Next Article in Journal
An Integrated DEA–Porter Decision Support Framework for Enhancing Supply Chain Competitiveness in the Muslim Fashion Industry: Evidence from Indonesia
Next Article in Special Issue
Modal Distribution Diversification and Intermodal Transport Analysis in Europe: A Comprehensive Investigation of Freight Transport Patterns
Previous Article in Journal
App-Based Logistics for Residual Biomass Recovery: Economic Feasibility in Fire Risk Mitigation
 
 
Font Type:
Arial Georgia Verdana
Font Size:
Aa Aa Aa
Line Spacing:
Column Width:
Background:
Article

Optimal Inventory Planning at the Retail Level, in a Multi-Product Environment, Enabled with Stochastic Demand and Deterministic Lead Time

by
Andrés Julián Barrera-Sánchez
and
Rafael Guillermo García-Cáceres
*
School of Industrial Engineering, Universidad Pedagógica y Tecnológica de Colombia (UPTC), Sogamoso 152211, Colombia
*
Author to whom correspondence should be addressed.
Logistics 2025, 9(3), 128; https://doi.org/10.3390/logistics9030128
Submission received: 19 July 2025 / Revised: 14 August 2025 / Accepted: 26 August 2025 / Published: 11 September 2025

Abstract

Background: Inventory planning in retail supply chains requires balancing cost efficiency and service reliability under demand uncertainty and financial limitations. The literature has seldom addressed the joint integration of stochastic demand, deterministic lead times, and supplier-specific constraints in multi-product and multi-warehouse settings, particularly in the context of small- and medium-sized enterprises. Methods: This study develops a Stochastic Pure Integer Linear Programming (SPILP) model that incorporates stochastic demand, deterministic lead times, budget ceilings, and trade credit conditions across multiple suppliers and warehouses. A two-step solution procedure is proposed, combining a chance-constrained approach to manage uncertainty with warm-start heuristics and relaxation-based preprocessing to improve computational efficiency. Results: Model validation using data from a Colombian retail distributor showed cost reductions of up to 17% (average 15%) while maintaining or improving service levels. Computational experiments confirmed scalability, solving instances with more than 574,000 variables in less than 8800 s. Sensitivity analyses revealed nonlinear trade-offs between service levels and planning horizons, showing that very high service levels or short planning periods substantially increase costs. Conclusions: The findings demonstrate that the proposed model provides an effective decision support system for inventory planning under uncertainty, offering robust, scalable, and practical solutions that integrate operational and financial constraints for medium-sized retailers.

1. Introduction

Stock management involves the acquisition and disposition of physical assets to ensure efficient operations within an organization’s commercial dynamics. It aims to optimize the costs associated with replenishment processes while also enhancing the firm’s competitive position, all under the constraints imposed by demand fluctuations and lead times [1]. While holding stock entails carrying and obsolescence costs, it also enables firms to benefit from economies of scale and quantity discounts [2]. The complexity of stock management lies in the need to consider organizational characteristics, as well as product, service, customer-specific, and regulatory requirements [3]. In retail operations, supply chain disruptions and delayed deliveries can compromise demand fulfillment and increase operational costs. Such risks justify incorporating safety stock policies and contractual agreements on lead times into the inventory optimization framework, ensuring resilience while maintaining cost efficiency.
Decision-making in this domain must account for factors such as uncertain demand, replenishment lead time, and associated costs [4]. Traditional methodologies focus on cost minimization using nonlinear mathematical models [5], relying on control variables such as fixed order quantities and static reorder points. Stock optimization becomes especially relevant in the retail sector, where purchasing and sales dynamics expose firms to significant risks [6].
Despite its importance, the literature offers limited attention to general stock management problems, often focusing instead on narrow, problem-specific formulations. This study proposes a mathematical programming model that integrates multiple relevant aspects of stock management through an optimization approach aimed at minimizing total costs. The proposed solution procedure is composed of two stages: a stochastic formulation is first developed and transformed via chance-constrained programming; subsequently, a warm-start heuristic is employed to enhance the performance of the mixed-integer solver. The model demonstrated computational efficiency for medium-sized instances. This approach not only enriches the existing literature but also provides practical solutions for stock management in the retail sector.
The research begins by identifying the stock management problem, which is subsequently refined and precisely defined following the literature review. The empirical context of this research involves a Colombian retail distributor specializing in automotive accessories, where inventory decisions affect a portfolio of over 150 products across two warehouses. For modeling purposes, 122 products representing approximately 85% of total sales were selected for analysis. The problem is characterized in terms of its scope, constraints, and objective, through the specification of parameters, decision variables, and constraints. Based on this, the model formulation is developed to address the defined stock problem. This leads to the design of a solution approach that balances computational efficiency and solution accuracy. The model is formulated as a Stochastic Pure Integer Linear Programming (SPILP) problem, enabling the representation of complex retail dynamics under uncertainty.
Stochastic demand plays a critical role in retail inventory planning, as demand fluctuations directly affect service levels, stockout risks, and total inventory costs. In addition, the planning context is not limited to linear supply chains but extends to supply networks, where multiple interconnected suppliers, warehouses, and distribution nodes interact. This network perspective better reflects the operational reality of the case study and the model’s multi-echelon capabilities. Inaccurate demand estimation can lead to either excess inventory—tying up capital and increasing holding costs—or shortages that erode customer satisfaction and revenue. Incorporating stochastic demand into the optimization framework allows for a more realistic representation of operational uncertainty, enabling decision-makers to balance cost efficiency with service reliability. This consideration is particularly relevant in multi-product, multi-warehouse environments, where demand variability compounds across locations and product categories, making robust and flexible planning essential.
A key novelty of this research lies in the explicit integration of financial constraints—namely, budget limitations per period and supplier-specific trade credit terms—into a stochastic inventory optimization framework. These economic considerations are rarely addressed simultaneously in the literature, particularly in models combining uncertainty with multi-product, multi-warehouse, and supplier-linked conditions.
This study addresses the research problem of determining optimal inventory replenishment policies in a multi-product, multi-warehouse retail environment under stochastic demand, deterministic lead times, and realistic financial and operational constraints. The aim is to provide a decision-support tool that integrates these factors to minimize total costs while maintaining target service levels.
The model proposed in this study advances the state of the art by holistically incorporating these dimensions, and by adopting a Stochastic Pure Integer Linear Programming (SPILP) approach combined with chance-constrained programming to ensure service levels while respecting budget limitations and supplier-specific constraints. This study focuses on the context of small- and medium-sized enterprises (SMEs), which typically face limited resources, multi-product portfolios, and uncertainty in demand. The proposed model is designed to address these challenges while maintaining computational tractability.
The main objectives of this research are as follows:
(i)
To formulate a Stochastic Pure Integer Linear Programming (SPILP) model that jointly incorporates stochastic demand, multi-product and multi-warehouse configurations, supplier-specific trade credit terms, and budget limitations per period;
(ii)
To design a two-step solution procedure combining chance-constrained planning with computational efficiency enhancements such as warm-start strategies and relaxation-based preprocessing;
(iii)
To validate the proposed model using data from a real retail environment and assess its performance in terms of optimality, scalability, and practical applicability.

