The Compartment and Variety Effects Jointly Shape Pummelo Endophytic Mycobiota
Abstract
1. Introduction
2. Materials and Methods
2.1. Pummelo Orchard and Sampling
2.2. DNA Extraction and Amplicon Sequencing
2.3. Bioinformatic Analysis
2.4. Statistical Analysis
3. Results
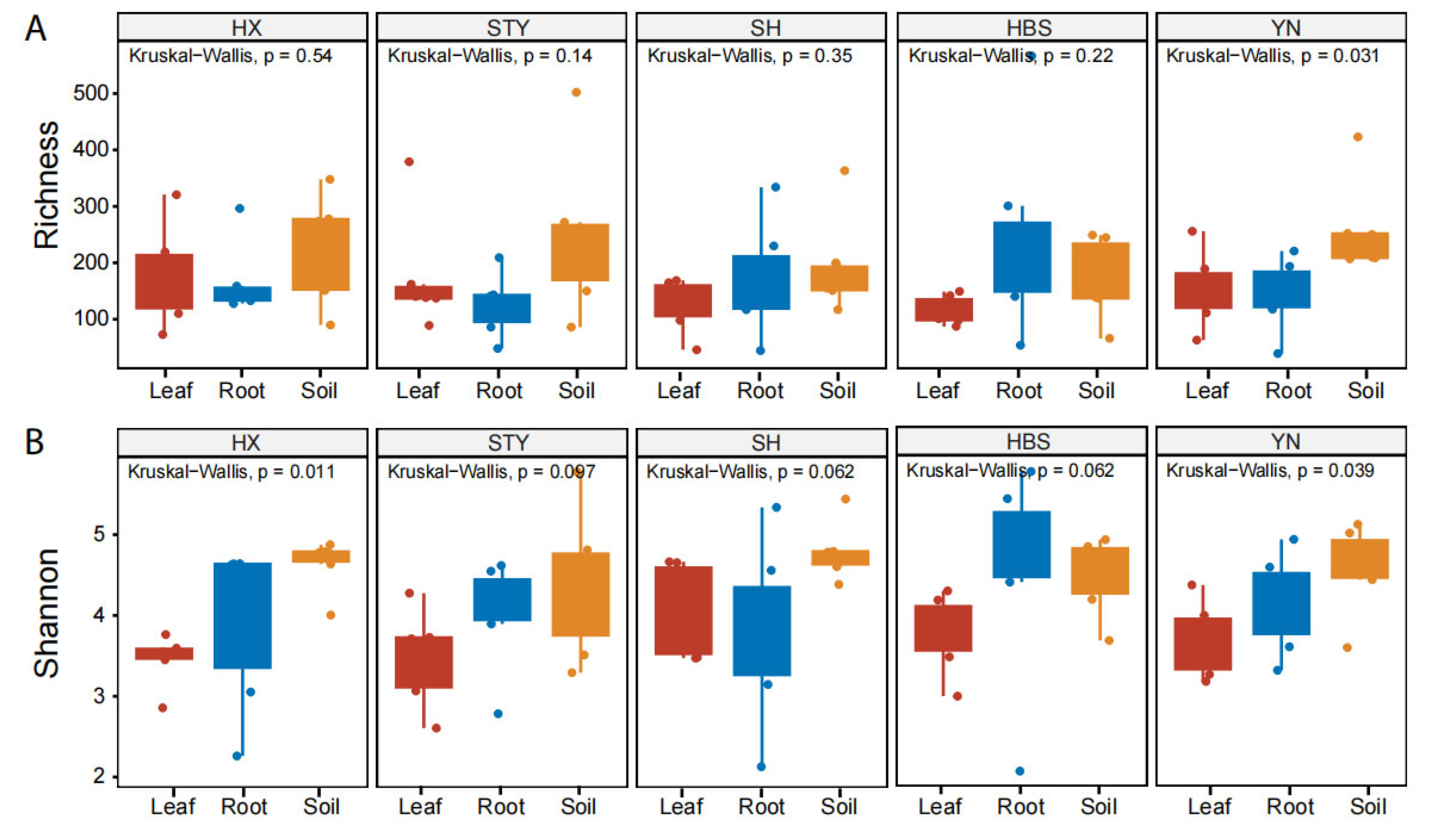
3.1. The Richness and Diversity of Pummelo Mycobiota
3.2. The Composition and Structure of Pummelo Mycobiota
3.3. Variety Effect on Fungal Taxa
3.4. Variety Effect on Root Selection of Fungal Genera
4. Discussion
4.1. Variety Is Not a Significant Factor Affecting the Richness and Diversity of Pummelo Endophytic Mycobiota
4.2. Variety Effect Is Stronger on Endophytic Microbiota in the Pummelo Phyllosphere than in the Rhizosphere
4.3. The Dominant Fungi Are Differentially Distributed in Different Pummelo Varieties
4.4. Compartment Effect Is Dependent on the Pummelo Variety
5. Conclusions
Author Contributions
Funding
Institutional Review Board Statement
Informed Consent Statement
Data Availability Statement
Acknowledgments
Conflicts of Interest
References
- Deng, X.X. Citrus Varieties in China, 2nd ed.; China Agriculture Press: Beijing, China, 2023; pp. 202–237. [Google Scholar]
- Yu, H.; Yang, X.; Guo, F.; Jiang, X.; Deng, X.; Xu, Q. Genetic diversity and population structure of pummelo (Citrus maxima) germplasm in China. Tree Genet. Genomes 2017, 13, 58. [Google Scholar] [CrossRef]
- Yin, J.; Hu, X.; Hou, Y.; Liu, S.; Jia, S.; Gan, C.; Ou, Y.; Zhang, X. Comparative analysis of chemical compositions and antioxidant activities of different pomelo varieties from China. Food Chem. Adv. 2023, 2, 100180. [Google Scholar] [CrossRef]
- Bai, B.; Liu, W.; Qiu, X.; Zhang, J.; Zhang, J.; Bai, Y. The root microbiome: Community assembly and its contributions to plant fitness. J. Integr. Plant Biol. 2022, 64, 230–243. [Google Scholar] [CrossRef]
- Huang, F.; Ling, J.; Li, G.; Song, X.; Liu, R. Disease occurrence and climatic factors jointly structure pomelo leaf fungal succession in disturbed agricultural ecosystem. Microorganisms 2024, 12, 1157. [Google Scholar] [CrossRef]
- Dos Reis, J.B.A.; Lorenzi, A.S.; do Vale, H.M.M. Methods used for the study of endophytic fungi: A review on methodologies and challenges, and associated tips. Arch. Microbiol. 2022, 204, 675. [Google Scholar] [CrossRef]
