The Floodport App for Interactive Coastal Flood Risk Training
Abstract
1. Introduction
2. Materials and Methods
2.1. The Floodport Model/App
- (1)
- An astronomical tide ( in m).
- (2)
- A storm surge (( in m).
- (3)
- A heavy rainfall event (P (in mm), running off locally into the port. This rainfall is translated into the number of metres of water elevation rise through a conversion factor b (m of water/mm of rainfall), playing the role of a runoff coefficient.
- (4)
- Sea-level rise (in m per year). This process is assumed to happen gradually with a pace c (m/year) over the years (t).
2.2. Classroom Application
- The astronomical tide ( was presented as a known time-series (observed) or just as a simple phase (e.g., low tide, mean sea level, high tide). This is an acceptable approach, as tides are deterministic on short timescales and are easy to explain. So, this can teach students that the timing of a surge relative to the tide matters [36,37].
- The storm surge () is treated as a single surge height value for the event (students set surge amplitude). We explained that there are advanced models where surges vary in time and space and are predicted with hydrodynamic assessments, but, for the purpose of this demonstration, we are using a single surge height to isolate the storm effect and show how a transient event can tip a system from safe to flooded [38,39].
- The rainfall contribution (b·P) represents direct rainfall over the port location (not necessarily the whole catchment that might run off into an outlet—port). We explain that real runoff depends on catchment area, infiltration, drainage capacity, and storage, but here, the use of a single value (b) to represent these gives students a usable lever without requiring hydrology modelling (which they have not been taught). Also, we explain that a common educational approximation is b ≈ 0.001 m/mm (1 mm rainfall ≈ 1 mm water column for the concrete of the port dock), but b may be much smaller in well drained systems or larger in confined basins [40,41].
- The sea-level rise contribution is treated as a simple linear trend representing accumulated sea-level rise since the baseline year. We explain that in reality this can be more complex, reflecting non-linear climatic processes (mentioning IPCC scenarios and potential uncertainties). For our purpose, a linear rate (c m/yr) is intuitive and sufficient to show how a raising baseline increases susceptibility over decades [42,43].
2.3. Scenario Analysis
2.4. Evaluation Through Statistical Analysis
2.5. Building More Advanced Modelling Representations
- λ is a simple tide–surge interaction coefficient, to account for non-linear interactions among these phenomena. In shallow water the surge magnitude can depend on the tide due to quadratic bottom friction, where analyses have shown the dominant nonlinear tide–surge interaction scales with the product of surge and tide [56,57]. We thus include the term λ·tide·surge with λ ≪ 1, with typical λ values being, e.g., ~0.05–0.2, which would be calibrated from observations (according to [58,59,60]).
- is a wave/run-up term (accounting for set-up and run-up/overtopping contribution).
3. Results
4. Discussion
5. Conclusions
Author Contributions
Funding
Data Availability Statement
Conflicts of Interest
Appendix A
| Section A.1: Pre-App Goal: Assess students’ prior knowledge on the topics touched by Floodport. |
| 1. Self-rated prior knowledge (Pre-App): On a scale from 1 (no knowledge) to 5 (excellent knowledge), rate your understanding of the following topics before using the interactive app: a. Extreme storms: Understanding the impacts of extreme weather events on coastal regions………… b. Sea-level rise: Long-term trends driven by climate change and their impact on coastal infrastructures……………… c. Climate change: How global warming is linked to sea-level rise and weather extremes (e.g., sea-rise rate, rainfall contribution factor)……………… d. Tides: Their role in coastal flooding……………….. e. Storm surges: How additional water levels during storms interact with normal tides……………….. f. Coastal