Abstract
This study presents a comprehensive Quantitative Microbial Risk Assessment (QMRA) for Escherichia coli in northeastern Greece’s riverine and deltaic aquatic systems, evaluating potential human health risks from recreational water exposure. The analysis integrates seasonal microbiological monitoring data—E. coli, total coliforms, enterococci, Salmonella spp., Clostridium perfringens (spores and vegetative forms), and physicochemical parameters (e.g., pH, temperature, BOD5)—across multiple sites. A beta-Poisson dose–response model within a Monte Carlo simulation framework (10,000 iterations) was applied to five exposure scenarios, simulating varying ingestion volumes for different population groups. Median annual infection risks ranged from negligible to high, with several locations (e.g., Mandra River, Konsynthos South, and Delta Evros) surpassing the World Health Organization (WHO)’s benchmark of 10−4 infections per person per year. A Gradient Boosting Regressor (GBR) model was developed to enhance predictive capacity, demonstrating superior accuracy metrics. Permutation Importance analysis identified enterococci, total coliforms, BOD5, temperature, pH, and seasons as critical predictors of E. coli concentrations. Additionally, sensitivity analysis highlighted the dominant role of ingestion volume and E. coli levels across all scenarios and sites. These findings support the integration of ML-based tools and probabilistic modelling in water quality risk governance, enabling proactive public health strategies in vulnerable or high-use recreational zones.
Keywords:
QMRA; public health; E. coli; dose–response model; Monte Carlo; river water; deltas; health risk; pathogens 1. Introduction
Water quality is fundamental for human well-being and societal development, as highlighted by the UN’s Sustainable Development Goals (SDGs) for 2030, which stress the importance of protecting water resources and preventing pollution for various human activities [,,]. Waterborne pathogenic microorganisms continue to pose a significant threat to public health globally, causing widespread enteric and diarrheal diseases, with a notable impact on vulnerable populations. The Global Burden of Disease study estimates that diarrheal diseases, which are strongly associated with inadequate water and sanitation infrastructure, caused 1.3 million deaths globally in 2015, including 0.5 million children under five [,]. Τhe United States records an estimated 4.3–16.4 million cases of acute gastroenteritis linked to public water systems annually, leading to thousands of hospitalizations and substantial economic costs [].
Escherichia coli and enterococci serve as key indicators of fecal contamination in aquatic ecosystems, although it is recognized that no single indicator can perfectly predict the presence of all pathogens. Recreational activities in water are a major source of waterborne infections, with fecal pollution being the primary cause. E. coli is considered a reliable indicator due to its high concentration in mammalian feces, though its relationship with pathogen presence can be influenced by factors like dilution and water flow [,]. Beyond their role as quality indicators, pathogenic and antimicrobial-resistant strains of E. coli are also of growing concern within the One Health framework, as they can act as vectors for antimicrobial resistance genes (ARGs) [,,].
In Greece, existing studies on aquatic ecosystems often focus on physicochemical parameters and lack systematic, long-term monitoring of microbial pathogen loads [,,,,,,,,,,,,]. While some recent studies have reported the presence of E. coli in various surface waters, most of the findings are fragmented. A large-scale study on coastal waters in Eastern Macedonia and Thrace (EMT) confirmed that E. coli levels largely comply with European standards for “Excellent” quality [,,,].
QMRA is a four-phase process used to evaluate microbial risks in various media, including food and water [,,,]. The first step, hazard identification, involves identifying pathogens that may pose a health risk, along with physical conditions that influence their presence []. This is followed by exposure assessment, which quantifies the pathogenic agent in the exposure medium, considering factors like contamination sources and environmental processes.
The dose–response modelling phase integrates data from previous stages using mathematical tools and predictive models to estimate the probability of infection []. Finally, risk characterization combines all information to provide a comprehensive qualitative and quantitative risk assessment. This approach is widely used, with regulatory bodies like the European Food Safety Authority (EFSA) employing it for predictive risk analysis [].
E. coli is a key indicator of purity in various aquatic ecosystems, including recreational waters, where its presence is monitored under directives like 2006/7/EC. This directive sets acceptable thresholds for E. coli concentrations, with an “Excellent” rating requiring levels below 250 CFU/100 mL, and “Good” or “Sufficient” ratings allowing up to 500 CFU/100 mL [].
The main objective of this study was to perform a comprehensive Quantitative Microbial Risk Assessment (QMRA) for Escherichia coli in the riverine and deltaic ecosystems of Northeastern Greece. Specifically, we aimed to (i) quantify the probability of infection under different ingestion scenarios using Monte Carlo simulations; (ii) evaluate spatiotemporal variations in microbial water quality and their association with physicochemical parameters; and (iii) develop predictive models using Machine Learning (Gradient Boosting Regressor and Random Forest Regressor) to identify key environmental drivers of microbial risk. By integrating traditional QMRA with these emerging computational methodologies, this work presents an innovative framework for environmental health risk assessment. This framework contributes to enhanced water safety management by comparing the findings with existing European Directive (2006/7/EC) thresholds and providing data-driven policy recommendations for integrating risk assessment into water quality management and public health protection in the region.
2. Materials and Methods
2.1. Study Area and Sampling Campaign
The study was conducted in the geomorphologically diverse region of EMT, which is characterized by a mix of mountainous and coastal areas. This region includes the southern mountainous mass of the Rhodope mountain range, coastal lowlands, and major rivers. The EMT contains a variety of sensitive ecosystems, including cross-border rivers and wetlands protected under international conventions like Ramsar. Extended ecological and geographic information, including Natura 2000 sites, Ramsar wetlands, and detailed site descriptions, is provided in Supplementary Material S1.
Twelve inland and coastal sampling sites were selected across the Regional Units of Rhodopi and Xanthi, located near ecologically significant zones such as Lake Vistonida and the Kompsatos River (Figure 1). A total of 48 water samples were collected across four seasons (summer, autumn, winter, and spring) between 2022 and 2023. The selected locations were chosen as they are representative of diverse aquatic ecosystems, such as rivers and deltas, and allow for consistent seasonal monitoring.
Figure 1.
Sampling area and sampling points (two points on the map appear as one because they are very close).
At each site, field measurements and respective laboratory analyses were performed to assess a series of microbiological and physicochemical parameters, including E. coli, enterococci, Clostridium perfringens, pH, temperature, BOD5, and Salmonella spp. All sampling and analytical procedures followed standardized protocols to ensure data reliability.
2.2. Microbiological and Physicochemical Analyses
Microbial water quality indicators included Escherichia coli, enterococci, total coliforms, Clostridium perfringens (spores and vegetative forms), and Salmonella spp. Physicochemical parameters included pH, temperature, and biochemical oxygen demand (BOD5). Enumeration of E. coli was performed using membrane filtration and chromogenic agar following ISO 9308-1:2014. Enterococci were quantified according to ISO 7899-2:2000. Detection of Salmonella spp. was conducted via selective enrichment and biochemical confirmation based on ISO 19250:2010. Clostridium perfringens spores and vegetative forms were detected using culture-based methods standardized for anaerobic bacteria. Physicochemical analyses followed standard protocols for water quality assessment [,,,,]. Results were expressed as colony-forming units (CFU/100 mL) or log-transformed values when appropriate. Quality control included duplicate analyses, blanks, and reference standards. (Full microbiological and physicochemical protocols, including media, reagents, incubation conditions, and confirmation steps, are detailed in Supplementary Material S2).
2.3. Data Analysis and Modelling
Descriptive statistics were calculated for all parameters, with normality tested via the Kolmogorov–Smirnov test. We used non-parametric methods where appropriate. Seasonal and spatial variations were evaluated with the Kruskal–Wallis test, and Spearman’s rank correlation coefficient was used to assess relationships between microbiological indicators and environmental variables [,,].
We applied two supervised ML models, Random Forest Regressor (RFR) and Gradient Boosting Regressor (GBR), to predict E. coli concentrations based on environmental and microbiological inputs []. A 10-fold cross-validation strategy was implemented to ensure robust model performance []. The models were evaluated using standard metrics such as Root Mean Squared Error (RMSE), Mean Absolute Error (MAE), Mean Absolute Percentage Error (MAPE), and Coefficient of determination (R2) [,] (Supplementary Material S3. One-sample Kolmogorov–Smirnov test and modelling parameters as extracted from the Microsoft Azure Studio Classic). The performance of the best-performing models was interpreted using the Permutation Importance Method (PIM) [,,]. PIM assesses the importance of each feature by measuring the drop in a model’s predictive performance when the values of a specific feature are randomly shuffled. This method provides a direct and reliable estimation of the influence of each variable on the model’s output. Unless stated otherwise, all statistical tests were performed at a significance level of 0.05.
Unless stated otherwise, statistical tests were performed at a significance level 0.05. All statistical analysis were performed by SPSS v.23 statistical software (SPSS, Chicago, IL, USA), Microsoft Excel and Microsoft Machine Learning Studio (https://learn.microsoft.com/en-us/azure/machine-learning/overview-what-is-azure-machine-learning?view=azureml-api-2; accessed on 1 March 2025).
2.4. QMRA Framework
QMRA comprises four stages (https://qmrawiki.org/node/8; accessed on 1 March 2025) to estimate the probability of infection associated with microbial hazards in a defined population. It includes four essential stages described above: hazard identification, exposure assessment, dose–response modelling, and risk characterization []. Each component was systematically applied in the current study for Escherichia coli in surface waters used for recreational activities in river deltas and sampling points of the current research [,].
2.4.1. Hazard Identification
The first step of the QMRA framework involved identifying E. coli as the primary pathogen of concern, given its global prevalence in recreational waters and its dual role as a fecal contamination indicator and a potential pathogen. We assumed that a proportion of E. coli strains could be pathogenic, based on literature estimates suggesting that 0.005% to 0.1% of strains in surface water may be infectious to humans [,,]. This selection was also supported by the results of our previous study on recreational waters in the coastal areas of EMT []. The use of E. coli is consistent with its role as a key quality indicator in EU Water Directives.