- Fracchia, F.; Guinet, F.; Engle, N.L.; Tschaplinski, T.J.; Veneault-Fourrey, C.; Deveau, A. Microbial colonisation rewires the composition and content of poplar root exudates, root and shoot metabolomes. Microbiome 2024, 12, 173. [Google Scholar] [CrossRef] [PubMed]
- Li, P.D.; Zhu, Z.R.; Zhang, Y.; Xu, J.; Wang, H.; Wang, Z.; Li, H. The phyllosphere microbiome shifts toward combating melanose pathogen. Microbiome 2022, 10, 56. [Google Scholar] [CrossRef] [PubMed]
- Ping, X.; Khan, R.A.A.; Chen, S.; Jiao, Y.; Zhuang, X.; Jiang, L.; Song, L.; Yang, Y.; Zhao, J.; Li, Y.; et al. Deciphering the role of rhizosphere microbiota in modulating disease resistance in cabbage varieties. Microbiome 2024, 12, 160. [Google Scholar] [CrossRef] [PubMed]
- Wang, Z.; Li, Z.; Zhang, Y.; Liao, J.; Guan, K.; Zhai, J.; Meng, P.; Tang, X.; Dong, T.; Song, Y. Root hair developmental regulators orchestrate drought triggered microbiome changes and the interaction with beneficial Rhizobiaceae. Nat. Commun. 2024, 15, 10068. [Google Scholar] [CrossRef]
- Han, S.W.; Yoshikuni, Y. Microbiome engineering for sustainable agriculture: Using synthetic biology to enhance nitrogen metabolism in plant-associated microbes. Curr. Opin. Microbiol. 2022, 68, 102172. [Google Scholar] [CrossRef]
- Malacrinò, A.; Mosca, S.; Li Destri Nicosia, M.G.; Agosteo, G.E.; Schena, L. Plant genotype shapes the bacterial microbiome of fruits, leaves, and soil in olive plants. Plants 2022, 11, 613. [Google Scholar] [CrossRef]
- Singha, K.M.; Singh, B.; Pandey, P. Host specific endophytic microbiome diversity and associated functions in three varieties of scented black rice are dependent on growth stage. Sci. Rep. 2021, 11, 12259. [Google Scholar] [CrossRef]
- Kwak, M.J.; Kong, H.G.; Choi, K.; Kwon, S.K.; Song, J.Y.; Lee, J.; Lee, P.A.; Choi, S.Y.; Seo, M.; Lee, H.J.; et al. Rhizosphere microbiome structure alters to enable wilt resistance in tomato. Nat. Biotechnol. 2018, 36, 1100–1109. [Google Scholar] [CrossRef] [PubMed]
- Mahmoudi, M.; Almario, J.; Lutap, K.; Nieselt, K.; Kemen, E. Microbial communities living inside plant leaves or on the leaf surface are differently shaped by environmental cues. ISME Commun. 2024, 4, ycae103. [Google Scholar] [CrossRef]
- Huang, F.; Ling, J.; Cui, Y.; Guo, B.; Song, X. Profiling of the citrus leaf endophytic mycobiota reveals abundant pathogen-related fungal groups. J. Fungi 2024, 10, 596. [Google Scholar] [CrossRef]