floods: How combined hazards affect coastal inundation……………….. g. Port resilience: How engineered structures (e.g., port docks) are evaluated for flood risk……………… h. Engineering structures and works: Design and performance of port infrastructures in flood events…………… i. Modelling and scenario analysis: Using simplified models and computational tools to simulate flood hazards……………… j. Sensitivity analysis: Identifying key parameters that affect flooding…………… k. Interactive apps: Their usefulness in exploring “what-if” scenarios…………. l. Risk management and adaptation strategies: Understanding common mitigation strategies………….. |
| Section A.2: Learning Outcomes [post-app] |
| 2. Self-rated understanding (Post-App): On a scale from 1 (no knowledge) to 5 (excellent knowledge), rate your understanding of the following topics after using the interactive app: a. Extreme storms: Understanding the impacts of extreme weather events on coastal regions………… b. Sea-level rise: Long-term trends driven by climate change and their impact on coastal infrastructures……………… c. Climate change: How global warming is linked to sea-level rise and weather extremes (e.g., sea-rise rate, rainfall contribution factor)……………… d. Tides: Their role in coastal flooding……………….. e. Storm surges: How additional water levels during storms interact with normal tides……………….. f. Coastal floods: How combined hazards affect coastal inundation……………….. g. Port resilience: How engineered structures (e.g., port docks) are evaluated for flood risk……………… h. Engineering structures and works: Design and performance of port infrastructures in flood events…………… i. Modelling and scenario analysis: Using simplified models and computational tools to simulate flood hazards……………… j. Sensitivity analysis: Identifying key parameters that affect flooding…………… k. Interactive apps: Their usefulness in exploring “what-if” scenarios…………. l. Risk management and adaptation strategies: Understanding common mitigation strategies………….. |
| 3. Agreement with integrated understanding: Using a 5-point Likert scale (1 = strongly disagree, 5 = strongly agree), indicate your level of agreement with each statement: a. “The interactive app helped me understand how extreme storms, sea-level rise, and storm surges combine to produce coastal floods.” b. “I now (after using the app) see interconnections between climate change, natural hazards, and the role of engineering structures such as port docks.” c. “After using the app, I have a more integrated understanding of the analytical, engineering, and management aspects of coastal flood risk.” d. “I understand the role and importance of sensitivity analysis and scenario modelling in evaluating flood hazards.” |
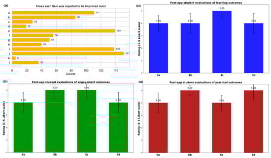
| 4. Topics of greatest improvement: Which topics do you feel you learned the most about through the interactive app? (Select all that apply): a. Extreme storms, b. Sea-level rise, c. Climate change, d. Tides, e. Storm surges, f. Coastal floods, g. Port resilience, h. Engineering structures, i. Modelling & scenario analysis, j. Sensitivity analysis, k. Interactive apps, l. Risk management. |
| Section B: Engagement through interactive learning Goal: Measure the degree to which the interactive app engages students and enhances their understanding of combined hazards. |
| 5. Engagement: Please rate your agreement with the following statements (1 = strongly disagree, 5 = strongly agree): a. “The app was interactive and engaging.” b. “The real-time visualizations helped me grasp the complex interactions between coastal flooding drivers.” c. “Exploring different scenarios in the app enhanced my understanding of coastal flooding” d. “I felt motivated to experiment with the model to see what-if scenarios.” |
| Section C: Real-world application awareness Goal: Evaluate whether the interactive app helps students relate model outputs to real-world engineering decisions and risk management in coastal flood scenarios. |
