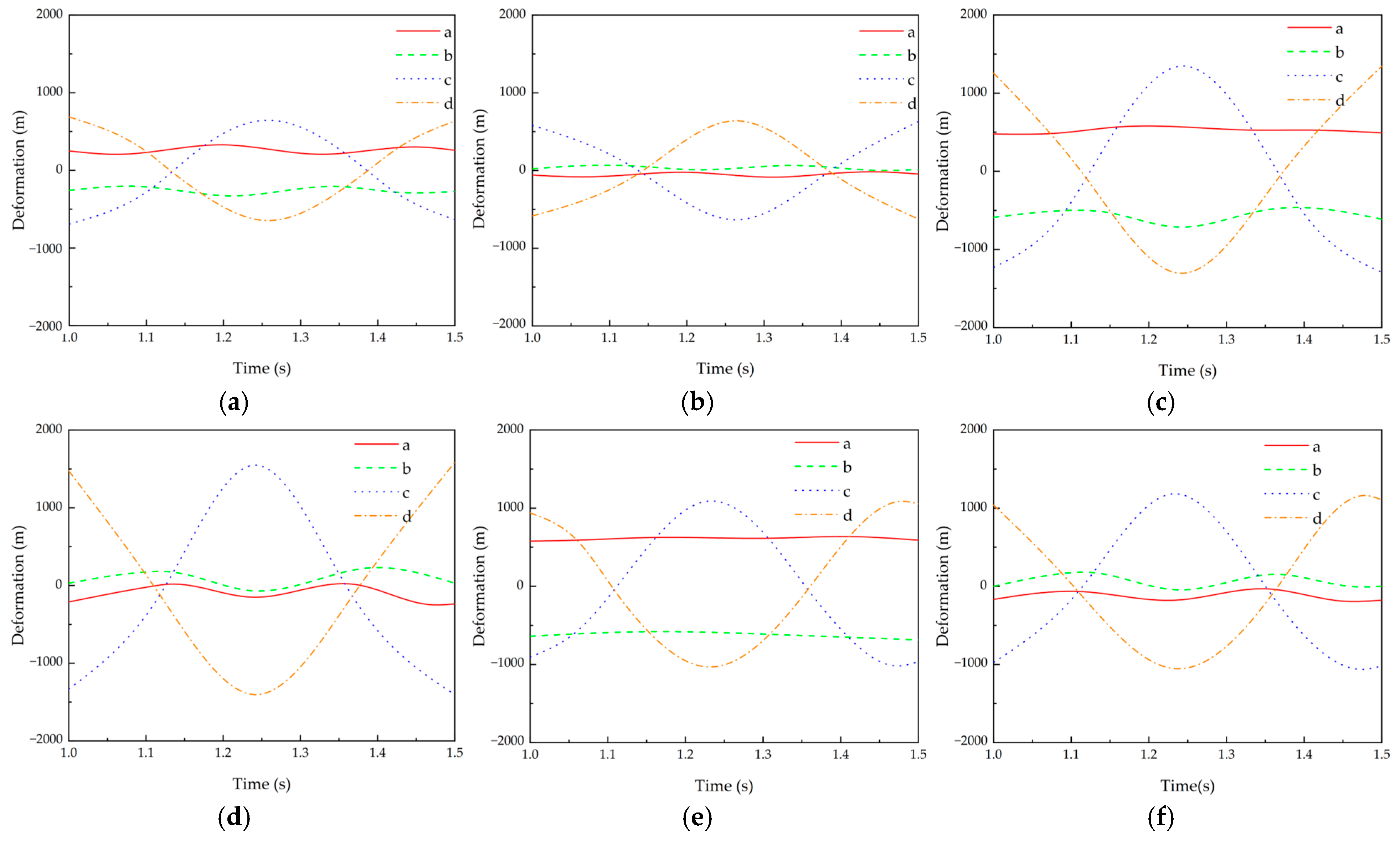
4.3. Analysis of Pipe Wall Deformation
5. Conclusions
Author Contributions
Funding
Institutional Review Board Statement
Informed Consent Statement
Data Availability Statement
Conflicts of Interest
Abbreviations
| CFD | Computational Fluid Dynamics |
| CF | Cross-Flow |
| IL | In-Line |
| COE | China Ocean Engineering Laboratory |
| FBG | Fiber Bragg Grating |
| FSI | Fluid–Structure Interaction |
| PMMA | Poly-Methyl Methacrylate |
| RBF | Radial Basis Function |
| VIV | Vortex-Induced Vibration |
| VOF | Volume of Fluid (VOF) method |
| RANS | Reynolds-Averaged Navier–Stokes |
References
- Chaplin, J.R.; King, R. Laboratory measurements of the vortex-induced vibrations of an untensioned catenary riser with high curvature. J. Fluids Struct. 2018, 79, 26–38. [Google Scholar] [CrossRef]
- Zheng, R.; Wang, C.; He, W.; Zhang, Z.; Ma, K.; Ren, M. The experimental study of dynamic response of marine riser under coupling effect of multiparameter. J. Mar. Sci. Eng. 2023, 11, 1787. [Google Scholar] [CrossRef]
- Zheng, R.; Wang, C.; He, W. Experimental study on dynamic response of marine riser under multi-parameter coupling action. Sci. Technol. Eng. 2023, 23, 9413–9422. (In Chinese) [Google Scholar]
- Franzini, G.R.; Pesce, C.P.; Goncalves, R.T.; Fujarra, A.L.C.; Mendes, P. An experimental investigation on concomitant vortex-induced vibration and axial top-motion excitation with a long flexible cylinder in vertical configuration. Ocean Eng. 2018, 156, 596–612. [Google Scholar] [CrossRef]
- Li, P.; Dong, Z.K.; Liu, Y.; Wang, Y.; Cong, A.J.; Guo, H.; Fu, Q. Experimental investigation on vortex-induced vibration of deep-sea risers at different excitation water depths. China Ocean Eng. 2021, 35, 215–227. [Google Scholar] [CrossRef]
- Zhou, W.W.; Duan, M.L.; Chen, R.Q.; Wang, S.; Li, H. Test study on vortex-induced vibration of deep-sea riser under bidirectional shear flow. J. Mar. Sci. Eng. 2022, 10, 1689. [Google Scholar] [CrossRef]
- Chen, Z.S.; Rhee, S.H. Effect of traveling wave on the vortex-induced vibration of a long flexible pipe. Appl. Ocean Res. 2019, 84, 122–132. [Google Scholar] [CrossRef]
- Chen, Z.S.; Liu, F.S.; Wang, L.P.; Liu, G.L. Empirical modeless decomposition and modal identification method for non-stationary vibration processes. Ocean Eng. 2016, 123, 291–302. [Google Scholar] [CrossRef]
- Chen, Z.S.; Kimm, W.J.; Xiong, C.B. Effect of upward internal flow on dynamics of riser model subject to shear current. China Ocean Eng. 2012, 26, 95–108. [Google Scholar] [CrossRef]
- Duan, J.; Zhou, J.; You, Y.; Wang, X. Effect of internal flow on vortex-induced vibration dynamics of a flexible mining riser in external shear current. Mar. Struct. 2021, 80, 103094. [Google Scholar] [CrossRef]
- Xie, W.; Xin, W.; Zhang, H. Influence of internal varying-density flow on the vibrations and fatigue damage of a top-tensioned riser undergoing vortex-induced vibrations. Appl. Ocean Res. 2021, 117, 102955. [Google Scholar] [CrossRef]