2.4.2. Exposure Assessment
Exposure assessment quantifies the frequency, magnitude, and contact route with the microbial hazard. In this study, exposure scenarios were designed to reflect varying levels of incidental ingestion during recreational activities. Five ingestion volumes were modelled, representing different age groups and activities:
10 mL: Low-exposure scenario: incidental ingestion during wading, splashing, or minimal contact activities;
15 mL: Elderly-specific scenario: moderate incidental ingestion typical among elderly bathers engaging in limited immersion;
20 mL: Children-specific scenario: typical ingestion for young children playing near shore with frequent hand-to-mouth contact;
30 mL: Moderate-exposure scenario: partial head immersion during swimming or recreational activities;
50 mL: High-exposure scenario: full head immersion or active swimming where mouth and nose are submerged repeatedly.
The ingested dose was calculated using the following Equation (1):
where
C = E. coli concentration (CFU/mL);
V = ingested volume (mL);
IF = infectious fraction of E. coli (assumed 0.01).
The assumed E. coli infectious fraction (IF = 0.01) corresponds to conservative estimates from relevant literature on the proportion of potentially pathogenic E. coli in surface waters [,,,]. This parameter was also probabilistically treated in the Monte Carlo simulation to encapsulate respective uncertainty.
2.4.3. Dose–Response Modelling
The probability of infection following exposure was modelled using the Beta-Poisson dose–response model (Equation (2)), a well-established approach for microbial pathogens []:
where
Pinf = probability of infection per exposure;
D = ingested dose (CFU);
α, β = model parameters (pathogen-specific).
Parameters were adopted from [] for enteropathogenic E. coli:
α = 0.21, β = 2.11 × 106 [].
2.4.4. Risk Characterization
In this stage, the cumulative annual probability of infection per year is estimated, encompassing the yearly number (n) of exposure events per year [] Equation (3):
where n varied depending on the assumed frequency of recreational water use (e.g., 10–50 exposures/year), we used a Monte Carlo simulation with 10,000 iterations to account for the natural variability and uncertainty of the input parameters, such as E. coli loads, ingestion volumes, and the infectious fraction [,,]. This probabilistic analysis produced risk estimates with confidence intervals, enabling scenario-based comparisons. Furthermore, a sensitivity analysis was conducted using Partial Rank Correlation Coefficients (PRCC) to identify the most influential parameters affecting risk outcomes. These included the ingestion volume, E. coli concentration, and the infectious fraction [,,,]. This analysis, combined with an uncertainty analysis, helped us assess the robustness of our estimated contamination risks. Figure 2 depicts the research framework developed and applied in the current study.
Figure 2.
Research flow diagram.
3. Results
3.1. Microbiological and Physicochemical Analyses and ML Approach
The normality of the main microbiological and physicochemical parameters was assessed using the Kolmogorov–Smirnov test. Results showed that temperature (p = 0.221) and pH (p = 0.981) followed a normal distribution (p > 0.05). Conversely, total coliforms (p = 0.003), E. coli (p = 0.001), enterococci (p < 0.001), and BOD5 (p = 0.022) did not meet the normality criterion (p < 0.05), indicating a significant deviation from a normal distribution. Since most variables did not follow a normal distribution, non-parametric statistical methods were applied in subsequent analyses (Supplementary Material S3).
Based on a set of N = 48 samples, descriptive statistics for all six parameters are presented, with spatiotemporal variability of physicochemical parameters further illustrated in the Supplementary Material S3. The mean temperature was 15.5 °C, ranging from 7.2 °C to 25.9 °C, while the mean pH was 7.49, ranging from 6.54 to 8.62. For the microbiological parameters, the median values were 400.0 CFU/100 mL for total coliforms, 78.5 CFU/100 mL for E. coli, and 54.5 CFU/100 mL for enterococci. These parameters exhibited high positive skewness, with most observations clustered at lower values but with significant variations up to maximum concentrations of 1300.0 CFU/100 mL for total coliforms and 500.0 CFU/100 mL for both E. coli and enterococci, indicating periods of higher contamination. The full descriptive statistics can be found in Table 1.
Table 1.
Descriptive statistics of temperature, pH, total coliforms, E. coli, enterococci and BOD5 (mg/L O2) in all sampling points of East Macedonia and Thrace from 2022 to 2023.
Microbiological indicators exhibited strong spatial and seasonal variability. E. coli concentrations ranged from 0 to 500 CFU/100 mL (median 78.5), with peaks during summer and autumn at sites downstream of agricultural and urban discharges. Enterococci concentrations (median 54.5 CFU/100 mL) followed similar patterns, while total coliforms were consistently higher, indicating diffuse fecal pollution.
A correlation heatmap (Figure 3) revealed strong positive associations between the microbial indicators, with E. coli showing robust correlations with both enterococci (ρ = 0.60) and total coliforms (ρ = 0.57). The Spearman analysis provided additional insights, showing a moderate positive correlation between temperature and all key microbial indicators (total coliforms, E. coli, and enterococci), which is consistent with the understanding that warmer temperatures enhance microbial growth in aquatic systems (Full descriptive statistics and seasonal/spatial analyses are provided in Supplementary Material S4). Additionally, pH showed a positive correlation with temperature (r = 0.50) but a negative correlation with the spore-forming forms of C. perfringens, suggesting that higher pH values may be associated with lower concentrations of these microorganisms. The strong positive relationship between E. coli and enterococci (p = 0.60) reinforces their complementary use in assessing microbial burden and potential health risks.
Figure 3.
Heatmap of correlations between microbiological and physicochemical parameters. * Correlation is significant at the 0.05 level.
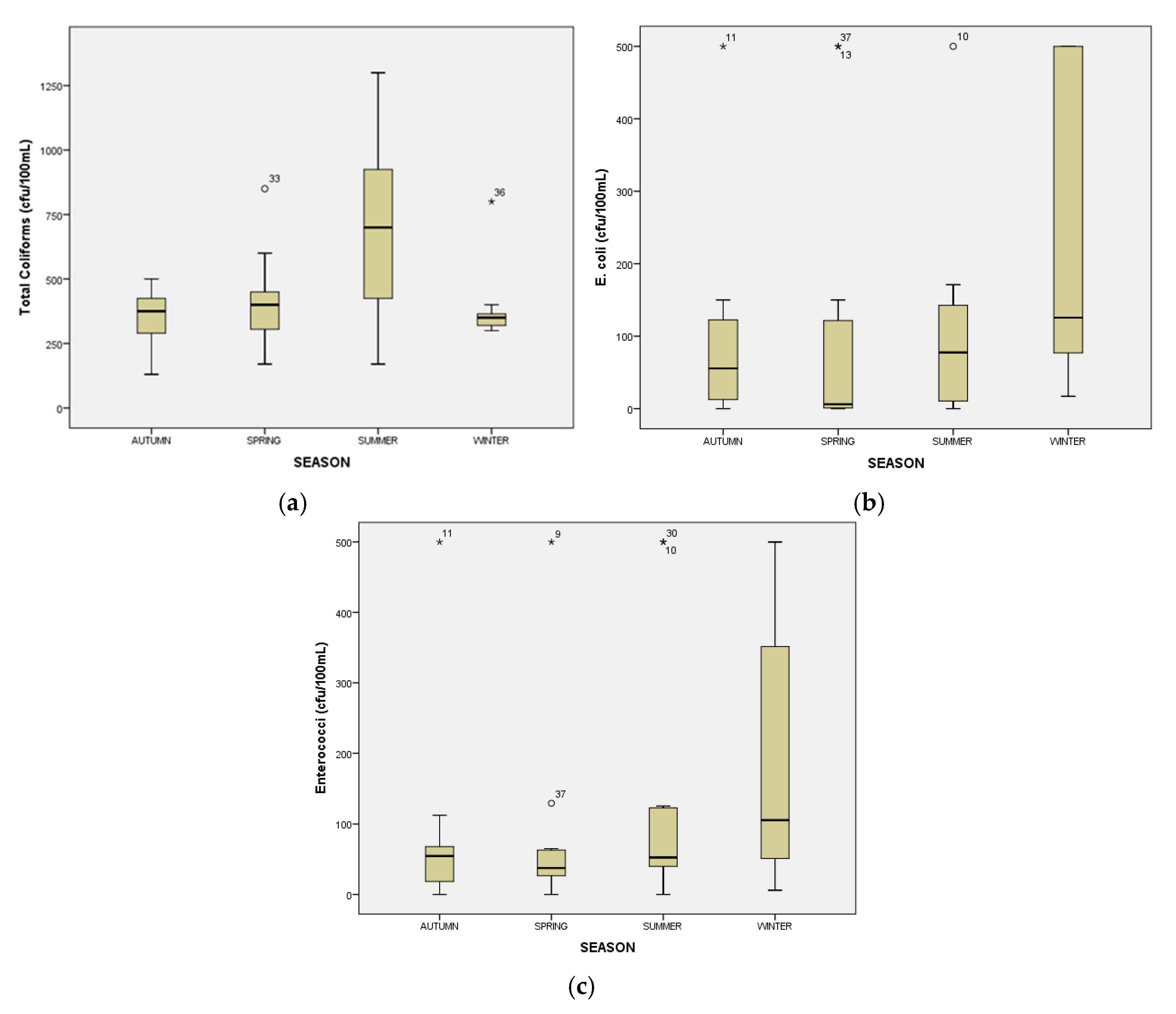
Figure 4 and Figure 5 below illustrate the seasonal and spatial variation in total coliforms, E. coli, and enterococci concentrations between seasons and sampling points. Seasonal variations were observed only for total coliforms, as the applied Kruskal–Wallis test showed statistically significant differences among seasons [H(4) = 15.85, p = 0.001]. In contrast, no statistically significant seasonal differences were found for E. coli [H(4) = 5.363, p = 0.147] or enterococci [H(4) = 4.132, p = 0.248]. Furthermore, the Kruskal–Wallis test indicated no statistically significant differences in total coliforms, E. coli, or enterococci concentrations among all sampling locations [H(12) = 14.969, p = 0.184; H(12) = 12.169, p = 0.351; H(12) = 16.354, p = 0.128, respectively].
Figure 4.
Seasonal variation in total coliforms (a), E. coli (b) and enterococci (c). (The box lines indicate the lower and upper quartiles; the central line is the median. The whiskers show the minimum and maximum values. Circles represent outliers, and asterisks represent extreme outliers).

