Determination of Microplastic Pollution in Commercial Fish in the Middle Black Sea (Samsun), Türkiye
Highlights
- Microplastics were detected in all (100%) commercial fish examined in the Middle Black Sea, Türkiye.
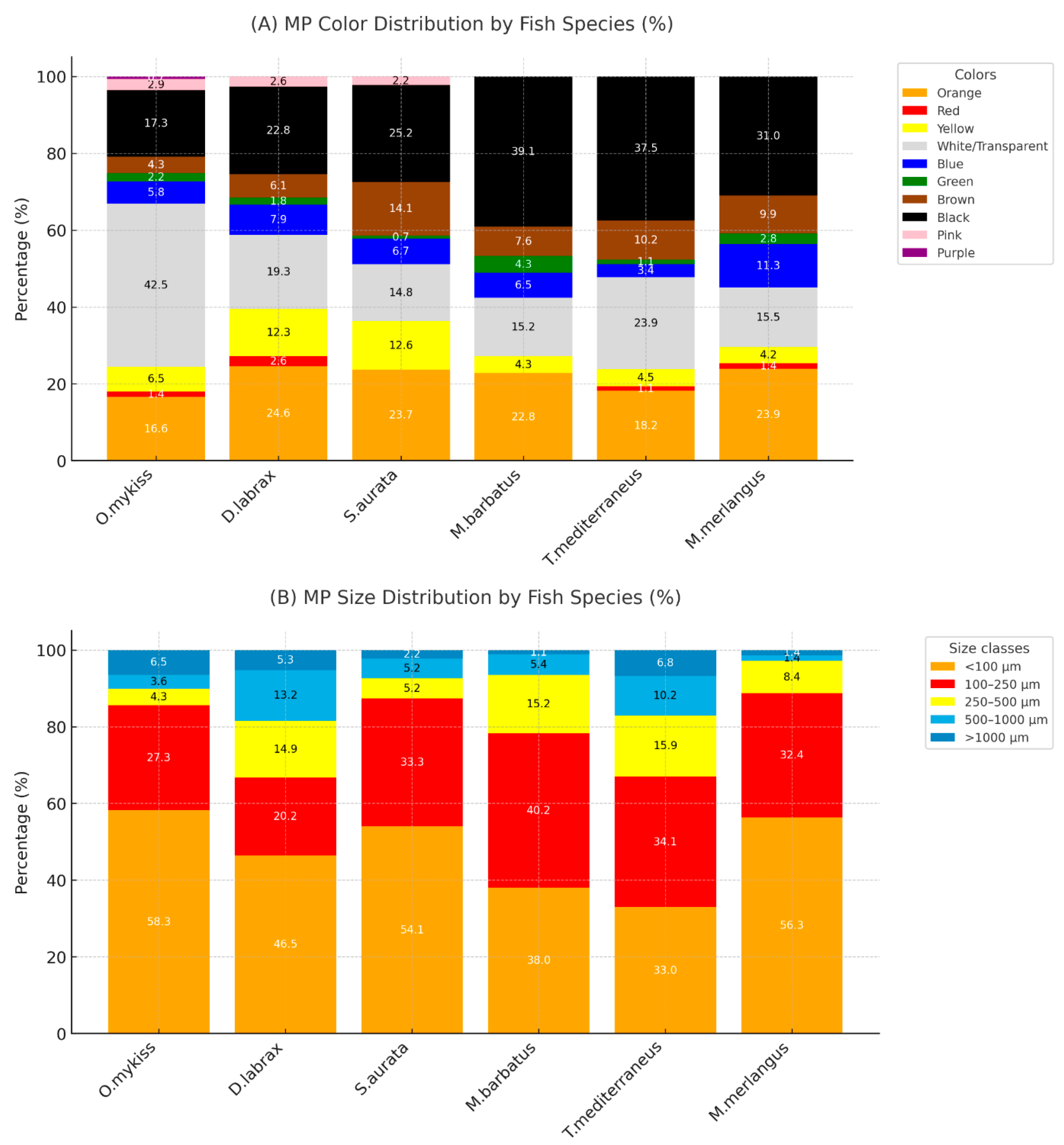
- Black and transparent fiber microplastics were common.
- Polyethylene (PE) and polypropylene (PP) were predominant.
- The size distribution indicated an abundance of MPs smaller than 100 µm.
Abstract
1. Introduction
2. Materials and Methods
2.1. Sampling
2.2. Microplastic Extraction
2.3. Microscopic Examination
2.4. Fourier Transform Infrared (FTIR) Spectroscopy
2.5. SEM/EDS Analyses
2.6. Contamination Prevention
2.7. Data Analysis
3. Results
4. Discussion
5. Conclusions
Supplementary Materials
Funding
Institutional Review Board Statement
Informed Consent Statement
Data Availability Statement
Conflicts of Interest
References
- Plastic Europe. Plastics—The Fast Facts 2023; Plastics Europe: Brussels, Belgium, 2023; Available online: https://plasticseurope.org/de/wp-content/uploads/sites/3/2023/11/PlasticsthefastFacts2023_printing.pdf (accessed on 9 October 2025).
