Electrochemical Sensors Based on Track-Etched Membranes for Rare Earth Metal Ion Detection
Abstract
1. Introduction
2. Materials and Methods
2.1. Equipment and Materials
2.2. Membrane Preparation and Surface Treatment
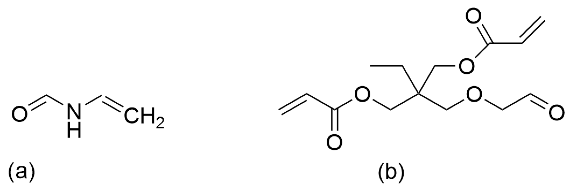
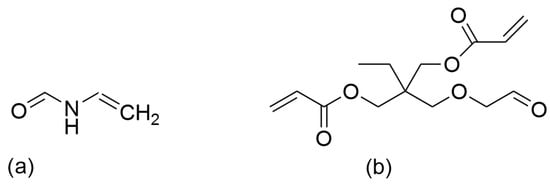
2.2.1. Surface Modification via UV-Initiated Grafting
2.2.2. Structural and Surface Characterization of Modified Membranes
2.2.3. Surface Morphology and Mechanical Properties of Membranes Using AFM
2.2.4. Nanoroughness Analysis
2.2.5. Contact Angle (CA) Measurement
2.3. Electrochemical Stripping Voltammetry
3. Results
3.1. PET TeM Surface Modification
3.1.1. Characterization of Surface Changes on PET TeMs
3.1.2. Morphological and Structural Characterization via SEM, AFM and TGA
3.2. Electrochemical Measurement
Voltammetric Properties of Eu3+, Gd3+, La3+, Ce3+ on Track-Etched Membrane Sensor Surfaces
4. Conclusions
Supplementary Materials
Author Contributions
Funding
Data Availability Statement
Acknowledgments
Conflicts of Interest
References
- Binnemans, K.; Jones, P.T.; Blanpain, B.; Van Gerven, T.; Yang, Y.; Walton, A.; Buchert, M. Recycling of rare earths: A critical review. J. Clean. Prod. 2013, 51, 1–22. [Google Scholar] [CrossRef]
- Wang, W.; Yang, Y.; Wang, D.; Huang, L. Toxic effects of rare earth elements on human health: A review. Toxics 2024, 12, 317. [Google Scholar] [CrossRef]
- Gwenzi, W.; Mangori, L.; Danha, C.; Chaukura, N.; Dunjana, N.; Sanganyado, E. Sources, behaviour, and environmental and human health risks of high-technology rare earth elements as emerging contaminants. Sci. Total Environ. 2018, 636, 299–313. [Google Scholar] [CrossRef]
- Ardini, F.; Soggia, F.; Rugi, F.; Udisti, R.; Grotti, M. Comparison of inductively coupled plasma spectrometry techniques for the direct determination of rare earth elements in digests from geological samples. Anal. Chim. Acta 2010, 678, 18–25. [Google Scholar] [CrossRef]
- Balaram, V. Rare earth elements: A review of applications, occurrence, exploration, analysis, recycling, and environmental impact. Geosci. Front. 2019, 10, 1285–1303. [Google Scholar] [CrossRef]
- De Vito, I.; Olsina, R.; Masi, A. Enrichment method for trace amounts of rare earth elements using chemofiltration and XRF determination. Fresenius’ J. Anal. Chem. 2000, 368, 392–396. [Google Scholar] [CrossRef]
- Adhikari, B.; Majumdar, S. Polymers in sensor applications. Prog. Polym. Sci. 2004, 29, 699–766. [Google Scholar] [CrossRef]
- Zawisza, B.; Pytlakowska, K.; Feist, B.; Polowniak, M.; Kita, A.; Sitko, R. Determination of rare earth elements by spectroscopic techniques: A review. J. Anal. At. Spectrom. 2011, 26, 2373–2390. [Google Scholar] [CrossRef]
- Brown, R.J.C.; Milton, M.J.T. Analytical techniques for trace element analysis: An overview. Trends Anal. Chem. 2005, 24, 266–274. [Google Scholar] [CrossRef]
- Brett, C.M.A. Electrochemical sensors for environmental monitoring: Strategy and examples. Pure Appl. Chem. 2001, 73, 1969–1977. [Google Scholar] [CrossRef]
- Li, X.Z.; Sun, Y.P. Evaluation of ionic imprinted polymers by electrochemical recognition of rare earth ions. Hydrometallurgy 2007, 87, 63–71. [Google Scholar] [CrossRef]
- Chen, J.; Bai, H.; Xia, J.; Li, Z.; Liu, P.; Cao, Q. Electrochemical sensor for detection of europium based on polycatechol and ion-imprinted sol–gel film modified screen-printed electrode. J. Electroanal. Chem. 2018, 824, 32–38. [Google Scholar] [CrossRef]