Figure 5.
Spatial variation in total coliforms (a), E. coli (b) and enterococci (c). (The box lines indicate the lower and upper quartiles; the central line is the median. The whiskers show the minimum and maximum values.
A significant seasonal variation was observed, with the highest concentrations in summer, indicating an increased microbial load during this period. The seasonal variation was statistically significant (Kruskal–Wallis test, p = 0.001).
While total coliforms showed a clear seasonal trend, the variations in E. coli and enterococci concentrations were not statistically significant (p = 0.147 and p = 0.248, respectively).
Concentrations for all three indicators showed a heterogeneous distribution across sampling areas, with noticeable fluctuations and extreme outliers, particularly for E. coli and total coliforms. In contrast, enterococci had a more compact distribution with less variability. For example, while the Kosynthos River showed significant variation in E. coli, Vistonida Lake had isolated high values of total coliforms, possibly indicating specific local contamination sources. However, these spatial differences were not statistically significant, reinforcing the need for further investigation with an enhanced sampling design (Figure 5).
Table 2 corresponds to modelling metrics results after 10-fold Cross-Validation. Both models demonstrate excellent performance, with very high R2 values (close to 1), indicating that they explain a substantial proportion of the variation in E. coli concentration.
Table 2.
ML models’ performance metrics (10-fold cross-validation).
The RFR model exhibits a slightly better R2 (0.9321 vs. 0.9113), which explains a larger proportion of the variation in E. coli concentration. However, the GBR has significantly lower RMSE and MAE, indicating smaller mean prediction errors. The MAPE and SMAPE values are also lower for GBR. This suggests that, although RF may have a slightly better overall “explanation” of the variation (R2), GBR is more accurate in its absolute and percentage error predictions.
Permutation Importance is a model-agnostic technique that measures a feature’s importance by observing how much the model’s performance decreases when the feature’s values are randomly shuffled. A higher importance score indicates the feature is more critical for the model’s predictive accuracy. Figure 6 visualizes the relative importance of each variable for the GBR model in predicting E. coli concentration.
Figure 6.
Permutation Importance for GBR.
For the GBR model used to predict E. coli concentrations, the analysis revealed that enterococci, total coliforms, and BOD5 were the most influential variables, indicating their substantial impact on the model’s predictive accuracy. Conversely, Temperature and pH exhibited lower relative importance, although they still contributed positively to the model. Variables such as Season, Salmonella spp., Clostridium perfringens (vegetative and spores), and Year had negligible or near-zero contributions, and thus did not significantly influence the model’s predictive ability.
3.2. QMRA Framework
Figure 7 depicts the probability of infection per exposure event for E. coli across all sampling locations and five ingestion scenarios (10–50 mL). It considers minimum, mean, and maximum risk estimates, which were derived using Monte Carlo simulations based on site-specific E. coli concentrations and the dose–response model recommended for enteric pathogens.
Figure 7.
Minimum, mean and maximum infection risk by scenario and location.
The probability of infection per exposure event to the pathogenic microorganism Escherichia coli was estimated for five realistic scenarios of recreational water ingestion:
10 mL: Low-exposure scenario (e.g., splashing or incidental contact);
15 mL: Elderly-specific scenario (moderate intake with increased susceptibility);
20 mL: Children-specific scenario (higher susceptibility and behaviour-specific intake);
30 mL: Moderate-exposure scenario (e.g., swimming);
50 mL: High-exposure scenario (e.g., swimmers with full head immersion).
Combined with the observed E. coli concentrations at 12 sampling locations, the calculated probability of infection systematically increases with the volume of ingestion (dose dependence), confirming the importance of the total ingested microbial dose in infection occurrence. In low-exposure scenarios (10–15 mL), the average probability of infection ranges between 0.05 and 0.30, with lower values in locations such as Nestos Delta–Galani and Vistonida Lake. In contrast, in moderate to high-exposure scenarios (30–50 mL), the probabilities of infection in areas such as Konsynthos South, Mandra River, and Erhthropotamos–Byzantio Bridge exceed 0.8–0.95, indicating a near certainty of infection per exposure.
Taking into account the WHO reference limit of 1 case of infection per 10,000 people per year (10−4), it is evident that even in the most favourable scenario (10 mL), the calculated risk exceeds the acceptable limit by multiple orders of magnitude.
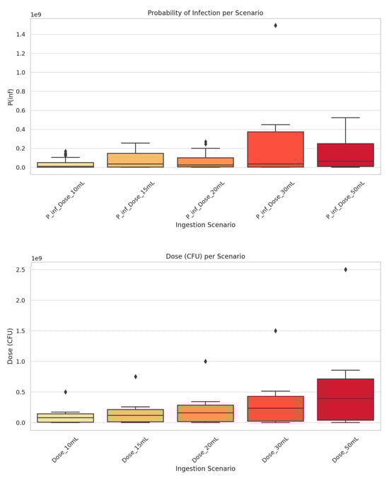
Τhe double boxplot diagram (Figure 8) illustrates the distribution of microbial doses of E. coli in CFU and their corresponding infection probabilities (Pinf) for the five ingestion scenarios examined in the QMRA. The doses were derived from the product of the E. coli concentration (C), the ingestion volume (V), and the virulence fraction (IF = 0.01). Concurrently, the infection probability was calculated based on the beta-Poisson dose–response model with parameters α = 0.21 and β = 2.11 × 106, as per []. (Supplementary Material S5 presents all the numerical performance of the dose–response relationship for five exposure scenarios).
Figure 8.
E. coli dose–response results per scenario *. * 10 mL: Low-exposure scenario (e.g., splashing or incidental contact), 15 mL: Elderly-specific scenario (moderate intake with increased susceptibility), 20 mL: Children-specific scenario (higher susceptibility and behaviour-specific intake), 30 mL: Moderate-exposure scenario (e.g., swimming), 50 mL: High-exposure scenario (e.g., swimmers with full head immersion). Rhombus symbols indicate outliers.
The box plots illustrate the distribution of microbial risk and ingested dose across different scenarios. The probability of infection gradually increases with the ingested volume; for the 30 mL and 50 mL scenarios, the median values are notably higher, with some reaching or exceeding a 40% chance of infection. While smaller volumes (10–20 mL) carry a lower risk, the probability of infection remains non-negligible.
The analysis also confirms that the ingested microbial dose directly correlates with the volume consumed. In the 50 mL scenario, the highest values reached or surpassed 2.5 × 109 CFU, indicating a potentially massive number of ingested pathogens per exposure. This confirms the fundamental role that the ingested volume plays in determining microbial risk (Supplementary Material S6. Heatmap of mean annual infection risk by scenario and location).
The Infectious Fraction (PRCC_IF) is the most decisive parameter, with consistently high coefficients (0.79–0.82) across all scenarios and regions (Supplementary Material S7. PRCC per scenario and location). This means the variability in E. coli’s ability to infect significantly affects the model’s sensitivity. E. coli concentration (PRCC_Ecoli) also plays a role, with values ranging from 0.37 to 0.41, showing slight variations between scenarios and locations. This variability consistently and substantially contributes to the final risk assessment.
A remarkable effect is recorded regarding the amount of ingestion. Its values are comparable to E. coli concentration, demonstrating that exposure habits or behaviours (e.g., age, activity) substantially contribute to the microbial risk. Figure 9 represents the uncertainty analysis of the estimated annual risk of E. coli infection, derived from 10,000 Monte Carlo simulation runs for each exposure scenario (10–50 mL) and each sampling location. The representation is performed through the mean and the 95% confidence interval (95% CI), thus specifying both the central estimate and the range of uncertainty of the results.
Figure 9.
Uncertainty analysis of annual infection risk across ingestion scenarios and sampling locations.
Uncertainty analysis demonstrated a transparent and predictable increase in microbial risk with greater water consumption, confirming the theoretical relationship described by the dose–response model. In the low exposure scenarios (10–15 mL), the average annual risk in most areas was above the WHO acceptable limit (1 × 10−4), indicating a manageable yet non-negligible level of risk. In contrast, moderate and high exposure scenarios (30–50 mL) recorded a significant risk increase, with several areas exceeding the 1 × 10−3 limit and, in some cases, reaching or exceeding 1 × 10−2 (a contamination rate of >1% per year).
The areas of Mandra River, Kompsatos bridge–Polynanthos, Konsynthos south, and Erhthropotamos–Byzantio bridge emerged as critical microbial risk zones, consistently showing elevated values even in intermediate ingestion scenarios (20–30 mL). These areas also displayed the widest confidence intervals (95% CI), reflecting greater data variability.
4. Discussion
4.1. Seasonal and Spatial Dynamics of Microbial Indicators
This study confirms the well-established seasonal pattern of E. coli distribution in Greek swimming beaches, with peak concentrations observed during the summer months, which is attributed to local climate and anthropogenic pressures from tourism and agriculture [,]. Our findings also revealed notable seasonal patterns in microbial contamination. Clostridium perfringens spores were most frequent during colder months, consistent with their persistence under low-temperature conditions. In contrast, Salmonella spp. was detected sporadically in riverine samples, indicating potential but limited pathogenic contamination. Overall, the highest E. coli concentrations were observed in summer, likely reflecting the combined effects of elevated temperatures, reduced river flows, and increased human activity, which together contribute to an increased microbial load during this period. While the presence of Salmonella spp. was detected in three seasons, our analysis found no stable predictive relationship with other microbial indicators [,,,]. The positive statistical association observed between E. coli and Clostridium perfringens suggests these indicators share common contamination sources. Conversely, the lack of a statistically significant correlation between E. coli and Enterococci concentrations suggests that distinct local or intra-seasonal factors are more likely to drive the fluctuations of these two key indicators.
Permutation importance analysis from ML models revealed enterococci as the most critical factor for predicting pathogen concentration, while the significant seasonal variation in total coliforms highlights a strong link between environmental variables, such as temperature, and microbial load []. The detection of E. coli and total coliforms in the Nestos and Evros deltaic ecosystems underscores the role of coastal waters as potential reservoirs for transmitting antimicrobial resistance genes (ARGs) and pathogenicity [,,,], a matter of global health significance. While our study did not perform molecular detection of pathogenic genes, the confirmed presence of E. coli in these ecosystems, which are influenced by agricultural and livestock activities, supports the hypothesis of population exposure to pathogenic strains []. These findings emphasize the implications of the One Health framework, as contamination in riverine environments reflects the interconnectedness of human, animal, and environmental health, highlighting that water resources are critical reservoirs and transmission routes for bacteria, including those with antibiotic resistance [,].