- Jambeck, J.R.; Geyer, R.; Wilcox, C.; Siegler, T.R.; Perryman, M.; Andrady, A.; Narayan, R.; Lavender Law, K. Plastic Waste Input from Land into Ocean. Science 2015, 347, 768–771. [Google Scholar] [CrossRef] [PubMed]
- Hartmann, N.B.; Hüffer, T.; Thompson, R.C.; Hassellöv, M.; Verschoor, A.; Daugaard, A.E.; Rist, S.; Karlsson, T.; Brennholt, N.; Cole, M. Are We Speaking the Same Language? Recommendations for a Definition and Categorization Framework for Plastic Debris. Environ. Sci. Technol. 2019, 53, 1039–1047. [Google Scholar] [CrossRef]
- Benaires, K.D.; Yap Dejeto, L.G.; Parilla, R.B. Microplastics in Commercially Sold Fish in a Coastal City of the Philippine Islands, Western Pacific. Reg. Stud. Mar. Sci. 2025, 82, 104025. [Google Scholar] [CrossRef]
- Constant, M.; Kerhervé, P.; Mino-Vercellio-Verollet, M.; Dumontier, M.; Sànchez Vidal, A.; Canals, M.; Heussner, S. Beached Microplastics in the Northwestern Mediterranean Sea. Mar. Pollut. Bull. 2019, 142, 263–273. [Google Scholar] [CrossRef]
- Pojar, I.; Kochleus, C.; Dierkes, G.; Ehlers, S.M.; Reifferscheid, G.; Stock, F. Quantitative and Qualitative Evaluation of Plastic Particles in Surface Waters of the Western Black Sea. Environ. Pollut. 2021, 268, 115724. [Google Scholar] [CrossRef]
- Gündoğdu, S.; Çevik, C.; Güzel, E. Microplastics in Municipal Wastewater Treatment Plants in Turkey: A Comparison of the Influent and Secondary Effluent Concentrations. Environ. Monit. Assess. 2018, 190, 626. [Google Scholar] [CrossRef]
- Liu, R.P.; Liu, F.; Sun, P.P.; El Wardany, R.M.; Dong, Y.; Zhang, Y.B.; Chen, H.Q.; Jiao, J.G. Research Progress of Microplastic Pollution in the Vadose Zone. Water 2022, 14, 3586. [Google Scholar] [CrossRef]
- Zhang, J.; Ding, W.; Zou, G.; Wang, X.; Zhao, M.; Guo, S.; Chen, Y. Urban Pipeline Rainwater Runoff Is an Important Pathway for Land-Based Microplastics Transport to Inland Surface Water: A Case Study in Beijing. Sci. Total Environ. 2023, 861, 160619. [Google Scholar] [CrossRef]
- Anderson, J.C.; Park, B.J.; Palace, V.P. Microplastics in Aquatic Environments: Implication for Canadian Environments. Environ. Pollut. 2018, 218, 269–280. [Google Scholar] [CrossRef]
- Wang, C.; O’Connor, D.; Wang, L.; Wu, W.M.; Luo, J.; Hou, D. Microplastics in Urban Runoff: Global Occurrence and Fate. Water Res. 2022, 225, 119129. [Google Scholar] [CrossRef]
- Bayhan, B.; Uncumusaoğlu, A.A. Abundance, Characteristics, and Potential Ecological Risks of Microplastics in Some Commercial Fish in İzmir Bay (Aegean Sea, Türkiye). Reg. Stud. Mar. Sci. 2024, 73, 103488. [Google Scholar] [CrossRef]
- Beer, S.; Garm, A.; Huwer, B.; Dierking, J.; Nielsen, T.G. No Increase in Marine Microplastic Concentration over the Last Three Decades–A Case Study from the Baltic Sea. Sci. Total Environ. 2018, 621, 1272–1279. [Google Scholar] [CrossRef]
- Ji, X.; Yan, S.; He, Y.; He, H.; Liu, H. Distribution Characteristics of Microplastics in Surface Seawater off the Yangtze River Estuary Section and Analysis of Ecological Risk Assessment. Toxics 2023, 11, 889. [Google Scholar] [CrossRef]
- Sun, X.; Jia, Q.; Ye, J.; Zhu, Y.; Song, Z.; Guo, Y.; Chen, H. Real-Time Variabilities in Microplastic Abundance and Characteristics of Urban Surface Runoff and Sewer Overflow in Wet Weather as Impacted by Land Use and Storm Factors. Sci. Total Environ. 2023, 859, 160148. [Google Scholar] [CrossRef]
- Wu, F.; Wang, Y.; Leung, J.Y.; Huang, W.; Zeng, J.; Tang, Y.; Chen, J.; Shi, A.; Yu, X.; Xu, X.; et al. Accumulation of Microplastics in Typical Commercial Aquatic Species: A Case Study at a Productive Aquaculture Site in China. Sci. Total Environ. 2020, 708, 135432. [Google Scholar] [CrossRef]
- Yozukmaz, A. Investigation of Microplastics in Edible Wild Mussels from İzmir Bay (Aegean Sea, Western Turkey): A Risk Assessment for the Consumers. Mar. Pollut. Bull. 2021, 171, 112733. [Google Scholar] [CrossRef]
- Abbasi, S.; Soltani, N.; Keshavarzi, B.; Moore, F.; Turner, A.; Hassanaghaei, M. Microplastics in Different Tissues of Fish and Prawn from the Musa Estuary, Persian Gulf. Chemosphere 2018, 205, 80–87. [Google Scholar] [CrossRef] [PubMed]
- Gündogdu, S.; Cevik, C.; Atas¸, N.T. Occurrence of Microplastics in the Gastrointestinal Tracts of Some Edible Fish Species along the Turkish Coast. Turk. J. Zool. 2020, 44, 312–323. [Google Scholar] [CrossRef]
- Aytan, U.; Esensoy, F.B.; Senturk, Y.; Arifoglu, E.; Karaoglu, K.; Ceylan, Y.; Valente, A. Plastic Occurrence in Commercial Fish Species of the Black Sea. Turk. J. Fish. Aquat. Sci. 2021, 22, TRJFAS20504. [Google Scholar] [CrossRef]
