Variability of Mercury Concentrations Across Species, Brand, and Tissue Type in Processed Commercial Seafood Products
Abstract
1. Introduction
2. Methods
2.1. Study Design
2.2. Sample Preparation
2.3. Total Mercury Analysis
2.4. Comparison to Historical Data—FDA 1990–2012
2.5. Statistical Analysis
3. Results
3.1. Total Hg Concentrations in Commercial Fish and Shellfish
3.2. Comparison of tHg Concentrations to Federal Standards
3.3. Total Mercury Concentrations Varied by Brand and Meat Type
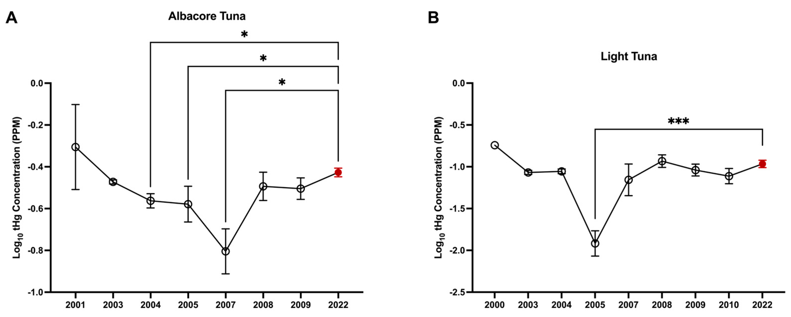
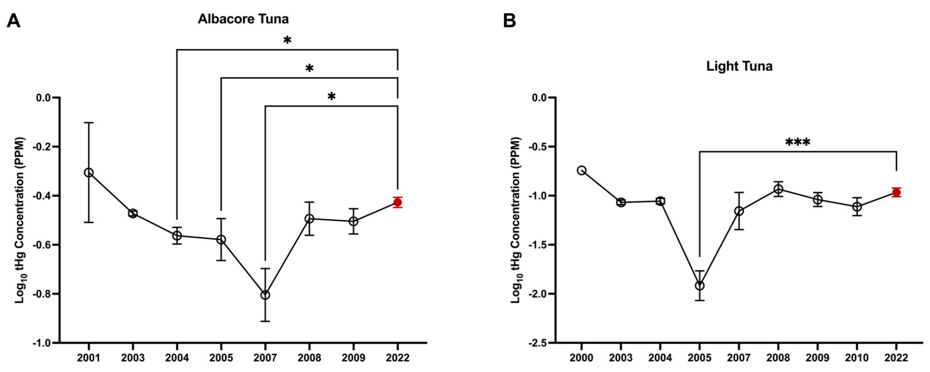
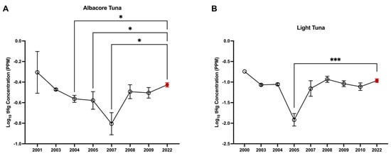
3.4. Comparison of tHg Concentrations to the FDA 1990–2012 Hg in Commercial Fish Survey
4. Discussion
Supplementary Materials
Author Contributions
Funding
Institutional Review Board Statement
Informed Consent Statement
Data Availability Statement
Acknowledgments
Conflicts of Interest
References
- WHO Mercury and Health. 2017. Available online: https://www.who.int/news-room/fact-sheets/detail/mercury-and-health (accessed on 18 February 2025).
- WHO 10 Chemicals of Public Health Concern. 2020. Available online: https://www.who.int/news-room/photo-story/detail/10-chemicals-of-public-health-concern (accessed on 18 February 2025).
- Beckers, F.; Rinklebe, J. Cycling of mercury in the environment: Sources, fate, and human health implications: A review. Crit. Rev. Environ. Sci. Technol. 2017, 47, 693–794. [Google Scholar] [CrossRef]
- Basic Information about Mercury|US EPA. Available online: https://www.epa.gov/mercury/basic-information-about-mercury (accessed on 18 February 2025).
