Impacts of Clarification Techniques on Sample Constituents and Pathogen Retention
Abstract
1. Introduction
2. Materials and Methods
2.1. Food Matrix Preparation
2.1.1. Glass Wool (GW) Filtration
2.1.2. 50 Micron Polypropylene Filter (50 μm filter)
2.1.3. Graphite Felt (GF) Filtration
2.1.4. Continuous Flow Centrifugation (CFC)
2.2. Particle Size Determination
2.3. Sample Composition Determination
2.4. Bacterial Strains and Growth Conditions
2.5. Preparation of Inoculum and Filtering of Spiked Samples
2.6. Tandem Filtration of Spiked Ground Beef Samples
2.7. Culture Plate Photomicrography
2.8. Data Analsysis
3. Results
3.1. Particle Size Distribution was Affected by Sample Preparation Techniques
3.2. Sample Preparation Methods Resulted in Compositional Changes to the Matrix
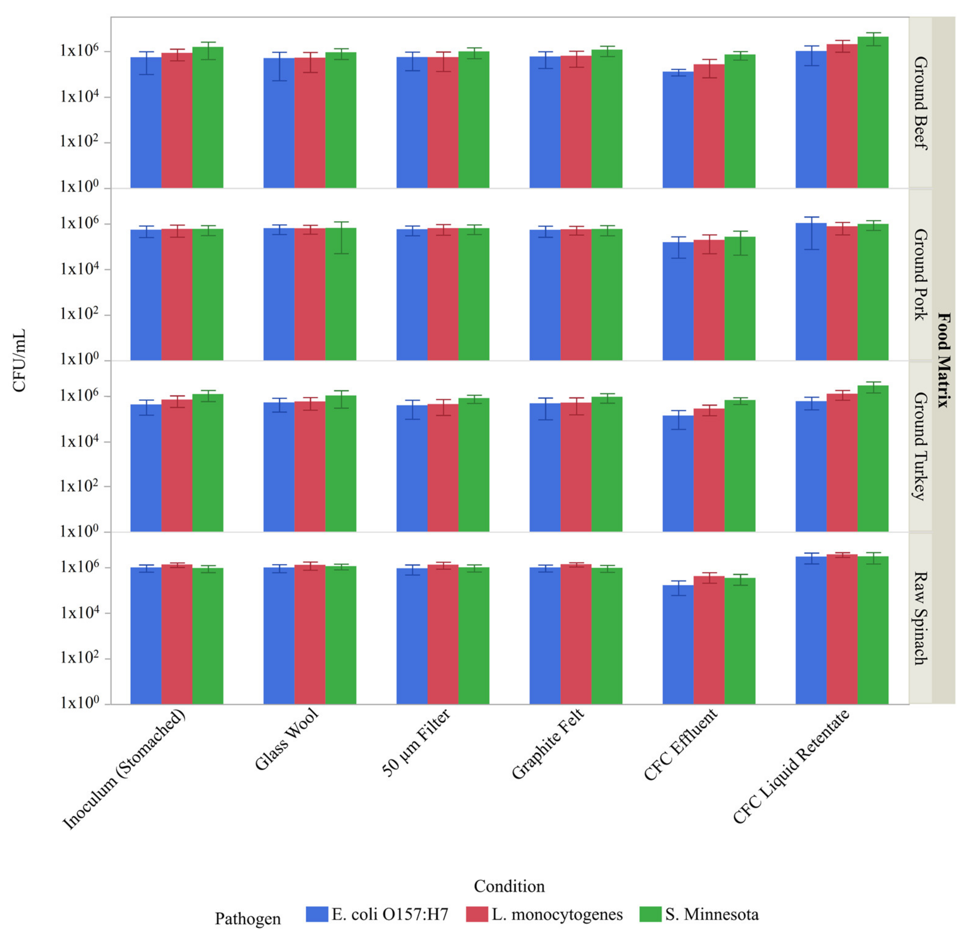
3.3. High Percentage of Bacterial Recovery Post-processing
3.4. Use of GW Filtration Prior to CFC Decreased Losses of Pathogenic Bacteria Associated with CFC
4. Discussion
5. Conclusions
Author Contributions
Funding
Acknowledgments
Conflicts of Interest
References
- Havelaar, A.H.; Haagsma, J.A.; Mangen, M.J.J.; Kemmeren, J.M.; Verhoef, L.P.B.; Vijgen, S.M.C.; Wilson, M.; Friesema, I.H.M.; Kortbeek, L.M.; van Duynhoven, Y.T.H.P.; et al. Disease burden of foodborne pathogens in the Netherlands, 2009. Int. J. Food Microbiol. 2012, 156, 231–238. [Google Scholar] [CrossRef] [PubMed]
- Thabane, M.; Kottachchi, D.T.; Marshall, J.K. Systematic review and meta-analysis: The incidence and prognosis of post-infectious irritable bowel syndrome. Aliment. Pharm Ther. 2007, 26, 535–544. [Google Scholar] [CrossRef] [PubMed]
- Rapid Methods and Automation in Microbiology in Pharmaceutical Samples. Available online: https://www.americanpharmaceuticalreview.com/Featured-Articles/113050-Rapid-Methods-and-Automation-in-Microbiology-in-Pharmaceutical-Samples/ (accessed on 1 March 2007).
- Alahi, M.E.E.; Mukhopadhyay, S.C. Detection Methodologies for Pathogen and Toxins: A Review. Sensors 2017, 17, 1885. [Google Scholar] [CrossRef] [PubMed]
- Choi, J.R.; Yong, K.W.; Choi, J.Y.; Cowie, A.C. Emerging Point-of-care Technologies for Food Safety Analysis. Sensors 2019, 19, 817. [Google Scholar] [CrossRef]
- Tortorello, M.L.; Gendel, S.M. Fluorescent-antibodies applied to direct epifluorescent filter technique for microscopic enumeration of Escherichia coli O157:H7 in milk and juice. J. Food Prot. 1993, 56, 672–677. [Google Scholar] [CrossRef]