- Kılıç, E.; Yücel, N. Microplastic Occurrence in the Gastrointestinal Tract and Gill of Bioindicator Fish Species in the Northeastern Mediterranean. Mar. Pollut. Bull. 2022, 177, 113556. [Google Scholar] [CrossRef]
- Walkinshaw, C.; Lindeque, P.K.; Thompson, R.; Tolhurst, T.; Cole, M. Microplastics and Seafood: Lower Trophic Organisms at Highest Risk of Contamination. Ecotoxicol. Environ. Saf. 2020, 190, 110066. [Google Scholar] [CrossRef]
- Ivleva, N.P.; Wiesheu, A.C.; Niessner, R. Microplastic in Aquatic Ecosystems. Angew. Chem. Int. Ed. 2017, 56, 1720–1739. [Google Scholar] [CrossRef]
- Rochman, C.M.; Tahir, A.; Williams, S.L.; Baxa, D.V.; Lam, R.; Miller, J.T.; Teh, F.-C.; Werorilangi, S.; Teh, S.J. Anthropogenic Debris in Seafood: Plastic Debris and Fibers from Textiles in Fish and Bivalves Sold for Human Consumption. Sci. Rep. 2015, 5, 14340. [Google Scholar] [CrossRef] [PubMed]
- Tien, C.J.; Wang, Z.X.; Chen, C.S. Microplastics in Water, Sediment and Fish from the Fengshan River System: Relationship to Aquatic Factors and Accumulation of Polycyclic Aromatic Hydrocarbons by Fish. Environ. Pollut. 2020, 265, 114962. [Google Scholar] [CrossRef]
- Koelmans, A.A.; Redondo-Hasselerharm, P.E.; Nor, N.H.M.; de Ruijter, V.N.; Mintenig, S.M.; Kooi, M. Risk Assessment of Microplastic Particles. Nat. Rev. Mater. 2022, 7, 138–152. [Google Scholar] [CrossRef]
- Wright, S.L.; Kelly, F.J. Plastic and Human Health: A Micro Issue? Environ. Sci. Technol. 2017, 51, 6634–6647. [Google Scholar] [CrossRef]
- Silva, J.D.S.; Rodrigues, J.R.P.; Sá, R.A.D.Q.C.D.; de Oliveira, M.B.M.; da Silva, S.M.; Souza, K.S.; da Silva, M.R.F.; de Araújo, L.C.A.; Pereira, E.S.; Bezerra, A.Â.; et al. Environmental Pollution by Microplastics and Its Consequences on Human Health. Res. Soc. Dev. 2022, 11, e520111335863. [Google Scholar] [CrossRef]
- Feng, Z.; Zhang, T.; Wang, J.; Huang, W.; Wang, R.; Xu, J.; Fu, G.; Gao, G. Spatiotemporal Features of Microplastics Pollution in Macroalgae Growing in an Important Mariculture Area, China. Sci. Total Environ. 2020, 719, 137490. [Google Scholar] [CrossRef]
- Gao, G.; Zhao, X.; Jin, P.; Gao, K.; Beardall, J. Current Understanding and Challenges for Aquatic Primary Producers in a World with Rising Micro- and Nanoplastic Levels. J. Hazard. Mater. 2021, 406, 124685. [Google Scholar] [CrossRef]
- Kılıç, E.; Yücel, N.; Sahutoğlu, S.M. First Record of Microplastic Occurrence at the Commercial Fish from Orontes River. Environ. Pollut. 2022, 307, 119576. [Google Scholar] [CrossRef]
- Fossi, M.C.; Panti, C.; Baini, M.; Lavers, J.L. A Review of Plastic Associated Pressures: Cetaceans of the Mediterranean Sea and Eastern Australian Shearwaters as Case Studies. Front. Mar. Sci. 2018, 5, 173. [Google Scholar] [CrossRef]
- Güven, O.; Gokdağ, K.; Jovanović, B.; Kıdeyş, A.E. Microplastic Litter Composition of the Turkish Territorial Waters of the Mediterranean Sea, and Its Occurrence in the Gastrointestinal Tract of Fish. Environ. Pollut. 2017, 223, 286–294. [Google Scholar] [CrossRef]
- Jovanovic, B. Ingestion of Microplastics by Fish and Its Potential Consequences from a Physical Perspective. Integr. Environ. Assess. Manag. 2017, 13, 510–515. [Google Scholar] [CrossRef]
- Miller, M.E.; Hamann, M.; Kroon, F.J. Bioaccumulation and Biomagnification of Microplastics in Marine Organisms: A Review and Meta-Analysis of Current Data. PLoS ONE 2020, 15, e0240792. [Google Scholar] [CrossRef]
- McIlwraith, H.K.; Kim, J.; Helm, P.; Bhavsar, S.P.; Metzger, J.S.; Rochman, C.M. Evidence of Microplastic Translocation in Wild-Caught Fish and Implications for Microplastic Accumulation Dynamics in Food Webs. Environ. Sci. Technol. 2021, 55, 12372–12382. [Google Scholar] [CrossRef]
- Onay, H.; Minaz, M.; Ak, K.; Er, A.; Emanet, M.; Karslı, B.; Bilgin, S. Decade of Microplastic Alteration in the Southeastern Black Sea: An Example of Seahorse Gastrointestinal Tracts. Environ. Res. 2023, 218, 115001. [Google Scholar] [CrossRef]
- Kalipci, E.; Cuce, H.; Temel, F.A.; Dereli, M.A.; Turkmen, A. Microplastic Pollution Profile in the Black Sea Region. Curr. Innov. Chem. Mater. Sci. 2024, 9, 53–76. [Google Scholar] [CrossRef]
- Bhuyan, M.S. Effects of Microplastics on Fish and in Human Health. Front. Environ. Sci. 2022, 10, 250. [Google Scholar] [CrossRef]