Beyond water, sand can act as a pathogen reservoir, particularly in summer, due to higher temperatures. This aligns with our findings of increased microbial loads, supporting the hypothesis that the summer season poses an elevated risk from both water and beach environments [,]. E. coli’s ability to form biofilms and resist stress enhances its survival in sand, contributing to overall microbial load through re-suspension [,,,].
Spatiotemporal analyses of fecal indicators highlight the critical role of bathing water and sediments. Their concentrations are influenced by environmental factors like rainfall and temperature [,]. Therefore, future predictive models should account for microorganism dispersion in sand, as it serves as a secondary reservoir, especially in deltaic areas. Prior research has used regression models to predict E. coli concentrations, and the increasing use of ensemble machine ML, like those in our study (RFR and GBR), underscores their superiority for microbial quality prediction [,]. Our findings align with other studies that have shown associations between E. coli concentrations and variables like turbidity, precipitation, temperature, and land use, indicating a convergence of results regarding the key environmental drivers of contamination []. While the median BOD5 value was generally low (3.0 mg/L O2), the observed range (up to 12.1 mg/L O2) suggests occasional episodes of increased organic load. Crucially, the moderate statistical correlation between BOD5 and both E. coli and Enterococci concentrations confirms that the dynamics of organic pollution significantly influence fecal contamination dynamics in the riverine system.
Our study confirms that areas with intense human activity, such as agricultural and tourist use, show significantly higher E. coli concentrations, reinforcing the link between microbial load and land use []. The complex dispersal and survival of E. coli in aquatic environments remain a challenge, highlighting the need for integrated models that account for flow, sediment, and transport dynamics from various sources [,,,]. The findings also align with broader environmental challenges in Greece, as highlighted by the OECD, which points to the need for improved water quality monitoring, especially in areas affected by agriculture, urban runoff, and tourism []. This is particularly critical in floodplains, where the redistribution of microorganisms from diffuse sources can increase microbial load [,]. Our research supports the use of predictive models for decision-making, given the increasing vulnerability of the region to climate change.
The high predictive accuracy of our GBR model (R2 = 0.91, RMSE = 7.29) confirms the effectiveness of ML approaches for water quality prediction, consistent with previous studies [,,,,,,,,]. Regarding the predictor variables, the low importance scores for Salmonella spp. and Clostridium perfringens likely reflect their low prevalence in the sampled waters and their weak statistical correlations with E. coli in this dataset. These pathogens may originate from distinct sources or be driven by different environmental factors compared to E. coli, thereby limiting their utility as robust predictors in this modelling framework. Conversely, our Permutation Importance analysis identified temperature and seasonality as strong determinants of E. coli contamination, corroborating recent findings on the role of climatic variability and extreme rainfall events in shaping microbial water quality []. These findings suggest that microbiological concentrations are influenced by multiple factors beyond just geographical location.
4.2. QMRA and Prediction Perspectives for E. coli
Water quality is crucial for public health; the WHO reports that its improvement could reduce the global disease burden by approximately 4% []. Unsafe water is estimated to contribute to over 2.2 million deaths annually, with a high proportion among children. In the USA, waterborne infection cases are estimated to exceed seven million annually, with recreational water exposure ranking as a significant contributor []. Our study’s use of QMRA with Monte Carlo simulation aligns with best practices for addressing the inherent variability and uncertainty in risk assessment [,]. Our low-exposure scenario (10 mL) showed a mean annual infection probability of ~0.4%, which is notably lower than risk levels observed in a Norwegian study [,].
However, when benchmarked against the WHO reference limit of 1 infection per 10,000 people per year (10−4), our findings reveal a substantial microbial risk in certain water bodies and deltaic ecosystems, particularly with regard to recreational use such as swimming. The analysis further underscores the fundamental role of ingested volume in risk determination, as infection probability and microbial dose increased proportionally with exposure. Under the 50 mL scenario, estimated doses reached or exceeded 2.5 × 109 CFU, reflecting a potentially massive pathogen intake per exposure event. The consistently elevated values in scenarios above 30 mL highlight the urgent need for targeted mitigation strategies, especially in areas with persistently high E. coli concentrations.
Our higher-exposure scenarios (30–50 mL) recorded a high potential burden, with a mean annual infection probability approaching 11–13% and a maximum of 18% in some areas. This aligns with a meta-analysis showing a significantly increased risk of gastrointestinal infections from coastal water exposure, particularly for activities like swimming [,,,]. A comparison with a study in South Africa further highlights the variability of risk, with our lower-range values for the 10 mL scenario being similar to their “standard scenario,” while our higher-range values for the 30–50 mL scenarios approached or exceeded their “worst-case scenario” []. These differences underscore that risk levels vary significantly depending on geographical area, local microorganism concentrations, and exposure assumptions.
While the overall risk scale can vary depending on the specific pathogen and geographical location, our results are qualitatively consistent with other studies that have applied QMRA to assess E. coli risks in aquatic environments in the USA, Peru, and Uganda [,,,,,,]. Furthermore, our study confirms the international trend of applying and optimizing ML models for environmental predictions, a process that is crucial for understanding and addressing the transboundary transport of microbial pollutants [,,]. The high predictive accuracy of our GBR model (R2 = 0.91) aligns with recent research, reinforcing the effectiveness of these algorithms for water quality management []. The Permutation Importance analysis identified temperature and seasonality as key factors influencing E. coli contamination, a finding corroborated by recent research on the effects of extreme rainfall [].
Beyond identifying environmental drivers and seasonal patterns, the spatial analysis also highlighted critical risk zones with significant regulatory implications. The areas of Mandra River, Kompsatos bridge–Polynanthos, Konsynthos south, and Erhthropotamos–Byzantio bridge emerged as critical microbial risk zones, consistently showing elevated values even in intermediate ingestion scenarios (20–30 mL). These areas also displayed the widest confidence intervals (95% CI), reflecting greater data variability. A comparison with EU Directive 2006/7/EC revealed potential discrepancies: certain areas classified as “Excellent Quality” based on E. coli concentrations may still show an estimated probability of contamination >1 × 10−3, especially under high consumption scenarios. This discrepancy could lead to a false sense of security and erode public trust in official water quality assessments. This finding underscores the limitations of relying solely on concentration-based standards without considering exposure pathways and dose–response relationships. Regulatory bodies should reevaluate existing guidelines and integrate QMRA to provide a more holistic understanding of risk. Additionally, transparent communication strategies are needed to explain the potential for higher risk under specific exposure conditions, even in waters classified as “good quality” by current metrics. Ultimately, this approach will guide more targeted interventions and resource allocation, focusing on reducing actual infection risk rather than just meeting indicator thresholds.
Our findings also shed light on the paradox in Greece, where water bodies in protected Natura 2000 areas do not always show better ecological status, indicating potential gaps in existing legal directives [,,]. This highlights the need for studies like ours, which provide quantitative, directly applicable data for policymakers. Finally, our results confirm the international trend of applying and optimizing ML models for environmental predictions, a process that is crucial for understanding and addressing the transboundary transport of microbial pollutants [,,].
4.3. Limitations
While this study captures the current potential health risks in the area, a more in-depth analysis would provide a comprehensive understanding of all risks and corresponding mitigation strategies. In the coming year, state and research institutions should integrate the systematic study of pathogens (including protozoa and viruses) detected in aquatic ecosystems. This should be coupled with the detection of physicochemical properties and heavy metals in samples and sediments of the study area. Furthermore, an additional assessment of plant and animal capital and the subsoil will offer a clearer picture of the area’s contamination. Future studies would benefit from a more targeted sampling strategy, specifically designed to capture immediate responses to distinct hydrological events like heavy rainfall or flood episodes, thereby providing a more granular understanding of their impact.
A methodological limitation of this study is the reliance on a single composite sample per site during each seasonal campaign (n = 48 total). This approach, necessitated by the extensive geographical scope, inherently limits the assessment of short-term temporal variability in microbial concentrations, particularly within highly dynamic riverine and deltaic ecosystems. We recommend that future risk assessments in this region integrate temporal field replicates to enhance the statistical robustness and resolution of the data.
Beyond farmers, land workers, and fishermen who contact surface waters in rivers, deltas, and recreational areas, we must also consider populations using swimming waters, seas, and rivers, as well as inbound tourists in the Region, especially during summer. Additionally, integrating more ML models can provide greater accuracy and reliability in future aquatic ecosystem quality studies when combined with risk assessment and management approaches. Therefore, quantifying these risks will lead to more representative mitigation measures and strategic protections for both local residents and tourists throughout the Region of EMT.
5. Conclusions
This study successfully demonstrated the presence and spatiotemporal variability of E. coli and other microbial indicators in the riverine and deltaic waters of Northeastern Greece. Utilizing an integrated framework of QMRA and ML, we developed a robust predictive model that identified key environmental drivers of contamination. Our permutation importance analysis highlighted that physicochemical parameters along with seasonal and geographical variations significantly affect microbial risk.
Our QMRA analysis revealed a significant, dose-dependent risk of infection from E. coli across all examined locations and scenarios. While some areas showed lower values, critical zones such as the Mandra River and the Kompsatos–Polynanthos bridge consistently exhibited a high probability of infection, even under intermediate exposure conditions. These findings confirm the fundamental role of ingested volume and microbial concentration in determining the final risk outcome, demonstrating that even low-volume exposure can lead to a non-negligible risk.
Based on our integrated research, we propose several actionable recommendations to enhance water quality management and protect public health. First, the identified critical microbial risk zones should be designated as priority areas for intensive and targeted monitoring. Secondly, we recommend the integration of predictive ML models into early warning systems to enable proactive risk management and timely public health advisories.