2. Literature Review

The literature review focused on the Scopus and Web of Science (WoS) databases. Table 1 presents a summary of the reviewed literature, detailing the study objectives, modeling approach, and the solution procedures applied.
Despite the extensive literature on inventory models with stochastic demand, few studies simultaneously consider multi-product, multi-warehouse, and multi-period environments under investment constraints, supplier credit conditions, and deterministic lead times. Moreover, many works limit their scope to simplified settings with single suppliers or fixed lot sizes, and they often neglect the integration of practical financial restrictions into the modeling framework. In the reviewed studies, optimization-based techniques for modeling multi-faceted problems involving multiple products, multiple warehouses, or multiple suppliers are associated with NP-hard combinatorial problems [20], typically formulated as MIP (Mixed-Integer Programming) or MINLP (Mixed-Integer Nonlinear Programming) models, and solved using hybrid approaches that combine mathematical programming with heuristics or metaheuristics, or by means of linearization techniques; this is the approach adopted in the present work due to its computational efficiency. Some modeling approaches also incorporate queuing theory models [27]. Authors such as [28] and [9] propose linear programming formulations as both modeling and solution frameworks.
Recent comprehensive literature reviews have suggested several directions for future research in stock models. For instance, ref. [29] recommends incorporating the variability of multiple parameters, as well as considering multi-objective and multi-criteria decision-making frameworks. Additionally, both [29] and [28] highlight the need to extend existing models, often developed for single-item, single-supplier, and single-warehouse settings, to more complex contexts involving multiple items, multiple suppliers, and multiple stocking locations. They also emphasize the importance of integrating practical constraints such as time, space, budget, capacity, and other resources, which are typical limitations in real-world production and stock control systems [29], since unconstrained problems are unlikely in industrial applications [28].
A critical comparative analysis of the reviewed literature reveals several methodological limitations that the present model addresses. First, many studies rely on simplifications such as a single-echelon structure, neglecting the complexities introduced by managing multiple warehouses with heterogeneous capacities. Second, the majority of models focus on unit-level demand satisfaction without integrating supplier-specific purchase constraints such as trade credit terms, lot-size restrictions, or differentiated lead times. Third, while hybrid solution procedures are often employed, they are rarely tested under scenarios that combine budget constraints, service-level requirements, and stochastic demand simultaneously. Finally, the practical applicability of previous models is often limited by the use of theoretical assumptions, such as fixed lot sizes or unlimited inventory capacity, that diverge from real-world retail conditions. The proposed model addresses these gaps through a rigorous and integrated formulation that embeds multiple realistic constraints, adopts chance-constrained programming for demand uncertainty, and validates results with computational experiments grounded in retail data.
The recent contributions summarized in Table 1 highlight significant advances in stochastic inventory optimization, including robust and chance-constrained formulations using Affinely Adjustable Robust Optimization [23,24], large-scale data-driven Mixed-Integer Programming for multi-location placement in digital retail [25], and multi-stage stochastic programming for integrated assortment–inventory–promotion planning under uncertainty [26]. While these approaches demonstrate strong methodological innovations, they typically address a subset of the complexities faced in real retail environments and seldom combine multiple challenging features within a single optimization framework. In particular, the simultaneous integration of stochastic demand, period-specific budget limitations, supplier-specific trade credit terms, multi-product and multi-warehouse configurations, and operationally relevant constraints has not been extensively explored in the literature. The present study addresses this gap by proposing a Stochastic Pure Integer Linear Programming model that incorporates these dimensions, supported by a two-step solution procedure designed to ensure both optimality and computational efficiency in realistic planning contexts.
In conclusion, there is limited literature on stock models that jointly address a significant number of the aspects identified by [5], some of which are highlighted in the review summarized in Table 2. The main reason lies in the inherent complexity of modeling and solving real-world scenarios that incorporate a large set of relevant features in an optimization framework, an effort that, however, is undertaken comprehensively in this work.
On the other hand, warm-start heuristics, such as those applied in [30], prove effective in supply chain design problems with high-dimensional binary structures, similar to the inventory configuration addressed in this study In line with [31], applying relaxation-based preprocessing, such as Lagrangian relaxation, can tighten the feasible space and improve solver convergence. Despite extensive use of hybrid and metaheuristic approaches [16,20], few studies explicitly discuss warm-start heuristics as part of structured solution procedures [32].
The proposed model and its solution method are validated within a real-world retail setting. The model is implemented, and the results are analyzed and evaluated. This research adopts a quantitative, theoretical-practical, non-experimental, and deductive approach. The stock problem is addressed using mathematical procedures, initially from a theoretical perspective, with data that are not experimentally controlled. The study aims to evaluate a general problem and derive both specific and general conclusions.
Previous studies in stochastic inventory optimization have often addressed isolated aspects of the retail planning problem. For example, robust and chance-constrained formulations have primarily focused on service level control without incorporating financial constraints or supplier-specific terms [23,24]. Data-driven multi-location models have improved placement decisions but typically omit integrated budget and credit considerations [25], while multi-stage stochastic approaches to assortment–inventory–promotion planning rarely account for multi-warehouse configurations or explicit budget limitations [26]. By contrast, the present study integrates these dimensions into a unified Stochastic Pure Integer Linear Programming framework, allowing simultaneous consideration of stochastic demand, budget per period, supplier credit terms, multi-product/multi-warehouse interactions, and operational constraints, thereby overcoming several of the key limitations identified in the literature.

3. Research Methodology

3.1. The Model

The stock management problem described in the problem statement can be summarized as follows: In a retail context involving the sale of multiple products subject to stochastic demand, replenishment decisions must be made for each period within the planning horizon. These decisions are linked to a network of warehouses with limited storage capacity and are dependent on multiple suppliers for product provisioning. The stock problem exhibits the following characteristics and considerations:
Investment constraint: There is a budget cap for each period, which limits the volume of products that can be procured.
Trade credit conditions: Each supplier imposes specific payment terms with defined credit periods that must be honored.
Purchase conditions: Suppliers also set minimum and maximum order size constraints for each replenishment.
Lead time and safety stock: The lead time is deterministic, meaning the delivery time after ordering is known with certainty. However, potential delivery delays justify the use of safety stock to mitigate disruptions. In the business environment, deterministic lead time is commonly adopted to reduce uncertainty in material supply, typically formalized through supplier–customer contracts to ensure compliance with the agreed-upon service level.
Deterministic costs: The costs associated with the replenishment process include unit purchase costs, fixed setup costs per order, and stock holding costs.
Service level requirements: A specific service level must be ensured, i.e., a minimum percentage of demand that must be met without incurring stockouts.
The objective is to develop a mathematical optimization model that minimizes total cost over the planning horizon. Total cost comprises (1) the unit purchase cost per product and supplier; (2) a fixed setup cost incurred whenever an order is placed from a specific warehouse to a specific supplier, regardless of quantity or product type; and (3) the holding cost per warehouse. Instead of modeling backorders and their associated penalty cost, due to estimation difficulties, a service level approach is adopted. The service level is interpreted as the probability of meeting demand in each period of the planning horizon.
The decision to exclude explicit backorder penalties in the model formulation stems from both methodological and practical considerations. In real-world retail contexts, accurately estimating the cost of a stockout, including lost sales, customer dissatisfaction, and future demand disruption, is highly complex and context dependent. Assigning arbitrary penalty costs may introduce significant bias and misrepresent the economic impact of unmet demand. Instead, the model employs a service level constraint, which directly controls the probability of fulfilling demand without incurring stockouts. This approach offers a more robust and interpretable mechanism for inventory planning under uncertainty, while preserving model linearity and computational tractability. Moreover, using a probabilistic service level aligns with practical inventory management policies, where organizations often set service goals (e.g., 95%) based on business strategy rather than attempting to quantify every instance of shortage cost.
The planning horizon is composed of n equally spaced periods (e.g., weeks, fortnights, months). Considering the effect of lead time, a pre-horizon period is included to account for procurement decisions that must be made in advance to cover at least the first period of the planning horizon. Therefore, the full set of periods is defined as the union of the pre-horizon period and the actual demand periods.
Replenishment decisions allow for multiple sourcing: demand for a product may be fulfilled by orders from one or more suppliers. Suppliers may impose lower and upper bounds on the monetary value of each order. Furthermore, they may or may not offer trade credit, allowing the retailer a deferred payment period. In cases where payments exceed the allowed credit period, suppliers may impose a penalty cost, typically a percentage surcharge on the total order value. Allowing late payments would only be beneficial if it conferred an advantage; this is not the case in the present stock problem. Therefore, payments must occur within the supplier’s credit window to avoid additional costs.
Products are sold either partially or entirely through the warehouses, where sales behavior is modeled as a random variable with a known probability distribution. In the case study, the store area associated with each warehouse is treated as part of the warehouse’s total storage capacity. Therefore, all inventory held in the store area is included in the warehouse stock levels for modeling purposes. Each warehouse has a predefined storage capacity, expressed in volume, weight or throughput. Orders are placed individually by each warehouse; inter-warehouse consolidated orders are not considered, but consolidation across products from the same supplier is permitted. The current formulation does not include intermediate logistics hubs as separate entities in the network. All storage capacity is modeled at the warehouse level, and buffer stock functionality is represented through warehouse inventories. Future extensions of the model could incorporate hubs explicitly to evaluate their potential role in multi-echelon storage strategies.
Orders placed to each supplier must be paid within the planning horizon, even if the payment deadline extends beyond it. This implies that in each period, a budget or investment capacity is defined by the retailer.
Each period includes an inventory flow, where incoming flows consist of the initial stock (or the ending stock from the previous period) and new purchases, and outgoing flows correspond to demand fulfillment and ending stock levels.
Although lead times are assumed to be known, unexpected delays may occur, potentially disrupting operations. To address this, safety stock levels are maintained. These disruptions are not modeled as a stochastic component of lead time; rather, the additional time required due to delays is assumed to be deterministically estimable.
The described stock problem is represented by a pure stochastic linear integer programming model that minimizes total cost over the planning horizon, subject to constraints on demand satisfaction, minimum stock levels, inventory flow, warehouse capacity, investment limits, and minimum/maximum lot sizes. The formulation of this model is presented in the following section.
Figure 1 presents a schematic representation of the proposed inventory model, summarizing the main inputs, optimization steps, and expected outputs. This flowchart facilitates understanding of the model’s structure and its solution procedure.
-
The proposed model is developed under the following basic assumptions, which define its operational scope and complement the notation provided below.
-
Basic assumptions of the model:
-
Customer demand for each product in each period is stochastic and follows a discrete probability distribution estimated from historical data.
-
Lead times are deterministic and known in advance for all suppliers. Although the model incorporates deterministic lead times as an input parameter, it does not explicitly model transport time as a separate decision variable. The operational impact of transport time is considered indirectly through safety stock levels, which are calibrated to absorb potential delays between order placement and product reception.
-
Each supplier offers fixed trade credit terms, expressed as a maximum payable amount per period.
-
A budget limit applies to each planning period for procurement activities.
-
Inventory holding and ordering costs are constant within the planning horizon.
-
No backorders are allowed; unmet demand is considered lost sales.
-
The planning horizon is finite and divided into discrete periods.
-
All decision variables are integer-valued, reflecting indivisible product units and discrete shipments.
-
The model treats the selected items as independent products without explicit categorization by turnover or value class. However, the formulation is adaptable to incorporate ABC, XYZ, or similar inventory classifications if required in future applications. Similarly, classical inventory control policies such as (s, S) minimum–maximum rules are not embedded in the current formulation. Instead, replenishment decisions are optimized directly through the stochastic integer programming framework, ensuring that operational and financial constraints are jointly addressed. This comprehensive formulation enhances applicability and bridges a critical gap in both academic modeling and real-world retail inventory planning. Additionally, the model allows the explicit inclusion of safety stock levels for each product, warehouse, and period through a predefined parameter.