- Tchounwou, P.B.; Ayensu, W.K.; Ninashvili, N.; Sutton, D. Review: Environmental exposure to mercury and its toxicopathologic implications for public health. Environ. Toxicol. 2003, 18, 149–175. [Google Scholar] [CrossRef]
- Wang, L.; Hou, D.; Cao, Y.; Ok, Y.S.; Tack, F.M.G.; Rinklebe, J.; O’Connor, D. Remediation of mercury contaminated soil, water, and air: A review of emerging materials and innovative technologies. Environ. Int. 2020, 134, 105281. [Google Scholar] [CrossRef]
- Albert, C.M.; Campos, H.; Stampfer, M.J.; Ridker, P.M.; Manson, J.E.; Willett, W.C.; Ma, J. Blood Levels of Long-Chain n–3 Fatty Acids and the Risk of Sudden Death. N. Engl. J. Med. 2002, 346, 1113–1118. [Google Scholar] [CrossRef]
- Huynh, M.D.; Kitts, D.D. Evaluating nutritional quality of pacific fish species from fatty acid signatures. Food Chem. 2009, 114, 912–918. [Google Scholar] [CrossRef]
- Simopoulos, A. Omega-3 fatty acids in health and disease and in growth and development. Am. J. Clin. Nutr. 1991, 54, 438–463. [Google Scholar] [CrossRef]
- Siscovick, D.S. Dietary Intake and Cell Membrane Levels of Long-Chain n-3 Polyunsaturated Fatty Acids and the Risk of Primary Cardiac Arrest. JAMA J. Am. Med. Assoc. 1995, 274, 1363. [Google Scholar] [CrossRef]
- Advice about Eating Fish|FDA. Available online: https://www.fda.gov/food/consumers/advice-about-eating-fish (accessed on 18 February 2025).
- World Health Organization; International Programme on Chemical Safety. Methylmercury; World Health Organization: Geneva, Switzerland, 1990; Available online: https://apps.who.int/iris/handle/10665/38082 (accessed on 18 February 2025).
- Myers, G.J.; Thurston, S.W.; Pearson, A.T.; Davidson, P.W.; Cox, C.; Shamlaye, C.F.; Cernichiari, E.; Clarkson, T.W. Postnatal exposure to methyl mercury from fish consumption: A review and new data from the Seychelles Child Development Study. NeuroToxicology 2009, 30, 338–349. [Google Scholar] [CrossRef]
- Oken, E.; Wright, R.O.; Kleinman, K.P.; Bellinger, D.; Amarasiriwardena, C.J.; Hu, H.; Rich-Edwards, J.W.; Gillman, M.W. Maternal Fish Consumption, Hair Mercury, and Infant Cognition in a U.S. Cohort. Environ. Health Perspect. 2005, 113, 1376–1380. [Google Scholar] [CrossRef]
- Trasande, L.; Landrigan, P.J.; Schechter, C. Public Health and Economic Consequences of Methyl Mercury Toxicity to the Developing Brain. Environ. Health Perspect. 2005, 113, 590–596. [Google Scholar] [CrossRef]
- Grandjean, P.; Murata, K.; Budtz-Jørgensen, E.; Weihe, P. Cardiac autonomic activity in methylmercury neurotoxicity: 14-year follow-up of a Faroese birth cohort. J. Pediatr. 2004, 144, 169–176. [Google Scholar] [CrossRef] [PubMed]
- Gardner, R.M.; Nyland, J.F.; Silva, I.A.; Maria Ventura, A.; Maria De Souza, J.; Silbergeld, E.K. Mercury exposure, serum antinuclear/antinucleolar antibodies, and serum cytokine levels in mining populations in Amazonian Brazil: A cross-sectional study. Environ. Res. 2010, 110, 345–354. [Google Scholar] [CrossRef] [PubMed]
- Goldman, L.R.; Shannon, M.W. The Committee on Environmental Health Technical Report: Mercury in the Environment: Implications for Pediatricians. Pediatrics 2001, 108, 197–205. [Google Scholar] [CrossRef]
- Toxicological Effects of Methylmercury; National Academies Press: Washington, DC, USA, 2000; p. 9899. [CrossRef]
- Global Mercury Assessment|UNEP-UN Environment Programme. Available online: https://www.unep.org/topics/chemicals-and-pollution-action/pollution-and-health/heavy-metals/mercury/global-mercury-2 (accessed on 18 February 2025).
- Naylor, R.L.; Kishore, A.; Sumaila, U.R.; Issifu, I.; Hunter, B.P.; Belton, B.; Bush, S.R.; Cao, L.; Gelcich, S.; Gephart, J.A.; et al. Blue food demand across geographic and temporal scales. Nat. Commun. 2021, 12, 5413. [Google Scholar] [CrossRef]
- Karimi, R.; Fitzgerald, T.P.; Fisher, N.S. A Quantitative Synthesis of Mercury in Commercial Seafood and Implications for Exposure in the United States. Environ. Health Perspect. 2012, 120, 1512–1519. [Google Scholar] [CrossRef]
- Mercury Levels in Commercial Fish and Shellfish (1990–2012)|FDA. Available online: https://www.fda.gov/food/environmental-contaminants-food/mercury-levels-commercial-fish-and-shellfish-1990-2012 (accessed on 18 February 2025).