- Kılıç, E. Abundance and Ecological Risk of Microplastics in Commercial Fish Species from Northeastern Mediterranean Sea. Environ. Pollut. 2024, 363 Pt 2, 125252. [Google Scholar] [CrossRef]
- Sequeira, I.F.; Prata, J.C.; da Costa, J.P.; Duarte, A.C.; Rocha-Santos, T. Worldwide Contamination of Fish with Microplastics: A Brief Global Overview. Mar. Pollut. Bull. 2020, 160, 111681. [Google Scholar] [CrossRef]
- Hantoro, I.; Löhr, A.J.; Van Belleghem, F.G.A.J.; Widianarko, B.; Ragas, A.M.J. Microplastics in Coastal Areas and Seafood: Implications for Food Safety. Food Addit. Contam., Part A 2019, 36, 674–711. [Google Scholar] [CrossRef]
- Hermabessiere, L.; Dehaut, A.; Paul-Pont, I.; Lacroix, C.; Jézéquel, R.; Soudant, P.; Duflos, G. Occurrence and Effects of Plastic Additives on Marine Environments and Organisms: A Review. Chemosphere 2017, 182, 781–793. [Google Scholar] [CrossRef]
- Cabansag, J.B.P.; Olimberio, R.B.; Villanobos, Z.M.T. Microplastics in Some Fish Species and Their Environs in Eastern Visayas, Philippines. Mar. Pollut. Bull. 2021, 167, 112312. [Google Scholar] [CrossRef]
- Barboza, L.G.A.; Vieira, L.R.; Guilhermino, L. Single and Combined Effects of Microplastics and Mercury on Juveniles of the European Seabass (Dicentrarchus labrax): Changes in Behavioural Responses and Reduction of Swimming Velocity and Resistance Time. Environ. Pollut. 2018, 236, 1014–1019. [Google Scholar] [CrossRef]
- Santana, M.F.; Dawson, A.L.; Motti, C.A.; van Herwerden, L.; Lefevre, C.; Kroon, F.J. Ingestion and Depuration of MPs by a Planktivorous Coral Reef Fish, Pomacentrus amboinensis. Front. Environ. Sci. 2021, 9, 79. [Google Scholar] [CrossRef]
- Alprol, A.E.; Gaballah, M.S.; Hassaan, M.M. Micro and Nanoplastics Analysis: Focus on Their Classification, Sources, and Impacts in Marine Environment. Reg. Stud. Mar. Sci. 2021, 42, 101625. [Google Scholar] [CrossRef]
- Carbery, M.; O’Connor, W.; Palanisami, T. Trophic Transfer of Microplastics and Mixed Contaminants in the Marine Food Web and Implications for Human Health. Environ. Int. 2018, 115, 400–409. [Google Scholar] [CrossRef]
- Turkish Statistical Institute (TUIK). Aquaculture Statistics. 2024. Available online: https://data.tuik.gov.tr/Bulten/Index?p=Su-Urunleri-2023-53702 (accessed on 15 February 2025).
- Sánchez-Almeida, R.; Hernández-Sánchez, C.; Villanova-Solano, C.; Díaz-Peña, F.J.; Clemente, S.; González-Sálamo, J.; González-Pleiter, M.; Hernández-Borges, J. Microplastics Determination in Gastrointestinal Tracts of European Sea Bass (Dicentrarchus labrax) and Gilt-Head Sea Bream (Sparus aurata) from Tenerife (Canary Islands, Spain). Polymers 2022, 14, 1931. [Google Scholar] [CrossRef]
- Gedik, K. Bioaccessibility of Cd, Cr, Cu, Mn, Ni, Pb, and Zn in Mediterranean Mussel (Mytilus galloprovincialis Lamarck, 1819) along the Southeastern Black Sea Coast. Hum. Ecol. Risk Assess. 2018, 24, 754–766. [Google Scholar] [CrossRef]
- Eryasar, A.R.; Gedik, K.; Mutlu, T. Ingestion of Microplastics by Commercial Fish Species from the Southern Black Sea Coast. Mar. Pollut. Bull. 2022, 177, 113535. [Google Scholar] [CrossRef]
- Tepe, Y.; Aydın, H.; Ustaoğlu, F.; Kodat, M. Occurrence of Microplastics in the Gastrointestinal Tracts of Four Most Consumed Fish Species in Giresun, the Southeastern Black Sea. Environ. Sci. Pollut. Res. 2024, 31, 34265–34275. [Google Scholar] [CrossRef]
- Perumal, K.; Muthuramalingam, S. Global Sources, Abundance, Size, and Distribution of Microplastics in Marine Sediments—A Critical Review. Estuar. Coast. Shelf Sci. 2021, 264, 107702. [Google Scholar] [CrossRef]
- Avio, C.G.; Gorbi, S.; Regoli, F. Experimental Development of a New Protocol for Extraction and Characterization of Microplastics in Fish Tissues: First Observations in Commercial Species from Adriatic Sea. Mar. Environ. Res. 2015, 111, 18–26. [Google Scholar] [CrossRef]
- Renzi, M.; Specchiulli, A.; Blasković, A.; Manzo, C.; Mancinelli, G.; Cilenti, L. Marine Litter in Stomach Content of Small Pelagic Fishes from the Adriatic Sea: Sardines (Sardina pilchardus) and Anchovies (Engraulis encrasicolus). Environ. Sci. Pollut. Res. 2019, 26, 2771–2781. [Google Scholar] [CrossRef]
- Hanke, G.; Galgani, F.; Werner, S.; Oosterbaan, L.; Nilsson, P.; Fleet, D.; Kinsey, S.; Thompson, R.C.; Frakener, J.V.; Sco-ullos, M.; et al. Guidance on Monitoring of Marine Litter in European Seas. Scientific and Technical Research Series, EUR 26113 EN. 2013. Available online: https://mcc.jrc.ec.europa.eu/documents/201702074014.pdf (accessed on 9 October 2025).
