Characterization of the Enzymatic and Biosorption Processes Involved in the Decolorization of Remazol Brilliant Blue R Dye by Pleurotus ostreatus Pellets
Abstract
1. Introduction
2. Materials and Methods
2.1. Organism and Growth Conditions
2.2. Submerged Culture Conditions and Obtaining Extracts
2.3. Decolorization Process and Enzymatic Activity in the Submerged Culture
2.4. Dye Adsorption by Inactivated Fungal Pellets
2.5. Decolorization Using EE
3. Results
3.1. Effect of RBBR Dye on Pleurotus ostreatus Growth and Dye Decolorization
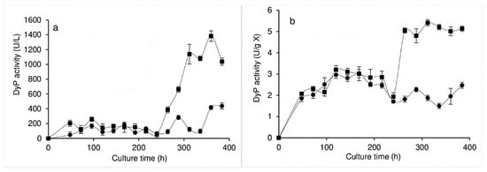
3.2. Effect of RBBR Dye on Intra- and Extra-Pellet Enzymatic Activity
3.3. Dye Adsorption by Inactivated Fungal Pellets
3.4. Decolorization Using EE
4. Discussion
5. Conclusions
Author Contributions
Funding
Institutional Review Board Statement
Informed Consent Statement
Data Availability Statement
Acknowledgments
Conflicts of Interest
References
- Alsantali, R.I.; Raja, Q.A.; Alzahrani, A.Y.A.; Sadiq, A.; Naeem, N.; Mughal, E.U.; Al-Rooqi, M.M.; El Guesmi, N.; Moussa, Z.; Ahmed, S.A. Miscellaneous azo dyes: A comprehensive review on recent advancements in biological and industrial applications. Dyes Pigm. 2022, 199, 110050. [Google Scholar] [CrossRef]
- Benkhaya, S.; M’rabet, S.; El Harfi, A. Classifications, properties, recent synthesis and applications of azo dyes. Heliyon 2020, 6, e03271. [Google Scholar] [CrossRef]
- Sabnis, R.W. Manufacture of dye intermediates, dyes, and their industrial applications. In Handbook of Industrial Chemistry and Biotechnology; Kent, J.A., Bommaraju, T.V., Barnicki, S.D., Eds.; Springer: Cham, Switzerland, 2017; pp. 581–676. [Google Scholar] [CrossRef]
- Sen, S.K.; Raut, S.; Bandyopadhyay, P.; Raut, S. Fungal decolouration and degradation of azo dyes: A review. Fungal Biol. Rev. 2016, 30, 112–133. [Google Scholar] [CrossRef]
- Sahoo, P.P.; Kumar, V.; Pallavi, P.; Sahoo, A.A.; Sen, S.K.; Raut, S. Exploration of basidiomycetes for anthraquinone dyes decolorization in textile wastewater. Biotechnol. Appl. Biochem. 2024, 672, 67272804. [Google Scholar] [CrossRef]
- Sen, S.K.; Raut, S.; Raut, S. Mycoremediation of anthraquinone dyes from textile industries: A mini-review. Biotechnologia 2023, 104, 85–91. [Google Scholar] [CrossRef]
- Routoula, E.; Patwardhan, S.V. Degradation of anthraquinone dyes from effluents: A review focusing on enzymatic dye degradation with industrial potential. Environ. Sci. Technol. 2020, 54, 647–664. [Google Scholar] [CrossRef] [PubMed]
- Chaudhari, A.U.; Paul, D.; Dhotre, D.; Kodam, K.M. Effective biotransformation and detoxification of anthraquinone dye reactive blue 4 by using aerobic bacterial granule. Water Res. 2017, 122, 603–613. [Google Scholar] [CrossRef]
- Patel, A.; Patel, V.; Patel, H.; Trivedi, U.; Patel, K. White rot fungi: Nature’s scavenger. In Microbial Bioremediation & Biodegradation; Shah, M., Ed.; Springer: Singapore, 2020; pp. 267–307. [Google Scholar] [CrossRef]
- Banat, I.M.; Nigam, P.; Singh, D.; Marchant, R. Microbial decolorization of textile-dye-containing effluents: A review. Bioresour. Technol. 1996, 58, 217–227. [Google Scholar] [CrossRef]
- Glazunova, O.A.; Moiseenko, K.V.; Fedorova, T.V. Xenobiotic removal by Trametes hirsuta LE-BIN 072 activated carbon-based mycelial pellets: Remazol brilliant blue R case study. Water 2024, 16, 133. [Google Scholar] [CrossRef]