3.2. Mathematical Formulation

To complement the schematic model flowchart, Table 2 provides a structured overview of the model’s core components:
Objective function:
Minimization of total cost over the planning horizon
M i n   t T 0 s S w W p P s , w C 1 s p · x s w p t + t T 0 s S w W C 2 s w · b w s t + t T 0 w W p P w C 3 w p · i w s t
Equation (1) presents the objective function, which minimizes total costs over the planning horizon. The first term computes the total cost of the units of each product purchased in each period. The index j refers to the period in which the ordered products are received. Products are received at the very beginning of the period, not during it. We acknowledge that in many retail contexts, deliveries may occur multiple times within a planning period. The current formulation assumes a single delivery at the start of each period for modeling simplicity and computational tractability. Incorporating multiple deliveries per period is recognized as a potential extension of the model and will be considered in future research to increase operational realism. The second term calculates the fixed setup cost associated with the number of orders placed to each supplier from each warehouse, received during each period of the planning horizon. The number of orders placed is tracked using the binary variable b. The third term represents the total holding cost for units stored over the planning horizon. The quantity held in each period corresponds to the end-of-period stock, represented by the variable i.
Subject to:
Initial inventory:
i w p 0 = I S w p ,               w W ,       p P w
Equation (2) initializes the stock variable for each product and warehouse.
Safety stock:
i w p t S S w s t ,               w W ,       p P w ,       t T 0
Equation (3) sets a lower bound for stock levels in each period (excluding period 0), ensuring that the final stock is not lower than the required safety stock (SS). If replenishment delays are bounded, safety stock can be determined based on the possible additional lead time caused by such delays or through analytical considerations, either theoretical or practical, derived from experience [33].
Stochastic demand:
P d w p t D w p t ξ   1 α w p t ,               w W ,       p P w ,       t T 0
Equation (4) introduces the stochastic service level constraint, expressed in probabilistic terms, for each period (excluding period 0). This constraint ensures that the quantity delivered d satisfies the stochastic demand D at least (1 − α)% of the time. This formulation allows for a controlled level of risk: some demand realizations may violate the constraint, as long as the required service level is met with the specified probability (1 − α)%.
Bill of materials:
s S p x s w p t L T s + i w p t 1 = i w p t + d w p t ,               w W ,       p P w ,       t T 0   ˄   t L T s 1
Equation (5) presents the inventory balance (mass flow) constraint for each period, product, and warehouse. The incoming flows, represented by variables x and it−1, must equal the outgoing flows, represented by it and d. This equality holds when the product reception period j coincides with the planning period t.
Investment capacity per period:
j T j + P P s = t T s S w W p P s , w C 1 s p · x s w p j + P P s I C t ,               t T
Equation (6) establishes the investment or budget constraint. It ensures that the total payments made in period t do not exceed the available budget for that period. As previously mentioned, all supplier orders must be paid within the planning horizon, even if the supplier’s credit terms would otherwise allow for deferred payment beyond the final period. This means that each reception period j is associated with a payment period t, depending on the supplier s.
An order received in period j must have been placed at an earlier time point. The supplier’s credit term is counted from the moment the order was placed. We acknowledge that in certain contexts, especially for imported goods, credit terms may be applied from the date the goods enter inventory, and in such cases, the timing may depend on the applicable Incoterms. While the present formulation counts the credit period from the order placement date in alignment with the case study practices, it can be readily adapted to alternative conventions, including those based on Incoterms, if required in future applications. Therefore, the latest time point by which the retailer must pay the order is computed accordingly. If this time point falls within the planning horizon, the order is paid in the corresponding period. If it falls outside the planning horizon, the payment is made in the final period of the planning horizon.
Storage capacity:
p P w V p · i w p t 1 + s S p p P s , w V p · x s w p t L T s S C w ,           w W ,       t T 0   ˄   t L T s 1
The items handled or stored in a warehouse cannot exceed its maximum capacity limits, whether in terms of throughput, volume, or weight. Maximum inventory levels are defined at the beginning of each period, where the final inventory from the previous period (it−1) is added to the purchased orders (x) that arrive at the start of period t.
Maximum and minimum lot sizes, and binary assignment to the ordering event:
M N L S s · b s w t p P s , w x s w p t M X L S s · b s w t ,                 s S , w W , t T
Equation (8) defines the minimum and maximum lot size constraints. This constraint accounts for the conditions that suppliers may impose on the minimum and maximum aggregate monetary value of orders. Any order placed must fall within a monetary interval specified by the supplier. When an order is executed within the allowed interval [MNLS, MXLS], the binary variable used to compute the fixed setup cost is activated.
Variable bounds:
x s w p t + ,               t T ,   s S ,   w W ,   p P s , w i w p t + ,               t T ,   w W ,   p P w d w p t + ,               t T ,   w W ,   p P w b w s j 0 , 1 ,             j J ,   w W ,   s S
The objective function is linear (hence convex), and the chance constraint admits a linear deterministic equivalent under our data assumptions; see Appendix A for details.

3.3. Solution Procedure

Step 1: Deterministic equivalent model
The model proposed in the previous section is classified as a Stochastic Pure Integer Linear Programming (SPILP) model. It includes a set of linear, integer, and binary variables and constraints. The objective is the minimization of a linear function, subject to linear constraints. The inventory problem addressed by the model thus constitutes a mathematical programming problem. Such models benefit from solution algorithms implemented in computational environments.
The stochastic nature of the model is associated with the demand parameter, which is applied through the demand fulfillment constraint. This constraint is modeled as a probabilistic (stochastic) constraint. As ref. [34] notes, any stochastic mathematical programming model aims to transform it into a deterministic equivalent, which can then be solved using mathematical programming techniques aligned with the structure of the optimization problem. Accordingly, the model described in the previous section is transformed into its deterministic equivalent using the chance-constrained programming (CCP) technique developed by [35].
This approach allows for a specified proportion of stochastic events to violate the probabilistic constraint. Such constraints enable decision-makers to evaluate optimization objectives in terms of the probability of their achievement [36].
In many industrial problems, attention is focused on reliability and capacity, understood as the probability of satisfying a given demand or set of demands [37]. This is equivalent to modeling the risk inherent in the process If α is a predefined risk level chosen by the decision-maker, the implication is that the demand fulfillment constraint may be violated in α% of all possible cases [36].
In the context of the inventory problem, Equation (4) defines the demand fulfillment constraint. Given a risk level α (i.e., the probability of a stockout), total demand will not be met in α% of the realizations for period t, for each product p offered at each warehouse w. Since this is the only probabilistic constraint in the model, our requirement is simply that the total available quantity d be at least equal to the (1 − α) quantile of the cumulative demand in period t for each product p at warehouse w. Based on the formulation in [37], the deterministic equivalent of Equation (4) can therefore be written as follows:
d w p t F D w p t ξ 1 ξ 1 α w p t ,               w W ,       p P w ,       t T t 0
where F denotes the cumulative distribution function (CDF) of the random demand variable D. Assuming that D follows a normal distribution, the deterministic equivalent of the probabilistic constraint can be derived as follows:
P d w p t D w p t ξ   = P D w p t ξ E D w p t ξ V D w p t ξ d w p t E D w p t ξ V D w p t ξ 1 α w p t ,       w W ,     p P w ,       t T t 0
This is true only if
d w p t E D w p t ξ V D w p t ξ K α w p t ,               w W ,       p P w ,       t T t 0
Therefore, the stochastic constraint is equivalent to the following deterministic constraint:
d w p t E D w p t ξ + K α w p t · V D w p t ξ ,               w W ,       p P w ,       t T t 0
when F K α w p t = 1 α w p t
The parameter D is assumed to follow a normal distribution; therefore, in the above equation, it is represented by its mean and variance.
Step 2: Warm-Start Heuristics and Relaxation-Based Preprocessing
To improve computational performance, especially for large-scale instances, a warm-start phase is integrated prior to solving the deterministic equivalent model. This step involves generating a high-quality initial solution through linear relaxation, heuristic allocation of order quantities, or rounding methods. Selected variables are preassigned values based on relaxed solutions, and infeasibility is avoided through constraint-aware projection. This initial solution is injected into the solver, guiding the Branch and Bound tree and reducing total CPU time. Additionally, relaxation-based techniques such as Lagrangian relaxation or cutting planes may be applied to tighten bounds before the main optimization. This approach is consistent with [32] and [30], who highlight the efficiency gains of warm-start strategies in large-scale MIP problems.
The model is solved using the LINGO optimization system. For mixed-integer models, LINGO applies the Branch and Bound algorithm. An analysis was conducted using the commercial optimization software LINGO 19 (Table 3). Integer variables other than binary ones were relaxed as continuous due to the order sizes, which does not significantly affect the results for practical instances. In this regard, the magnitude of the instances addressed here qualifies them as practical instances of the problem.
We have added a pseudocode of the two-stage solution procedure in Appendix B to enhance the transparency and reproducibility of our method.

4. Results

This case study is grounded in the operational context of a Colombian retail distribution system involving multiple warehouses and a diverse set of suppliers. The model structure reflects real planning challenges related to supplier selection, inventory allocation, capacity limits, and credit-based procurement policies. Although the raw data used in the simulations remains confidential due to institutional agreements, the parameterization of the model was derived from industry practices and validated through expert consultation. Some parameter values have been proportionally adjusted to preserve confidentiality, while ensuring that the operational relationships and constraints observed in the real case remain accurately represented. This ensured the realism of the scenarios without disclosing sensitive information, and positioned the model as a reliable tool for decision-making under uncertainty.
To validate the applicability of the proposed model, it is tested in the context of a retailer specializing in automotive accessories. The retailer operates two warehouses located in the same city, where products are sold individually and supplied by multiple vendors. Both warehouses are equipped to store stock, and no lateral transshipments occur between them. While more than 150 products are sold across both warehouses, 122 of them are identified as relevant. All 122 products are sold in Warehouse 1, whereas 99 of them are sold in Warehouse 2. It is estimated that these 122 products account for approximately 85% of total sales across both locations.

