Hyaluronic Acid Functionalization with Jeffamine® M2005: A Comparison of the Thermo-Responsiveness Properties of the Hydrogel Obtained through Two Different Synthesis Routes
Abstract
:1. Introduction
2. Results and Discussion
2.1. Synthesis of HA-g(EDC)-M2005 in Water
2.2. Synthesis of HA-g(T3P)-M2005 in Polar Aprotic Solvent
2.3. Physicochemical Properties of HA-g-M2005
2.3.1. Conformational Properties Extracted from SEC/MALS
Reaction with EDC/NHS in Water
Reaction with T3P® in DMF
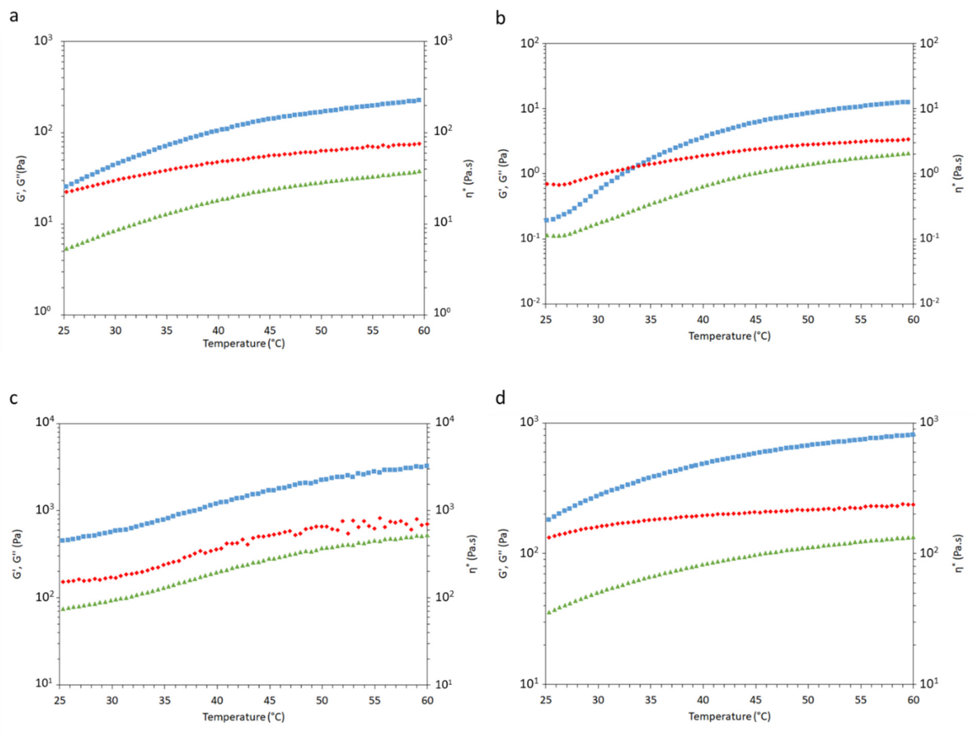
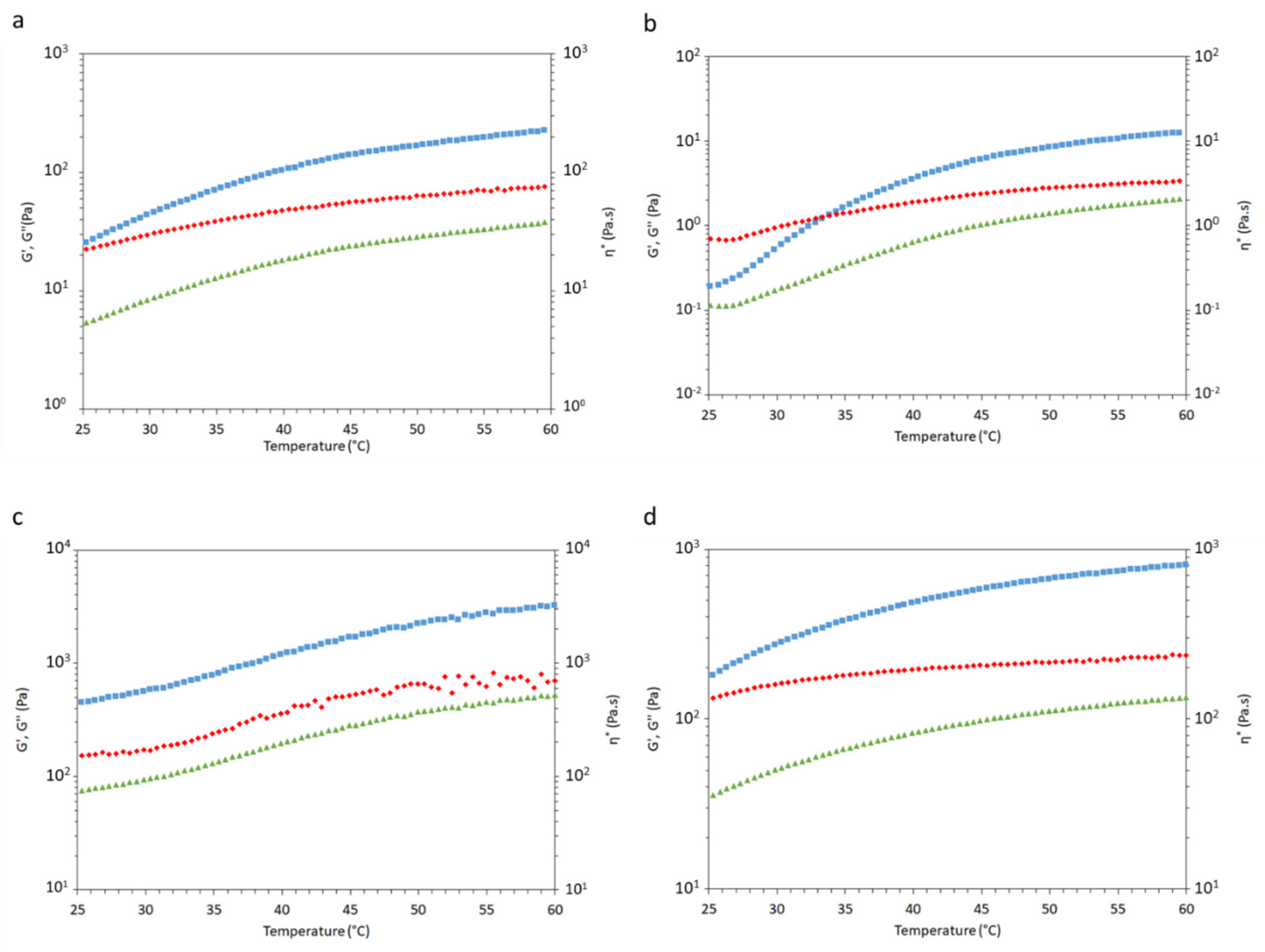
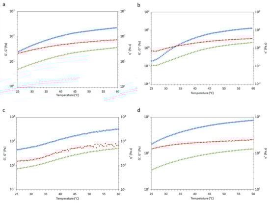
Rheological Properties and Temperature Induced Hydrogel Formation
Rheological Properties of HA-g(EDC)-M2005
Rheological Properties of HA-g(T3P)-M2005
3. Conclusions
4. Materials and Methods
4.1. Materials
4.2. Synthesis of HA-g-M2005
4.2.1. Synthesis in Water with EDC/NHS
4.2.2. Synthesis of HA-g-M2005 in Organic Solvent
- Conversion of sodium hyaluronate to tetrabutylammonium hyaluronate: 5 g of HA were dissolved overnight in 830 mL at room temperature. Then the cation exchange resin (H+) (45 g) was introduced in the solution, which was left to stir overnight. The resin was subsequently filtered off the solution through a sintered glass filter, whose porosity was adjusted depending on the viscosity of the HA solution. The obtained filtered hyaluronic acid solution was then neutralized with TBAOH for getting tetrabutylammonium hyaluronate TBA-HA as follows: Tetrabutylammonium hydroxide (TBAOH) 54–56 wt% in water was diluted fivefold with water prior to the reaction. It was subsequently added drop-wise to the previously prepared hyaluronic acid solution until the pH reached 8. The solution was then freeze-dried and the resulting solid kept in a freezer until further use.