- Chen, J.; Bai, H.; Li, Y.; Zhang, J.; Liu, P.; Cao, Q. Stripping voltammetric determination of europium via ultraviolet-trigger synthesis of ion imprinted membrane. Sens. Actuators B Chem. 2018, 271, 329–335. [Google Scholar] [CrossRef]
- Zamani, H.A.; Mohammadhosseini, M.; Mohammadrezazadeh, S.H.; Faridbod, F.; Ganjali, M.R.; Meghdadi, S.; Davoodnia, A. Gadolinium(III) ion selective sensor using a newly synthesized Schiff’s base as a sensing material. Mater. Sci. Eng. C 2012, 32, 712–717. [Google Scholar] [CrossRef]
- Witek, E.; Pazdro, M.; Bortel, E. Mechanism for Base Hydrolysis of Poly(N-vinylformamide). J. Macromol. Sci. Part A 2007, 44, 503–507. [Google Scholar] [CrossRef]
- Pinschmidt, R. Polyvinylamine at last. J. Polym. Sci. Part A Polym. Chem. 2010, 48, 2257–2283. [Google Scholar] [CrossRef]
- Korolkov, V.; Mashentseva, A.A.; Guven, O.; Taltenov, A.A. UV-induced graft polymerization of acrylic acid in the sub-micronchannels of oxidized PET track-etched membrane. Nucl. Instrum. Methods Phys. Res. B 2015, 365, 419–423. [Google Scholar] [CrossRef]
- Tayebi, S.; Jahani, Y.; Arabi, H. Trimethylolpropane trimethacrylate functionalized polypropylene/polyhexene-1 blend with enhanced melt strength. Polym.-Plast. Technol. Mater. 2019, 59, 555–571. [Google Scholar] [CrossRef]
- Mousavi-Saghandikolaei, S.; Frounchi, M.; Dadbin, S.; Augier, S.; Passaglia, E.; Ciardelli, F. Modification of isotactic polypropylene by the free-radical grafting of 1,1,1-trimethylolpropane trimethacrylate. J. Appl. Polym. Sci. 2007, 104, 950–958. [Google Scholar] [CrossRef]
- Sütekin, S.D.; Demirci, S.; Kurt, S.B.; Güven, O.; Sahiner, N. Tunable fluorescent and antimicrobial properties of poly(vinyl amine) affected by the acidic or basic hydrolysis of poly(N-vinylformamide). J. Appl. Polym. Sci. 2021, 140, e51234. [Google Scholar] [CrossRef]
- Ganjali, M.R.; Norouzi, P.; Alizadeh, T.; Tadjarodi, A.; Hanifehpour, Y. Fabrication of a highly selective and sensitive Gd(III)-PVC membrane sensor based on N-(2-pyridyl)-N′-(4-nitrophenyl)thiourea. Sens. Actuators B Chem. 2007, 120, 487–493. [Google Scholar] [CrossRef]
- Mahanty, B.; Srivastava, A.; Verma, P.K.; Leoncini, A.; Huskens, J.; Verboom, W.; Mohapatra, P.K. A highly efficient sensor for europium(III) estimation using a poly(propylene imine) diaminobutane diglycolamide dendrimer as the ionophore: Potentiometric and photoluminescence studies. Microchem. J. 2024, 196, 109530. [Google Scholar] [CrossRef]
- Shamsipur, M.; Yousefi, M.; Hosseini, M.; Ganjali, M.R. Lanthanum(III) PVC membrane electrodes based on 1,3,5-trithiacyclohexane. Anal. Chem. 2002, 74, 5538–5543. [Google Scholar] [CrossRef] [PubMed]










| No. | Reaction Time (t, min) | N-VFA Concentration (C, %) | TMPTMA Concentration (C, %) | Distance from UV Lamp (L, cm) | Grafting Degree (%) | Pore Diameter After Modification (D, nm) |
|---|---|---|---|---|---|---|
| s0 | 0 | - | - | - | 334 ± 15 | |
| s1 | 60 | 2.5 | 5 | 10 | 2.64 ± 0.10 | 317 ± 12 |
| s2 | 60 | 5 | 5 | 10 | 8.5 ± 0.32 | 250 ± 8 |
| s3 | 60 | 10 | 5 | 10 | 12.93 ± 0.34 | 198 ± 13 |
| s4 | 60 | 15 | 5 | 10 | 12.54 ± 0.57 | 210 ± 17 |
| s5 | 60 | 20 | 5 | 10 | 11.06 ± 1.01 | 215 ± 6 |
| s6 | 15 | 10 | 5 | 10 | 1.06 ± 0.35 | 330 ± 9 |
| s7 | 30 | 10 | 5 | 10 | 3.68 ± 0.34 | 314 ± 11 |
| s8 | 45 | 10 | 5 | 10 | 8.69 ± 0.28 | 261 ± 17 |