- Zhou, M.; Liang, Z.; Zou, T.; Tu, J.; Hu, Y.; Shen, W. Estimation of organic carbon storage and carbon sequestration potential of cultivated soil in red beds area. Acta Sci. Nat. Univ. Sunyatseni 2024, 63, 12–20. [Google Scholar] [CrossRef]
- Agler, M.T.; Ruhe, J.; Kroll, S.; Morhenn, C.; Kim, S.T.; Weigel, D. Microbial hub taxa link host and abiotic factors to plant microbiome variation. PLoS Biol. 2016, 14, e1002352. [Google Scholar] [CrossRef] [PubMed]
- White, T.J.; Bruns, T.; Lee, S.; Taylor, J. Amplification and direct sequencing of fungal ribosomal RNA genes for phylogenetics. In PCR Protocols: A Guide to Methods and Applications; Innis, M.A., Gelfand, D.H., Sninsky, J.J., White, T.J., Eds.; Academic Press: New York, NY, USA, 1990; pp. 315–322. [Google Scholar]
- Bolger, A.M.; Lohse, M.; Usadel, B. Trimmomatic: A flexible trimmer for Illumina sequence data. Bioinformatics 2014, 30, 2114–2120. [Google Scholar] [CrossRef]
- Martin, M. Cutadapt removes adapter sequences from high-throughput sequencing reads. EMBnet J. 2011, 17, 10–12. [Google Scholar] [CrossRef]
- Callahan, B.J.; McMurdie, P.J.; Rosen, M.J.; Han, A.W.; Johnson, A.J.A.; Holmes, S.P. DADA2: High-resolution sample inference from Illumina amplicon data. Nat. Methods 2016, 13, 581–583. [Google Scholar] [CrossRef]
- Bolyen, E.; Rideout, J.R.; Dillon, M.R.; Bokulich, N.A.; Abnet, C.C.; Al-Ghalith, G.A.; Alexander, H.; Alm, E.J.; Arumugam, M.; Asnicar, F.; et al. Reproducible, interactive, scalable and extensible microbiome data science using QIIME 2. Nat. Biotechnol. 2019, 37, 852–857. [Google Scholar] [CrossRef] [PubMed]
- R Core Team. R: A Language and Environment for Statistical Computing; R Foundation for Statistical Computing: Vienna, Austria, 2023. Available online: https://www.R-project.org/ (accessed on 9 August 2024).
- Love, M.I.; Huber, W.; Anders, S. Moderated estimation of fold change and dispersion for RNA-seq data with DESeq2. Genome Biol. 2014, 15, 550. [Google Scholar] [CrossRef] [PubMed]
- Oksanen, J.; Blanchet, F.G.; Kindt, R.; Legendre, P.; O’hara, R.B.; Simpson, G.L.; Solymos, P.; Stevens, M.H.H.; Wagner, H. Vegan: Community Ecology Package. R Package Version 2.0. 2013. Available online: https://cran.r-project.org/package=vegan (accessed on 9 August 2024).