4.1. Sensitivity Analysis

Within this context, the objective is to test the model and determine the optimal replenishment decisions for managing stock in this retail organization. To achieve this, a discrete parametric analysis of the model is conducted. A discrete parametric analysis involves systematically varying one or more model parameters in discrete increments and observing how these variations impact the model’s outcomes.
In the analysis, two parameters are varied: the service level and the number of periods in the planning horizon. First, the model is tested across service levels ranging from 50% to 95%, in increments of 5%. Second, the model is tested for three different planning horizon configurations: three, four, and six periods.
Changing the number of planning periods implies a change in the number of days covered by each period. For each service level tested, the number of planning periods is also varied. Thus, a total of 30 model runs are conducted. These values were selected following industry benchmarks in retail supply chains [38], and validated through expert consultation to ensure realistic representation of operational scenarios.
Varying the service level systematically affects the mean and standard deviation of the product demand probability distribution at each warehouse, requiring an adjustment of the percentile K corresponding to the specified service level. Given that the full planning horizon spans 72 days, we consider the following:
  • Three periods of 24 days;
  • Four periods of 18 days;
  • Six periods of 12 days.
Accordingly, the planning horizon is defined as the date range from 1 April 2024 to 22 June 2024.
The following table, Table 4, presents the results of each parameter variation, showing their effect on the total cost obtained:
It can be observed that increasing the number of planning periods leads to higher total costs. However, the increase in cost is not proportional to the number of periods. This is due to the nonlinear nature of the expression on the right-hand side of the deterministic demand fulfillment constraint.
For a 95% service level, the difference in total cost between using six and four periods is USD 11,552,466, and between three and four periods is USD 4,752,222. This suggests that using shorter time intervals, which increases the number of periods within a fixed planning horizon, results in higher costs than using longer periods, which reduces the number of planning intervals for the same horizon.
For instance, using 6-day periods instead of 24-day periods triples the number of planning periods, which in turn increases the inventory requirements and, proportionally, the associated costs, assuming those units are procured.
Additional considerations and findings are summarized as follows:
Varying the number of periods in the planning horizon significantly affects total cost, particularly the purchase cost (C1). Using shorter periods tends to increase total cost, primarily due to the need to purchase larger quantities of stock, place more orders, and hold more inventory to meet future demand. The nonlinear behavior of the standard deviation in the product demand distribution necessitates more inventory to satisfy demand in shorter periods compared to longer ones. Additionally, since the average daily demand per product is below one unit, it is expected that demand volumes for shorter periods remain relatively low.
As the service level (1 − α) increases, the total cost also increases. While the increase is not proportional, the relative increase in cost due to higher service levels is generally less impactful than the cost increase caused by varying the number of planning periods.
For the retail case analyzed in this study, the optimal solution in terms of total cost occurs when the planning horizon is divided into three periods of 24 days. In this scenario, the total cost ranges from approximately USD 49 million (at a 50% service level) to approximately USD 55 million (at a 95% service level). A sound decision involves selecting a configuration that balances cost and service level. For this, a 75% service level (associated cost: USD 51,445,821) or an 80% service level (associated cost: USD 51,547,821) may represent good trade-offs.
From a managerial perspective, the sensitivity results indicate that small increases in service level can lead to disproportionately higher costs, suggesting that service targets should be carefully aligned with customer value and demand variability. Similarly, extending the planning horizon can smooth procurement schedules but may also increase exposure to demand uncertainty, highlighting the need for robust forecasting. These insights can guide practitioners in calibrating model parameters to reflect strategic priorities while maintaining operational feasibility. To illustrate the sensitivity analysis, Appendix C was developed, presenting 2D and 3D figures that clearly visualize the results.

4.2. Computational Analysis

Furthermore, to assess the computational efficiency of the model, it was tested across several instances involving different sizes of the model’s sets. These are summarized in the following table, Table 5. As part of the model validation, a set of seven problem instances was performed to evaluate the impact of warm-start heuristics on computational performance.
Table 6 reports the solution times and warm-start savings for these cases. Results indicate a progressive reduction in CPU time as the model scales, with time savings ranging from 0% to 49% depending on instance size. This trend is visualized in Figure 2, which shows that the total solving time increases nonlinearly with problem size, yet remains tractable, particularly when warm-start procedures are applied. In larger instances, these heuristics significantly improved solver convergence by predefining feasible initial values and reducing the size of the search space. The overall computational gain demonstrates the value of combining stochastic formulation with relaxation-based preprocessing and warm-start strategies, especially in practical retail settings requiring timely decision support.
The results of the computational experiments for these instances are presented in the following table. The model performed well in the instances presented above, as can be seen in the table. The objective of the computational tests is not to verify the quality of the solutions; rather, it is to determine the model’s efficiency in solving problems of different sizes.
It is important to note that the warm-start procedure shown in Table 6 is not an independent heuristic, but an internal component of the solver’s exact algorithmic framework. This strategy accelerates the solution process without compromising optimality; therefore, all CPU times reported correspond to proven optimal solutions.
The computational analysis based on Table 6 confirms the scalability and robustness of the proposed model. As the number of products, warehouses, and suppliers increases across the instances, the model maintains tractable solution times even for large-scale cases. For instance, in instance seven, characterized by 976 products, seven warehouses, 48 suppliers, and 574,504 variables, the solution time remains under 25 h (8782 s), which is considered efficient given the problem’s combinatorial complexity. Additionally, the consistent growth in solution time and memory use across instances shows a predictable and stable computational pattern. This behavior demonstrates that the model and solution procedure can be applied in progressively larger retail environments without exponential degradation in performance. The use of a linear SPILP formulation, along with the relaxation of non-binary integer variables, proves to be effective for handling real-world inventory planning problems at scale.
To complement the interpretation of Table 5, a graphical analysis is conducted to assess the model’s computational scalability. This is achieved by plotting CPU time against the total number of decision variables across seven test instances of increasing size and complexity. Figure 2 illustrates the computational scalability of the proposed inventory model across seven instances of increasing complexity. Both original CPU times and those achieved using warm-start heuristics are presented for comparison.
The figure shows the relationship between the total number of decision variables and the CPU time (in seconds) required to solve each instance. As the size of the problem increases, CPU time grows in a nonlinear but predictable manner, confirming the model’s capacity to scale efficiently while maintaining computational feasibility for practical retail applications. The figure confirms that incorporating warm-start strategies significantly reduces computational time, particularly in large-scale instances. Time savings increase consistently with problem size, validating the effectiveness of the preprocessing techniques.

4.3. Scalability Analysis and Limitations

The results presented in Table 6 and illustrated in Figure 2 provide a scalability assessment of the proposed MIP model within a consistent experimental setting. As the number of variables and constraints increases across our family of instances, computational times exhibit a clear upward trend, confirming the expected growth in complexity while preserving solution quality, as evidenced by the optimality gaps reported in Table 3.
Although the largest instances tested already involve more than half a million variables, we deliberately did not explore substantially larger cases. Preliminary tests indicated that instances beyond those in Table 6 result in runtimes of several hours, which may become prohibitive in practical planning contexts. We therefore consider that addressing such scales efficiently would require further methodological developments to the solution procedure—particularly the design of decomposition strategies—which we identify as a promising avenue for future research.
It is important to note that all reported results correspond to proven optimal solutions, as the model was solved using exact MIP algorithms (Branch and Bound) on the deterministic equivalent of the SPILP formulation. The warm-start procedure applied in some instances is fully integrated into the solver’s exact algorithmic framework and serves solely to accelerate convergence without affecting the proof of optimality. Therefore, the computational times reported in Table 6 and illustrated in Figure 2 correspond to optimal solutions, ensuring both efficiency and solution quality.
In contrast to previous studies that often focus on isolated aspects of retail inventory planning—such as service level optimization without financial constraints, or budget allocation without multi-warehouse integration—our model addresses these complexities simultaneously within a single stochastic integer programming framework. Furthermore, the formulation explicitly supports a supply network structure by modeling multiple interconnected suppliers and warehouses, enabling decision-making in networked distribution systems rather than single-chain configurations. This integration enables realistic medium-scale applications with favorable runtimes, as demonstrated in our computational experiments. However, for significantly larger instances, additional methodological developments (e.g., decomposition methods or advanced warm-start strategies) would be required to maintain practical computation times, which is consistent with the scalability limitations reported in the broader literature.

4.4. Model Validation in a Real Retail Environment

The proposed model was implemented in the company that provided the operational data for this research. Implementation occurred over a six-month period, during which the model’s recommendations were used to guide replenishment decisions for the two warehouses analyzed. Table 7 presents aggregated, non-sensitive indicators comparing inventory performance before and after the model’s implementation.
All values are expressed as indexed or percentage changes relative to the pre-implementation baseline to preserve confidentiality. The results confirm that the model enabled significant cost savings while maintaining or improving service levels. These findings support the claims presented in the Conclusions and demonstrate the model’s practical applicability in a real retail setting.