- M2005 grafting on TBA-HA in DMF with T3P®: The grafting on reaction was adapted from Schleeh et al. [25], with an example given as follows: 2.5 g TBA-HA (4.03 mmol, from batch HA38) were dissolved in 30 mL anhydrous DMF at room temperature in a three-neck flask which was thereafter put under nitrogen. Then, 4.7 mL of T3P® (50 wt% in DMF) were added to the mixture, which was left to stir for one hour at room temperature. Meanwhile, 15.96 g M2005 were dissolved in 15 mL anhydrous DMF. After TBA-HA was activated by T3P® for one hour, 568 µL of TEA were added to the solution, immediately followed with the M2005 solution (the flask was rinsed with 2.5 mL DMF). The final TBA-HA concentration was 50 g.L−1, which was respectively adjusted to 10 g.L−1 for HA140 and to 6 g.L−1 for HA1200 by increasing the amount of DMF used to dissolve TBA-HA. The reaction was left overnight at room temperature. The day after, 25 mL of a 2.5 M solution of NaCl were added drop-wise to the reaction vessel, which was subsequently left to stir for 30min before being poured in 250 mL acetone to precipitate the modified hyaluronic acid. The material was then recovered through filtration, dissolved in 350 mL 0.1 M phosphate buffer (pH: 7.5) and then dialyzed against water until the resulting conductivity of water was found to be as close as Milli-Q as possible, indicating removal of the impurities; this was followed eventually by freeze-drying of the material. In order to completely remove the unreacted M2005, the material was washed several times in acetone until no more variation of the 1H NMR peaks corresponding to M2005 was observed.
4.3. Characterisation Methods
4.3.1. Infrared Spectroscopy
4.3.2. 1NMR Spectroscopy
4.3.3. SEC/MALS/DRI/Viscometer
4.3.4. Rheology
Supplementary Materials
Author Contributions
Funding
Acknowledgments
Conflicts of Interest
References
- Lack, S.; Dulong, V.; Le Cerf, D.; Picton, L.; Argillier, J.F.; Muller, G. Hydrogels Based on Pullulan Crosslinked with sodium trimetaphosphate (STMP): Rheological study. Polym. Bull. 2004, 52, 429–436. [Google Scholar] [CrossRef]
- Matsumoto, K.; Sakikawa, N.; Miyata, T. Thermo-responsive gels that absorb moisture and ooze water. Nat. Commun. 2018, 9, 2315–2321. [Google Scholar] [CrossRef] [Green Version]
- Hennink, W.E.; Van Nostrum, C.F. Novel crosslinking methods to design hydrogels. Adv. Drug Delivery Rev. 2012, 64, 223–236. [Google Scholar] [CrossRef]
- Peppas, N.A.; Bures, P.; Leobandung, W.; Ichikawa, H. Hydrogels in pharmaceutical formulations. Eur. J. Pharm. Biopharm. 2000, 50, 27–46. [Google Scholar] [CrossRef]
- Li, Y.; Huang, G.; Zhang, X.; Li, B.; Chen, Y.; Lu, T.; Lu, T.J.; Xu, F. Magnetic Hydrogels and Their Potential Biomedical Applications. Adv. Funct. Mater. 2013, 23, 660–672. [Google Scholar] [CrossRef]
- Kierstan, M.; Bucke, C. The Immobilization of Microbial Cells, Subcellular Organelles, and Enzyme in Calcium Alginate Gels. Biotechnol. Bioeng. 1997, 19, 387–397. [Google Scholar] [CrossRef]
- Rosenblatt, J.; Devereux, B.; Wallace, D.G. Injectable collagen as a pH-sensitive hydrogel. Biomaterials 1994, 15, 985–995. [Google Scholar] [CrossRef]