- Blickem, E.R.; Bell, J.M.; Baumgartel, D.M.; Debeer, J. Review and Analysis of Tuna Recalls in the United States, 2002 through 2020. J. Food Prot. 2022, 85, 60–72. [Google Scholar] [CrossRef]
- Shamshak, G.L.; Anderson, J.L.; Asche, F.; Garlock, T.; Love, D.C. U.S. seafood consumption. J. World Aquac. Soc. 2019, 50, 715–727. [Google Scholar] [CrossRef]
- Burger, J.; Gochfeld, M. Mercury in canned tuna: White versus light and temporal variation. Environ. Res. 2004, 96, 239–249. [Google Scholar] [CrossRef]
- Kumar, G. Mercury Concentrations in Fresh and Canned Tuna: A Review. Rev. Fish. Sci. Aquac. 2018, 26, 111–120. [Google Scholar] [CrossRef]
- Gerstenberger, S.L.; Martinson, A.; Kramer, J.L. An evaluation of mercury concentrations in three brands of canned tuna. Environ. Toxicol. Chem. 2010, 29, 237–242. [Google Scholar] [CrossRef]
- Velasco-González, O.H.; Echavarría-Almeida, S.; Pérez-López, M.E.; Villanueva-Fierro, I. Contenido de mercurio y arsénico en atún y sardinas enlatadas mexicanas. Rev. Int. Contam. Ambient. 2001, 17, 31–35. [Google Scholar]
- EPA Method 7473 (SW-846): Mercury in Solids and Solutions by Thermal Decomposition, Amalgamation, and Atomic Absorption Spectrophotometry|US EPA. Available online: https://www.epa.gov/esam/epa-method-7473-sw-846-mercury-solids-and-solutions-thermal-decomposition-amalgamation-and (accessed on 18 February 2025).
- Belcher, S.M.; Guillette, M.P.; Robb, F.; Rock, K.D. Comparative assessment of blood mercury in American alligators (Alligator mississippiensis) from Coastal North Carolina and Florida. Ecotoxicology 2022, 31, 1137–1146. [Google Scholar] [CrossRef] [PubMed]
- O’Hara, R.; Kotze, J. Do not log-transform count data. Nat. Preced. 2010, 1, 118–122. [Google Scholar] [CrossRef]
- Guillette, T.C.; Jackson, T.W.; Guillette, M.; McCord, J.; Belcher, S.M. Blood concentrations of per- and polyfluoroalkyl substances are associated with autoimmune-like effects in American alligators from Wilmington, North Carolina. Front. Toxicol. 2022, 4, 1010185. [Google Scholar] [CrossRef]
- Rock, K.D.; Polera, M.E.; Guillette, T.C.; Starnes, H.M.; Dean, K.; Watters, M.; Stevens-Stewart, D.; Belcher, S.M. Domestic Dogs and Horses as Sentinels of Per- and Polyfluoroalkyl Substance Exposure and Associated Health Biomarkers in Gray’s Creek North Carolina. Environ. Sci. Technol. 2023, 57, 9567–9579. [Google Scholar] [CrossRef]
- Egeland, G.M.; Middaugh, J.P. Balancing Fish Consumption Benefits with Mercury Exposure. Science 1997, 278, 1904–1905. [Google Scholar] [CrossRef]
- Inskip, M.J.; Piotrowski, J.K. Review of the health effects of methylmercury. J. Appl. Toxicol. JAT 1985, 5, 113–133. [Google Scholar] [CrossRef]
- Clarkson, T.W. Human health risks from methylmercury in fish. Environ. Toxicol. Chem. 1990, 9, 957–961. [Google Scholar] [CrossRef]
- Dellinger, J.; Kmiecik, N.; Gerstenberger, S.; Ngu, H. Mercury Contamination of Fish in the Ojibwa Diet: I. Walleye Fillets and Skin-on Versus Skin-off Sampling. In Mercury as a Global Pollutant; Springer: Dordrecht, The Netherlands, 1995; pp. 69–76. [Google Scholar] [CrossRef]
- Torres, P.; Rodrigues, A.; Soares, L.; Garcia, P. Metal Concentrations in Two Commercial Tuna Species from an Active Volcanic Region in the Mid-Atlantic Ocean. Arch. Environ. Contam. Toxicol. 2016, 70, 341–347. [Google Scholar] [CrossRef]
- Teffer, A.K.; Staudinger, M.D.; Taylor, D.L.; Juanes, F. Trophic influences on mercury accumulation in top pelagic predators from offshore New England waters of the northwest Atlantic Ocean. Mar. Environ. Res. 2014, 101, 124–134. [Google Scholar] [CrossRef]
- Altringham, J.D.; Ellerby, D.J. Fish swimming: Patterns in muscle function. J. Exp. Biol. 1999, 202, 3397–3403. [Google Scholar] [CrossRef] [PubMed]