5. Discussion

While the sensitivity analysis conducted in this study focused on varying the service level and the number of planning periods—parameters selected for their direct impact on operational decisions and total cost—we acknowledge that further sensitivity tests could be valuable. In particular, variables such as budget limits, purchasing costs, and demand variability may also influence decision-making. However, additional financial-related sensitivity developments were deliberately excluded from the present study due to confidentiality agreements with the participating company. The analysis presented here therefore prioritizes parameters with the highest managerial relevance that could be shared without compromising sensitive business information, ensuring actionable insights for practical implementation.
The integration of warm-start heuristics could reinforce the model’s practical applicability in large-scale contexts. CPU time reductions between 0% and 49% suggest potential computational benefits of this approach. These observations are consistent with previous studies [30,31], which have reported the efficiency of heuristic and relaxation-based methods in complex supply chain optimization.
The trend illustrated in Figure 1 suggests the suitability of the proposed SPILP model for large-scale inventory problems. Despite the exponential growth in problem size, the model appears to maintain a consistent and acceptable performance profile in the tested scenarios. This robustness could be particularly valuable for decision-making in retail organizations that manage extensive product portfolios and multi-echelon warehouse networks. From a computational standpoint, the model’s performance appears to remain robust even as the problem scales significantly in terms of products, suppliers, and warehouses. This is a noteworthy observation, particularly given the pure integer formulation and the stochastic nature of the demand constraint. The use of SPILP with a chance-constrained transformation appears not only theoretically sound but also potentially efficient in practice. This modeling strategy could allow the integration of multiple realistic constraints, including supplier credit, budget, and storage capacity, without compromising solvability.
The results obtained from both the parametric and computational analyses suggest the potential practical applicability and operational scalability of the proposed model. The discrete parametric evaluation across varying service levels and planning horizons appears to confirm expected economic behaviors in inventory systems: higher service levels and shorter planning intervals tend to incur higher total costs. Notably, the cost differentials observed are not linear, possibly reflecting the influence of demand variability and the compound effect of setup and holding costs.
As with any modeling approach, several simplifying assumptions must be acknowledged. First, the use of deterministic lead times is justified by contractual service-level agreements commonly enforced in retail supplier relationships; however, future models could incorporate lead time variability for increased realism. Second, backorder penalties are not explicitly modeled; instead, the probabilistic service level constraint serves as a practical proxy to control stockouts. While this approach enhances computational tractability and interpretability, further research may compare its performance against models that quantify shortage costs directly.
Importantly, the structure of the model appears to make it adaptable to a variety of retail contexts. It could support decisions on consolidation strategies, investment allocation, and inventory positioning. These findings suggest that the model might serve as a strategic tool for medium-sized retailers aiming to optimize inventory policies in environments with uncertainty and resource limitations. The model’s tractability and flexibility could open opportunities for implementation within decision support systems, ERP platforms, or as part of tactical planning routines, even without further experimental elaboration.
Beyond the specific context of retail inventory planning, the proposed model appears to hold promise for broader applications in other sectors facing multi-product and multi-site planning under uncertainty, such as manufacturing, pharmaceuticals, agribusiness, and humanitarian logistics. Its mathematical structure and reliance on standard solvers could make it amenable to integration into enterprise resource planning (ERP) systems and decision support platforms. By embedding the model within digital tools, organizations might be able to automate and optimize inventory decisions in real time, aligning operational performance with strategic service-level goals and financial constraints. This scalability and transferability could further enhance the model’s relevance and practical value.
The proposed model meets key attributes of efficiency as recognized in the operations research literature. First, it resolves complex inventory planning instances within acceptable time and resource limits, even at large scales, as evidenced by the computational experiments. Second, it delivers high-quality solutions, proven optimal through exact algorithms and supported by optimality gap thresholds. Third, the model demonstrates robustness and scalability, handling different instance sizes and parameter variations without loss of performance, and is generalizable to other operational settings. Finally, its integration of realistic business constraints—budget ceilings, supplier credit terms, stochastic demand, and capacity restrictions—provides practical advantages over existing approaches, making it directly applicable to real-world retail decision-making.

6. Conclusions

The goal of any inventory optimization approach is to support decision-making processes related to replenishment operations. Inventory management is a complex process because it requires the consideration of multiple factors to suggest optimal solutions. The importance of decision-making increases as the risk associated with purchasing and sales dynamics grows. This risk is particularly high for organizations such as retailers, who are especially vulnerable to demand fluctuations and often lack tools to efficiently plan their operations, especially small- and medium-sized enterprises (SMEs).
The model developed in this research addresses the inventory problem by integrating key aspects of inventory management that are rarely considered jointly in academic and applied studies. This is achieved through a methodology that proves both efficient and practical for settings typical of small- and medium-sized retail organizations. Moreover, the model serves as a valuable tool for addressing real-world inventory problems, as demonstrated in the model validation phase.
The model’s validation in a real retail environment, carried out under operational conditions in the company that provided the data, confirms its practical applicability. Aggregated performance indicators show cost reductions of up to 17% and average savings of approximately 15%, while maintaining or improving service levels, as presented in Section 4.4, Model Validation in a Real Retail Environment. These results support the model’s value as a decision-support tool for retail inventory planning.
The pure integer stochastic optimization model and its deterministic equivalent effectively capture demand uncertainty, enabling the inventory problem to be solved through total cost minimization while satisfying the specified constraints and ensuring a target service level.
The model allows for order consolidation from the same supplier and supports the management of multiple warehouses, considering constraints such as storage capacity, replenishment lead times, and trade credit conditions. These provide flexibility in procurement and stock allocation decisions. The model’s validation in a real commercial environment confirms its practical applicability.
It is also important to understand the characteristics of the model parameters to determine the appropriate conditions for its execution. As shown in the model validation, using short periods significantly increases total cost, which may be unnecessary when product demand rates are low within those short periods.
Finally, due to its formulation, the model is flexible to changes in constraints, optimization criteria, and the inclusion of new sets, indices, or variables, making it adaptable to contexts different from the one considered in this particular inventory problem. In summary, the proposed model satisfies the four fundamental attributes of efficiency: it solves the problem within practical time and resource limits, delivers proven optimal solutions, demonstrates robustness and scalability to different scenarios, and provides clear practical advantages over existing alternatives. These qualities confirm its value as a decision-support tool for inventory planning in complex and uncertain retail environments.
While the proposed model is effective for medium-scale instances, its application to significantly larger cases may require further methodological developments—such as decomposition techniques or advanced warm-start configurations—to maintain practical runtimes. Additionally, the model assumes fixed distributional parameters estimated ex-ante, which could be relaxed in future research to account for parameter uncertainty or adaptive forecasting. Exploring integration with real-time data feeds and hybrid optimization-heuristic approaches represents a promising avenue for extending its applicability.
This study successfully met its stated objectives: (i) The proposed SPILP model captured the complex operational and financial constraints present in real-world retail inventory planning; (ii) The two-step solution procedure demonstrated strong computational performance, achieving optimal solutions with favorable runtimes; and (iii) The model’s application to a real retail case confirmed its capacity to generate cost savings while maintaining service level targets. These results validate the practical relevance of the approach and its potential as a decision-support tool for inventory planners.

7. Recommendations and Research Perspectives

7.1. Practical Deployment and Sensitivity Testing

It is recommended to apply the proposed optimization model in other retail organizations with varying structural parameters, such as differentiated service levels across periods or modified operational constraints, to test its robustness and adaptability. Discrete parametric analyses should also be extended to include additional parameters—such as purchasing costs, budget ceilings, or demand variability—to gain deeper insights into the operational leverage offered by the model.

7.2. Handling Stochastic Parameters

In real-world applications, many parameters treated as deterministic in this study are subject to uncertainty. Future research could explore models where multiple parameters (e.g., demand, costs, or lead times) are modeled stochastically. This would enhance the realism of the model and improve its decision-making power in uncertain environments.

7.3. Model Extensions and Advanced Constraints

Future versions of the model may benefit from incorporating additional real-world features such as explicit backordering costs, perishability, deterioration, economies of scale, or lateral transshipments. These aspects are particularly relevant in sectors such as agribusiness or pharmaceuticals, where inventory dynamics are complex.

7.4. Perspectives for Algorithmic Enhancement and Computational Research

While the model has shown good computational performance using commercial solvers and deterministic transformation techniques (e.g., chance-constrained programming), further research is encouraged in the following directions:
Acceleration Methods: Techniques such as Benders decomposition, as used by [9], may be incorporated to decompose the problem into more tractable subproblems, especially under multi-echelon structures or multi-objective settings.
Hybrid Approaches: Combining mathematical programming with heuristics or simulation-based methods can improve scalability in larger instances. For instance, ref. [15] used a hybrid harmony search under fuzzy environments, and ref. [16] employed genetic algorithms tailored for multi-product constraints.
Metaheuristics: These are particularly useful in solving large-scale or non-convex formulations. Metaheuristic strategies such as the Genetic Region Reduction Algorithm [14], Variable Neighborhood Search [20], or Rain Optimization Algorithm [22] have proven effective in multi-warehouse, multi-product inventory settings similar to this work. These approaches can serve as benchmark methods or provide starting solutions for exact methods.

7.5. Integration into Intelligent Systems

This model can be extended and embedded into Enterprise Resource Planning (ERP) platforms or intelligent decision support systems for real-time inventory optimization. This would allow practitioners to dynamically adjust inventory decisions based on evolving data, using digital twins or AI-assisted planning.

7.6. Benchmarking and Comparative Studies

Future research may involve benchmarking the proposed model against other established approaches—including robust optimization, simulation-optimization, and multi-objective formulations—under standardized datasets to evaluate trade-offs between solution quality, computation time, and model interpretability.

Author Contributions

Conceptualization, A.J.B.-S. and R.G.G.-C.; Software, A.J.B.-S. and R.G.G.-C.; Validation, R.G.G.-C.; Formal analysis, A.J.B.-S. and R.G.G.-C.; Investigation, A.J.B.-S. and R.G.G.-C.; Resources, R.G.G.-C.; Data curation, A.J.B.-S.; Writing—original draft, A.J.B.-S. and R.G.G.-C.; Writing—review and editing, R.G.G.-C.; Funding acquisition, R.G.G.-C. All authors have read and agreed to the published version of the manuscript.

Funding

The authors gratefully acknowledge the financial support provided by the Universidad Pedagógica y Tecnológica de Colombia (UPTC), Grant SGI 3954.

Data Availability Statement

The original contributions presented in this study are included in the article. Further inquiries can be directed to the corresponding author.

Conflicts of Interest

The authors declare no conflict of interest.

Correction Statement

This article has been republished with a minor correction to the Data Availability Statement. This change does not affect the scientific content of the article.