- Machado, K.M.G.; Matheus, D.R. Biodegradation of remazol brilliant blue R by ligninolytic enzymatic complex produced by Pleurotus ostreatus. Braz. J. Microbiol. 2006, 37, 468–473. [Google Scholar] [CrossRef]
- Chen, L.; Zhang, X.; Zhang, M.; Zhu, Y.; Zhuo, R. Removal of heavy-metal pollutants by white rot fungi: Mechanisms, achievements, and perspectives. J. Clean. Prod. 2022, 354, 131681. [Google Scholar] [CrossRef]
- Lin, S.; Wei, J.; Yang, B.; Zhang, M.; Zhuo, R. Bioremediation of organic pollutants by white rot fungal cytochrome P450: The role and mechanism of CYP450 in biodegradation. Chemosphere 2022, 301, 134776. [Google Scholar] [CrossRef] [PubMed]
- Bhatnagar, A.; Tamboli, E.; Mishra, A. Wastewater treatment and mycoremediation by P. ostreatus mycelium. IOP Conf. Ser. Earth Environ. Sci. 2021, 775, 012003. [Google Scholar] [CrossRef]
- Palmieri, G.; Cennamo, G.; Sannia, G. Remazol brilliant blue R decolourisation by the fungus Pleurotus ostreatus and its oxidative enzymatic system. Enzym. Microb. Technol. 2005, 36, 17–24. [Google Scholar] [CrossRef]
- Liu, W.; Chao, Y.; Yang, X.; Bao, H.; Qian, S. Biodecolorization of azo, anthraquinonic and triphenylmethane dyes by white-rot fungi and a laccase-secreting engineered strain. J. Ind. Microbiol. Biotechnol. 2004, 31, 127–132. [Google Scholar] [CrossRef]
- Bibbins-Martínez, M.; Juárez-Hernández, J.; López-Domínguez, J.Y.; Nava-Galicia, S.B.; Martínez-Tozcano, L.J.; Juárez-Atonal, R.; Cortés-Espinosa, D.; Díaz-Godinez, G. Potential application of fungal biosorption and/or bioaccumulation for the bioremediation of wastewater contamination: A review. J. Environ. Biol. 2023, 44, 135–145. [Google Scholar] [CrossRef]
- Espinosa-Ortiz, E.J.; Rene, E.R.; Pakshirajan, K.; van Hullebusch, E.D.; Lens, P.N.L. Fungal pelleted reactors in wastewater treatment: Applications and perspectives. Chem. Eng. J. 2016, 283, 553–571. [Google Scholar] [CrossRef]
- Bokade, P.; Purohit, H.J.; Bajaj, A. Myco-remediation of chlorinated pesticides: Insights into fungal metabolic system. Indian J. Microbiol. 2021, 61, 237–249. [Google Scholar] [CrossRef]
- Legorreta-Castañeda, A.J.; Lucho-Constantino, C.A.; Beltrán-Hernández, R.I.; Coronel-Olivares, C.; Vázquez-Rodríguez, G.A. Biosorption of water pollutants by fungal pellets. Water 2020, 12, 1155. [Google Scholar] [CrossRef]
- Khan, I.; Aftab, M.; Shakir, S.U.; Ali, M.; Qayyum, S.; Rehman, M.U.; Haleem, K.S.; Touseef, I. Mycoremediation of heavy metal (Cd and Cr)–polluted soil through indigenous metallotolerant fungal isolates. Environ. Monit. Assess. 2019, 191, 585. [Google Scholar] [CrossRef]
- Elekes, C.C.; Busuioc, G. Heavy metals bioaccumulation in species of wild growing mushrooms. Univ. De Ştiinţe Agric. Şi Med. Vet. Iaşi 2010, 53, 86–91. [Google Scholar]
- Ruiz-Dueñas, F.J.; Fernández, E.; Martínez, M.J.; Martínez, A.T. Pleurotus ostreatus heme peroxidases: An in silico analysis from the genome sequence to the enzyme molecular structure. Comptes Rendus Biol. 2011, 334, 795–805. [Google Scholar] [CrossRef] [PubMed]