| 6. Practical implications Please rate your agreement with the following statements (1 = strongly disagree, 5 = strongly agree): a. The app improved my perception in relevant applications to engineering decisions, by relating the flood profiles (scenario outputs) to actual port design and flood risk management cases. b. The app improved my perception of the main challenges that port managers face when addressing flood hazards that combine multiple hazards. c. After using the app, I feel more motivated and capable to study and design adaptation strategies that could enhance port resilience. d. Overall, the app improved my ability to connect theoretical flood models to real-world situations and management aspects. |
| Question’s Item | Mean (Pre ± SD) | Mean (Post ± SD) | Mean Δ (Post − Pre) | 95% CI (Diff) | t (Welch) | p (Welch) | U Statistic | p (Mann–Whitney) | Cohen’s d | Hedges’ g |
|---|---|---|---|---|---|---|---|---|---|---|
| a | 2.405 ± 1.259 | 4.471 ± 0.501 | 2.07 | [1.849, 2.281] | 18.86 | <0.001 *** | 21,280.5 | <0.001 | 2.156 | 2.151 |
| b | 2.641 ± 1.212 | 4.484 ± 0.501 | 1.84 | [1.634, 2.052] | 17.38 | <0.001 *** | 21,017 | <0.001 | 1.988 | 1.983 |
| c | 4.052 ± 0.785 | 4.817 ± 0.436 | 0.76 | [0.622, 0.908] | 10.54 | <0.001 *** | 17,979.5 | <0.001 | 1.205 | 1.202 |
| d | 3.922 ± 0.815 | 4.510 ± 0.502 | 0.59 | [0.436, 0.741] | 7.6 | <0.001 *** | 16,366.5 | <0.001 | 0.869 | 0.867 |
| e | 1.974 ± 0.811 | 4.118 ± 0.835 | 2.14 | [1.959, 2.329] | 22.79 | <0.001 *** | 22,329 | <0.001 | 2.606 | 2.599 |
| f | 2.386 ± 1.095 | 3.980 ± 0.823 | 1.59 | [1.377, 1.813] | 14.4 | <0.001 *** | 19,959 | <0.001 | 1.647 | 1.642 |
| g | 2.569 ± 1.117 | 4.078 ± 0.815 | 1.51 | [1.290, 1.730] | 13.51 | <0.001 *** | 19,612.5 | <0.001 | 1.544 | 1.54 |
| h | 3.144 ± 1.325 | 4.392 ± 0.661 | 1.25 | [1.012, 1.484] | 10.43 | <0.001 *** | 18,036.5 | <0.001 | 1.192 | 1.189 |
| i | 2.288 ± 1.201 | 4.379 ± 0.726 | 2.09 | [1.868, 2.315] | 18.43 | <0.001 *** | 21,225.5 | <0.001 | 2.108 | 2.102 |
| j | 1.889 ± 0.929 | 4.490 ± 0.502 | 2.6 | [2.433, 2.769] | 30.48 | <0.001 *** | 22,824 | <0.001 | 3.485 | 3.477 |
| k | 4.065 ± 0.833 | 4.157 ± 0.744 | 0.09 | [−0.086, 0.269] | 1.01 | 0.312 (ns) | 12,273.5 | 0.432 (ns) | 0.116 | 0.116 |
| l | 3.065 ± 1.370 | 4.033 ± 0.798 | 0.97 | [0.715, 1.220] | 7.55 | <0.001 *** | 16,411 | <0.001 | 0.863 | 0.861 |
References
- Xu, L.; Cui, S.; Wang, X.; Tang, J.; Nitivattananon, V.; Ding, S.; Nguyen Nguyen, M. Dynamic Risk of Coastal Flood and Driving Factors: Integrating Local Sea Level Rise and Spatially Explicit Urban Growth. J. Clean. Prod. 2021, 321, 129039. [Google Scholar] [CrossRef]
- Zhang, W.; Liu, Y.; Tang, W.; Wang, W.; Liu, Z. Assessment of the Effects of Natural and Anthropogenic Drivers on Extreme Flood Events in Coastal Regions. Stoch. Environ. Res. Risk Assess. 2023, 37, 697–715. [Google Scholar] [CrossRef]
- Green, J.; Haigh, I.; Quinn, N.; Neal, J.; Wahl, T.; Wood, M.; Eilander, D.; de Ruiter, M.; Ward, P.; Camus, P. Review Article: A Comprehensive Review of Compound Flooding Literature with a Focus on Coastal and Estuarine Regions. EGUsphere 2024. [Google Scholar] [CrossRef]
- Alamanos, A.; Linnane, S. Systems Resilience to Floods: A Categorisation of Approaches. In Proceedings of the EGU General Assembly, Vienna, Austria, 27 May 2022. [Google Scholar]
- Ortega-Sánchez, M.; Moñino, A.; Bergillos, R.J.; Magaña, P.; Clavero, M.; Díez-Minguito, M.; Baquerizo, A. Confronting Learning Challenges in the Field of Maritime and Coastal Engineering: Towards an Educational Methodology for Sustainable Development. J. Clean. Prod. 2018, 171, 733–742. [Google Scholar] [CrossRef]
- Andreoni, V.; Richard, A. Exploring the Interconnected Nature of the Sustainable Development Goals: The 2030 SDGs Game as a Pedagogical Tool for Interdisciplinary Education. Int. J. Sustain. High. Educ. 2023, 25, 21–42. [Google Scholar] [CrossRef]
- Morote, Á.-F.; Olcina, J. Preventing through Sustainability Education: Training and the Perception of Floods among School Children. Sustainability 2024, 16, 4678. [Google Scholar] [CrossRef]