Finally, our findings reveal a significant discrepancy where areas classified as “Excellent Quality” by existing guidelines (e.g., EU Directive 2006/7/EC) can still present a substantial risk of contamination under realistic exposure scenarios. This highlights the limitations of relying solely on traditional criteria. We therefore recommend supplementing these qualitative criteria with QMRA-based approaches to achieve a more comprehensive, health-protective, and meaningful public health assessment. This integrated strategy would not only lead to more representative mitigation measures but also restore public trust by aligning official assessments with the actual health outcomes experienced by the population.
Supplementary Materials
The following supporting information can be downloaded at: https://www.mdpi.com/article/10.3390/toxics13100863/s1, Supplementary Material S1: Ecological and geographic information; Supplementary Material S2: Microbiological and physicochemical protocols; Supplementary Material S3: Modelling parameters as extracted from the Microsoft Azure Studio Classic for Regression machine learning algorithms; Supplementary Material S4: Temporal (a) and spatial (b) variability of physicochemical Parameters (pH, Temperature, BOD5) in all sampling locations; Supplementary Material S5: E. coli dose-response results per scenario; Supplementary Material S6: Heatmap of mean annual infection risk by scenario and location; Supplementary Material S7: Partial Rank Correlation Coefficients (PRCC) per scenario and location [,,,,].
Author Contributions
Conceptualization, A.V. and C.S.; methodology, E.G. and K.K.; software, C.S. and E.S.; formal analysis, E.S. and A.S.; investigation, E.N. and C.T.; data curation, C.V.; writing—original draft preparation, C.S. and T.C.K.; writing—review and editing, C.S., A.V. and E.B.; visualization, E.G. and A.S.; supervision, T.C.K.; project administration, E.B. All authors have read and agreed to the published version of the manuscript.
Funding
This research received no external funding.
Institutional Review Board Statement
Not applicable.
Informed Consent Statement
Not applicable.
Data Availability Statement
The data presented in this study are available on request from the corresponding author.
Acknowledgments
This work was supported by the master’s programme in “Food, Nutrition and Microbiome” of the Medical School, Democritus University of Thrace, Greece.
Conflicts of Interest
The authors declare no conflicts of interest.
References
- Angelakis, A.N.; Vuorinen, H.S.; Nikolaidis, C.; Juuti, P.S.; Katko, T.S.; Juuti, R.P.; Zhang, J.; Samonis, G. Water Quality and Life Expectancy: Parallel Courses in Time. Water 2021, 13, 752. [Google Scholar] [CrossRef]
- Alexakis, D.E. Linking DPSIR Model and Water Quality Indices to Achieve Sustainable Development Goals in Groundwater Resources. Hydrology 2021, 8, 90. [Google Scholar] [CrossRef]
- Angelakis, A.N.; Dercas, N.; Tzanakakis, V.A. Water Quality Focusing on the Hellenic World: From Ancient to Modern Times and the Future. Water 2022, 14, 1887. [Google Scholar] [CrossRef]
- Wang, H.; Naghavi, M.; Allen, C.; Barber, R.M.; Bhutta, Z.A.; Carter, A.; Casey, D.C.; Charlson, F.J.; Chen, A.Z.; Coates, M.M.; et al. Global, regional, and national life expectancy, all-cause mortality, and cause-specific mortality for 249 causes of death, 1980–2015: A systematic analysis for the Global Burden of Disease Study. Lancet 2015, 388, 1459–1544. [Google Scholar] [CrossRef]
- Brouwer, A.F.; Masters, N.B.; Eisenberg, J.N.S. Quantitative Microbial Risk Assessment and Infectious Disease Transmission Modeling of Waterborne Enteric Pathogens. Curr. Environ. Health Rep. 2018, 5, 293–304. [Google Scholar] [CrossRef]
- Stauber, C.E.; Wedgworth, J.C.; Johnson, P.; Olson, J.B.; Ayers, T.; Elliott, M.; Brown, J. Associations between Self-Reported Gastrointestinal Illness and Water System Characteristics in Community Water Supplies in Rural Alabama: A Cross-Sectional Study. PLoS ONE 2016, 11, e0148102. [Google Scholar] [CrossRef]
- Megan, L.; Moriarty, D.E.; Weaver, L.; Cookson, A.; Gilpin, B. Fecal indicator bacteria from environmental sources; strategies for identification to improve water quality monitoring. Water Res. 2020, 185, 116204. [Google Scholar] [CrossRef]
- Pachepsky, Y.A.; Shelton, D.R. Escherichia coli and Fecal Coliforms in Freshwater and Estuarine Sediments. Crit. Rev. Environ. Sci. Technol. 2011, 41, 1067–1110. [Google Scholar] [CrossRef]
- Anjum, M.F.; Schmitt, H.; Börjesson, S.; Berendonk, T.U.; Donner, E.; Stehling, E.G.; Boerlin, P.; Topp, E.; Jardine, C.; Li, X.; et al. The potential of using E. coli as an indicator for the surveillance of antimicrobial resistance (AMR) in the environment. Curr. Opin. Microbiol. 2021, 64, 152–158. [Google Scholar] [CrossRef]
- Patricia, M.C.; Huijbers, D.G.; Larsson, H.; Flach, C.F. Surveillance of antibiotic resistant Escherichia coli in human populations through urban wastewater in ten European countries. Environ. Pollut. 2020, 261, 114200. [Google Scholar] [CrossRef]
- Delgado-Blas, J.F.; Ovejero, C.M.; David, S.; Montero, N.; Calero-Caceres, W.; Garcillan-Barcia, M.P.; de la Cruz, F.; Muniesa, M.; Aanensen, D.M. Population genomics and antimicrobial resistance dynamics of Escherichia coli in wastewater and river environments. Commun. Biol. 2021, 4, 457. [Google Scholar] [CrossRef]
- Mouratidis, A.; Perivolioti, T.-M.; Vladenidis, P.; Nikolaidis, A.; Pantazopoulou, Z.; Papadopoulos, E.; Bobori, D.; Vergos, G.S.; Triantafyllou, A. The Contribution of Remote Sensing to the Development of an Observatory System for Integrated Management of the Coastal Zone: The Case Study of Central Macedonia, Greece. In Proceedings of the IGARSS 2022 IEEE International Geoscience and Remote Sensing Symposium, Kuala Lumpur, Malaysia, 17–22 July 2022; IEEE: New York, NY, USA; pp. 7091–7094. [Google Scholar]
- Vatitsi, K.; Siachalou, S.; Latinopoulos, D.; Kagalou, I.; Akratos, C.S.; Mallinis, G. Monitoring Water Quality Parameters in Small Rivers Using SuperDove Imagery. Water 2024, 16, 758. [Google Scholar] [CrossRef]
- Perivolioti, T.-M.; Zachopoulos, K.; Zioga, M.; Tompoulidou, M.; Katsavouni, S.; Kemitzoglou, D.; Terzopoulos, D.; Mouratidis, A.; Tsiaoussi, V. Monitoring the Impact of Floods on Water Quality Using Optical Remote Sensing Imagery: The Case of Lake Karla (Greece). Water 2024, 16, 3502. [Google Scholar] [CrossRef]
- Kalaitzidou, K.; Ntona, M.M.; Zavridou, E.; Tzeletas, S.; Patsialis, T.; Kallioras, A.; Zouboulis, A.; Virgiliou, C.; Mitrakas, M.; Kazakis, N. Water Quality Evaluation of Groundwater and Dam Reservoir Water: Application of the Water Quality Index to Study Sites in Greece. Water 2023, 15, 4170. [Google Scholar] [CrossRef]
- Ntona, M.M.; Chalikakis, K.; Busico, G.; Mastrocicco, M.; Kalaitzidou, K.; Kazakis, N. Application of Judgmental Sampling Approach for the Monitoring of Groundwater Quality and Quantity Evolution in Mediterranean Catchments. Water 2023, 15, 4018. [Google Scholar] [CrossRef]
- Stefanidis, K.; Dimitrellos, G.; Sarika, M.; Tsoukalas, D.; Papastergiadou, E. Ecological Quality Assessment of Greek Lowland Rivers with Aquatic Macrophytes in Compliance with the EU Water Framework Directive. Water 2022, 14, 2771. [Google Scholar] [CrossRef]
- Panagopoulos, Y.; Alexakis, D.E.; Skoulikidis, N.T.; Laschou, S.; Papadopoulos, A.; Dimitriou, E. Implementing the CCME Water Quality Index for the Evaluation of the Physicochemical Quality of Greek Rivers. Water 2022, 14, 2738. [Google Scholar] [CrossRef]
- Karamoutsou, L.; Psilovikos, A. Deep Learning in Water Resources Management: Τhe Case Study of Kastoria Lake in Greece. Water 2021, 13, 3364. [Google Scholar] [CrossRef]
- Mamassis, N.; Mazi, K.; Dimitriou, E.; Kalogeras, D.; Malamos, N.; Lykoudis, S.; Koukouvinos, A.; Tsirogiannis, I.; Papageorgaki, I.; Papadopoulos, A.; et al. OpenHi.net: A Synergistically Built, National-Scale Infrastructure for Monitoring the Surface Waters of Greece. Water 2021, 13, 2779. [Google Scholar] [CrossRef]
- Lyra, A.; Loukas, A.; Sidiropoulos, P.; Tziatzios, G.; Mylopoulos, N. An Integrated Modeling System for the Evaluation of Water Resources in Coastal Agricultural Watersheds: Application in Almyros Basin, Thessaly, Greece. Water 2021, 13, 268. [Google Scholar] [CrossRef]
- Pisinaras, V.; Paraskevas, C.; Panagopoulos, A. Investigating the Effects of Agricultural Water Management in a Mediterranean Coastal Aquifer under Current and Projected Climate Conditions. Water 2021, 13, 108. [Google Scholar] [CrossRef]
- Giakoumatos, S.D.V.; Skoulikidis, N.T.; Karavoltsos, S.; Sakellari, A.; Dimitriou, E. Spatiotemporal Variations in Water Physicochemical Status in Pinios River Catchment, at Eastern Mediterranean Region. Land 2024, 13, 1959. [Google Scholar] [CrossRef]
- Zoidou, M.; Kokkos, N.; Sylaios, G. Dynamics of Water, Salt, and Nutrients Exchange at the Inlets of Three Coastal Lagoons. J. Mar. Sci. Eng. 2022, 10, 205. [Google Scholar] [CrossRef]
- Tselemponis, A.; Stefanis, C.; Giorgi, E.; Kalmpourtzi, A.; Olmpasalis, I.; Tselemponis, A.; Adam, M.; Kontogiorgis, C.; Dokas, I.M.; Bezirtzoglou, E.; et al. Coastal Water Quality Modelling Using E. coli, Meteorological Parameters and Machine Learning Algorithms. Int. J. Environ. Res. Public Health 2023, 20, 6216. [Google Scholar] [CrossRef]
- Kokkinos, P.; Karayanni, H.; Meziti, A.; Feidaki, R.; Paparrodopoulos, S.; Vantarakis, A. Assessment of the Virological Quality of Marine and Running Surface Waters in NW Greece: A Case Study. Food Environ. Virol. 2018, 10, 316–326. [Google Scholar] [CrossRef]
- Papaioannou, A.; Rigas, G.; Papastergiou, P.; Hadjichristodoulou, C. Application of chemometric methods for assessment and modelling of microbiological quality data concerning coastal bathing water in Greece. J. Public Health Res. 2014, 3, 357. [Google Scholar] [CrossRef]
- Kourgialas, N.N. A critical review of water resources in Greece: The key role of agricultural adaptation to climate-water effects. Sci. Total Environ. 2021, 775, 145857. [Google Scholar] [CrossRef] [PubMed]
- Consultation, Geneva, Switzerland, 13–17 March 1995. Available online: https://apps.who.int/iris/handle/10665/58913 (accessed on 30 May 2025).