- Dulong, V.; Mocanu, G.; Picton, L.; Le Cerf, D. Amphiphilic and thermosensitive copolymers based on pullulan and Jeffamine®: Synthesis, characterization and physicochemical properties. Carbohydr. Polym. 2012, 87, 1522–1531. [Google Scholar] [CrossRef]
- Graham, S.; Marina, P.F.; Blencowe, A. Thermoresponsive polysaccharides and their thermoreversible physical hydrogel networks. Carbohydr. Polym. 2019, 207, 143–159. [Google Scholar] [CrossRef]
- Fraser, J.R.E.; Laurent, T.C.; Laurent, U.G.B. Hyaluronan: Its nature, distribution, functions and turnover. J. Intern. Med. 1997, 242, 27–33. [Google Scholar] [CrossRef] [PubMed]
- Ret, D.; Steiner, G.; Gentilini, S.; Knaus, S. Exact determination of the degree of substitution of high molar mass hyaluronan by controlling the conformation in solution. Carbohydr. Polym. 2019, 204, 124–130. [Google Scholar] [CrossRef] [PubMed]
- Charlot, A.; Heyraud, A.; Guenot, P.; Rinaudo, M.; Auzély-Velty, R. Controlled Synthesis and Inclusion Ability of a Hyaluronic Acid Derivative Bearing β-Cyclodextrin Molecules. Biomacromolecules 2006, 7, 907–913. [Google Scholar] [CrossRef] [PubMed]
- Kovensky, J.; Grand, E.; Uhrig, M.L. Applications of Glycosaminoglycans in the Medical, Veterinary, Pharmaceutical, and Cosmetic Fields. In Industrial Applications of Renewable Biomass Products; Goyanes, S.N., D’Accorso, N.B., Eds.; Springer International Publishing AG: Berlin/Heidelberg, Germany, 2017; pp. 135–164. [Google Scholar]
- Maudens, P.; Meyer, S.; Seemayer, C.A.; Jordan, O.; Alléman, E. Self-assembled thermoresponsive nanostructures of hyaluronic acid conjugates for osteoarthritis therapy. Nanoscale 2018, 10, 1845–1854. [Google Scholar] [CrossRef] [PubMed] [Green Version]
- Saraiva, A.; Persson, O.; Fredenslund, A. An experimental investigation of cloud-point curves for the poly(ethylene glycol)/water system at varying molecular weight distributions. Fluid Phase Equilib. 1993, 91, 291–311. [Google Scholar] [CrossRef]
- Ramos, J.; Imaz, A.; Forcada, J. Temperature-sensitive nanogels: Poly(N-vinylcaprolactam) versus poly(N-isopropylacrylamide). Polym. Chem. 2012, 3, 852–856. [Google Scholar] [CrossRef]
- Guido, S. Phase Behavior of Aqueous Solutions of Hydroxypropylcellulose. Macromolecules 1995, 28, 4530–4539. [Google Scholar] [CrossRef]
- Ohya, S.; Nakayama, Y.; Matsuda, T. Thermoresponsive Artificial Extracellular Matrix for Tissue Engineering: Hyaluronic Acid Bioconjugated with Poly(N-isopropylacrylamide) Grafts. Biomacromolecules 2001, 2, 856–863. [Google Scholar] [CrossRef]
- Bulpitt, P.; Aeschlimann, D. New strategy for chemical modification of hyaluronic acid: Preparation of functionalized derivatives and their use in the formation of novel biocompatible hydrogels. J. Biomed. Mater. Res. 1999, 47, 152–169. [Google Scholar] [CrossRef]
- D’Este, M.; Alini, M.; Eglin, D. Single step synthesis and characterization of thermoresponsive hyaluronan hydrogels. Carbohydr. Polym. 2012, 90, 1378–1385. [Google Scholar] [CrossRef]