- Samaras, A.G.; Karambas, T.V. Modelling the Impact of Climate Change on Coastal Flooding: Implications for Coastal Structures Design. J. Mar. Sci. Eng. 2021, 9, 1008. [Google Scholar] [CrossRef]
- Dykstra, S.L.; Dzwonkowski, B. The Role of Intensifying Precipitation on Coastal River Flooding and Compound River-Storm Surge Events, Northeast Gulf of Mexico. Water Resour. Res. 2021, 57, e2020WR029363. [Google Scholar] [CrossRef]
- Vitousek, S.; Barnard, P.L.; Fletcher, C.H.; Frazer, N.; Erikson, L.; Storlazzi, C.D. Doubling of Coastal Flooding Frequency within Decades Due to Sea-Level Rise. Sci. Rep. 2017, 7, 1399. [Google Scholar] [CrossRef] [PubMed]
- Rahimi, R.; Tavakol-Davani, H.; Graves, C.; Gomez, A.; Fazel Valipour, M. Compound Inundation Impacts of Coastal Climate Change: Sea-Level Rise, Groundwater Rise, and Coastal Precipitation. Water 2020, 12, 2776. [Google Scholar] [CrossRef]
- Alamanos, A.; Koundouri, P. Science-Supported Policies to Achieve Environmental Sustainability under Crises. In Elgar Encyclopedia of Water Policy, Economics and Management; Edward Elgar Publishing: Cheltenham, UK, 2024; pp. 230–233. ISBN 978-1-80220-294-6. [Google Scholar]
- Alamanos, A.; Linnane, S. Drought Monitoring, Precipitation Statistics, and Water Balance with Freely Available Remote Sensing Data: Examples, Advances, and Limitations. In Proceedings of the Irish National Hydrology Conference 2021, Athlone, Ireland, 26–27 April 2021; pp. 1–13. [Google Scholar]
- Karamouz, M.; Taheri, M.; Khalili, P.; Chen, X. Building Infrastructure Resilience in Coastal Flood Risk Management. J. Water Resour. Plan. Manag. 2019, 145, 04019004. [Google Scholar] [CrossRef]
- Punt, E.; Monstadt, J.; Frank, S.; Witte, P. Beyond the Dikes: An Institutional Perspective on Governing Flood Resilience at the Port of Rotterdam. Marit. Econ. Logist. 2023, 25, 230–248. [Google Scholar] [CrossRef]
- Alamanos, A.; Papaioannou, G.; Varlas, G.; Markogianni, V.; Plataniotis, A.; Papadopoulos, A.; Dimitriou, E.; Koundouri, P. Designing Post-Fire Flood Protection Techniques for a Real Event in Central Greece. Prev. Treat. Nat. Disasters 2024, 3, 227–244. [Google Scholar] [CrossRef]
- Flood, S.; Cradock-Henry, N.A.; Blackett, P.; Edwards, P. Adaptive and Interactive Climate Futures: Systematic Review of ‘Serious Games’ for Engagement and Decision-Making. Environ. Res. Lett. 2018, 13, 063005. [Google Scholar] [CrossRef]
- Forrest, S.A.; Kubíková, M.; Macháč, J. Serious Gaming in Flood Risk Management. WIREs Water 2022, 9, e1589. [Google Scholar] [CrossRef]
- Alamanos, A.; Koundouri, P. Multi-Stakeholder Platforms for Water Management: Connecting Policy and Science. In Proceedings of the 10th Annual International Conference on Sustainable Development (ICSD), Online, 19–20 September 2022. [Google Scholar]
- Garcia, J.A.; Alamanos, A. A Multi-Objective Optimization Framework for Water Resources Allocation Considering Stakeholder Input. Environ. Sci. Proc. 2023, 25, 32. [Google Scholar] [CrossRef]
- Alamanos, A.; Kolokytha, E.; Mylopoulos, Y. A Science-to-Policy Capacity Development Process for Flood Protection. In Proceedings of the 41st IAHR World Congress, Singapore, 22–27 June 2025. [Google Scholar]
- Koundouri, P.; Alamanos, A.; Papaioannou, G.; Markogianni, V.; Varlas, G.; Basheer, M.; Nagkoulis, N.; Plataniotis, A.; Wise, R.M.; Xenarios, S.; et al. Post-Fire Flood Hazards: Integrated Modelling, Protection Measures, Economic and Policy Implications; Report; UN SDSN Global Climate Hub: Athens, Greece, 2025. [Google Scholar] [CrossRef]
- Hessels, A.J.; Robinson, B.; O’Rourke, M.; Begg, M.D.; Larson, E.L. Building Interdisciplinary Research Models Through Interactive Education. Clin. Transl. Sci. 2015, 8, 793–799. [Google Scholar] [CrossRef]
- Emiroglu, E.; Grant, C.A.; Sermet, Y.; Demir, I. Floodcraft: Game-Based Interactive Learning Environment Using Minecraft for Flood Mitigation for K-12 Education. Int. J. Disaster Risk Reduct. 2025, 130, 105799. [Google Scholar] [CrossRef]
- Demiray, B.Z.; Sermet, Y.; Yildirim, E.; Demir, I. FloodGame: An Interactive 3D Serious Game on Flood Mitigation for Disaster Awareness and Education. Environ. Model. Softw. 2025, 188, 106418. [Google Scholar] [CrossRef]