- George, J.; Rajendran, D.S.; Senthil Kumar, P.; Sonai Anand, S.; Vinoth Kumar, V.; Rangasamy, G. Efficient decolorization and detoxification of triarylmethane and azo dyes by porous-cross-linked enzyme aggregates of Pleurotus ostreatus laccase. Chemosphere 2023, 313, 137612. [Google Scholar] [CrossRef]
- Šlosarčíková, P.; Plachá, D.; Malachová, K.; Rybková, Z.; Novotný, Č. Biodegradation of reactive orange 16 azo dye by simultaneous action of Pleurotus ostreatus and the yeast Candida zeylanoides. Folia Microbiol. 2020, 65, 629–638. [Google Scholar] [CrossRef]
- Lee, K.K.; Tang, K.H.D. Agaricales (gilled mushrooms) as biosorbents of synthetic dye. Malays. J. Med. Health Sci. 2020, 16, 10–17. [Google Scholar]
- Cuamatzi-Flores, J.; Esquivel-Naranjo, E.; Nava-Galicia, S.; López-Munguía, A.; Arroyo-Becerra, A.; Villalobos-López, M.A.; Bibbins-Martínez, M. Differential regulation of Pleurotus ostreatus dye peroxidases gene expression in response to dyes and potential application of recombinant Pleos-DyP1 in decolorization. PLoS ONE 2019, 14, e0209711. [Google Scholar] [CrossRef]
- Novotný, Č.; Rawal, B.; Bhatt, M.; Patel, M.; Šašek, V.; Molitoris, H.P. Capacity of Irpex lacteus and Pleurotus ostreatus for decolorization of chemically different dyes. J. Biotechnol. 2001, 89, 2–3. [Google Scholar] [CrossRef]
- Montalvo, G.; Téllez-Téllez, M.; Díaz, R.; Sánchez, C.; Díaz-Godínez, G. Isoenzymes and activity of laccases produced by Pleurotus ostreatus grown at different temperatures. Rev. Mex. Ing. Quim. 2020, 19, 345–354. [Google Scholar] [CrossRef]
- Miller, G.L. Use of dinitrosalicylic acid reagent for determination of reducing sugar. Anal. Chem. 1959, 31, 426–428. [Google Scholar] [CrossRef]
- Salvachúa, D.; Prieto, A.; Martínez, A.T.; Martínez, M.J. Characterization of a novel dye-decolorizing peroxidase (DyP)-type enzyme from Irpex lacteus and its application in enzymatic hydrolysis of wheat straw. Appl. Environ. Microbiol. 2013, 79, 4316–4324. [Google Scholar] [CrossRef]
- Grandes-Blanco, A.I.; Díaz-Godínez, G.; Téllez-Téllez, M.; Delgado-Macuil, R.J.; Rojas-López, M.; Bibbins-Martínez, M.D. Ligninolytic activity patterns of Pleurotus ostreatus obtained by submerged fermentation in presence of 2,6-dimethoxyphenol and remazol brilliant blue R dye. Prep. Biochem. Biotechnol. 2013, 43, 468–480. [Google Scholar] [CrossRef]
- Korniłłowicz-Kowalska, T.; Rybczyńska, K. Decolorization of remazol brilliant blue (RBBR) and poly R-478 dyes by Bjerkandera adusta CCBAS 930. Cent. Eur. J. Biol. 2012, 7, 948–956. [Google Scholar] [CrossRef]
- Shimizu, M.; Yuda, N.; Nakamura, T.; Tanaka, H.; Wariishi, H. Metabolic regulation at the tricarboxylic acid and glyoxylate cycles of the lignin-degrading basidiomycete Phanerochaete chrysosporium against exogenous addition of vanillin. Proteomics 2005, 5, 3919–3931. [Google Scholar] [CrossRef]
- Cuamatzi-Flores, J.; Nava-Galicia, S.; Esquivel-Naranjo, E.U.; Munguia, A.L.; Arroyo-Becerra, A.; Villalobos-López, M.A.; Bibbins-Martínez, M. Regulation of dye-decolorizing peroxidase gene expression in Pleurotus ostreatus grown on glycerol as the carbon source. PeerJ 2024, 12, e17467. [Google Scholar] [CrossRef]
- Rojas-Verde, G.; Flores-González, M.S.; Larralde-Corona, C.P.; Arévalo-Niño, K. Decoloración del azul brillante de remazol R (RBBR) en presencia de sulfato de cobre por dos nuevas cepas de Trametes sp. Rev. Latinoam. Biotechnol. Amb. Algal 2010, 2, 143–154. [Google Scholar]