- Rohde, A.; Hammerl, J.A.; Appel, B.; Dieckmann, R.; Al Dahouk, S. FISHing for bacteria in food—A promising tool for the reliable detection of pathogenic bacteria? Food Microbiol. 2015, 46, 395–407. [Google Scholar] [CrossRef]
- McFeters, G.A.; Pyle, B.H.; Lisle, J.T.; Broadaway, S.C. Rapid direct methods for enumeration of specific, active bacteria in water and biofilms. J. Appl. Microbiol. 1999, 85, 193s–200s. [Google Scholar] [CrossRef]
- Duarte-Guevara, P.; Duarte-Guevara, C.; Ornob, A.; Bashir, R. On-chip PMA labeling of foodborne pathogenic bacteria for viable qPCR and qLAMP detection. Microfluid. Nanofluid. 2016, 20, 114. [Google Scholar] [CrossRef]
- Salm, E.; Liu, Y.S.; Marchwiany, D.; Morisette, D.; He, Y.P.; Bhunia, A.K.; Bashir, R. Electrical detection of dsDNA and polymerase chain reaction amplification. Biomed. Microdevices 2011, 13, 973–982. [Google Scholar] [CrossRef]
- Yang, L.; Bashir, R. Electrical/electrochemical impedance for rapid detection of foodborne pathogenic bacteria. Biotechnol. Adv. 2008, 26, 135–150. [Google Scholar] [CrossRef]
- Schrader, C.; Schielke, A.; Ellerbroek, L.; Johne, R. PCR inhibitors—Occurrence, properties and removal. J. Appl. Microbiol. 2012, 113, 1014–1026. [Google Scholar] [CrossRef] [PubMed]
- Brewster, J.D.; Paul, M. Short communication: Improved method for centrifugal recovery of bacteria from raw milk applied to sensitive real-time quantitative PCR detection of Salmonella spp. J. Dairy Sci. 2016, 99, 3375–3379. [Google Scholar] [CrossRef] [PubMed]
- Fachmann, M.S.R.; Lofstrom, C.; Hoorfar, J.; Hansen, F.; Christensen, J.; Mansdal, S.; Josefsen, M.H. Detection of Salmonella enterica in meat in less than 5 hours by a low-cost and noncomplex sample preparation method. Appl. Env. Microb. 2017, 83, e03151-16. [Google Scholar] [CrossRef] [PubMed]
- Furutani, S.; Kajiya, M.; Aramaki, N.; Kubo, I. Rapid Detection of Salmonella enterica in Food Using a Compact Disc-Shaped Device. Micromachines 2016, 7, 10. [Google Scholar] [CrossRef] [PubMed]
- Brewster, J.D. Isolation and concentration of Salmonellae with an immunoaffinity column. J. Microbiol. Meth. 2003, 55, 287–293. [Google Scholar] [CrossRef]
- Vibbert, H.B.; Ku, S.; Li, X.; Liu, X.Y.; Ximenes, E.; Kreke, T.; Ladisch, M.R.; Deering, A.J.; Gehring, A.G. Accelerating sample preparation through enzyme-assisted microfiltration of Salmonella in chicken extract. Biotechnol. Progr. 2015, 31, 1551–1562. [Google Scholar] [CrossRef]
- Kim, J.-H.; Oh, S.-W. Optimization of Bacterial Concentration by Filtration for Rapid Detection of Foodborne Escherichia coli O157:H7 Using Real-Time PCR Without Microbial Culture Enrichment. J. Food Sci. 2019, 84, 3241–3245. [Google Scholar] [CrossRef]