- Gomes, M.N.; Castro, M.d.A.R.A.; da Silva, P.G.C.; Giacomoni, M.H.; Mendiondo, E.M. Increasing Flood Awareness through Dam-Break Serious Games. Int. J. Disaster Risk Reduct. 2024, 108, 104543. [Google Scholar] [CrossRef]
- Meera, P.; McLain, M.L.; Bijlani, K.; Jayakrishnan, R.; Rao, B.R. Serious Game on Flood Risk Management. In Emerging Research in Computing, Information, Communication and Applications, Proceedings of the ERCICA: International Conference on Emerging Research in Computing, Information, Communication and Applications, Bangalore, India, 29–30 July 2016; Shetty, N.R., Prasad, N.H., Nalini, N., Eds.; Springer: New Delhi, India, 2016; pp. 197–206. [Google Scholar]
- Breuer, R.; Sewilam, H.; Nacken, H.; Pyka, C. Exploring the Application of a Flood Risk Management Serious Game Platform. Environ. Earth Sci. 2017, 76, 93. [Google Scholar] [CrossRef]
- Becu, N.; Amalric, M.; Anselme, B.; Beck, E.; Bertin, X.; Delay, E.; Long, N.; Marilleau, N.; Pignon-Mussaud, C.; Rousseaux, F. Participatory Simulation to Foster Social Learning on Coastal Flooding Prevention. Environ. Model. Softw. 2017, 98, 1–11. [Google Scholar] [CrossRef]
- Solarino, S.; Musacchio, G.; Eva, E.; Anzidei, M.; De Lucia, M. Inundation: A Gaming App for a Sustainable Approach to Sea Level Rise. Sustainability 2024, 16, 7987. [Google Scholar] [CrossRef]
- Lincke, D.; Hinkel, J.; Mengel, M.; Nicholls, R.J. Understanding the Drivers of Coastal Flood Exposure and Risk From 1860 to 2100. Earth’s Future 2022, 10, e2021EF002584. [Google Scholar] [CrossRef]
- Hague, B.S.; McGregor, S.; Jones, D.A.; Reef, R.; Jakob, D.; Murphy, B.F. The Global Drivers of Chronic Coastal Flood Hazards Under Sea-Level Rise. Earth’s Future 2023, 11, e2023EF003784. [Google Scholar] [CrossRef]
- Alamanos, A.; Nagkoulis, N.; Koundouri, P.; Nisiforou, O. Floodport: An Interactive Coastal Flood Risk Training App. In Proceedings of the 6th IAHR Young Professionals Congress; Higher Education and E-learning Session, Online. 3 December 2025. [Google Scholar]
- de la Torre, R.; Onggo, B.S.; Corlu, C.G.; Nogal, M.; Juan, A.A. The Role of Simulation and Serious Games in Teaching Concepts on Circular Economy and Sustainable Energy. Energies 2021, 14, 1138. [Google Scholar] [CrossRef]
- Adipat, S.; Laksana, K.; Busayanon, K.; Asawasowan, A.; Adipat, B. Engaging Students in the Learning Process with Game-Based Learning: The Fundamental Concepts. Int. J. Technol. Educ. 2021, 4, 542–552. [Google Scholar] [CrossRef]
- Gao, F.; Liu, L.; Hu, H.; Shi, Z.; Ren, D.; Wang, G.; Liang, X.; Sun, X. Tidal Evolution and Predictable Tide-Only Inundation Along the East Coast of the United States. J. Geophys. Res. Ocean. 2023, 128, e2022JC019410. [Google Scholar] [CrossRef]
- Dalinghaus, C.; Coco, G.; Higuera, P. Assessing Total Water Level Uncertainties Using Global Sensitivity Analysis. Authorea 2024. [Google Scholar] [CrossRef]
- Salarieh, B.; Ugwu, I.A.; Salman, A.M. Impact of Changes in Sea Surface Temperature Due to Climate Change on Hurricane Wind and Storm Surge Hazards across US Atlantic and Gulf Coast Regions. SN Appl. Sci. 2023, 5, 205. [Google Scholar] [CrossRef]
- Xu, H.; Hou, X.; Li, D.; Zheng, X.; Fan, C. Projections of Coastal Flooding under Different RCP Scenarios over the 21st Century: A Case Study of China’s Coastal Zone. Estuar. Coast. Shelf Sci. 2022, 279, 108155. [Google Scholar] [CrossRef]
- Rahaman, Z.A. Runoff Coefficient (C Value) Evaluation and Generation Using Rainfall Simulator: A Case Study in Urban Areas in Penang, Malaysia. Arab. J. Geosci. 2021, 14, 2168. [Google Scholar] [CrossRef]
- He, H.; Li, R.; Lyu, L.; Wu, Y.; Bilodeau, J.-P.; Wen, Y.; Xu, Z.; Pei, J. Rainfall Runoff Response Characteristics of Typical Urban Roads Based on Laboratory Tests. Transp. Res. Part D Transp. Environ. 2024, 135, 104402. [Google Scholar] [CrossRef]
- Wang, J.; Church, J.A.; Zhang, X.; Chen, X. Reconciling Global Mean and Regional Sea Level Change in Projections and Observations. Nat. Commun. 2021, 12, 990. [Google Scholar] [CrossRef] [PubMed]