- Trojer, M.A.; Anderson, M.; Bergenholtz, J.; Gatenholm, P. Quantitative Grafting for Structure-Function Establishment: Thermoresponsive Poly(alkylene oxide) Graft Copolymers Based on Hyaluronic Acid and Carboxymethylcellulose. Biomacromolecules 2019, 20, 1271–1280. [Google Scholar] [CrossRef]
- Seelbach, R.J.; D’Este, M.; Alini, M.; Mata, A.; Eglin, D. Copper catalyst efficiency for the CuAAC synthesis of a poly(N-isopropylacrylamide) conjugated hyaluronan. Clin. Hemorheol. Microcir. 2015, 60, 25–37. [Google Scholar] [CrossRef]
- Ter Boo, G.-J.A.; Arens, D.; Metsemakers, W.-J.; Zeiter, S.; Richards, R.G.; Grijpma, D.W.; Eglin, D.; Moriarty, T.F. Injectable gentamicin-loaded thermo-responsive hyaluronic acid derivative prevents infection in a rabbit model. Acta Biomater. 2016, 43, 185–194. [Google Scholar] [CrossRef] [PubMed]
- Kuo, J.W.; Swann, D.A.; Prestwich, G.D. Chemical Modification of Hyaluronic Acid by Carbodiimides. Bioconjugate Chem. 1991, 2, 232–241. [Google Scholar] [CrossRef] [PubMed]
- Schleeh, T.; Madau, M.; Roessner, D. Two competing reactions of tetrabutylammonium alginate in organic solvents: Amidation versus γ-lactone synthesis. Carbohydr. Polym. 2016, 138, 244–251. [Google Scholar] [CrossRef]
- Stern, R.; Kogan, G.; Jedrzejas, M.J.; Šoltés, L. The many ways to cleave hyaluronan. Biotechnol. Adv. 2007, 25, 537–557. [Google Scholar] [CrossRef] [PubMed]
- Gamini, A.; Paoletti, S.; Toffanin, R.; Micali, F.; Michielin, L.; Bevilacqua, C. Structural investigations of cross-linked hyaluronan. Biomaterials 2002, 23, 1161–1167. [Google Scholar] [CrossRef]
- Dulong, V.; Lack, S.; Le Cerf, D.; Picton, L.; Vannier, J.P.; Muller, G. Hyaluronan-based hydrogels particles prepared by crosslinking with trisodium trimetaphosphate. Synthesis and characterization. Carbohydr. Polym. 2004, 57, 1–6. [Google Scholar] [CrossRef]
- Hadrich, A.; Dulong, V.; Rihouey, C.; Labat, B.; Picton, L.; Le Cerf, D. Biomimetic hydrogel by enzymatic crosslinking of pullulan grafted with ferulic acid. Carbohydr. Polym. 2020, 250, 116967. [Google Scholar] [CrossRef]
- Dreiss, C.A. Hydrogel design strategies for drug delivery. Curr. Opin. Colloid Interface Sci. 2020, 48, 1–17. [Google Scholar] [CrossRef]
- Gonzalez, P.; Leclercq, L.; Cottet, H. What is the Contribution of Counter-Ions to the Absolute Molar Mass of Polyelectrolytes Determined by SEC-MALLS? Macromol. Chem. Phys. 2016, 217, 2654–2659. [Google Scholar] [CrossRef]








| Sample | nM2005/nHA | nT3P/n TBA-HA | nTEA/nTBA-HA | DS |
|---|---|---|---|---|
| HA38-g(EDC)-M2005-3.6% | 1 | - | - | 3.6 % a |
| HA38-g(T3P)-M2005-8.3% | 2 | 2 | 1 | 8.3 % b |
| HA140-g(EDC)-M2005-3.9% | 1 | - | - | 3.9 % a |
| HA140-g(T3P)-M2005-5.5% | 2 | 0.3 | 0.3 | 5.5 % b |
| HA140-g(T3P)-M2005-8.3% | 2 | 2 | 1 | 8.3 % b |
| HA1200-g(EDC)-M2005-2.7% | 1 | - | - | 2.7 % a |
| HA1200-g(T3P)-M2005-3.7% | 2 | 0.3 | 0.3 | 3.7 % b |
| HA1200-g(EDC)-M2005-4.5% | 5 | - | - | 4.5 % a |
| Sample | Mn (g.mol−1) | Mw (g.mol−1) | Đ | DPn | Mass Recovery | [η]w (mL.g−1) | Rhw (nm) | Rgw (nm) | a (Mark Houwink) |
|---|---|---|---|---|---|---|---|---|---|
| HA38 | 38,000 | 64,000 | 1.68 | 95 | 68% | 150 | 11 | - a | 0.76 |