- Martins, F.A.C.; Avila, J.P.J. Three-dimensional CFD analysis of damping effects on vortex-induced vibrations of 2-DOF elastically-mounted circular cylinders. Mar. Struct. 2019, 65, 12–31. [Google Scholar] [CrossRef]
- Meng, S.; Song, S.; Che, C.; Zhang, W. Internal flow effect on the parametric instability of deep-water drilling risers. Ocean Eng. 2018, 149, 305–312. [Google Scholar] [CrossRef]
- Zhu, H.; Gao, Y.; Zhao, H. Coupling vibration response of a curved flexible riser under the combination of internal slug flow and external shear current. J. Fluids Struct. 2019, 91, 102724. [Google Scholar] [CrossRef]
- Thorsen, M.J.; Challabotla, N.R.; Sævik, S.; Nydal, O.J. A numerical study on vortex-induced vibrations and the effect of slurry density variations on fatigue of ocean mining risers. Ocean Eng. 2019, 174, 1–13. [Google Scholar] [CrossRef]
- Ishii, M.; Hibiki, T. Thermo-Fluid Dynamics of Two-Phase Flow, 2nd ed.; Springer: New York, NY, USA, 2011; pp. 43–52. [Google Scholar]
- Batchelor, G.K. An Introduction to Fluid Dynamics; Cambridge University Press: Cambridge, UK, 1967; pp. 2–28. [Google Scholar]
- Hirt, C.W.; Nichols, B.D. Volume of Fluid (VOF) Method for the Dynamics of Free Boundaries. J. Comput. Phys. 1981, 39, 201–225. [Google Scholar] [CrossRef]
- Launder, B.E.; Spalding, D.B. The Numerical Computation of Turbulent Flows. Comput. Methods Appl. Mech. Eng. 1974, 3, 269–289. [Google Scholar] [CrossRef]
- Pope, S.B. Turbulent Flows; Cambridge University Press: Cambridge, UK, 2000; pp. 72–75. [Google Scholar]
- Labropoulou, D.; Vafeas, P.; Dassios, G. Direct connection between Navier and spherical-harmonic kernels in elasticity. AIMS Math. 2023, 8, 3064–3082. [Google Scholar] [CrossRef]
- Schadt, F. Differential geometric formulation of the Cauchy–Navier equations. J. Elast. 2011, 104, 73–88. [Google Scholar]
- De Tommasi, D.; Marzano, S. Small strain and moderate rotation. J. Elast. 1993, 32, 37–50. [Google Scholar] [CrossRef]
- Soldatos, K.P. Small strain growth and the human nail. J. Elast. 2016, 124, 57–80. [Google Scholar] [CrossRef]
- Xiao, H. On isotropic invariants of the elasticity tensor. J. Elast. 1997, 46, 115–149. [Google Scholar] [CrossRef]
- Adamov, A.A. Comparative analysis of the two-constant generalizations of Hooke’s law. J. Appl. Mech. Tech. Phys. 2001, 42, 890–897. [Google Scholar] [CrossRef]
- González, J.A.; Park, K.C. Three-field partitioned analysis of fluid–structure interaction problems with a consistent interface model. Comput. Methods Appl. Mech. Eng. 2023, 414, 116134. [Google Scholar] [CrossRef]
- Lorentzon, J.; Revstedt, J. On stability and relaxation techniques for partitioned fluid-structure interaction simulations. Eng. Rep. 2022, 4, e12514. [Google Scholar] [CrossRef]
- Li, Y.; Zhao, X.; Liu, Z.; Zhu, J. An efficient parallel mesh deformation technique based on spatially nested radial basis functions. Chin. J. Aeronaut. 2023, 36, 103–116. [Google Scholar]