- Collineau, L.; Chapman, B.; Bao, X.; Sivapathasundaram, B.; Carson, C.A.; Fazil, A.; Reid-Smith, R.J.; Smith, B.A. A Farm-to-Fork Quantitative Risk Assessment Model for Salmonella Heidelberg Resistant to Third-Generation Cephalosporins in Broiler Chickens in Canada. Int. J. Food Microbiol. 2020, 330, 108559. [Google Scholar] [CrossRef] [PubMed]
- Application of Risk Analysis to Food Standards Issues: Report of the Joint FAO/WHO Expert. Available online: https://www.fao.org/4/ae922e/ae922e00.htm (accessed on 28 September 2025).
- Nakashima, A.A.; Gonzalez-Barron, U.; Bouchriti, N.; Hartnett, E.; Karunasagar, I.; Kiermeier, A.; Koutsoumanis, K.; Li, F.-Q.; Ross, T.; Schaffner, D.; et al. Microbiological Risk Assessment-Guidance for Food; Food & Agriculture Org.: Rome, Italy, 2021. [Google Scholar]
- Bevilacqua, A.; De Santis, A.; Sollazzo, G.; Speranza, B.; Racioppo, A.; Sinigaglia, M.; Corbo, M.R. Microbiological Risk Assessment in Foods: Background and Tools, with a Focus on Risk Ranger. Foods 2023, 12, 1483. [Google Scholar] [CrossRef]
- EFSA Panel on Biological Hazards. Scientific Opinion on the Development of a Risk Ranking Toolbox for the EFSA BIOHAZ Panel. EFSA J. 2015, 13, 3939. [Google Scholar] [CrossRef]
- Available online: https://eur-lex.europa.eu/legal-content/EN/TXT/?uri=CELEX%3A32006L0007&qid=1673547450307 (accessed on 30 May 2025).
- International Organisation for Standardisation. 2006. Available online: https://www.iso.org/standard/55832.html (accessed on 1 June 2025).
- International Organisation for Standardisation. 2000. Available online: https://www.iso.org/obp/ui/#iso:std:iso:7899:-2:ed-2:v1:en (accessed on 1 June 2025).
- Bezirtzoglou, E.; Dimitriou, D.; Panagiou, A.; Kagalou, I.; Demoliates, Y. Distribution of Clostridium perfringens in different aquatic environments in Greece. Microbiol. Res. 1994, 149, 129–134. [Google Scholar] [CrossRef]
- International Organisation for Standardisation. 2010. Available online: https://fliphtml5.com/skigm/anxu/basic (accessed on 1 June 2025).
- Baird, R.; Bridgewater, L. Standard Methods for the Examination of Water and Wastewater, 23rd ed.; American Public Health Association; American Water Works Association; Water Environment Federation: Washington, DC, USA, 2017. [Google Scholar]
- Lew, S.; Glińska-Lewczuk, K.; Burandt, P.; Grzybowski, M.; Obolewski, K. Fecal bacteria in coastal lakes: An anthropogenic contamination or natural element of microbial diversity? Ecol. Indic. 2023, 152, 110370. [Google Scholar] [CrossRef]
- Islam, M.M.M.; Hofstra, N.; Islam, M.A. The Impact of Environmental Variables on Faecal Indicator Bacteria in the Betna River Basin, Bangladesh. Environ. Process. 2017, 4, 319–332. [Google Scholar] [CrossRef]
- Smith, J.E.; Stocker, M.D.; Hill, R.L.; Pachepsky, Y.A. The Effect of Temperature Oscillations and Sediment Texture on Fecal Indicator Bacteria Survival in Sediments. Water Air Soil Pollut. 2019, 230, 270. [Google Scholar] [CrossRef]
- Ahmed, U.; Mumtaz, R.; Anwar, H.; Shah, A.A.; Irfan, R.; García-Nieto, J. Efficient Water Quality Prediction Using Supervised Machine Learning. Water 2019, 11, 2210. [Google Scholar] [CrossRef]
- Wang, A.Y.-T.; Murdock, R.J.; Kauwe, S.K.; Oliynyk, A.O.; Gurlo, A.; Brgoch, J.; Persson, K.A.; Sparks, T.D. Machine learning for materials scientists: An introductory guide toward best practices. Chem. Mater. 2020, 3, 4954–4965. [Google Scholar] [CrossRef]
- Mogos, R.I.; Petrescu, I.; Chiotan, R.A.; Cret, R.C.; Troacă, V.A.; Mogos, P.L. Greenhouse Gas Emissions and Green Deal in the European Union. Front. Environ. Sci. 2023, 11, 1141473. [Google Scholar] [CrossRef]
- Guy, S.H.; Kok, J.; Chandra, R.V.; Razavi, A.H.; Huang, S.; Brooks, M.; Lee, M.J.; Asadi, H. Peering Into the Black Box of Artificial Intelligence: Evaluation Metrics of Machine Learning Methods. Am. J. Roentgenol. 2019, 212, 38–43. [Google Scholar] [CrossRef]
- Altmann, A.; Toloşi, L.; Sander, O.; Lengauer, T. Permutation importance: A corrected feature importance measure. Bioinformatics 2010, 26, 10. [Google Scholar] [CrossRef] [PubMed]
- Fisher, A.; Rudin, C.; Dominici, F. All Models are Wrong, but Many are Useful: Learning a Variable’s Importance by Studying an Entire Class of Prediction Models Simultaneously. J. Mach. Learn. Res. 2019, 20, 1–81. [Google Scholar]
- Miller, T. Explanation in artificial intelligence: Insights from the social sciences. Artif. Intell. 2019, 267, 1–38. [Google Scholar] [CrossRef]
- World Health Organization. Quantitative Microbial Risk Assessment: Application for Water Safety Management; World Health Organization: Geneva, Switzerland, 2016; Available online: https://iris.who.int/handle/10665/246195 (accessed on 1 August 2025).
- Soller, J.A.; Schoen, M.E.; Bartrand, T.; Ravenscroft, J.E.; Ashbolt, N.J. Estimated human health risks from exposure to recreational waters impacted by human and non-human sources of faecal contamination. Water Res. 2010, 44, 4674–4691. [Google Scholar] [CrossRef]
- Aragonés, L.; López, I.; Palazón, A.; López-Úbeda, R.; García, C. Evaluation of the quality of coastal bathing waters in Spain through fecal bacteria Escherichia coli and Enterococcus. Sci. Total Environ. 2016, 566–567, 288–297. [Google Scholar] [CrossRef]
- Abuzerr, S.; Hadi, M.; Zinszer, K.; Nasseri, S.; Yunesian, M.; Mahvi, A.H.; Nabizadeh, R.; Mohammed, S.H. Quantitative microbial risk assessment for Escherichia coli O157: H7 via drinking water in the Gaza Strip, Palestine. SAGE Open Med. 2024, 12, 20503121241258071. [Google Scholar] [CrossRef]
- Machdar, E.; van der Steen, N.P.; Raschid-Sally, L.; Lens, P.N.L. Application of Quantitative Microbial Risk Assessment to analyze the public health risk from poor drinking water quality in a low-income area in Accra, Ghana. Sci. Total Environ. 2013, 449, 134–142. [Google Scholar] [CrossRef]
- Strachan, N.J.; Doyle, M.P.; Kasuga, F.; Rotariu, O.; Ogden, I.D. Dose response modelling of Escherichia coli O157 incorporating data from foodborne and environmental outbreaks. Int. J. Food Microbiol. 2005, 103, 35–47. [Google Scholar] [CrossRef]
- Fewtrell, L.; Kay, D. Recreational Water and Infection: A Review of Recent Findings. Curr. Environ. Health Rep. 2015, 2, 85–94. [Google Scholar] [CrossRef]
- Gitter, A.; Mena, K.D.; Wagner, K.L.; Boellstorff, D.E.; Borel, K.E.; Gregory, L.F.; Gentry, T.J.; Karthikeyan, R. Human Health Risks Associated with Recreational Waters: Preliminary Approach of Integrating Quantitative Microbial Risk Assessment with Microbial Source Tracking. Water 2020, 12, 327. [Google Scholar] [CrossRef]
- Dorevitch, S.; Panthi, S.; Huang, Y.; Li, H.; Michalek, A.M.; Pratap, P.; Wroblewski, M.; Liu, L.; Scheff, P.A.; Li, A. Water ingestion during water recreation. Water Res. 2011, 45, 2020–2028. [Google Scholar] [CrossRef]
- Haas, C.N.; Rose, J.B.; Gerba, C.P. Quantitative Microbial Risk Assessment, 2nd ed.; John Wiley & Sons, Inc.: Hoboken, NJ, USA, 2014. [Google Scholar]
- Tyagi, N.; Kumar, A. Evaluation of recreational risks due to exposure of antibiotic-resistance bacteria from environmental water: A proposed framework. J. Environ. Manag. 2021, 279, 111626. [Google Scholar] [CrossRef] [PubMed]
- Haas, C.N.; Rose, J.B.; Gerba, C.P. Quantitative Microbial Risk Assessment; John Wiley & Sons: New York, NY, USA, 1999. [Google Scholar]
- Chhipi-Shrestha, G.; Rodriguez, M.; Behmel, S.; Pulicharla, R.; Proulx, F.; Hewage, K.; Sadiq, R. Probabilistic framework for assessing ecological risk of Contaminants of Emerging Concern: Application to a Canadian lake system. Chemosphere 2022, 287, 131910. [Google Scholar] [CrossRef]
- Pouillot, R.; Kelly, D.L.; Denis, J. Tools for Two-Dimensional Monte-Carlo Simulations: The mc2d Package [WWW Document]. 2016. Available online: https://cran.r-project.org/web/packages/mc2d/vignettes/docmcEnglish.pdf (accessed on 1 August 2025).