- Xin, F.; Sun, Y.; Hu, S.; Cheong, K.; Geng, A. Decolourization of remazol brilliant blue R by enzymatic extract and submerged cultures of a newly isolated Pleurotus ostreatus MR3. Afr. J. Biotechnol. 2013, 12, 5778–5783. [Google Scholar] [CrossRef]
- Nabeela; Khan, S.A.; Mehmood, S.; Shabbir, S.B.; Ali, S.; Alrefaei, A.F.; Albeshr, M.F.; Hamayun, M. Efficacy of fungi in the decolorization and detoxification of remazol brilliant blue dye in aquatic environments. Microorganisms 2023, 11, 703. [Google Scholar] [CrossRef]
- Aparajita, S.; Nigam, A. Bioengineering for decolorization of synthetic dyes in textile effluents using microbial enzymes. J. Sci. Res. 2022, 66, 66–78. [Google Scholar] [CrossRef]
- Anita, S.H.; Ningsih, F.; Yanto, D.H.Y. Biodecolorization of remazol brilliant blue–R dye by tropical white-rot fungi and their enzymes in the presence of guaiacol. J. Ris. Kim. 2021, 12, 94. [Google Scholar] [CrossRef]
- Bernal, S.P.F.; Lira, M.M.A.; Jean-Baptiste, J.; Garcia, P.E.; Batista, E.; Ottoni, J.R.; Passarini, M.R.Z. Biotechnological potential of microorganisms from textile effluent: Isolation, enzymatic activity and dye discoloration. An. Acad. Bras. Ciênc. 2021, 93, e20191581. [Google Scholar] [CrossRef] [PubMed]
- Thampraphaphon, B.; Phosri, C.; Pisutpaisal, N.; Thamvithayakorn, P.; Chotelersak, K.; Sarp, S.; Suwannasai, N. High potential decolourisation of textile dyes from wastewater by manganese peroxidase production of newly immobilised Trametes hirsuta PW17-41 and FTIR analysis. Microorganisms 2022, 10, 992. [Google Scholar] [CrossRef] [PubMed]
- Jebapriya, G.R.; Gnanadoss, J.J. Bioremediation of textile dye using white rot fungi: A review. Int. J. Cur. Res. Rev. 2013, 5, 1–13. [Google Scholar]
- Jimenez-González, A.; Tec-Caamal, E.N.; Medina-Moreno, S.A. Biosorption performance evaluation of azo dyes Reactive Red 2 and Reactive Blue 4 on thermally sterilized biomass of Cladosporium tenuissimum fungus. Rev. Mex. Ing. Quím. 2024, 23, 1–18. [Google Scholar] [CrossRef]
- Aksu, Z.; Balibek, E. Effect of salinity on metal-complex dye biosorption by Rhizopus arrhizus. J. Environ. Manage. 2010, 91, 1546–1555. [Google Scholar] [CrossRef] [PubMed]
- Kabbout, R.; Taha, S. Biodecolorization of textile dye effluent by biosorption on fungal biomass materials. Phys. Procedia 2014, 55, 437–444. [Google Scholar] [CrossRef]
- Przystas, W.; Zablocka-Godlewska, E.; Grabinska-Sota, E. Efficacy of fungal decolorization of a mixture of dyes belonging to different classes. Braz. J. Microbiol. 2015, 46, 415–424. [Google Scholar] [CrossRef]
- Dogan, D.; Boran, F.; Kahraman, S.; Akmil-Basar, C.; Yesilada, O. Dye removal by dead biomass of newly isolated Pleurotus ostreatus strain. Indian J. Biotechnol. 2018, 17, 290–301. [Google Scholar]
- Shin, K.; Oh, I.; Kim, C. Production and purification of remazol brilliant blue R decolorizing peroxidase from the culture filtrate of Pleurotus ostreatus. Appl. Environ. Microbiol. 1997, 63, 1744–1748. [Google Scholar] [CrossRef]
- Teixeira, R.S.S.; Pereira, P.M.; Ferreira-Leitão, V.S. Extraction and application of laccases from shimeji mushrooms (Pleurotus ostreatus) residues in decolourisation of reactive dyes and a comparative study using commercial laccase from Aspergillus oryzae. Enzyme Res. 2010, 1, 905896. [Google Scholar] [CrossRef]