- Paradis, E.; Claude, J.; Strimmer, K. APE: Analyses of Phylogenetics and Evolution in R language. Bioinformatics 2004, 20, 289–290. [Google Scholar] [CrossRef]
- Wickham, H. ggplot2: Elegant Graphics for Data Analysis; Springer: New York, NY, USA, 2016; ISBN 978-3-319-24277-4. Available online: https://ggplot2.tidyverse.org (accessed on 9 August 2024).
- Kolde, R. Pheatmap: Pretty Heatmaps. R Package Version 1.0.12. 2019. Available online: https://cran.r-project.org/package=pheatmap (accessed on 9 August 2024).
- Chen, X.H.; Zhou, D.K.; Zhang, Y.H.; Chen, Q.S.; Li, Y.Y. Microbial diversity and abundance in different acidified soils from mature pomelo planting orchard. Eur. J. Hortic. Sci. 2024, 89, 1–14. [Google Scholar] [CrossRef]
- Liu, C.; Yang, F.; Zhou, X.; Gao, J.; Zhao, D.; Gu, J.; Wang, S.; Guo, L.; Bi, G.; Zhao, A.; et al. Metabolomics analysis of differential metabolites Citrus grandis ‘Taiguo Hongbaoshiyou’ pummelo fruit pulp. J. Fruit Sci. 2025. [Google Scholar] [CrossRef]
- Tan, X.; Xie, H.; Yu, J.; Wang, Y.; Xu, J.; Xu, P.; Ma, B. Host genetic determinants drive compartment-specific assembly of tea plant microbiomes. Plant Biotechnol. J. 2022, 20, 2174–2186. [Google Scholar] [CrossRef]
- Xing, Y.; Bian, C.; Xue, H.; Song, Y.; Men, W.; Hou, W.; Yang, Y.; Cai, Q.; Xu, L. The effect of plant compartment and geographical location on shaping microbiome of Pulsatilla chinensis. Appl. Microbiol. Biotechnol. 2023, 107, 5555–5567. [Google Scholar] [CrossRef]
- Chen, L.; Liu, Y. The function of root exudates in the root colonization by beneficial soil Rhizobacteria. Biology 2024, 13, 95. [Google Scholar] [CrossRef]
- Kulkarni, O.S.; Mazumder, M.; Kini, S.; Hill, E.D.; Aow, J.S.B.; Phua, S.M.L.; Elejalde, U.; Kjelleberg, S.; Swarup, S. Volatile methyl jasmonate from roots triggers host-beneficial soil microbiome biofilms. Nat. Chem. Biol. 2024, 20, 473–483. [Google Scholar] [CrossRef] [PubMed]
- Vives-Peris, V.; Molina, L.; Segura, A.; Gómez-Cadenas, A.; Pérez-Clemente, R.M. Root exudates from citrus plants subjected to abiotic stress conditions have a positive effect on rhizobacteria. J. Plant Physiol. 2018, 228, 208–217. [Google Scholar] [CrossRef]
- Liu, H.; Brettell, L.E.; Singh, B. Linking the phyllosphere microbiome to plant health. Trends Plant Sci. 2020, 25, 841–844. [Google Scholar] [CrossRef]
- Remus-Emsermann, M.N.P.; Schlechter, R.O. Phyllosphere microbiology: At the interface between microbial individuals and the plant host. New Phytol. 2018, 218, 1327–1333. [Google Scholar] [CrossRef] [PubMed]
- Lymperopoulou, D.S.; Adams, R.I.; Lindow, S.E. Contribution of vegetation to the microbial composition of nearby outdoor air. Appl. Environ. Microbiol. 2016, 82, 3822–3833. [Google Scholar] [CrossRef]
- Huang, F.; Groenewald, J.Z.; Zhu, L.; Crous, P.W.; Li, H. Cercosporoid diseases of Citrus. Mycologia 2015, 107, 1151–1171. [Google Scholar] [CrossRef]
- Zheng, F.; Li, L.; Xiao, X.; Chen, Y.; Tang, J.; Li, C.; Li, H. Species diversity of Cladosporium in Citrus and the genetic mechanisms for C. cladosporioides complex to adapt broad host plants. Fungal Divers. 2025, 133, 1–22. [Google Scholar] [CrossRef]