- Nicholls, R.J.; Hanson, S.E.; Lowe, J.A.; Slangen, A.B.A.; Wahl, T.; Hinkel, J.; Long, A.J. Integrating New Sea-Level Scenarios into Coastal Risk and Adaptation Assessments: An Ongoing Process. WIREs Clim. Change 2021, 12, e706. [Google Scholar] [CrossRef]
- Nagkoulis, N.; Alamanos, A.; Koundouri, P.; Nisiforou, O. The Floodport App for Interactive Coastal Flooding Training. 2025. Available online: https://auebports.shinyapps.io/Floodport (accessed on 24 November 2025). [CrossRef]
- Muis, S.; Verlaan, M.; Winsemius, H.C.; Aerts, J.C.J.H.; Ward, P.J. A Global Reanalysis of Storm Surges and Extreme Sea Levels. Nat. Commun. 2016, 7, 11969. [Google Scholar] [CrossRef]
- Christodoulou, A.; Christidis, P.; Demirel, H. Sea-Level Rise in Ports: A Wider Focus on Impacts. Marit. Econ. Logist. 2019, 21, 482–496. [Google Scholar] [CrossRef]
- Chen, X.; Zhang, X.; Church, J.A.; Watson, C.S.; King, M.A.; Monselesan, D.; Legresy, B.; Harig, C. The Increasing Rate of Global Mean Sea-Level Rise during 1993–2014. Nat. Clim. Change 2017, 7, 492–495. [Google Scholar] [CrossRef]
- Gonick, L.; Smith, W. Cartoon Guide to Statistics; William Morrow Paperbacks: New York, NY, USA, 1993; ISBN 978-0-06-273102-9. [Google Scholar]
- Ruxton, G.D. The Unequal Variance T-Test Is an Underused Alternative to Student’s t-Test and the Mann–Whitney U Test. Behav. Ecol. 2006, 17, 688–690. [Google Scholar] [CrossRef]
- Welch, B.L. The Generalization of `Student’s’ Problem When Several Different Population Variances Are Involved. Biometrika 1947, 34, 28–35. [Google Scholar] [CrossRef]
- Everitt, B.S.; Skrondal, A. The Cambridge Dictionary of Statistics; Cambridge University Press: Cambridge, UK, 1998; ISBN 978-0-511-78761-4. [Google Scholar]
- Satterthwaite, F.E. An Approximate Distribution of Estimates of Variance Components. Biom. Bull. 1946, 2, 110–114. [Google Scholar] [CrossRef]
- Vogt, W.P.; Johnson, R.B. Dictionary of Statistics & Methodology: A Nontechnical Guide for the Social Sciences; SAGE: Thousand Oaks, CA, USA, 2011; ISBN 978-1-4129-7109-6. [Google Scholar]
- Zimmerman, D.W. A Note on Preliminary Tests of Equality of Variances. Br. J. Math. Stat. Psychol. 2004, 57, 173–181. [Google Scholar] [CrossRef]
- Virtanen, P.; Gommers, R.; Oliphant, T.E.; Haberland, M.; Reddy, T.; Cournapeau, D.; Burovski, E.; Peterson, P.; Weckesser, W.; Bright, J.; et al. SciPy 1.0: Fundamental Algorithms for Scientific Computing in Python. Nat. Methods 2020, 17, 261–272. [Google Scholar] [CrossRef]
- Schramkowski, G.P.; Schuttelaars, H.M.; de Swart, H.E. The Effect of Geometry and Bottom Friction on Local Bed Forms in a Tidal Embayment. Cont. Shelf Res. 2002, 22, 1821–1833. [Google Scholar] [CrossRef]
- Parker, B.B. Frictional Effects on the Tidal Dynamics of a Shallow Estuary (Compound, Surge-Tide, River-Tide Interaction)—ProQuest. Ph.D. Thesis, The Johns Hopkins University, Baltimore, MD, USA, 1984. [Google Scholar]
- Wolf, J. Interaction of Tide and Surge in a Semi-Infinite Uniform Channel, with Application to Surge Propagation down the East Coast of Britain. Appl. Math. Model. 1978, 2, 245–253. [Google Scholar] [CrossRef]
- NOAA (National Oceanic and Atmospheric Administration). MDL Storm Surge. Available online: https://slosh.nws.noaa.gov/ (accessed on 1 January 2026).
- NOAA National Weather Service. NOAA ATLAS 14 POINT PRECIPITATION FREQUENCY ESTIMATES. PF Map: Contiguous US. Available online: https://hdsc.nws.noaa.gov/pfds/pfds_map_cont.html?lat=39.9907&lon=-82.8770 (accessed on 26 October 2023).
- Stockdon, H.F.; Holman, R.A.; Howd, P.A.; Sallenger, A.H. Empirical Parameterization of Setup, Swash, and Runup. Coast. Eng. 2006, 53, 573–588. [Google Scholar] [CrossRef]
- EurOtop. EurOtop Manual: Wave Overtopping of Sea Defences and Related Structures. A Manual and Online Calculation Tool for Predicting Overtopping, Flood Volumes and Drainage Requirements for a Range of Seawall Types. 2021. Available online: https://www.gov.uk/flood-and-coastal-erosion-risk-management-research-reports/eurotop-manual-wave-overtopping-of-sea-defences-and-related-structures (accessed on 1 January 2026).