- Amoah, I.D.; Kumari, S.; Bux, F. A probabilistic assessment of microbial infection risks due to occupational exposure to wastewater in a conventional activated sludge wastewater treatment plant. Sci. Total Environ. 2022, 843, 156849. [Google Scholar] [CrossRef]
- Marino, S.; Ian, B.; Hogue, A.; Ray, C.J.; Kirschner, D.E. A methodology for performing global uncertainty and sensitivity analysis in systems biology. J. Theor. Biol. 2008, 254, 178–196. [Google Scholar] [CrossRef]
- Muirhead, R.W.; Meenken, E.D. Variability of Escherichia coli Concentrations in Rivers during Base-Flow Conditions in New Zealand. J. Environ. Qual. 2018, 47, 967–973. [Google Scholar] [CrossRef]
- Sarker, S.K.; Dapkus, R.T.; Byrne, D.M.; Fryar, A.E.; Hutchison, J.M. Quantifying Temporal Dynamics of E. coli Concentration and Quantitative Microbial Risk Assessment of Pathogen in a Karst Basin. Water 2025, 17, 745. [Google Scholar] [CrossRef] [PubMed]
- Cata lao Dionisio, L.P.; Joao, M.; Soares Ferreiro, V.; Leo nor Fidalgo, M.; Garcia Rosado, M.E.; Borrego, J.J. Occurrence of Salmonella spp. in estuarine and coastal waters of Portugal. Antonie Van Leeuwenhoek 2000, 78, 9–106. [Google Scholar] [CrossRef] [PubMed]
- Dupray, E.; Caprais, M.P.; Derrien, A.; Fach, P. Salmonella DNA persistence in natural seawaters using PCR analysis. J. Appl. Microbiol. 1997, 82, 507–510. [Google Scholar] [CrossRef] [PubMed]
- Setti, I.; Rodriguez-Castro, A.; Pata, M.P.; Cadarso-Suarez, C.; Yacoubi, B.; Bensmael, L.; Moukrim, A.; Martinez-Urtaza, J. Characteristics and dynamics of Salmonella contamination along the coast of Agadir, Morocco. Appl. Environ. Microbiol. 2009, 75, 7700–7709. [Google Scholar] [CrossRef]
- Efstratiou, M.A.; Mavridou, A.; Richardson, C. Prediction of Salmonella in seawater by total and faecal coliforms and Enterococci. Mar. Pollut. Bull. 2009, 58, 201–205. [Google Scholar] [CrossRef]
- Weiskerger, C.J.; Brandão, J.; Ahmed, W.; Aslan, A.; Avolio, L.; Badgley, B.D.; Boehm, A.B.; Edge, T.A.; Fleisher, J.M.; Heaney, C.D.; et al. Impacts of a changing earth on microbial dynamics and human health risks in the continuum between beach water and sand. Water Res. 2019, 162, 456–470. [Google Scholar] [CrossRef]
- Huang, J.; Lv, C.; Li, M.; Rahman, T.; Chang, Y.-F.; Guo, X.; Song, Z.; Zhao, Y.; Li, Q.; Ni, P. Carbapenem-resistant Escherichia coli exhibit diverse spatiotemporal epidemiological characteristics across the globe. Commun. Biol. 2024, 7, 51. [Google Scholar] [CrossRef] [PubMed]
- Yuan, Q.; Charmaine, N.; Goh, S.G.; Ching Khor, W.; Ong, G.H.M.; Aung, K.T.; Gin, K.Y.-E. Evaluation of public health impact risks associated with bacterial antimicrobial resistome in tropical coastal environments. Water Res. 2025, 282, 123621. [Google Scholar] [CrossRef] [PubMed]
- Assefa, A.; Garcias, B.; Mourkas, E.; Molina-López, R.A.; Darwich, L. Global distribution of antimicrobial resistance genes in Escherichia coli isolated from wild animals using genomes available in public databases. Sci. Total Environ. 2025, 985, 179742. [Google Scholar] [CrossRef]
- Hutinel, M.; Huijbers, P.M.C.; Fick, J.; Åhrén, C.; Larsson, D.G.J.; Flach, C.-F. Population-level surveillance of antibiotic resistance in Escherichia coli through sewage analysis. Euro Surveill. 2019, 24, 1800497. [Google Scholar] [CrossRef]
- Gomes, L.; Bordalo, A.A.; Machado, A. Characterization of Escherichia coli Isolates in Recreational Waters: Implications for Public Health and One Health Approach. Water 2024, 16, 2695. [Google Scholar] [CrossRef]
- Fernández-Trapote, E.; Oliveira, M.; Cobo-Díaz, J.F.; Alvarez-Ordóñez, A. The resistome of the food chain: A One Health perspective. Microb. Biotechnol. 2024, 17, e14530. [Google Scholar] [CrossRef] [PubMed]
- Milijasevic, M.; Veskovic-Moracanin, S.; Babic Milijasevic, J.; Petrovic, J.; Nastasijevic, I. Antimicrobial Resistance in Aquaculture: Risk Mitigation within the One Health Context. Foods 2024, 13, 2448. [Google Scholar] [CrossRef]
- Jorge-Romero, G.; Lercari, D.; Ortega, L.; Defeo, O. Long-term ecological footprints of a man-made freshwater discharge onto a sandy beach ecosystem. Ecol. Indic. 2019, 96, 412–420. [Google Scholar] [CrossRef]
- Alm, E.W.; Burke, J.; Spain, A. Fecal indicator bacteria are abundant in wet sand at freshwater beaches. Water Res. 2003, 37, 3978–3982. [Google Scholar] [CrossRef]
- Rumball, N.A.; Alm, E.W.; McLellan, S.L. Genetic Determinants of Escherichia coli Survival in Beach Sand. Appl. Environ. Microbiol. 2023, 89, e01423-22. [Google Scholar] [CrossRef]
- Petersen, F.; Hubbart, J.A. Physical Factors Impacting the Survival and Occurrence of Escherichia coli in Secondary Habitats. Water 2020, 12, 1796. [Google Scholar] [CrossRef]
- Carrasco-Acosta, M.; Garcia-Jimenez, P. Development of Multiplex RT qPCR Assays for Simultaneous Detection and Quantification of Faecal Indicator Bacteria in Bathing Recreational Waters. Microorganisms 2024, 12, 1223. [Google Scholar] [CrossRef] [PubMed]
- Palmer, J.A.; Law, J.Y.; Soupir, M.L. Spatial and temporal distribution of E. coli contamination on three inland lake and recreational beach systems in the upper Midwestern United States. Sci. Total Environ. 2020, 722, 137846. [Google Scholar] [CrossRef]
- Ndione, M.; Ory, P.; Agion, T.; Treilles, M.; Vacher, L.; Simon-Bouhet, B.; Le Beguec, M.; Pineau, P.; Montanié, H.; Agogué, H. Temporal variations in fecal indicator bacteria in bathing water and sediment in a coastal ecosystem (Aytré Bay, Charente-Maritime, France). Mar. Pollut. Bull. 2022, 175, 113360. [Google Scholar] [CrossRef]
- Dritsas, E.; Trigka, M. Efficient Data-Driven Machine Learning Models for Water Quality Prediction. Computation 2023, 11, 16. [Google Scholar] [CrossRef]
- Rossi, A.; Wolde, B.T.; Lee, L.H.; Wu, M. Prediction of recreational water safety using Escherichia coli as an indicator: Case study of the Passaic and Pompton rivers, New Jersey. Sci. Total Environ. 2020, 714, 136814. [Google Scholar] [CrossRef]
- Goh, S.G.; Saeidi, N.; Gu, X.; Vergara, G.G.R.; Liang, L.; Fang, H.; Kitajima, M.; Kushmaro, A.; Gin, K.Y.-A. Occurrence of microbial indicators, pathogenic bacteria and viruses in tropical surface waters subject to contrasting land use. Water Res. 2019, 150, 200–215. [Google Scholar] [CrossRef]
- Riascos-Flores, L.; Ho, L.; Echelpoel, W.V.; Forio, M.A.E.; Bruneel, S.; De Troyer, N.; de Saeyer, N.; Bermudez, R.; Berghe, W.V.; Dominguez-Granda, L.; et al. Chemical and microbiological analysis of urban and associated natural water systems of inhabited volcanic islands of the Galapagos (Ecuador). Water Res. 2025, 281, 123516. [Google Scholar] [CrossRef]
- Huang, G.; Falconer, R.A.; Lin, B. Integrated River and Coastal Flow, Sediment and Escherichia coli Modelling for Bathing Water Quality. Water 2015, 7, 4752–4777. [Google Scholar] [CrossRef]
- Bonamano, S.; Madonia, A.; Caruso, G.; Zappalà, G.; Marcelli, M. Development of a New Predictive index (Bathing Water Quality Index, BWQI) Based on Escherichia coli Physiological States for Bathing Waters Monitoring. J. Mar. Sci. Eng. 2021, 9, 120. [Google Scholar] [CrossRef]
- Wolska, L.; Kowalewski, M.; Potrykus, M.; Redko, V.; Rybak, B. Difficulties in the Modeling of E. coli Spreading from Various Sources in a Coastal Marine Area. Molecules 2022, 27, 4353. [Google Scholar] [CrossRef]
- Lopes, H.T.L.; Baumann, L.R.F.; Scalize, P.S. A Contamination Predictive Model for Escherichia coli in Rural Communities Dug Shallow Wells. Sustainability 2023, 15, 2408. [Google Scholar] [CrossRef]
- OECD. OECD Environmental Performance Reviews: Greece 2020; OECD Environmental Performance Reviews. OECD Publishing: Paris, France, 2020. [Google Scholar] [CrossRef]