Appendix A. Convexity and Linearity Proofs

Appendix A.1. Convexity of the Cost Function

Let x ∈ Rn denote purchase quantities, b ∈ {0,1}nb the binary order indicators, and i ∈ Rni the end-of-period inventories. The total cost is
min f (x,b,i) = cTx + fTb + hTi, where c, f, h are nonnegative cost vectors.
Lemma A1.
The function f (x,b,i) is convex in (x,i) and affine in b.
Proof. 
f is linear in each argument; linear functions are convex because for any λ ∈ [0,1] and any (x1,i1),(x2,i2),
f(λx1 + (1 − λ)x2, b, λi1 + (1 − λ)i2) = λ f(x1,b,i1) + (1 − λ) f(x2,b,i2).
Since the Hessian is the zero matrix, f is convex. The presence of binary variable b restricts the domain but does not alter convexity of the objective itself; standard MILP solvers handle integrality through exact algorithms (Branch and Bound/Branch and Cut). □
Remark A1.
If fixed setup costs are modeled via fTb, they remain linear (hence convex). No piecewise-linear or quadratic terms are introduced in the objective.

Appendix A.2. Linearity of the Deterministic-Equivalent Constraints

The stochastic service-level constraint for each (w,p,t) is
P({Dwpt} ≤ dwpt) ≥ 1 − αwpt.
Under our data assumptions, Dwpt ~ N (μwpt, σ2wpt) with μwpt, σwpt given parameters estimated exante from historical data. Hence, the chance constraint is equivalent to
dwptμwpt + z{1 − αwpt}σwpt,
where z{1 − αwpt} is the standard normal quantile (a constant).
Since dwpt is defined linearly through mass-balance and lead-time relations (and μwpt, σwpt, z{1 − αwpt} are constants), the deterministic equivalent is linear. Therefore, together with inventory balance, capacity, budget, and lot-size constraints—which are all linear—the continuous relaxation of the feasible set is polyhedral, and the full model is an MILP (SPILP).
Remark A2.
If alternative distributions were used but the quantile function yielded a constant RHS given exogenous parameters, linearity would still hold. Should the quantile depend on decision variables, additional modeling would be required; this is not the case here.

Appendix B

Input:
-
Sets of products (P), suppliers (S), warehouses (W), and time periods (T)
-
Parameters: stochastic demand, costs, lead times, capacities, budgets, trade credit terms, lot size constraints
Step 1: Chance-Constrained Programming (CCP)
  • For each product p ∈ P, warehouse w ∈ W, and period t ∈ T:
    • Estimate the mean and standard deviation of demand Dwp.
    • Calculate quantile q_wpt = F−1 (1 − α) based on desired service level.
  • Replace probabilistic demand constraint with its deterministic equivalent using qwpt.
  • Construct deterministic model formulation as a Mixed-Integer Linear Programming (MILP) model.
Step 2: Warm-Start Heuristic and Relaxation
4.
Relax all integer variables (excluding binary ordering decisions if necessary).
5.
Solve the relaxed model to obtain a feasible solution x_relaxed.
6.
For each variable:
  • Round values to nearest integer where appropriate.
  • Project any infeasible values onto the feasible region.
7.
Inject this initial solution as a warm start into the solver.
8.
Solve the final MILP model using a commercial solver (e.g., LINGO 19).
Output:
-
Optimal purchase quantities by product, supplier, warehouse, and period.
-
Total optimized cost.
-
Inventory levels per period.
-
Service level compliance.

Appendix C

A sensitivity analysis was conducted to evaluate how changes in key operational parameters influence the total cost in the proposed stochastic inventory model. The parameters selected—service level and number of planning periods—were chosen due to their high operational relevance and strategic importance in retail planning. By systematically varying these inputs, the analysis provides valuable insights into trade-offs, helping decision-makers identify balanced configurations that align service performance with budgetary constraints. The following figures illustrate the individual and combined effects of these parameters.
Figure A1 isolates the impact of service level on total cost while keeping the number of planning periods constant. Higher service levels increase total costs at an accelerating rate, reflecting the trade-off between customer service and budget constraints.
Figure A1. Total cost as a function of service level.
Figure A1. Total cost as a function of service level.
Logistics 09 00128 g0a1
As expected, total cost increases as service level targets rise, with the curve showing a convex pattern. This reflects the increasing marginal cost of achieving very high service levels, which can be prohibitive in practice. The inflection observed beyond approximately 95% service level indicates diminishing returns in customer satisfaction relative to the additional investment required.
Figure A2 examines how the length of the planning horizon affects total cost, holding the service level constant.
Figure A2. Total cost as a function of the number of planning periods.
Figure A2. Total cost as a function of the number of planning periods.
Logistics 09 00128 g0a2
Longer planning horizons tend to smooth procurement cycles and enable bulk purchasing, which can reduce certain costs. However, they also amplify the impact of forecast errors and demand variability, leading to a U-shaped cost curve. The minimum cost is achieved at an intermediate number of planning periods, suggesting that excessively short or long horizons are suboptimal.
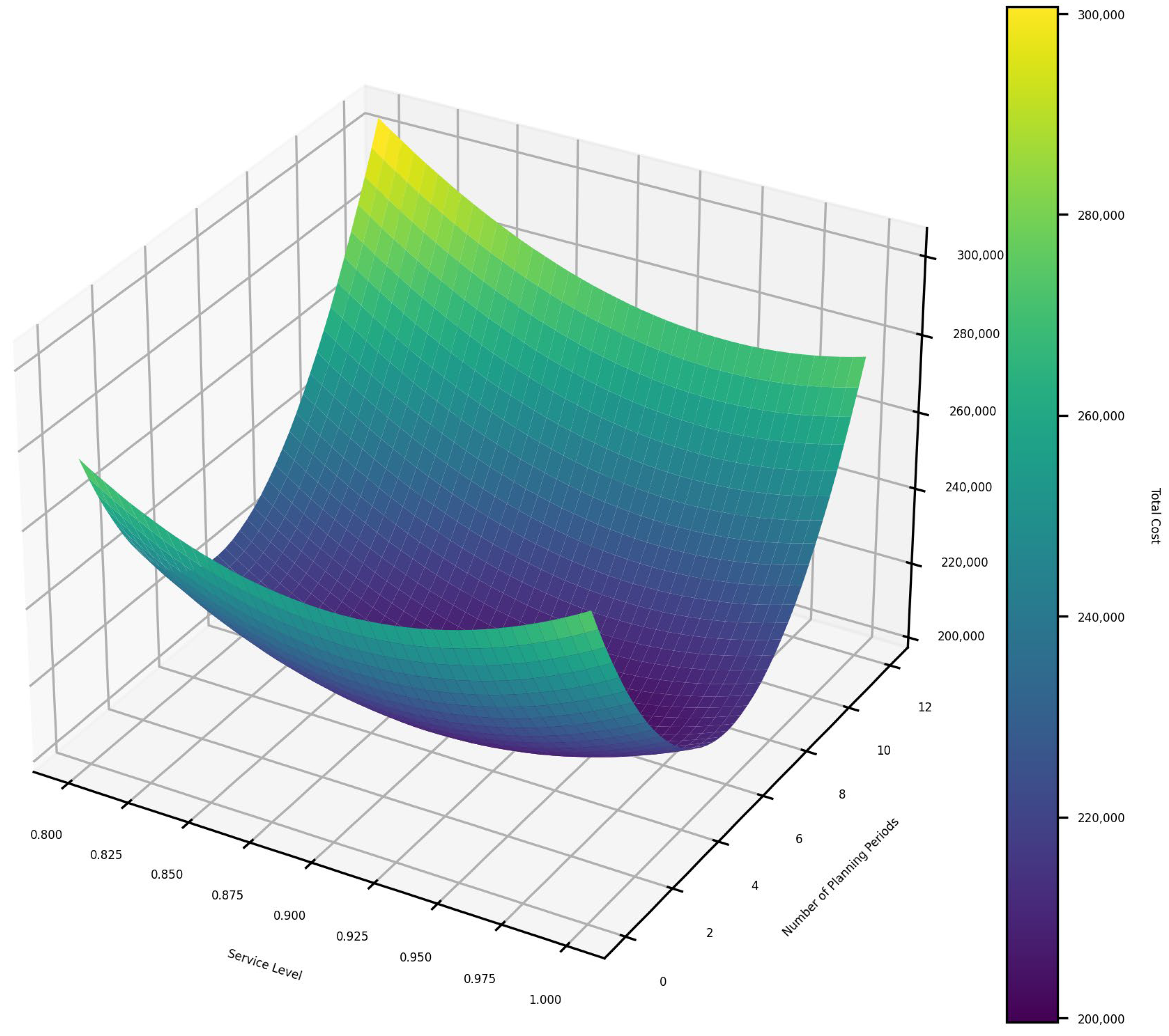
This 3D surface plot captures the joint influence of service level and number of planning periods on total cost, offering a multidimensional view of the trade-offs involved.
Figure A3. Combined effect of service level and number of planning periods on total cost (3D).
Figure A3. Combined effect of service level and number of planning periods on total cost (3D).
Logistics 09 00128 g0a3
The surface highlights a cost “valley” where moderate service levels and planning periods jointly minimize total costs. Steeper gradients on the surface correspond to parameter ranges where small changes can cause significant cost variations, underscoring the importance of careful calibration.