- EurOtop. EurOtop Manual: Wave Overtopping of Sea Defences and Related Structures. A Manual and Online Calculation Tool for Predicting Overtopping, Flood Volumes and Drainage Requirements for a Range of Seawall Types. 2018. Available online: https://www.overtopping-manual.com/assets/downloads/EurOtop_II_2018_Final_version.pdf (accessed on 24 November 2025).
- da Silveira, C.B.L.; Strenzel, G.M.R.; Maida, M.; Araújo, T.C.M.; Ferreira, B.P. Multiresolution Satellite-Derived Bathymetry in Shallow Coral Reefs: Improving Linear Algorithms with Geographical Analysis. J. Coast. Res. 2020, 36, 1247–1265. [Google Scholar] [CrossRef]
- FEMA. Guidance for Flood Risk Analysis and Mapping Coastal Wave Runup and Overtopping; FEMA: Washington, DC, USA, 2023; p. 49. [Google Scholar]
- FEMA. Guidance for Flood Risk Analysis and Mapping Coastal Wave Runup and Overtopping; FEMA: Washington, DC, USA, 2018; p. 34. [Google Scholar]
- Khanam, M.; Sofia, G.; Koukoula, M.; Lazin, R.; Nikolopoulos, E.I.; Shen, X.; Anagnostou, E.N. Impact of Compound Flood Event on Coastal Critical Infrastructures Considering Current and Future Climate. Nat. Hazards Earth Syst. Sci. 2021, 21, 587–605. [Google Scholar] [CrossRef]
- Leijnse, T.; van Ormondt, M.; Nederhoff, K.; van Dongeren, A. Modeling Compound Flooding in Coastal Systems Using a Computationally Efficient Reduced-Physics Solver: Including Fluvial, Pluvial, Tidal, Wind- and Wave-Driven Processes. Coast. Eng. 2021, 163, 103796. [Google Scholar] [CrossRef]
- Lauermann, F.; ten Hagen, I. Do Teachers’ Perceived Teaching Competence and Self-Efficacy Affect Students’ Academic Outcomes? A Closer Look at Student-Reported Classroom Processes and Outcomes. Educ. Psychol. 2021, 56, 265–282. [Google Scholar] [CrossRef]
- Shukla, S.Y.; Theobald, E.J.; Abraham, J.K.; Price, R.M. Reframing Educational Outcomes: Moving beyond Achievement Gaps. CBE—Life Sci. Educ. 2022, 21, es2. [Google Scholar] [CrossRef] [PubMed]
- Merayo, N.; Ayuso, A. Analysis of Barriers, Supports and Gender Gap in the Choice of STEM Studies in Secondary Education. Int. J. Technol. Des. Educ. 2023, 33, 1471–1498. [Google Scholar] [CrossRef]
- Alamanos, A.; Koundouri, P.; Papadaki, L.; Pliakou, T.; Toli, E. Water for Tomorrow: A Living Lab on the Creation of the Science-Policy-Stakeholder Interface. Water 2022, 14, 2879. [Google Scholar] [CrossRef]
- Roukounis, C.N.; Tsihrintzis, V.A. Climate Change Adaptation Strategies for Coastal Resilience: A Stakeholder Surveys. Water 2024, 16, 1519. [Google Scholar] [CrossRef]
- Ruijer, E. Designing and Implementing Data Collaboratives: A Governance Perspective. Gov. Inf. Q. 2021, 38, 101612. [Google Scholar] [CrossRef]
- Slinger, J.H.; Cunningham, S.C.; Kothuis, B.L.M. A Co-Design Method for Including Stakeholder Perspectives in Nature-Based Flood Risk Management. Nat. Hazards 2023, 119, 1171–1191. [Google Scholar] [CrossRef]





| Parameters/ Flooding Scenarios | P | c | |||||
|---|---|---|---|---|---|---|---|
| MILD (e.g., analogous to RCP2.6) | 0.5 m | 0.7 m | 0.001 m/mm, customizable | 80 mm | 0.01 m/yr | custom | 12 m, customizable |
| MODERATE (e.g., analogous to RCP4.5-6.0) | 0.5 m | 1.0 m | 0.001 m/mm, customizable | 110 mm | 0.015 m/yr | custom | 12 m, customizable |
| EXTREME (e.g., analogous to RCP8.5) | 0.5 m | 1.6 m | 0.001 m/mm, customizable | 150 mm | 0.018 m/yr | custom | 12 m, customizable |
| CUSTOM | custom | custom | custom | custom | custom | custom | 12 m, customizable |
| Parameters | Typical Values (Units) | Short Description |
|---|---|---|
| Tidal water level, | 0.1–1.0 m | Astronomical tide elevation above the reference datum at the time of the event. |
| Storm surge, | 0.5–1.5 m | Meteorologically induced sea-level rise caused by wind stress and atmospheric pressure during storms. |
| * Tide–surge interaction coefficient, λ | 0.05–0.2 m−1 | Empirical coefficient representing non-linear interaction between tide and storm surge; captures amplification or damping effects when both occur simultaneously. Smaller values indicate weaker relation (non-linearity). |
| Rainfall–runoff conversion factor, b | 0–0.002 m/mm | Coefficient converting precipitation depth into an equivalent water-level rise; reflects surface impermeability, drainage efficiency, and runoff behaviour (depending on catchment characteristics). It expresses the m of sea-level rise per mm of rainfall. In impervious surfaces (like concrete, as we have in a port) the rainfall becomes water-rise almost immediately (b~0.001), but with engineering measures this can be delayed. |