- Huang, F.; Ling, J.; Zhu, C.; Cheng, B.; Song, X.; Peng, A. Canker disease intensifies cross-kingdom microbial interactions in the endophytic microbiota of citrus phyllosphere. Phytobiomes J. 2023, 7, 365–374. [Google Scholar] [CrossRef]
- Sood, M.; Kapoor, D.; Kumar, V.; Sheteiwy, M.S.; Ramakrishnan, M.; Landi, M.; Sharma, A. Trichoderma: The “secrets” of a multitalented biocontrol agent. Plants 2020, 9, 762. [Google Scholar] [CrossRef]
- Xiao, X.E.; Cheng, M.J.; Zheng, F.; Ao, Y.J.; Deng, J.R.; Crous, P.W.; Jiao, C.; Li, H.Y. Species of Fusarium and Neocosmospora associated with citrus branch diseases in China. Persoonia 2025, 55, 477–525. [Google Scholar] [CrossRef]
- Thitla, T.; Kumla, J.; Khuna, S.; Lumyong, S.; Suwannarach, N. Species diversity, distribution, and phylogeny of Exophiala with the addition of four new species from Thailand. J. Fungi 2022, 8, 766. [Google Scholar] [CrossRef]
- Xiao, Y.; Dai, M.X.; Zhang, G.Q.; Yang, Z.X.; He, Y.M.; Zhan, F.D. Effects of the dark septate endophyte (DSE) Exophiala pisciphila on the growth of root cell wall polysaccharides and the cadmium content of Zea mays L. under cadmium stress. J. Fungi 2021, 7, 1035. [Google Scholar] [CrossRef]
- Xu, R.; Li, T.; Shen, M.; Yang, Z.L.; Zhao, Z.W. Evidence for a dark septate endophyte (Exophiala pisciphila, H93) enhancing phosphorus absorption by maize seedlings. Plant Soil 2020, 452, 249–266. [Google Scholar] [CrossRef]
- Harsonowati, W.; Marian, M.; Surono, S.; Narisawa, K. The effectiveness of a dark septate endophytic fungus, Cladophialophora chaetospira SK51, to mitigate strawberry Fusarium-wilt disease and with growth promotion activities. Front. Microbiol. 2020, 11, 585. [Google Scholar] [CrossRef] [PubMed]







Disclaimer/Publisher’s Note: The statements, opinions and data contained in all publications are solely those of the individual author(s) and contributor(s) and not of MDPI and/or the editor(s). MDPI and/or the editor(s) disclaim responsibility for any injury to people or property resulting from any ideas, methods, instructions or products referred to in the content. |
© 2025 by the authors. Licensee MDPI, Basel, Switzerland. This article is an open access article distributed under the terms and conditions of the Creative Commons Attribution (CC BY) license.
Share and Cite
Wu, P.; Zhu, C.; Yu, Z.; Ren, C.; Fan, Z.; Zhang, R.; Yue, P.; Huang, Y.; Deng, G.; Zeng, J. The Compartment and Variety Effects Jointly Shape Pummelo Endophytic Mycobiota. J. Fungi 2026, 12, 23. https://doi.org/10.3390/jof12010023
Wu P, Zhu C, Yu Z, Ren C, Fan Z, Zhang R, Yue P, Huang Y, Deng G, Zeng J. The Compartment and Variety Effects Jointly Shape Pummelo Endophytic Mycobiota. Journal of Fungi. 2026; 12(1):23. https://doi.org/10.3390/jof12010023
Chicago/Turabian StyleWu, Pingzhi, Congyi Zhu, Zhu Yu, Chuanhong Ren, Zhengyan Fan, Ruimin Zhang, Pengtao Yue, Yongjing Huang, Guiming Deng, and Jiwu Zeng. 2026. "The Compartment and Variety Effects Jointly Shape Pummelo Endophytic Mycobiota" Journal of Fungi 12, no. 1: 23. https://doi.org/10.3390/jof12010023
APA StyleWu, P., Zhu, C., Yu, Z., Ren, C., Fan, Z., Zhang, R., Yue, P., Huang, Y., Deng, G., & Zeng, J. (2026). The Compartment and Variety Effects Jointly Shape Pummelo Endophytic Mycobiota. Journal of Fungi, 12(1), 23. https://doi.org/10.3390/jof12010023