- Digka, N.; Tsangaris, C.; Torre, M.; Anastasopoulou, A.; Zeri, C. Microplastics in Mussels and Fish from the Northern Ionian Sea. Mar. Pollut. Bull. 2018, 135, 30–40. [Google Scholar] [CrossRef]
- Tsangaris, C.; Digka, N.; Valente, T.; Aguilar, A.; Borrell, A.; De Lucia, G.A.; Gambaiani, D.; Garcia-Garin, O.; Kaberi, H.; Martin, J.; et al. Using Boops boops (Osteichthyes) to Assess Microplastic Ingestion in the Mediterranean Sea. Mar. Pollut. Bull. 2020, 158, 111397. [Google Scholar] [CrossRef]
- Mistri, M.; Sfriso, A.A.; Casoni, E.; Nicoli, M.; Vaccaro, C.; Munari, C. Microplastic Accumulation in Commercial Fish from the Adriatic Sea. Mar. Pollut. Bull. 2022, 174, 113279. [Google Scholar] [CrossRef]
- Bessa, F.; Frias, J.; Kögel, T.; Lusher, A.; Andrade, J.M.; Antunes, J.; Gerdts, G. Harmonized Protocol for Monitoring Microplastics in Biota; JPI-Oceans BASEMAN Project: Brussels, Belgium, 2019. [Google Scholar] [CrossRef]
- Torre, M.; Digka, N.; Anastasopoulou, A.; Tsangaris, C.; Mytilineou, C. Anthropogenic Microfibres Pollution in Marine Biota: A New and Simple Methodology to Minimize Airborne Contamination. Mar. Pollut. Bull. 2016, 113, 55–61. [Google Scholar] [CrossRef]
- Kılıç, E. Microplastic Ingestion Evidence by Economically Important Farmed Fish Species from Turkey. Mar. Pollut. Bull. 2022, 183, 114097. [Google Scholar] [CrossRef]
- Deudero, S.; Alomar, C. Mediterranean Marine Biodiversity under Threat: Reviewing Influence of Marine Litter on Species. Mar. Pollut. Bull. 2015, 98, 58–68. [Google Scholar] [CrossRef]
- Yu, R.S.; Singh, S. Microplastic Pollution: Threats and Impacts on Global Marine Ecosystems. Sustainability 2023, 15, 13252. [Google Scholar] [CrossRef]
- Pal, D.; Prabhakar, R.; Barua, V.B.; Zekker, I.; Burlakovs, J.; Krauklis, A.; Vincevica-Gaile, Z. Microplastics in Aquatic Systems: A Comprehensive Review of Its Distribution, Environmental Interactions, and Health Risks. Environ. Sci. Pollut. Res. 2025, 32, 56–88. [Google Scholar] [CrossRef]
- Anastasopoulou, A.; Viršek, M.K.; Varezić, D.B.; Digka, N.; Fortibuoni, T.; Koren, Š.; Tutman, P. Assessment on Marine Litter Ingested by Fish in the Adriatic and NE Ionian Sea Macro-Region (Mediterranean). Mar. Pollut. Bull. 2018, 133, 841–851. [Google Scholar] [CrossRef]
- Debbarma, N.; Gurjar, U.R.; Ramteke, K.K.; Shenoy, L.; Nayak, B.B.; Bhushan, S.; Xavier, M. Abundance and Characteristics of Microplastics in Gastrointestinal Tracts and Gills of Croaker Fish (Johnius dussumieri) from off Mumbai Coastal Waters of India. Mar. Pollut. Bull. 2022, 176, 113473. [Google Scholar] [CrossRef] [PubMed]
- Jabeen, K.; Su, L.; Li, J.; Yang, D.; Tong, C.; Mu, J.; Shi, H. Microplastics and Mesoplastics in Fish from Coastal and Fresh Waters of China. Environ. Pollut. 2017, 221, 141–149. [Google Scholar] [CrossRef]
- Gurjar, U.R.; Xavier, K.M.; Shukla, S.P.; Deshmukhe, G.; Jaiswar, A.K.; Nayak, B.B. Incidence of Microplastics in Gastrointestinal Tract of Golden Anchovy (Coilia dussumieri) from North East Coast of Arabian Sea: The Ecological Perspective. Mar. Pollut. Bull. 2021, 169, 112518. [Google Scholar] [CrossRef]
- Mohan, A.V.; Kuttykattil, A.; Toshiaki, I.; Sudhakaran, R. Assessment of Microplastic Contamination in Commercially Available Fishes. Mar. Environ. Res. 2024, 196, 106412. [Google Scholar] [CrossRef]
- Reinold, S.; Herrera, A.; Saliu, F.; Hernández-González, C.; Martinez, I.; Lasagni, M.; Gómez, M. Evidence of Microplastic Ingestion by Cultured European Sea Bass (Dicentrarchus labrax). Mar. Pollut. Bull. 2021, 168, 112450. [Google Scholar] [CrossRef] [PubMed]
- Aytan, U.; Senturk, Y.; Esensoy, F.B.; Oztekin, A.; Agırbas, E.; Valente, A. Microplastic Pollution along the Southeastern Black Sea. Mar. Litter Black Sea 2020, 56, 192–207. [Google Scholar]
- Palermo, J.D.; Labrador, K.L.; Follante, J.D.; Agmata, A.B.; Pante, M.J.; Rollon, R.N.; David, L.T. Susceptibility of Sardinella lemuru to Emerging Marine Microplastic Pollution. Glob. J. Environ. Sci. Manag. 2020, 6, 373–384. [Google Scholar] [CrossRef]