| Precipitation, P | 20–200 mm | Event-based rainfall contributing directly to water accumulation in the port area. |
| * Aggregated wave contribution, | A result of the model, in m | Empirical wave-related water-level contribution combining wave set-up, swash/run-up, and overtopping effects, estimated using established coastal engineering formulations. |
| * Significant wave height (offshore), | 1–5 m | Average wave height (trough to crest) of the tallest 33% of waves observed (storm waves). |
| * Peak wave period, T | 8–15 s | Wave period of the most energetic waves in a sea state, representing the dominant wave system (storm waves). |
| * Representative foreshore slope, β | 0, 0.01–0.1 (0–10%) | Typically, a dynamic value used in coastal engineering to express the slope. |
| * Shore damping factor for aggregated waves, δ | 0.1–0.9 (10–90%) | Wave energy is dissipated in shallow water and at the shoreline through several processes (bottom friction, wave breaking/surf zone dynamics, interaction with coastal defences, etc.). By increasing the δ wave loss, one can account for other engineering interventions, for example. |
| Sea-level rise rate, c | 0.01–0.02 m/year | Long-term mean rate of relative sea-level rise associated with climate change and regional vertical land motion. |
| Time horizon, t | 10–50 years | Planning or projection time period over which sea-level rise accumulates. |
| Port dock crest elevation, H | 5–20 m | Elevation of the port or dock structure used to assess flooding or overtopping occurrence. |
| Model Version/ Main Characteristics: | Beginner-Level | Intermediate-Level | Future Build (Not Included) |
|---|---|---|---|
| Model characteristics | Users have to adjust key parameters, including: high tides, storm surge, rainfall contribution, sea-level rise, and engineered features such as dock height. | Users have to adjust the “beginner-level” key parameters and additional ones, such as wave mechanisms, non-linearity between tides and surges, and “wave losses” due to potential measures or characteristics of the problem. | A multi process-based hydrodynamic solver |
| Simplifications/ omissions | Simple additive representation, purposely ignoring wave mechanisms and non-linearities. | Semi-empirical parameterizations of flood driving mechanisms and interactions among them, purposely ignoring parameter-specific simulations. | |
| Scope | Introduce the problem of a coastal (port) flood, in its over-simplified form to users with limited/no previous experience and knowledge | Intermediate, pedagogically oriented approximation, intended to demonstrate the sensitivity of model outcomes to more driving factors (e.g., waves, non-linearities, and engineering interventions). | Accurate model representing all potential driving factors of the flooding problem. |
Disclaimer/Publisher’s Note: The statements, opinions and data contained in all publications are solely those of the individual author(s) and contributor(s) and not of MDPI and/or the editor(s). MDPI and/or the editor(s) disclaim responsibility for any injury to people or property resulting from any ideas, methods, instructions or products referred to in the content. |
© 2026 by the authors. Licensee MDPI, Basel, Switzerland. This article is an open access article distributed under the terms and conditions of the Creative Commons Attribution (CC BY) license.
Share and Cite
Alamanos, A.; Koundouri, P.; Nagkoulis, N.; Nisiforou, O. The Floodport App for Interactive Coastal Flood Risk Training. Hydrology 2026, 13, 28. https://doi.org/10.3390/hydrology13010028
Alamanos A, Koundouri P, Nagkoulis N, Nisiforou O. The Floodport App for Interactive Coastal Flood Risk Training. Hydrology. 2026; 13(1):28. https://doi.org/10.3390/hydrology13010028
Chicago/Turabian StyleAlamanos, Angelos, Phoebe Koundouri, Nikolaos Nagkoulis, and Olympia Nisiforou. 2026. "The Floodport App for Interactive Coastal Flood Risk Training" Hydrology 13, no. 1: 28. https://doi.org/10.3390/hydrology13010028
APA StyleAlamanos, A., Koundouri, P., Nagkoulis, N., & Nisiforou, O. (2026). The Floodport App for Interactive Coastal Flood Risk Training. Hydrology, 13(1), 28. https://doi.org/10.3390/hydrology13010028