References

  1. Taylor, G.D. Introduction to Logistics Engineering; CRC Press: Boca Raton, FL, USA, 2008. [Google Scholar] [CrossRef]
  2. Ghiani, G.; Laporte, G.; Musmanno, R. Introduction to Logistics Systems Management; Wiley: Chichester, UK, 2013. [Google Scholar] [CrossRef]
  3. Gutiérrez, V.; Vidal, C.J. Modelos de Gestión de Inventarios en Cadenas de Abastecimiento: Revisión de la Literatura. Rev. Fac. Ing. Univ. Antioq. 2008, 43, 134–149. [Google Scholar]
  4. Shenoy, D.; Rosas, R. Problems and Solutions in Inventory Management; Springer: Cham, Switzerland, 2017. [Google Scholar] [CrossRef]
  5. Andriolo, A.; Battini, D.; Grubbström, R.W.; Persona, A.; Sgarbossa, F. A century of evolution from Harris’s basic lot size model: Survey and research agenda. Int. J. Prod. Econ. 2014, 155, 16–38. [Google Scholar] [CrossRef]
  6. Bowersox, D.J.; Closs, D.J.; Cooper, M.B. Supply Chain Logistics Management, 5th ed.; McGraw-Hill Education: New York, NY, USA, 2020. [Google Scholar]
  7. Björk, K.M. An analytical solution to a fuzzy economic order quantity problem. Int. J. Approx. Reason. 2009, 50, 485–493. [Google Scholar] [CrossRef]
  8. Chung, K.J.; Liao, J.J.; Ting, P.S.; Der Lin, S.; Srivastava, H.M. A unified presentation of inventory models under quantity discounts, trade credits and cash discounts in the supply chain management. Rev. Real Acad. Cienc. Exactas Físicas Nat. Ser. A Matemáticas 2018, 112, 509–538. [Google Scholar] [CrossRef]
  9. Thorsen, A.; Yao, T. Robust inventory control under demand and lead time uncertainty. Ann. Oper. Res. 2017, 257, 207–236. [Google Scholar] [CrossRef]
  10. Yang, L.; Li, H.; Campbell, J.F.; Sweeney, D.C. Integrated multi-period dynamic inventory classification and control. Int. J. Prod. Econ. 2017, 189, 86–96. [Google Scholar] [CrossRef]
  11. Shi, C.J.L.; Bugtai, N.T.; Billones, R.K.C. Multi-period inventory management optimization using integer linear programming: A case study on plywood distribution. In Proceedings of the 2022 IEEE 14th International Conference on Humanoid, Nanotechnology, Information Technology, Communication and Control, Environment, and Management (HNICEM), Boracay Island, Philippines, 1–4 December 2022. [Google Scholar] [CrossRef]
  12. Zhang, G. The multi-product newsboy problem with supplier quantity discounts and a budget constraint. Eur. J. Oper. Res. 2010, 206, 350–360. [Google Scholar] [CrossRef]
  13. Sicilia, J.; San-José, L.A.; Alcaide-López-de-Pablo, D.; Abdul-Jalbar, B. Optimal policy for multi-item systems with stochastic demands, backlogged shortages and limited storage capacity. Appl. Math. Model. 2022, 108, 236–257. [Google Scholar] [CrossRef]
  14. Maiti, M.K.; Maiti, M. Two storage inventory model in a mixed environment. Fuzzy Optim. Decis. Mak. 2007, 6, 391–426. [Google Scholar] [CrossRef]
  15. Taleizadeh, A.A.; Niaki, S.T.A.; Nikousokhan, R. Constraint multiproduct joint replenishment inventory control problem using uncertain programming. Appl. Soft Comput. 2011, 11, 5143–5154. [Google Scholar] [CrossRef]
  16. Saracoglu, I.; Topaloglu, S.; Keskinturk, T. A genetic algorithm approach for multi-product multi-period continuous review inventory models. Expert Syst. Appl. 2014, 41, 8189–8202. [Google Scholar] [CrossRef]
  17. Hammami, R.; Temponi, C.; Frein, Y. A scenario-based stochastic model for supplier selection in global context with multiple buyers, currency fluctuation uncertainties, and price discounts. Eur. J. Oper. Res. 2014, 233, 159–170. [Google Scholar] [CrossRef]
  18. Abginehchi, S.; Farahani, R.Z.; Rezapour, S. A mathematical model for order splitting in a multiple supplier single-item inventory system. J. Manuf. Syst. 2013, 32, 55–67. [Google Scholar] [CrossRef]
  19. Güder, F.; Zydiak, J.L. Fixed cycle ordering policies for capacitated multiple item inventory systems with quantity discounts. Comput. Ind. Eng. 2000, 38, 67–77. [Google Scholar] [CrossRef]
  20. Đorđević, L.; Antić, S.; Čangalović, M.; Lisec, A. A metaheuristic approach to solving a multiproduct EOQ-based inventory problem with storage space constraints. Optim. Lett. 2017, 11, 1137–1154. [Google Scholar] [CrossRef]
  21. Jana, D.K.; Das, B. A two-storage multi-item inventory model with hybrid number and nested price discount via hybrid heuristic algorithm. Ann. Oper. Res. 2017, 248, 281–304. [Google Scholar] [CrossRef]
  22. Kumar, S.; Mahapatra, R.P. Design of multi-warehouse inventory model for an optimal replenishment policy using a rain optimization algorithm. Knowl.-Based Syst. 2021, 231, 107406. [Google Scholar] [CrossRef]
  23. Sun, Z.; Qiu, M.; Sun, S. Inventory optimization under temporary discounts with service level requirements: An affinely adjustable robust approach. Int. J. Prod. Econ. 2024, 264, 108985. [Google Scholar] [CrossRef]
  24. Qiu, R.; Sun, Y.; Sun, M.; Yu, Y. Affinely adjustable robust optimization for a multi-period inventory problem with capital constraints and demand uncertainties. Intl. Trans. Oper. Res. 2024, 31, 415–447. [Google Scholar] [CrossRef]
  25. Wang, X.; Minner, S. Data-driven multi-location inventory placement in digital retail. Comput. Ind. Eng. 2025, 191, 110456. [Google Scholar] [CrossRef]
  26. Saccomanno, A.; Sgalambro, A.; Zambon, F.; Wauters, T. Integrated assortment, inventory, and promotion planning under demand uncertainty. Eur. J. Oper. Res. 2025, 315, 548–564. [Google Scholar] [CrossRef]
  27. Vidal, G.H. Deterministic and Stochastic Inventory Models in Production Systems: A Review of the Literature. Process Integr. Optim. Sustain. 2022, 7, 29–50. [Google Scholar] [CrossRef]
  28. Svoboda, J.; Minner, S.; Yao, M. Typology and literature review on multiple supplier inventory control models. Eur. J. Oper. Res. 2021, 293, 1–23. [Google Scholar] [CrossRef]
  29. Alfares, H.K.; Ghaithan, A.M. EOQ and EPQ Production-Inventory Models with Variable Holding Cost: State-of-the-Art Review. Arab. J. Sci. Eng. 2019, 44, 1737–1755. [Google Scholar] [CrossRef]
  30. Ferrer, A.; Medaglia, A.L.; Velásquez-Bermúdez, J.D. A hybrid heuristic for a bi-objective supply chain design problem. Eur. J. Oper. Res. 2009, 197, 647–659. [Google Scholar] [CrossRef]
  31. Gupta, D.; Maranas, C.D. Managing demand uncertainty in supply chain planning. Comput. Chem. Eng. 2003, 27, 1219–1227. [Google Scholar] [CrossRef]
  32. Bixby, R.E. A brief history of linear and mixed-integer programming computation. In Optimization Stories, Proceedings of the 21st International Symposium on Mathematical Programming. Berlin, Germany, 19–24 August 2012; EMS Press: Berlin, Germany, 2012; Extra Volume, pp. 107–121. [Google Scholar]
  33. Silver, E.A.; Pyke, D.F.; Peterson, R. Inventory Management and Production Planning and Scheduling, 3rd ed.; Wiley: New York, NY, USA, 1998. [Google Scholar]
  34. Rao, S.S. Engineering Optimization: Theory and Practice; Wiley: Hoboken, NJ, USA, 2019. [Google Scholar] [CrossRef]
  35. Charnes, A.; Cooper, W.W. Chance-constrained programming. Manag. Sci. 1959, 6, 73–79. [Google Scholar] [CrossRef]
  36. Olson, L.; Wu, D. Chance-Constrained Models. In Enterprise Risk Management Models; Springer: Berlin/Heidelberg, Germany, 2020. [Google Scholar]
  37. Birge, J.R.; Louveaux, F. Introduction to Stochastic Programming; Springer: New York, NY, USA, 2011. [Google Scholar]
  38. Simchi-Levi, D.; Kaminsky, P.; Simchi-Levi, E. Designing and Managing the Supply Chain: Concepts, Strategies and Case Studies, 3rd ed.; McGraw-Hill Education: New York, NY, USA, 2008. [Google Scholar]
Figure 1. Model’s overall structure and solution flow. Source: the authors.
Figure 1. Model’s overall structure and solution flow. Source: the authors.
Logistics 09 00128 g001
Figure 2. Computational scalability of the proposed inventory model. Source: the authors, based on computational results in Table 5.
Figure 2. Computational scalability of the proposed inventory model. Source: the authors, based on computational results in Table 5.
Logistics 09 00128 g002
Table 1. Literature Review.
Table 1. Literature Review.
ReferenceObjective of the StudyModelSolution Procedure
[7]Develop an analytical solution to an EOQ problem with demand uncertaintyFNLOAnalytical solution
[8]Incorporate the concepts of two levels of commercial credit (retail and customers)NLOAnalytical solution
[9]Develop a robust optimization model with uncertainty in demand and lead timeLPBenders decomposition algorithm
[10]Propose a multi-item inventory classification and control optimization model MILPMILP (Branch and Bound algorithm)
[11]Formulate and apply an inventory optimization modelMILPMILP (Branch and Bound algorithm)
[12]Develop a multi-period, newsboy-type model with budget constraints and quantity discountsMINLPLagrangian relaxation heuristic
[13]Develop a multi-product, single-period, stochastic demand and power pattern model in the inventory cycleSNLPLagrangian relaxation heuristic
[14]Develop a multi-product inventory model, in two warehouses, with fuzzy stochastic demand and costsNLFSPGenetic region reduction algorithm (RRGA)
[15]Build a multi-restrictive joint product model for purchasing high-priced raw materialsINLFPHybrid harmony search method, fuzzy and approximate simulation
[16]Formulate a reorder point model focused on multi-product management, under budget, storage, and shelf-life restrictionsILPGenetic algorithm (GA)
[17]Formulate an inventory model with supplier selection, multiple warehouses, quantity discounts, and uncertainty in the purchasing processMISPMILP (Branch and Bound algorithm)
[18]Develop a mathematical model that incorporates multiple suppliers, with a single product and retailer under probabilistic demandSOSequential quadratic programming algorithm (SQP)
[19]Solving a multi-joint inventory problem with storage limitations, using a heuristic procedureNLOFixed cycle heuristic
[20]Solving the storage-constrained EOQ model using a metaheuristic approachNLOLocal Search Heuristic and Variable Neighborhood Metaheuristic
[21]Study a two-warehouse inventory model with multiple discounted items nested in unit cost and inventory costs over a fixed-cost periodMINLPMulti-objective genetic algorithm with variable population (MOGAVP)
[22]A cost minimization model for multi-item inventory management with multiple suppliers and warehousesNLORain Optimization Algorithm (ROA)
[23]Multi-period inventory planning with temporary discounts and service level requirements under demand uncertaintyAffinely Adjustable Robust chance-constrained programming model with budgeted uncertainty setRobust linear counterpart transformation and bi-level iterative algorithm to adjust uncertainty budget and ensure service level
[24]Multi-period inventory control with capital constraints and uncertain demand; probabilistic guarantee on expenditureJoint chance-constrained programming integrated with Affinely Adjustable Robust OptimizationDerivation of the robust counterpart of the JCC and efficient solution scheme for ordering policies under capital restriction
[25]Data-driven multi-location inventory placement for digital retailLarge-scale Mixed-Integer Programming model with data-driven parameter estimationComputational optimization framework for coordinated placement decisions across multiple locations, validated with real e-commerce data
[26]Integrated in-store assortment, inventory, and promotion planning under demand uncertaintyMulti-Stage Stochastic Linear Programming model for high-volume/low-margin retailScenario-based multi-stage stochastic solution with demand elasticity estimation and computational validation
FNLO: Fuzzy nonlinear optimization, NLO: Nonlinear optimization, LP: Linear programming, MILP: Mixed-integer linear programming, MINLP: Mixed-integer nonlinear programming, SNLP: Stochastic nonlinear programming, NLFSP: Nonlinear fuzzy stochastic programming, INLFP: Integer nonlinear fuzzy programming, ILP: Integer linear programming, MISP: Mixed-integer stochastic programming, SO: Stochastic optimization, NLO: Nonlinear optimization. Source: the authors.
Table 2. The model.
Table 2. The model.
ComponentDescription
SetsProducts (P), Suppliers (S), Warehouses (W), Time periods (T)
ParametersStochastic demand, costs, lead times, budgets, capacities, lot sizes
Decision VariablesOrder quantities (x), inventories (i), binary order indicators (b)
ConstraintsDemand satisfaction, investment budget, warehouse capacity, lot bounds
ObjectiveMinimize total cost: purchasing + setup + holding
SymbolDescription
TSet of time periods where supply decisions are made
JSet of periods in which ordered products are received and made available
PSet of products
SSet of suppliers
WSet of warehouses
P w Products sold at warehouse w
S p Suppliers offering product p
P s , w Set of products p offered by suppliers s sold at warehouse w
J s , t Set of periods j whose payment periods are the periods t associated with supplier s
SymbolDescription
D w p t Stochastic demand of product p in warehouse w during period t
C 1 s p Unit purchase cost of product p from supplier s
C 2 s w Fixed cost per order from supplier s to warehouse w
C 3 w p Holding cost of product p at warehouse w
α w p t Probability of shortage of product p in warehouse w during period t
S C w Storage capacity of warehouse w
I C t Investment budget in period t
L T s Replenishment lead time from supplier s
I S w p Initial inventory of product p at warehouse w
S S w p t Safety stock of product p at warehouse w for period t
M X L S s Maximum purchase allowed per order from supplier s
M N L S s Minimum purchase allowed per order from supplier s
V p Volume of product p
P P s Payment period granted by supplier s
SymbolDescription
x s w p j Units of product p purchased from supplier s for warehouse w, received in period j
d w p t Units of product p demanded in warehouse w during period t
i w p t Inventory level of product p in warehouse w at the end of period t
b w s j Binary variable: 1 if an order is made to supplier s from warehouse w in period j; 0 otherwise
Table 3. Hardware specifications.
Table 3. Hardware specifications.
ProcessorAMD RYZEN 5, 2.8 Ghz
RAM24 Gb
Operating system64 bits Windows 11
Optimization softwareLINGO 19
Integer optimality tolerances1 × 10−6 (absolute), 8 × 10−6 (relative)
Linear optimality tolerances1 × 10−7 (absolute)
Source: the authors.
Table 4. Model results.
Table 4. Model results.
Service Level (1 − α)%Number of PeriodsTotal Cost (USD)
50%Three periods–24 daysUSD 49,499,707
50%Four periods–18 daysUSD 54,324,624
50%Six periods–12 daysUSD 65,634,467
55%Three periods–24 daysUSD 49,569,257
55%Four periods–18 daysUSD 55,134,084
55%Six periods–12 daysUSD 66,397,170
60%Three periods–24 daysUSD 50,624,794
60%Four periods–18 daysUSD 55,406,273
60%Six periods–12 daysUSD 67,208,829
65%Three periods–24 daysUSD 50,890,444
65%Four periods–18 daysUSD 55,919,235
65%Six periods–12 daysUSD 67,367,879
70%Three periods–24 daysUSD 50,977,873
70%Four periods–18 daysUSD 56,396,323
70%Six periods–12 daysUSD 67,420,373
75%Three periods–24 daysUSD 51,601,026
75%Four periods–18 daysUSD 57,229,167
75%Six periods–12 daysUSD 67,536,379
80%Three periods–24 daysUSD 51,703,056
80%Four periods–18 daysUSD 57,536,379
80%Six periods–12 daysUSD 68,467,314
85%Three periods–24 daysUSD 52,790,101
85%Four periods–18 daysUSD 58,138,932
85%Six periods–12 daysUSD 68,658,372
90%Three periods–24 daysUSD 53,862,352
90%Four periods–18 daysUSD 58,278,685
90%Six periods–12 daysUSD 69,497,909
95%Three periods–24 daysUSD 55,028,351
95%Four periods–18 daysUSD 59,791,369
95%Six periods–12 daysUSD 71,360,139
Source: the authors.
Table 5. Instances of computational tests.
Table 5. Instances of computational tests.
Supply Chain CharacterizationInstances
Sets1234567
Products p 84122183244488732976
Warehouses w 2234567
Suppliers s 56912243648
Periods t 571010101010
Periods j 4699999
Products associated with warehouses P w 149221519844225639786280
Suppliers—products S p 84122293488195243927808
Source: the authors.
Table 6. Results of instances of the computational tests.
Table 6. Results of instances of the computational tests.
Model CharacterizationInstances
Indicators1234567
Integer Variables1937419917,37643,460124,080290,394571,480
Binary Variables4072243432108019443024
Total Variables1977427117,61943,892125,160292,338574,504
Total Restrictions1881414114,53624,77863,127111,358175,681
CPU Time (s)4224712656025468782
Warm Start—CPU Time Reduction (%) *0%15%25%32%38%44%49%
Generator Memory Used (kB)66314005388991837,10974,338168,629
* Note: The percentages indicate typical CPU time reductions achieved using warm-start heuristics and preprocessing strategies. Source: the authors.
Table 7. Model validation in a real retail environment.
Table 7. Model validation in a real retail environment.
IndicatorBefore
Implementation
After
Implementation
Relative Change
Average total inventory cost (USD)100%85%−15%
Maximum monthly inventory cost (USD)117%100%−17%
Service level compliance (%)92%95%+3%
Average replenishment frequency (days)1418+4 days
Source: the authors.
Disclaimer/Publisher’s Note: The statements, opinions and data contained in all publications are solely those of the individual author(s) and contributor(s) and not of MDPI and/or the editor(s). MDPI and/or the editor(s) disclaim responsibility for any injury to people or property resulting from any ideas, methods, instructions or products referred to in the content.