- Cho, I.H.; Irudayaraj, J. Lateral-flow enzyme immunoconcentration for rapid detection of Listeria monocytogenes. Anal. Bioanal. Chem. 2013, 405, 3313–3319. [Google Scholar] [CrossRef]
- Weimer, B.C.; Walsh, M.K.; Beer, C.; Koka, R.; Wang, X. Solid-phase capture of proteins, spores, and bacteria. Appl. Environ. Microb. 2001, 67, 1300–1307. [Google Scholar] [CrossRef][Green Version]
- Van Tassell, M.L.; Price, N.P.J.; Miller, M.J. Glycan-specific whole cell affinity chromatography: A versatile microbial adhesion platform. MethodsX 2014, 1, 244–250. [Google Scholar] [CrossRef]
- Maffia, G.J.; Selter, M.A.; Cooke, P.H.; Brown, E.M. Collagen processing. J. Am. Leather Chem. 2004, 99, 164–169. [Google Scholar]
- Zhang, Y.; Riley, L.K.; Lin, M.; Purdy, G.A.; Hu, Z. Development of a virus concentration method using lanthanum-based chemical flocculation coupled with modified membrane filtration procedures. J. Virol. Methods 2013, 190, 41–48. [Google Scholar] [CrossRef]
- Clark, K.D.; Purslow, J.A.; Pierson, S.A.; Nacham, O.; Anderson, J.L. Rapid preconcentration of viable bacteria using magnetic ionic liquids for PCR amplification and culture-based diagnostics. Anal. Bioanal. Chem. 2017, 409, 4983–4991. [Google Scholar] [CrossRef]
- Tian, Z.H.; Yang, S.J.; Huang, P.H.; Wang, Z.Y.; Zhang, P.R.; Gu, Y.Y.; Bachman, H.; Chen, C.Y.; Wu, M.X.; Xie, Y.B.; et al. Wave number-spiral acoustic tweezers for dynamic and reconfigurable manipulation of particles and cells. Sci. Adv. 2019, 5. [Google Scholar] [CrossRef]
- Stevens, K.A.; Jaykus, L.A. Bacterial separation and concentration from complex sample matrices: A review. Crit. Rev. Microbiol. 2004, 30, 7–24. [Google Scholar] [CrossRef]
- Cao, X.; Zhao, L.; Chen, X.; Xie, H.; Zhang, J.; Liu, Z.; Wang, L. Progress in the application of immunomagnetic separation in rapid detection of foodborne pathogens. Shipin Kexue Food Sci. 2019, 40, 338–345. [Google Scholar]
- United States Department of Agriculture Food Safety and Inspection Service. Detection, Isolation and Identification of Top Seven Shiga Toxin-Producing Escherichia coli (STECs) from Meat Products and Carcass and Environmental Sponges. In Microbiology Laboratory Guidebook 5C; Office of Public Health Science, Ed.; United States Department of Agriculture: Athens, GA, USA, 2019. [Google Scholar]
- Bacteriological Analytical Manual. Available online: https://www.fda.gov/food/laboratory-methods-food/bacteriological-analytical-manual-bam (accessed on 3 July 2018).