- Guo, H.Y.; Lou, M. Effect of internal flow on vortex-induced vibration of risers. J. Fluids Struct. 2008, 24, 496–504. [Google Scholar] [CrossRef]
- Zou, L.; Huang, S.; Huera-Huarte, F. Separation of bending and axial strains in flexible risers subjected to vortex-induced vibrations. J. Fluids Struct. 2023, 117, 103565. [Google Scholar]











| Parameter | Symbol | Value |
|---|---|---|
| Outer Diameter (m) | D | 0.01 |
| Inner Diameter (m) | d | 0.006 |
| Total Length (m) | L | 1.2 |
| Submerged Length (m) | L1 | 0.7 |
| Exposed Length (m) | L2 | 0.5 |
| Internal Flow Velocity (m/s) | Ui | 0.25 |
| External Flow Velocity (m/s) | Uo | 0.38 |
| Riser Material | - | Polymethyl Methacrylate (PMMA) |
| Case | External Flow Velocity Uo (m/s) | Internal Flow Velocity Ui (m/s) | Internal Flow Density Ρ (kg/m3) |
|---|---|---|---|
| A1 | 0.38 | 0.25 | 998 |
| A2 | 0.91 | 0.25 | 998 |
| A3 | 1.32 | 0.25 | 998 |
| A4 | 1.63 | 0.25 | 998 |
| B1 | 0.38 | 0 | 998 |
| B2 | 0.38 | 0.5 | 998 |
| B3 | 0.38 | 1 | 998 |
| B4 | 0.38 | 2 | 998 |
| C1 | 0.38 | 0.25 | 0.675 |
| C2 | 0.38 | 0.25 | 2000 |
| Case | Frequency f (Hz) | Strouhal Number St |
|---|---|---|
| A1 | 8.0 | 0.210 |
| A2 | 34.5 | 0.380 |
| A3 | 36.0 | 0.273 |
| A4 | 35.5 | 0.218 |
| B1 | 7.8 | 0.210 |
| B2 | 7.9 | 0.211 |
| B3 | 8.1 | 0.215 |
| B4 | 8.2 | 0.220 |
| C1 | 8.5 | 0.223 |
| C2 | 6.5 | 0.171 |
Disclaimer/Publisher’s Note: The statements, opinions and data contained in all publications are solely those of the individual author(s) and contributor(s) and not of MDPI and/or the editor(s). MDPI and/or the editor(s) disclaim responsibility for any injury to people or property resulting from any ideas, methods, instructions or products referred to in the content. |
© 2025 by the authors. Licensee MDPI, Basel, Switzerland. This article is an open access article distributed under the terms and conditions of the Creative Commons Attribution (CC BY) license (https://creativecommons.org/licenses/by/4.0/).
Share and Cite
Sun, Z.; Lin, J.; Wang, D.; Hao, Y. Numerical Study on Wall-Thickness Deformation of Flexible Risers Under Combined Internal–External Flows. Fluids 2025, 10, 290. https://doi.org/10.3390/fluids10110290
Sun Z, Lin J, Wang D, Hao Y. Numerical Study on Wall-Thickness Deformation of Flexible Risers Under Combined Internal–External Flows. Fluids. 2025; 10(11):290. https://doi.org/10.3390/fluids10110290
Chicago/Turabian StyleSun, Zihan, Jianguo Lin, Dong Wang, and Yanni Hao. 2025. "Numerical Study on Wall-Thickness Deformation of Flexible Risers Under Combined Internal–External Flows" Fluids 10, no. 11: 290. https://doi.org/10.3390/fluids10110290
APA StyleSun, Z., Lin, J., Wang, D., & Hao, Y. (2025). Numerical Study on Wall-Thickness Deformation of Flexible Risers Under Combined Internal–External Flows. Fluids, 10(11), 290. https://doi.org/10.3390/fluids10110290
