On the Modelling of Thermal Buoyancy Flows Involving Laminar–Turbulent Transition
Abstract
1. Introduction
2. The Transition Turbulence Models
2.1. The Local-Correlation-Based Models
- The algebraic γ-equation
- The γ transport equation
- The γ-Reθ model
2.2. The Phenomenological kt-kl-ω Model
2.3. Wilcox’s Low-Reynolds Number Modification
3. Numerical Procedures
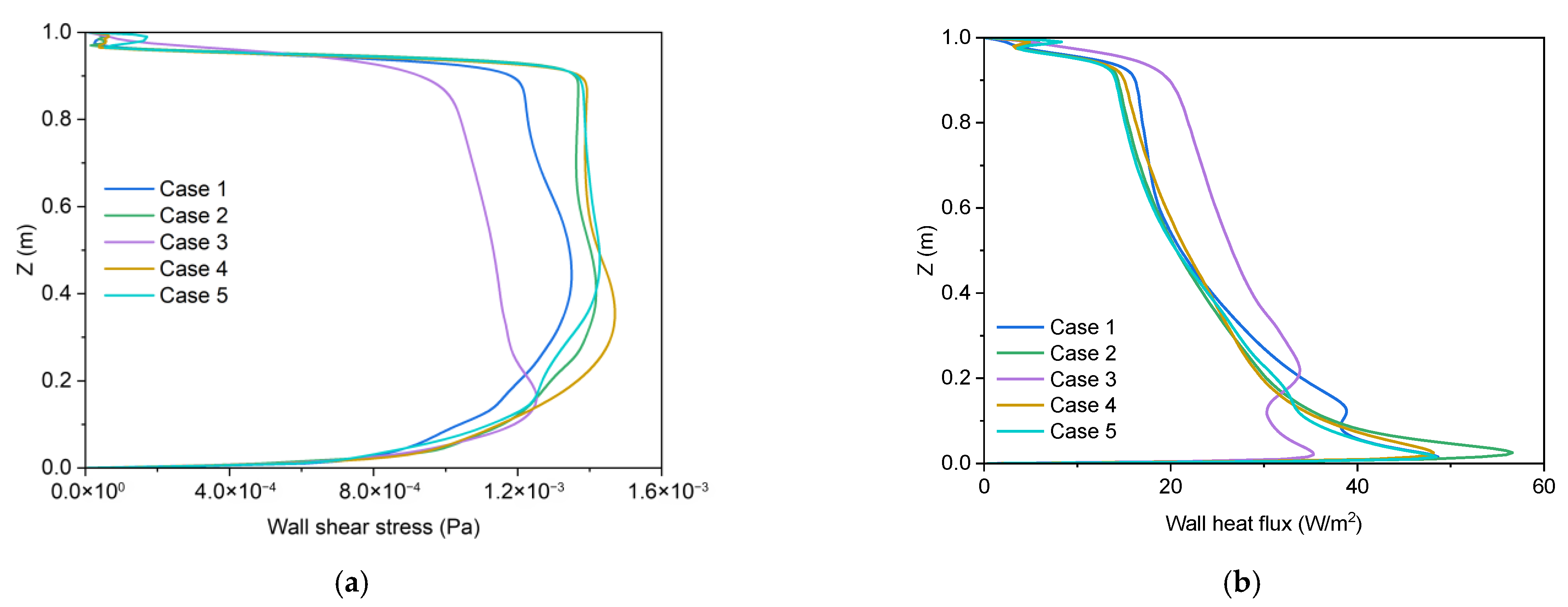
4. Results and Discussion
4.1. Air Velocity and Temperature Fields
4.2. Effects of Turbulence Modelling on Flow and Heat Transfer Simulations
5. Conclusions
Author Contributions
Funding
Institutional Review Board Statement
Informed Consent Statement
Data Availability Statement
Conflicts of Interest
References
- Morkovin, M.V. Transition in open flow systems-a reassessment. Bull. Am. Phys. Soc. 1994, 39, 1882. [Google Scholar]
- Jagadeesh, C.S.; Balthazar, M.; Gross, A.; Fasel, H.F. Experimental Investigation of the Structure and Dynamics of Laminar Separation Bubbles at the onset of Bursting. In Proceedings of the 31st AIAA Applied Aerodynamics Conference, San Diego, CA, USA, 24–27 June 2013. [Google Scholar]
- Lemanov, V.V.; Lukashov, V.V.; Sharov, K.A.; Kh Abdrakhmanov, R. Laminar-turbulent transition in the near field of the jet at the instability regime of the jet source. J. Phys. Conf. Ser. 2018, 1105, 012015. [Google Scholar] [CrossRef]
- Pope, S.B. Turbulent Flows; Cambridge University Press: Cambridge, UK, 2000. [Google Scholar]
- Zakharov, V.E.; L’vov, V.S.; Falkovich, G. Kolmogorov Spectra of Turbulence I: Wave Turbulence; Springer: Berlin/Heidelberg, Germany, 2012. [Google Scholar]
- Corrsin, S. Investigation of Flow in an Axially Symmetric Heated Jet in Air; California Institute of Technology: Pasadena, CA, USA, 1943. [Google Scholar]
- Wilcox, D.C. Simulation of Transition with a Two-Equation Turbulence Model. AIAA J. 1994, 32, 247–255. [Google Scholar] [CrossRef]
- Juntasaro, E.; Ngiamsoongnirn, K.; Thawornsathit, P.; Durbin, P. Development of an intermittency transport equation for modeling bypass, natural and separation-induced transition. J. Turbul. 2021, 22, 562–595. [Google Scholar] [CrossRef]
- Mayle, R.E.; Schulz, A. The Path to Predicting Bypass Transition; American Society of Mechanical Engineers: New York, NY, USA, 1996. [Google Scholar]
- Walters, D.; Cokljat, D. A Three-Equation Eddy-Viscosity Model for Reynolds-Averaged Navier–Stokes Simulations of Transitional Flow. J. Fluids Eng.-Trans. Asme 2008, 130, 121401. [Google Scholar] [CrossRef]
- Shahbazi, A.A.; Esfahanian, V. Improving turbulence modeling for gas turbine blades: A novel approach to address flow transition and stagnation point anomalies. J. Comput. Phys. 2025, 520, 113499. [Google Scholar] [CrossRef]
- Xu, J.; Jiang, X.; Wang, Y.; Dong, N.; Qiao, L.; Bai, J. Progress in local-variable-based transition-turbulence models for subsonic and transonic boundary layers. Chin. J. Aeronaut. 2025, 103688. [Google Scholar] [CrossRef]
- Zore, K.; Matyushenko, A.; Shah, S.; Aliaga, C.; Stokes, J.; Menter, F. Laminar-Turbulent Transition Prediction on Industrial CFD Applications. In Proceedings of the AIAA SCITECH 2022 Forum, San Diego, CA, USA, 3–7 January 2022. [Google Scholar]
- Wu, L.; Xiao, Z. An improved four-equation transition-turbulence model for high-speed flows: Transition prediction and physical insight. Int. J. Heat Mass Transf. 2026, 255, 127798. [Google Scholar] [CrossRef]