- Bolin, F.P.; Preuss, L.E.; Taylor, R.C.; Ference, R.J. Refractive index of some mammalian tissues using a fiber optic cladding method. Appl. Opt. 1989, 28, 2297–2303. [Google Scholar] [CrossRef]
- Ning, S.M.; Marion, W.W. Estimation of moisture in turkey meat by refractive index. Poult. Sci. 1968, 47, 505–506. [Google Scholar] [CrossRef]
- Pan, Z.; Singh, R.P. Physical and thermal properties of ground beef during cooking. Lebensm. Wiss. Technol. 2001, 34, 437–444. [Google Scholar] [CrossRef]
- Batz, M.; Hoffmann, S.; Morris, J.G. Disease-Outcome Trees, EQ-5D Scores, and Estimated Annual Losses of Quality-Adjusted Life Years (QALYs) for 14 Foodborne Pathogens in the United States. Foodborne Pathog. Dis. 2014, 11, 395–402. [Google Scholar] [CrossRef]
- Charrondiere, U.R.; Haytowitz, D.; Stadlmayr, B. FAO/INFOODS Density Database, version 2.0; FAO: Rome, Italy, 2012. [Google Scholar]
- Paoli, G.C.; Wijey, C.; Uhlich, G.A. Genetically Marked Strains of Shiga Toxin-Producing O157:H7 and Non-O157 Escherichia coli: Tools for Detection and Modeling. J. Food Prot. 2015, 78, 888–901. [Google Scholar] [CrossRef] [PubMed]
- Bishop, D.K.; Hinrichs, D.J. Adoptive transfer of immunity to Listeria monocytogenes—The influence of in vitro stimulation on lymphocyte subset requirements. J. Immunol. 1987, 139, 2005–2009. [Google Scholar] [PubMed]
- Chen, C.Y.; Nace, G.W.; Irwin, P.L. A 6 x 6 drop plate method for simultaneous colony counting and MPN enumeration of Campylobacter jejuni, Listeria monocytogenes, and Escherichia coli. J. Microbiol. Meth. 2003, 55, 475–479. [Google Scholar] [CrossRef]
- Feng, P. Impact of molecular biology on the detection of foodborne pathogens. Mol. Biotechnol. 1997, 7, 267–278. [Google Scholar] [CrossRef]
- Vidic, J.; Vizzini, P.; Manzano, M.; Kavanaugh, D.; Ramarao, N.; Zivkovic, M.; Radonic, V.; Knezevic, N.; Giouroudi, I.; Gadjanski, I. Point-of-Need DNA Testing for Detection of Foodborne Pathogenic Bacteria. Sensors 2019, 19, 1100. [Google Scholar] [CrossRef]
- Dickson, J.S.; Koohmaraie, M. Cell-surface charge characteristics and their relationship to bacterial attachment to meat surfaces. Appl. Env. Microb. 1989, 55, 832–836. [Google Scholar]
- Medina, M.B. Biosensor studies of collagen and laminin binding with immobilized Escherichia coli O157:H7 and inhibition with naturally occurring food additives. In Pathogen Detection and Remediation for Safe Eating; Proc. 3544; SPIE: Bellingham, WA, USA, 1999. [Google Scholar] [CrossRef]
- Medina, M.B. Biosensor studies of the binding of extracellular matrix components with immobilized Escherichia coli O157: H7 and inhibition by polysulfated polysaccharides. Biotechnol. Lett. 2002, 24, 77–84. [Google Scholar] [CrossRef]