- NCESD. Greece, State of the Environment Report, Summary; National Center of Environment and Sustainable Development: Athens, Greece, 2018; p. 63. ISBN 978-960-99033-3-2. [Google Scholar]
- Mohamedelfatieh, I.; Ali, M.; Muhammad, F.; Xin, L. Assessing drinking water quality based on physical, chemical and microbial parameters in the Red Sea State, Sudan using a combination of water quality index and artificial neural network model. Groundw. Sustain. Dev. 2021, 14, 100612. [Google Scholar] [CrossRef]
- Anagnostopoulos, D.A.; Parlapani, F.F.; Natoudi, S.; Syropoulou, F.; Kyritsi, M.; Vergos, I.; Hadjichristodoulou, C.; Kagalou, I.; Boziaris, I.S. Bacterial Communities and Antibiotic Resistance of Potential Pathogens Involved in Food Safety and Public Health in Fish and Water of Lake Karla, Thessaly, Greece. Pathogens 2022, 11, 1473. [Google Scholar] [CrossRef]
- Stefanidis, K.; Kouvarda, T.; Latsiou, A.; Papaioannou, G.; Gritzalis, K.; Dimitriou, E. A Comparative Evaluation of Hydromorphological Assessment Methods Applied in Rivers of Greece. Hydrology 2022, 9, 43. [Google Scholar] [CrossRef]
- Mentzafou, A.; Varlas, G.; Papadopoulos, A.; Poulis, G.; Dimitriou, E. Assessment of Automatically Monitored Water Levels and Water Quality Indicators in Rivers with Different Hydromorphological Conditions and Pollution Levels in Greece. Hydrology 2021, 8, 86. [Google Scholar] [CrossRef]
- Charoula, M.; Eleni, T.; Georgios, S.; George, P.; Lefteris, L.; Lazaros, T.; Elisavet, A. A Water Quality Assessment Tool for Decision Making, Based on Widely Used Water Quality Indices. Environ. Sci. Proc. 2020, 2, 16. [Google Scholar] [CrossRef]
- Mallik, S.; Saha, B.; Podder, K.; Muthuraj, M.; Mishra, U.; Deb, S. Comprehensive assessment of E. coli dynamics in river water using advanced machine learning and explainable AI. Process Saf. Environ. Prot. 2025, 195, 106816. [Google Scholar] [CrossRef]
- Talukdar, S.; Somnath Bera, S.; Naikoo, M.W.; Ramana, G.V.; Mallik, S.; Kumar, P.A.; Rahman, A. Optimisation and interpretation of machine and deep learning models for improved water quality management in Lake Loktak. J. Environ. Manag. 2024, 351, 119866. [Google Scholar] [CrossRef] [PubMed]
- Uddin, M.G.; Nash, S.; Rahman, A.; Olbert, A.I. A novel approach for estimating and predicting uncertainty in water quality index model using machine learning approaches. Water Res. 2023, 229, 119422. [Google Scholar] [CrossRef]
- Liu, X.; Zuo, C.; Guan, J.; Ma, Y.; Liu, Y.; Zhao, G.; Wang, R. Extreme rainfall disproportionately impacts E. coli concentrations in Texas recreational waterbodies. Sci. Total Environ. 2025, 958, 178062. [Google Scholar] [CrossRef]
- Gerdes, M.E.; Miko, S.; Kunz, J.M.; Hannapel, E.J.; Hlavsa, M.C.; Hughes, M.J.; Stuckey, M.J.; Watkins, L.K.F.; Cope, J.R.; Yoder, J.S.; et al. Estimating Waterborne Infectious Disease Burden by Exposure Route, United States, 2014. Emerg. Infect. Dis. 2023, 29, 1357–1366. [Google Scholar] [CrossRef] [PubMed]
- Federigi, I.; Verani, M.; Donzelli, G.; Cioni, L.; Carducci, A. The application of quantitative microbial risk assessment to natural recreational waters: A review. Mar. Pollut. Bull. 2019, 144, 334–350. [Google Scholar] [CrossRef]
- Nicholas, J.; Ashbolt, M.E.; Schoen, J.A.; Soller, A.; Roser, D.J. Predicting pathogen risks to aid beach management: The real value of quantitative microbial risk assessment (QMRA). Water Res. 2010, 44, 4692–4703. [Google Scholar] [CrossRef]
- Ramírez-Castillo, F.Y.; Loera-Muro, A.; Jacques, M.; Garneau, P.; Avelar-González, F.J.; Harel, J.; Guerrero-Barrera, A.L. Waterborne Pathogens: Detection Methods and Challenges. Pathogens 2015, 4, 307–334. [Google Scholar] [CrossRef] [PubMed]
- Eregno, F.E.; Tryland, I.; Tjomsland, T.; Myrmel, M.; Robertson, L.; Heistad, A. Quantitative microbial risk assessment combined with hydrodynamic modelling to estimate the public health risk associated with bathing after rainfall events. Sci. Total Environ. 2016, 548–549, 270–279. [Google Scholar] [CrossRef]
- Chhipi-Shrestha, G.; Hewage, K.; Sadiq, R. Microbial quality of reclaimed water for urban reuses: Probabilistic risk-based investigation and recommendations. Sci. Total Environ. 2017, 576, 738–751. [Google Scholar] [CrossRef] [PubMed]
- McCarthy, D.T.; Deletic, A.; Mitchell, V.G.; Fletcher, T.D.; Diaper, C. Uncertainties in stormwater E. coli levels. Water Res. 2008, 42, 1812–1824. [Google Scholar] [CrossRef]
- Harmel, R.D.; Hathaway, J.M.; Wagner, K.L.; Wolfe, J.E.; Karthikeyan, R.; Francesconi, W.; McCarthy, D.T. Uncertainty in monitoring E. coli concentrations in streams and stormwater runoff. J. Hydrol. 2016, 534, 524–533. [Google Scholar] [CrossRef]
- Russo, G.S.; Eftim, S.E.; Goldstone, A.E.; Dufour, A.P.; Nappier, S.P.; Wade, T.J. Evaluating health risks associated with exposure to ambient surface waters during recreational activities: A systematic review and meta-analysis. Water Res. 2020, 176, 115729. [Google Scholar] [CrossRef]
- Delair, Z.; Schoeman, M.; Reyneke, B.; Singh, A.; Barnard, T.G. Assessing the impact of Escherichia coli on recreational water safety using quantitative microbial risk assessment. J. Water Health 2024, 22, 1781–1793. [Google Scholar] [CrossRef]
- Custodio, M.; Peñaloza, R.; Ochoa, S.; De la Cruz, H.; Rodríguez, C. Microbial and potentially toxic elements risk assessment in high Andean river water based on Monte Carlo simulation, Peru. Sci. Rep. 2023, 13, 21473. [Google Scholar] [CrossRef]
- Burch, T.R.; Stokdyk, J.P.; Firnstahl, A.D.; Opelt, S.A.; Cook, R.M.; Heffron, J.A.; Brown, A.; Hruby, C.; Borchardt, M.A. Quantitative Microbial Risk Assessment with Microbial Source Tracking for Mixed Fecal Sources Contaminating Recreational River Waters, Iowa, USA. ACS ES&T Water 2024, 4, 2789–2802. [Google Scholar] [CrossRef]
- Katukiza, A.Y.; Ronteltap, M.; Steen, P.; Foppen, J.W.A.; Lens, P.L.N. Quantification of microbial risks to human health caused by waterborne viruses and bacteria in an urban slum. J. Appl. Microbiol. 2014, 116, 447–463. [Google Scholar] [CrossRef] [PubMed]
- Haldar, Κ.; Kujawa-Roeleveld, K.; Hofstra, N.; Datta, D.K.; Rijnaarts, H. Microbial contamination in surface water and potential health risks for peri-urban farmers of the Bengal delta. Int. J. Hyg. Environ. Health 2022, 244, 114002. [Google Scholar] [CrossRef] [PubMed]
- Moncada Barragán, J.L.; Lucumí, D.I.; Cuesta, M.S.; Rodriguez, S. Quantitative microbial risk assessment to estimate the public health risk from exposure to enterotoxigenic E. coli in drinking water in the rural area of Villapinzon, Colombia. Microb. Risk Anal. 2021, 18, 100173. [Google Scholar] [CrossRef]
- Nikolopoulou, D.; Ntzani, E.; Kyriakopoulou, K.; Anagnostopoulos, C.; Machera, K. Priorities and Challenges in Methodology for Human Health Risk Assessment from Combined Exposure to Multiple Chemicals. Toxics 2023, 11, 401. [Google Scholar] [CrossRef]
- Stefanidis, K.; Oikonomou, A.; Stoumboudi, M.; Dimitriou, E.; Skoulikidis, N.T. Do Water Bodies Show Better Ecological Status in Natura 2000 Protected Areas Than Non-Protected Ones?—The Case of Greece. Water 2021, 13, 3007. [Google Scholar] [CrossRef]
Disclaimer/Publisher’s Note: The statements, opinions and data contained in all publications are solely those of the individual author(s) and contributor(s) and not of MDPI and/or the editor(s). MDPI and/or the editor(s) disclaim responsibility for any injury to people or property resulting from any ideas, methods, instructions or products referred to in the content. |
© 2025 by the authors. Licensee MDPI, Basel, Switzerland. This article is an open access article distributed under the terms and conditions of the Creative Commons Attribution (CC BY) license (https://creativecommons.org/licenses/by/4.0/).