- Barutçu, E.Ç. Detection of Microplastics in the Digestive Systems of Some Fish Species Living in the Mert River (Samsun). Master’s Thesis, Ondokuz Mayıs University, Samsun, Turkey, National Thesis Center of Turkey, Thesis No: 791813. 2022. [Google Scholar]
- Terzi, Y. Microplastic Ingestion by Invasive Prussian Carp (Carassius gibelio) Used in Fishmeal Production in Türkiye. Environ. Monit. Assess. 2023, 195, 1232. [Google Scholar] [CrossRef] [PubMed]
- Toschkova, S.; Ibryamova, S.; Bachvarova, D.C.; Koynova, T.; Stanachkova, E.; Ivanov, R.; Ignatova-Ivanova, T. The Assessment of the Bioaccumulation of Microplastics in Key Fish Species from the Bulgarian Aquatory of the Black Sea. BioRisk 2024, 22, 17–31. [Google Scholar] [CrossRef]
- Ciucă, A.-M.; Stoica, E.; Barbeș, L. First Report of Microplastic Ingestion and Bioaccumulation in Commercially Valuable European Anchovies (Engraulis encrasicolus, Linnaeus, 1758) from the Romanian Black Sea Coast. J. Mar. Sci. Eng. 2025, 13, 394. [Google Scholar] [CrossRef]
- Şentürk, Y.; Emanet, M.; Ceylan, Y.; Aytan, U. The First Evidence of Microplastics Occurrence in Greater Pipefish (Syngnathus acus Linnaeus, 1758) in the Black Sea. Turk. J. Fish. Aquat. Sci. 2023, 23, TRJFAS23764. [Google Scholar] [CrossRef]
- Aytan, Ü.; Esensoy, F.B.; Şentürk, Y.; Güven, O.; Karaoğlu, K.; Erbay, M. Plastic Occurrence in Fish Caught in the Highly Industrialized Gulf of İzmit (Eastern Sea of Marmara, Türkiye). Chemosphere 2023, 324, 138317. [Google Scholar] [CrossRef]
- Barboza, L.G.; Vethaak, A.D.; Lavorante, B.R.; Lundebye, A.K.; Guilhermino, L. Marine Microplastic Debris: An Emerging Issue for Food Security, Food Safety and Human Health. Mar. Pollut. Bull. 2018, 133, 336–348. [Google Scholar] [CrossRef]
- Sparks, C.; Immelman, S. Microplastics in Offshore Fish from the Agulhas Bank, South Africa. Mar. Pollut. Bull. 2020, 156, 111216. [Google Scholar] [CrossRef]
- Neves, D.; Sobral, P.; Ferreira, J.L.; Pereira, T. Ingestion of Microplastics by Commercial Fish off the Portuguese Coast. Mar. Pollut. Bull. 2015, 101, 119–126. [Google Scholar] [CrossRef]
- Bellas, J.; Martinez-Armental, J.; Martinez-Camara, A.; Besada, V.; Martinez-Gomez, C. Ingestion of Microplastics by Demersal Fish from the Spanish Atlantic and Mediterranean Coasts. Mar. Pollut. Bull. 2016, 109, 55–60. [Google Scholar] [CrossRef] [PubMed]
- Eryaşar, A.R.; Mutlu, T.; Karaoğlu, K.; Veske, E.; Gedik, K. Assessment of Microplastic Pollution in Eleven Commercial Fish Species in the Gulf of İzmir (Aegean Sea, Eastern Mediterranean). Mar. Pollut. Bull. 2024, 208, 116932. [Google Scholar] [CrossRef]
- Wootton, N.; Reis-Santos, P.; Gillanders, B.M. Microplastic in Fish—A Global Synthesis. Rev. Fish Biol. Fish. 2021, 31, 753–771. [Google Scholar] [CrossRef]
- Lusher, A.L.; McHugh, M.; Thompson, R.C. Occurrence of Microplastics in the Gastrointestinal Tract of Pelagic and Demersal Fish from the English Channel. Mar. Pollut. Bull. 2013, 67, 94–99. [Google Scholar] [CrossRef]
- Kühn, S.; Bravo Rebolledo, E.L.; van Franeker, J.A. Deleterious Effects of Litter on Marine Life. In Marine Anthropogenic Litter; Bergmann, M., Gutow, L., Klages, M., Eds.; Springer: Berlin, Germany, 2015; pp. 75–116. [Google Scholar]
- McGoran, A.R.; Cowie, P.R.; Clark, P.F.; McEvoy, J.P.; Morritt, D. Ingestion of Plastic by Fish: A Comparison of Thames Estuary and Firth of Clyde Populations. Mar. Pollut. Bull. 2018, 137, 12–23. [Google Scholar] [CrossRef]
- Foekema, E.M.; Gruijter, C.D.; Mergia, M.T.; van Franeker, J.A.; Murk, A.J.; Koelmans, A.A. Plastic in North Sea Fish. Environ. Sci. Technol. 2013, 47, 8818–8824. [Google Scholar] [CrossRef] [PubMed]
- Collard, F.; Gilbert, B.; Compère, P.; Eppe, G.; Das, K.; Jauniaux, T.; Parmentier, E. Microplastics in Livers of European Anchovies (Engraulis encrasicolus, L.). Environ. Pollut. 2017, 229, 1000–1005. [Google Scholar] [CrossRef] [PubMed]
- Arias-Andres, M.; Kettner, M.T.; Miki, T.; Grossart, H.P. Microplastics: New Substrates for Heterotrophic Activity Contribute to Altering Organic Matter Cycles in Aquatic Ecosystems. Sci. Total Environ. 2018, 635, 1152–1159. [Google Scholar] [CrossRef]