- Menter, F.R. Two-equation eddy-viscosity turbulence models for engineering applications. AIAA J. 1994, 32, 1598–1605. [Google Scholar] [CrossRef]
- Ansys Inc. Ansys Fluent Theory Guide; Ansys Inc.: Canonsburg, PA, USA, 2023. [Google Scholar]
- Menter, F.; Langtry, R.B.; Likki, S.; Suzen, Y.; Völker, S. A Correlation-Based Transition Model Using Local Variables—Part I: Model Formulation. ASME J. Turbomach 2006, 128, 413–422. [Google Scholar] [CrossRef]
- Wilcox, D.C. Turbulence Modeling for CFD; DCW Industries: La Cañada, CA, USA, 2006. [Google Scholar]
- Savill, A.M. Further progress in the turbulence modelling of by-pass transition. In Engineering Turbulence Modelling and Experiments; Rodi, W., Martelli, F., Eds.; Elsevier: Oxford, UK, 1993; pp. 583–592. [Google Scholar]
- Rumsey, C.L. Apparent transition behavior of widely-used turbulence models. Int. J. Heat Fluid Flow 2007, 28, 1460–1471. [Google Scholar] [CrossRef]
- Salat, J.; Xin, S.; Joubert, P.; Sergent, A.; Penot, F.; Le Quéré, P. Experimental and numerical investigation of turbulent natural convection in a large air-filled cavity. Int. J. Heat Fluid Flow 2004, 25, 824–832. [Google Scholar] [CrossRef]
- Kitamura, K.; Mitsuishi, A.; Suzuki, T.; Misumi, T. Fluid flow and heat transfer of high-Rayleigh-number natural convection around heated spheres. Int. J. Heat Mass Transf. 2015, 86, 149–157. [Google Scholar] [CrossRef]
- Celik, I.B.; Ghia, U.; Roache, P.J.; Freitas, C.J.; Coleman, H.; Raad, P.E. Procedure for Estimation and Reporting of Uncertainty Due to Discretization in CFD Applications. J. Fluids Eng. 2008, 130, 078001. [Google Scholar] [CrossRef]










| Case No. | Turbulence Model |
|---|---|
| 1 | SST k-ω model with algebraic γ-equation |
| 2 | SST k-ω model with transport γ-equation |
| 3 | SST k-ω model with γ-Reθ model |
| 4 | kt-kl-ω model |
| 5 | SST k-ω model with Wilcox’s low-Reynolds number modification |
Disclaimer/Publisher’s Note: The statements, opinions and data contained in all publications are solely those of the individual author(s) and contributor(s) and not of MDPI and/or the editor(s). MDPI and/or the editor(s) disclaim responsibility for any injury to people or property resulting from any ideas, methods, instructions or products referred to in the content. |
© 2025 by the authors. Licensee MDPI, Basel, Switzerland. This article is an open access article distributed under the terms and conditions of the Creative Commons Attribution (CC BY) license (https://creativecommons.org/licenses/by/4.0/).
Share and Cite
Liu, J.; Li, X. On the Modelling of Thermal Buoyancy Flows Involving Laminar–Turbulent Transition. Fluids 2025, 10, 289. https://doi.org/10.3390/fluids10110289
Liu J, Li X. On the Modelling of Thermal Buoyancy Flows Involving Laminar–Turbulent Transition. Fluids. 2025; 10(11):289. https://doi.org/10.3390/fluids10110289
Chicago/Turabian StyleLiu, Jingcheng, and Xiangdong Li. 2025. "On the Modelling of Thermal Buoyancy Flows Involving Laminar–Turbulent Transition" Fluids 10, no. 11: 289. https://doi.org/10.3390/fluids10110289
APA StyleLiu, J., & Li, X. (2025). On the Modelling of Thermal Buoyancy Flows Involving Laminar–Turbulent Transition. Fluids, 10(11), 289. https://doi.org/10.3390/fluids10110289