- Shadwick, R.E.; Katz, S.L.; Korsmeyer, K.E.; Knower, T.; Covell, J.W. Muscle dynamics in skipjack tuna: Timing of red muscle shortening in relation to activation and body curvature during steady swimming. J. Exp. Biol. 1999, 202, 2139–2150. [Google Scholar] [CrossRef] [PubMed]
- Bosch, A.C.; O’Neill, B.; Sigge, G.O.; Kerwath, S.E.; Hoffman, L.C. Heavy metals in marine fish meat and consumer health: A review. J. Sci. Food Agric. 2016, 96, 32–48. [Google Scholar] [CrossRef]
- Piras, P.; Bella, A.; Cossu, M.; Fiori, G.; Sanna, A.; Chessa, G. A representative sampling of tuna muscle for mercury control. Ital. J. Food Saf. 2020, 9, 9055. [Google Scholar] [CrossRef]
- De Almeida Rodrigues, P.; Ferrari, R.G.; Dos Santos, L.N.; Conte Junior, C.A. Mercury in aquatic fauna contamination: A systematic review on its dynamics and potential health risks. J. Environ. Sci. 2019, 84, 205–218. [Google Scholar] [CrossRef]
- Vieira, H.; Bordalo, M.; Morgado, F.; Soares, A.; Arbeu, S. Mercury content in the white and dark muscle of Skipjack tuna (Katsuwonus pelamis) along the canning process: Implications to the consumers. J. Food Compos. Anal. 2017, 56, 67–72. [Google Scholar] [CrossRef]
- Morel, F.M.M.; Kraepiel, A.M.L.; Amyot, M. The Chemical Cycle and Bioaccumulation of Mercury. 2003. Available online: https://www.annualreviews.org/doi/abs/10.1146/annurev.ecolsys.29.1.543 (accessed on 18 February 2025).
- Shimshack, J.; Ward, M.; Beatty, T. Mercury advisories: Information, education, and fish consumption. J. Environ. Econ. Manag. 2007, 53, 158–179. [Google Scholar] [CrossRef]
- Tseng, C.-M.; Ang, S.-J.; Chen, Y.-S.; Shiao, J.-C.; Lamborg, C.H.; He, X.; Reinfelder, J.R. Bluefin tuna reveal global patterns of mercury pollution and bioavailability in the world’s oceans. Proc. Natl. Acad. Sci. USA 2021, 118, e2111205118. [Google Scholar] [CrossRef]
- U.S. Food & Drug Adminstration. FDA Total Diet Study (TDS): Results. FDA 2022. Available online: https://www.fda.gov/food/fda-total-diet-study-tds/fda-total-diet-study-tds-results (accessed on 18 February 2025).
- Streets, D.G.; Horowitz, H.M.; Zifeng, L.; Leonard, L.; Colin, T.P.; Sunderland, E.M. Global and regional trends in mercury emissions and concentrations, 2010–2015. Atmos. Environ. 2019, 201, 417–427. [Google Scholar] [CrossRef]



Disclaimer/Publisher’s Note: The statements, opinions and data contained in all publications are solely those of the individual author(s) and contributor(s) and not of MDPI and/or the editor(s). MDPI and/or the editor(s) disclaim responsibility for any injury to people or property resulting from any ideas, methods, instructions or products referred to in the content. |
© 2025 by the authors. Licensee MDPI, Basel, Switzerland. This article is an open access article distributed under the terms and conditions of the Creative Commons Attribution (CC BY) license (https://creativecommons.org/licenses/by/4.0/).
Share and Cite
Rock, K.D.; Bhoothapuri, S.; Lassiter, E.; Segedie, L.; Belcher, S.M. Variability of Mercury Concentrations Across Species, Brand, and Tissue Type in Processed Commercial Seafood Products. Toxics 2025, 13, 426. https://doi.org/10.3390/toxics13060426
Rock KD, Bhoothapuri S, Lassiter E, Segedie L, Belcher SM. Variability of Mercury Concentrations Across Species, Brand, and Tissue Type in Processed Commercial Seafood Products. Toxics. 2025; 13(6):426. https://doi.org/10.3390/toxics13060426
Chicago/Turabian StyleRock, Kylie D., Shriya Bhoothapuri, Emanuel Lassiter, Leah Segedie, and Scott M. Belcher. 2025. "Variability of Mercury Concentrations Across Species, Brand, and Tissue Type in Processed Commercial Seafood Products" Toxics 13, no. 6: 426. https://doi.org/10.3390/toxics13060426
APA StyleRock, K. D., Bhoothapuri, S., Lassiter, E., Segedie, L., & Belcher, S. M. (2025). Variability of Mercury Concentrations Across Species, Brand, and Tissue Type in Processed Commercial Seafood Products. Toxics, 13(6), 426. https://doi.org/10.3390/toxics13060426