| HA38-g(EDC)-M2005-3.6% | 38,000 | 63,000 | 1.64 | 80 | 61% | 120 | 10 | - a | 0.72 |
| HA38-g(T3P)-M2005-8.3% | 60,000 | 250,000 | 4.18 | 106 | 35% | 140 | 14 | 37 | 0.79 |
| HA140 | 140,000 | 210,000 | 1.50 | 349 | 63% | 410 | 23 | 44 | 0.71 |
| HA140 (T3P) b | 190,000 | 550,000 | 2.89 | 473 | 41% | 450 | 30 | 68 | 0.72 |
| HA140-g(EDC)-M2005-3.9% | 140,000 | 190,000 | 1.39 | 294 | 77% | 390 | 22 | 39 | 0.62 |
| HA140-g(T3P)-M2005-5.5% | 180,000 | 430,000 | 2.39 | 354 | 47% | 320 | 25 | 46 | 0.76 |
| HA140-g(T3P)-M2005-8.3% | 200,000 | 540,000 | 2.76 | 355 | 21% | 290 | 26 | 48 | 0.77 |
| HA1200 | 1,200,000 | 1,500,000 | 1.25 | 2990 | 65% | 1700 | 73 | 147 | - |
| HA1200-g(EDC)-M2005-2.7% | 430,000 | 500,000 | 1.15 | 947 | 78% | 1300 | 46 | 102 | - |
| HA1200-g(T3P)-M2005-3.7% | - | - | - | - | 0% | - | - | - | - |
| HA1200-g(EDC)-M2005-4.5% | 540,000 | 710,000 | 1.32 | 1105 | 49% | 840 | 44 | 84 | - |
| Sample | C (wt%) | Ttrans (°C) | G′ (Pa) (25°C) | G′ (Pa) (60°C) | |
|---|---|---|---|---|---|
| HA38-g(EDC)-M2005-3.6% | 11 | >60 °C | 0.1 Pa | 78.4 Pa | 784 |
| HA38-g(T3P)-M2005-8.3% | 11 | <25 °C | 25 Pa | 230 Pa | 9.2 |
| HA38-g(T3P)-M2005-8.3% | 3 | 33.7 °C | 0.2 Pa | 12.6 Pa | 63 |
| HA140-g(EDC)-M2005-3.9% | 6 | 51.6 °C | 1 Pa | 296 Pa | 296 |
| HA140-g(T3P)-M2005-5.5% | 6 | - | 176 Pa | 810 Pa | 4.6 |
| HA140-g(T3P)-M2005-8.3% | 6 | - | 435 Pa | 3200 Pa | 7.4 |
| HA1200-g(EDC)-M2005-2.7% | 1 | 43.7 °C | 0.5 Pa | 14.8 Pa | 30 |
| HA1200-g(EDC)-M2005-4.5% | 1 | 41.5 °C | 0.026 Pa | 23 Pa | 885 |
Publisher’s Note: MDPI stays neutral with regard to jurisdictional claims in published maps and institutional affiliations. |
© 2021 by the authors. Licensee MDPI, Basel, Switzerland. This article is an open access article distributed under the terms and conditions of the Creative Commons Attribution (CC BY) license (https://creativecommons.org/licenses/by/4.0/).
Share and Cite
Madau, M.; Le Cerf, D.; Dulong, V.; Picton, L. Hyaluronic Acid Functionalization with Jeffamine® M2005: A Comparison of the Thermo-Responsiveness Properties of the Hydrogel Obtained through Two Different Synthesis Routes. Gels 2021, 7, 88. https://doi.org/10.3390/gels7030088
Madau M, Le Cerf D, Dulong V, Picton L. Hyaluronic Acid Functionalization with Jeffamine® M2005: A Comparison of the Thermo-Responsiveness Properties of the Hydrogel Obtained through Two Different Synthesis Routes. Gels. 2021; 7(3):88. https://doi.org/10.3390/gels7030088
Chicago/Turabian StyleMadau, Mathieu, Didier Le Cerf, Virginie Dulong, and Luc Picton. 2021. "Hyaluronic Acid Functionalization with Jeffamine® M2005: A Comparison of the Thermo-Responsiveness Properties of the Hydrogel Obtained through Two Different Synthesis Routes" Gels 7, no. 3: 88. https://doi.org/10.3390/gels7030088
APA StyleMadau, M., Le Cerf, D., Dulong, V., & Picton, L. (2021). Hyaluronic Acid Functionalization with Jeffamine® M2005: A Comparison of the Thermo-Responsiveness Properties of the Hydrogel Obtained through Two Different Synthesis Routes. Gels, 7(3), 88. https://doi.org/10.3390/gels7030088