- Alak, G.; Köktürk, M.; Ucar, A.; Parlak, V.; Kocaman, E.M.; Atamanalp, M. Thermal Processing Implications on Microplastics in Rainbow Trout Fillet. J. Food Sci. 2022, 87, 5455–5466. [Google Scholar] [CrossRef]
- Piskuła, P.; Astel, A. Occurrence of Microplastics in Commercial Fishes from Aquatic Ecosystems of Northern Poland. Ecohydrol. Hydrobiol. 2024, 24, 492–505. [Google Scholar] [CrossRef]
- Bessa, F.; Barria, P.; Neto, J.M.; Frias, J.P.G.L.; Otero, V.; Sobral, P.; Marques, J.C. Occurrence of Microplastics in Commercial Fish from a Natural Estuarine Environment. Mar. Pollut. Bull. 2018, 128, 575–584. [Google Scholar] [CrossRef]
- Verdile, N.; Cattaneo, N.; Camin, F.; Zarantoniello, M.; Conti, F.; Cardinaletti, G.; Brevini, T.A.L.; Olivotto, I.; Gandolfi, F. New Insights in Microplastic Cellular Uptake Through a Cell-Based Organotypic Rainbow-Trout (Oncorhynchus mykiss) Intestinal Platform. Cells 2025, 14, 44. [Google Scholar] [CrossRef]
- Romeo, T.; Pietro, B.; Peda, C.; Consoli, P.; Andaloro, F.; Fossi, M.C. First Evidence of Presence of Plastic Debris in Stomach of Large Pelagic Fish in the Mediterranean Sea. Mar. Pollut. Bull. 2015, 95, 358–361. [Google Scholar] [CrossRef] [PubMed]
- Peters, C.A.; Thomas, P.A.; Rieper, K.B.; Bratton, S.P. Foraging Preferences Influence Microplastic Ingestion by Six Marine Fish Species from the Texas Gulf Coast. Mar. Pollut. Bull. 2017, 124, 82–88. [Google Scholar] [CrossRef]
- Silva-Cavalcanti, J.S.; Silva, J.D.B.; de França, E.J.; de Araújo, M.C.B.; Gusmão, F. Microplastics Ingestion by a Common Tropical Freshwater Fishing Resource. Environ. Pollut. 2017, 221, 218–226. [Google Scholar] [CrossRef]
- Aytan, Ü.; Koca, Y.Ş.; Pasli, S.; Güven, O.; Ceylan, Y.; Basaran, B. Microplastics in Commercial Fish and Their Habitats in the Important Fishing Ground of the Black Sea: Characteristic, Concentration, and Risk Assessment. Mar. Pollut. Bull. 2025, 221, 118434. [Google Scholar] [CrossRef] [PubMed]
- Wieczorek, A.M.; Morrison, L.; Croot, P.L.; Allcock, A.L.; MacLoughlin, E.; Savard, O.; Brownlow, H.; Doyle, T.K. Frequency of Microplastics in Mesopelagic Fishes from the Northwest Atlantic. Front. Mar. Sci. 2018, 5, 39. [Google Scholar] [CrossRef]
- Jaafar, N.; Azfaralariff, A.; Musa, S.M.; Mohamed, M.; Yusoff, A.H.; Lazim, A.M. Occurrence, Distribution and Characteristics of Microplastics in Gastrointestinal Tract and Gills of Commercial Marine Fish from Malaysia. Sci. Total Environ. 2021, 799, 149457. [Google Scholar] [CrossRef]
- Hidalgo-Ruz, V.; Gutow, L.; Thompson, R.C.; Thiel, M. Microplastics in the Marine Environment: A Review of the Methods Used for Identification and Quantification. Environ. Sci. Technol. 2012, 46, 3060–3075. [Google Scholar] [CrossRef]
- Khalik, W.M.A.W.M.; Ibrahim, Y.S.; Anuar, S.T.; Govindasamy, S.; Baharuddin, N.F. Microplastics Analysis in Malaysian Marine Waters: A Field Study of Kuala Nerus and Kuantan. Mar. Pollut. Bull. 2018, 135, 451–457. [Google Scholar] [CrossRef]
- Sánchez-Guerrero-Hernández, M.J.; González-Fernández, D.; Sendra, M.; Ramos, F.; Yeste, M.P.; González-Ortegón, E. Contamination from Microplastics and Other Anthropogenic Particles in the Digestive Tracts of the Commercial Species Engraulis encrasicolus and Sardina pilchardus. Sci. Total Environ. 2023, 860, 160451. [Google Scholar] [CrossRef]
- Gartsiyanova, K.; Genchev, S.; Kitev, A. Assessment of Water Quality as a Key Component in the Water–Energy–Food Nexus. Hydrology 2024, 11, 36. [Google Scholar] [CrossRef]
- Cocci, P.; Gabrielli, S.; Pastore, G.; Minicucci, M.; Mosconi, G.; Palermo, F.A. Microplastics Accumulation in Gastrointestinal Tracts of Mullus barbatus and Merluccius merluccius Is Associated with Increased Cytokine Production and Signaling. Chemosphere 2022, 307, 135813. [Google Scholar] [CrossRef] [PubMed]