| s9 | 60 | 10 | 5 | 10 | 12.93 ± 0.34 | 198 ± 13 |
| s10 | 90 | 10 | 5 | 10 | - | 108 ± 16 |
| s11 | 60 | 10 | 5 | 7.5 | - | 114 ± 10 |
| s12 | 60 | 10 | 5 | 10 | 12.93 ± 0.34 | 198 ± 13 |
| s13 | 60 | 10 | 5 | 12.5 | 1.1 ± 0.2 | 310 ± 9 |
| s14 | 60 | 10 | 5 | 15 | 0.9 ± 0.10 | 324 ± 14 |
| s15 | 60 | 10 | 5 | 20 | 0.28 ± 0.10 | 331 ± 11 |
| Sample | θ°, Water | γ, mJ/m2 | γp, mJ/m2 | γd, mJ/m2 |
|---|---|---|---|---|
| s1 | 38.78 ± 0.76 | 67.72 ± 0.39 | 21.31 ± 0.39 | 46.41 ± 0.39 |
| s2 | 48.51 ± 4.25 | 57.36 ± 2.54 | 20.1 ± 2.54 | 37.26 ± 2.54 |
| s3 | 41.96 ± 6.23 | 62.94 ± 3.49 | 22.24 ± 3.49 | 40.7 ± 3.49 |
| s4 | 42.75 ± 0.57 | 64.15 ± 0.31 | 20.38 ± 0.31 | 43.77 ± 0.31 |
| Sample | Added/(C = 10−3 M) | ∆I, mA | pH | Recovery (%) |
|---|---|---|---|---|
| Deionized water | Eu3+ | 0.09 | 3.5 | 100 |
| Gd3+ | 0.061 | 5–5.5 | 100 | |
| La3+ | 0.051 | 4 | 100 | |
| Ce3+ | 0.052 | 7 (n) | 100 | |
| Tap water | Eu3+ | 0.082 | 3.5 | 91 |
| Gd3+ | 0.063 | 5–5.5 | 103.3 | |
| La3+ | 0.047 | 4 | 92.2 | |
| Ce3+ | 0.04 | 7 (n) | 77 |
| Sensor Type | Target Ion | LOD (M) | Response Time | Reference |
|---|---|---|---|---|
| PET TeMs-g-N-PVFA-TMPTMA | Eu3+ | 1.0 × 10−6 (Eu3+) | 60 s | This study |
| Gd3+ | 6.0 × 10−6 (Gd3+) | |||
| La3+ | 2.0 × 10−4 (La3+) | |||
| Ce3+ | 2.5 × 10−5 (Ce3+) | |||
| Gd(III)-PVC membrane sensor | Gd3+ | 3.0 × 10−7 | 10 s | [21] |
| A PVC-based potentiometric sensor | Eu3+ | 5.0 × 10−7 | 10 s | [22] |
| PVC membrane electrodes based on 1,3,5-Trithiacyclohexane | La3+ | 5.0 × 10−6 | 10 s | [23] |
| Ion-imprinted sol–gel film/poly-catechol on SPE | Eu3+ | 1.0 × 10−7 | 300 s | [12] |
Disclaimer/Publisher’s Note: The statements, opinions and data contained in all publications are solely those of the individual author(s) and contributor(s) and not of MDPI and/or the editor(s). MDPI and/or the editor(s) disclaim responsibility for any injury to people or property resulting from any ideas, methods, instructions or products referred to in the content. |
© 2025 by the authors. Licensee MDPI, Basel, Switzerland. This article is an open access article distributed under the terms and conditions of the Creative Commons Attribution (CC BY) license (https://creativecommons.org/licenses/by/4.0/).
Share and Cite
Zhumanazar, N.; Yeszhanov, A.B.; Melnikova, G.B.; Zhumazhanova, A.T.; Chizhik, S.A.; Korolkov, I.V. Electrochemical Sensors Based on Track-Etched Membranes for Rare Earth Metal Ion Detection. ChemEngineering 2025, 9, 88. https://doi.org/10.3390/chemengineering9040088
Zhumanazar N, Yeszhanov AB, Melnikova GB, Zhumazhanova AT, Chizhik SA, Korolkov IV. Electrochemical Sensors Based on Track-Etched Membranes for Rare Earth Metal Ion Detection. ChemEngineering. 2025; 9(4):88. https://doi.org/10.3390/chemengineering9040088
Chicago/Turabian StyleZhumanazar, Nurdaulet, Arman B. Yeszhanov, Galina B. Melnikova, Ainash T. Zhumazhanova, Sergei A. Chizhik, and Ilya V. Korolkov. 2025. "Electrochemical Sensors Based on Track-Etched Membranes for Rare Earth Metal Ion Detection" ChemEngineering 9, no. 4: 88. https://doi.org/10.3390/chemengineering9040088
APA StyleZhumanazar, N., Yeszhanov, A. B., Melnikova, G. B., Zhumazhanova, A. T., Chizhik, S. A., & Korolkov, I. V. (2025). Electrochemical Sensors Based on Track-Etched Membranes for Rare Earth Metal Ion Detection. ChemEngineering, 9(4), 88. https://doi.org/10.3390/chemengineering9040088