- Almeida, P.H.; de Oliveira, A.C.C.; de Souza, G.P.; Friedrich, J.C.; Linde, G.A.; Colauto, N.B.; Valle, J.S.D. Decolorization of remazol brilliant blue R with laccase from Lentinus crinitus grown in agro-industrial by-products. An. Acad. Bras. Ciênc. 2018, 90, 3463–3473. [Google Scholar] [CrossRef] [PubMed]
- Valliyaparambil, P.T.; Kaliyaperumal, K.A.; Gopakumaran, N. Pleurotus ostreatus laccase decolorization of remazol brilliant violet 5R dye: Statistical optimization and toxicity studies on microbes and its kinetics. J. Appl. Biotechnol. Rep. 2019, 6, 88–95. [Google Scholar] [CrossRef]
- Afiya, H.; Ahmet, E.E.; Shah, M.M. Enzymatic decolorization of remazol brilliant blue royal (RB 19) textile dye by white rot fungi. J. Appl. Adv. Res. 2019, 4, 11–15. [Google Scholar] [CrossRef]






| Pellet Age (h) | * Biomass (g X) | * Amount of Adsorbed Dye (mg) | + Dye Adsorbed (mg/g X; %) | Inactivated Pellets with Adsorbed Dye |
|---|---|---|---|---|
| 240 | 1.08 ± 0.05 | 18.05 ± 0.74 | 16.72; 72.2 | ![]() |
| 312 | 1.45 ± 0.08 | 22.09 ± 0.23 | 15.24; 88.4 | |
| 384 | 1.75 ± 0.05 | 23.80 ± 0.02 | 13.60; 95.2 |
Disclaimer/Publisher’s Note: The statements, opinions and data contained in all publications are solely those of the individual author(s) and contributor(s) and not of MDPI and/or the editor(s). MDPI and/or the editor(s) disclaim responsibility for any injury to people or property resulting from any ideas, methods, instructions or products referred to in the content. |
© 2025 by the authors. Licensee MDPI, Basel, Switzerland. This article is an open access article distributed under the terms and conditions of the Creative Commons Attribution (CC BY) license (https://creativecommons.org/licenses/by/4.0/).
Share and Cite
Daniel-González, G.L.; Nava-Galicia, S.B.; Arroyo-Becerra, A.; Villalobos-López, M.A.; Díaz-Godínez, G.; Bibbins-Martínez, M.D. Characterization of the Enzymatic and Biosorption Processes Involved in the Decolorization of Remazol Brilliant Blue R Dye by Pleurotus ostreatus Pellets. J. Fungi 2025, 11, 572. https://doi.org/10.3390/jof11080572
Daniel-González GL, Nava-Galicia SB, Arroyo-Becerra A, Villalobos-López MA, Díaz-Godínez G, Bibbins-Martínez MD. Characterization of the Enzymatic and Biosorption Processes Involved in the Decolorization of Remazol Brilliant Blue R Dye by Pleurotus ostreatus Pellets. Journal of Fungi. 2025; 11(8):572. https://doi.org/10.3390/jof11080572
Chicago/Turabian StyleDaniel-González, Guadalupe L., Soley B. Nava-Galicia, Analilia Arroyo-Becerra, Miguel Angel Villalobos-López, Gerardo Díaz-Godínez, and Martha D. Bibbins-Martínez. 2025. "Characterization of the Enzymatic and Biosorption Processes Involved in the Decolorization of Remazol Brilliant Blue R Dye by Pleurotus ostreatus Pellets" Journal of Fungi 11, no. 8: 572. https://doi.org/10.3390/jof11080572
APA StyleDaniel-González, G. L., Nava-Galicia, S. B., Arroyo-Becerra, A., Villalobos-López, M. A., Díaz-Godínez, G., & Bibbins-Martínez, M. D. (2025). Characterization of the Enzymatic and Biosorption Processes Involved in the Decolorization of Remazol Brilliant Blue R Dye by Pleurotus ostreatus Pellets. Journal of Fungi, 11(8), 572. https://doi.org/10.3390/jof11080572