Share and Cite

MDPI and ACS Style

Barrera-Sánchez, A.J.; García-Cáceres, R.G. Optimal Inventory Planning at the Retail Level, in a Multi-Product Environment, Enabled with Stochastic Demand and Deterministic Lead Time. Logistics 2025, 9, 128. https://doi.org/10.3390/logistics9030128

AMA Style

Barrera-Sánchez AJ, García-Cáceres RG. Optimal Inventory Planning at the Retail Level, in a Multi-Product Environment, Enabled with Stochastic Demand and Deterministic Lead Time. Logistics. 2025; 9(3):128. https://doi.org/10.3390/logistics9030128

Chicago/Turabian Style

Barrera-Sánchez, Andrés Julián, and Rafael Guillermo García-Cáceres. 2025. "Optimal Inventory Planning at the Retail Level, in a Multi-Product Environment, Enabled with Stochastic Demand and Deterministic Lead Time" Logistics 9, no. 3: 128. https://doi.org/10.3390/logistics9030128

APA Style

Barrera-Sánchez, A. J., & García-Cáceres, R. G. (2025). Optimal Inventory Planning at the Retail Level, in a Multi-Product Environment, Enabled with Stochastic Demand and Deterministic Lead Time. Logistics, 9(3), 128. https://doi.org/10.3390/logistics9030128

Article Metrics

Back to TopTop