- Compa, M.; Alomar, C.; Wilcox, C.; van Sebille, E.; Lebreton, L.; Hardesty, B.D.; Deudero, S. Risk Assessment of Plastic Pollution on Marine Diversity in the Mediterranean Sea. Sci. Total Environ. 2019, 678, 188–196. [Google Scholar] [CrossRef] [PubMed]
- Koraltan, İ.; Mavruk, S.; Güven, O. Effect of Biological and Environmental Factors on Microplastic Ingestion of Commercial Fish Species. Chemosphere 2022, 303, 135101. [Google Scholar] [CrossRef] [PubMed]
- Koongolla, J.B.; Lin, L.; Yang, C.-P.; Pan, Y.-F.; Li, H.-X.; Liu, S.; Xu, X.-R. Microplastic Prevalence in Marine Fish from Onshore Beibu Gulf, South China Sea. Front. Mar. Sci. 2022, 9, 964461. [Google Scholar] [CrossRef]
- Ferreira, M.; Thompson, J.; Paris, A.; Rohindra, D.; Rico, C. Presence of Microplastics in Water, Sediments and Fish Species in an Urban Coastal Environment of Fiji, a Pacific Small Island Developing State. Mar. Pollut. Bull. 2020, 153, 110991. [Google Scholar] [CrossRef]
- Atamanalp, M.; Köktürk, M.; Uçar, A.; Duyar, H.A.; Özdemir, S.; Parlak, V.; Esenbuğa, N.; Alak, G. Microplastics in Tissues (Brain, Gill, Muscle and Gastrointestinal) of Mullus barbatus and Alosa immaculata. Arch. Environ. Contam. Toxicol. 2021, 81, 460–469. [Google Scholar] [CrossRef]
- Cera, A.; Secco, S.; Matarazzi, I.; Orsini, M.; De Santis, S.; Scalici, M. Ingestion of Prey Intensifies Microplastic Load in Mediterranean Commercial Fish. Cont. Shelf Res. 2025, 292, 105496. [Google Scholar] [CrossRef]




| Species | Oncorhynchus mykiss | Dicentrarchus labrax | Sparus aurata | Mullus barbatus | Trachurus mediterraneus | Merlangius merlangus |
|---|---|---|---|---|---|---|
| Common name | Rainbow trout | European seabass | Gilthead seabream | Red mullet | Horse mackerel | Whiting |
| Habitat | Benthopelagic | Demersal | Demersal | Demersal | Pelagic | Benthopelagic |
| Fish origin | Aquaculture | Aquaculture | Aquaculture | Wild-caught | Wild-caught | Wild-caught |
| Description | Lives near the bottom and in the water column | Inhabits nearshore, close to the seabed | Lives in rocky and sandy bottom areas | Lives on soft-bottom seabeds | Lives in open water (water column), exhibits migratory behavior | Inhabits the area between the bottom and water column |
| Sample (n) | 15 | 15 | 15 | 15 | 15 | 15 |
| Total length (cm) | 21.74 ± 2.55 | 23.5 ± 1.98 | 22.48 ± 2.09 | 12.98 ± 0.73 | 13.75 ± 0.70 | 16.01 ± 0.86 |
| GIT weight (g) | 5.56 ± 0.57 | 6.02 ± 0.93 | 6.77 ± 0.36 | 1.81 ± 0.31 | 1.78 ± 0.27 | 2.07 ± 0.38 |
| Total weight (g) | 132.36 ± 22.64 | 198.86 ± 31.85 | 215.64 ± 32.72 | 23.53 ± 2.05 | 23.23 ± 0.95 | 26.80 ± 1.99 |
| Total MP count | 139 | 114 | 135 | 92 | 88 | 71 |
| MP per fish | 9.26 ± 2.18 | 7.6 ± 1.19 | 9.0 ± 2.05 | 6.13 ± 1.11 | 5.86 ± 0.74 | 4.73 ± 1.13 |
Disclaimer/Publisher’s Note: The statements, opinions and data contained in all publications are solely those of the individual author(s) and contributor(s) and not of MDPI and/or the editor(s). MDPI and/or the editor(s) disclaim responsibility for any injury to people or property resulting from any ideas, methods, instructions or products referred to in the content. |
© 2025 by the author. Licensee MDPI, Basel, Switzerland. This article is an open access article distributed under the terms and conditions of the Creative Commons Attribution (CC BY) license (https://creativecommons.org/licenses/by/4.0/).
Share and Cite
Şimşek, A. Determination of Microplastic Pollution in Commercial Fish in the Middle Black Sea (Samsun), Türkiye. Toxics 2025, 13, 865. https://doi.org/10.3390/toxics13100865
Şimşek A. Determination of Microplastic Pollution in Commercial Fish in the Middle Black Sea (Samsun), Türkiye. Toxics. 2025; 13(10):865. https://doi.org/10.3390/toxics13100865
Chicago/Turabian StyleŞimşek, Arife. 2025. "Determination of Microplastic Pollution in Commercial Fish in the Middle Black Sea (Samsun), Türkiye" Toxics 13, no. 10: 865. https://doi.org/10.3390/toxics13100865
APA StyleŞimşek, A. (2025). Determination of Microplastic Pollution in Commercial Fish in the Middle Black Sea (Samsun), Türkiye. Toxics, 13(10), 865. https://doi.org/10.3390/toxics13100865