- Oh, J.K.; Yegin, Y.; Yang, F.; Zhang, M.; Li, J.; Huang, S.; Verkhoturov, S.V.; Schweikert, E.A.; Perez-Lewis, K.; Scholar, E.A.; et al. The influence of surface chemistry on the kinetics and thermodynamics of bacterial adhesion. Sci. Rep. 2018, 8, 17247. [Google Scholar] [CrossRef]
- Medina, M.B. Binding of collagen I to Escherichia coli O157: H7 and inhibition by carrageenans. Int. J. Food Microbiol. 2001, 69, 199–208. [Google Scholar] [CrossRef]
- Medina, M.B. Binding interaction studies of the immobilized Salmonella typhimurium with extracellular matrix and muscle proteins, and polysaccharides. Int. J. Food Microbiol. 2004, 93, 63–72. [Google Scholar] [CrossRef]
- Pietrysiak, E.; Kummer, J.M.; Hanrahan, I.; Ganjyal, G.M. Efficacy of Surfactant Combined with Peracetic Acid in Removing Listeria innocua from Fresh Apples. J. Food Prot. 2019, 82, 1965–1972. [Google Scholar] [CrossRef]
- Ruengvisesh, S.; Oh, J.K.; Kerth, C.R.; Akbulut, M.; Matthew Taylor, T. Inhibition of bacterial human pathogens on tomato skin surfaces using eugenol-loaded surfactant micelles during refrigerated and abuse storage. J. Food Saf. 2019, 39, e12598. [Google Scholar] [CrossRef]
- Tuson, H.H.; Weibel, D.B. Bacteria-surface interactions. Soft Matter 2013, 9, 4368–4380. [Google Scholar] [CrossRef]






| Condition | Food Matrix | Pathogen | % Retentate | % Effluent | % Unaccounted |
|---|---|---|---|---|---|
| CFC 1 | Ground Pork | E. coli O157:H7 | 49.2% | 21.1% | 29.7% |
| L. monocytogenes | 32.5% | 24.6% | 42.9% | ||
| S. Minnesota | 41.4% | 33.9% | 24.7% | ||
| CFC 1 | Ground Turkey | E. coli O157:H7 | 34.9% | 24.1% | 41.0% |
| L. monocytogenes | 45.4% | 29.9% | 24.7% | ||
| S. Minnesota | 59.6% | 40.4% | 0.0% | ||
| CFC 1 | Raw Spinach | E. coli O157:H7 | 75.1% | 12.4% | 12.5% |
| L. monocytogenes | 69.8% | 23.0% | 7.2% | ||
| S. Minnesota | 74.9% | 25.1% | 0.0% | ||
| CFC 1 | Ground Beef | E. coli O157:H7 | 18.4% | 12.2% | 69.4% |
| L. monocytogenes | 32.4% | 2.7% | 64.9% | ||
| S. Minnesota | 27.4% | 21.6% | 51.0% | ||
| GW + CFC 2 | Ground Beef | E. coli O157:H7 | 48.0% | 11.3% | 40.7% |
| L. monocytogenes | 79.0% | 21.0% | 0.0% | ||
| S. Minnesota | 61.5% | 18.1% | 20.4% |
© 2019 by the authors. Licensee MDPI, Basel, Switzerland. This article is an open access article distributed under the terms and conditions of the Creative Commons Attribution (CC BY) license (http://creativecommons.org/licenses/by/4.0/).
Share and Cite
Armstrong, C.M.; Gehring, A.G.; Paoli, G.C.; Chen, C.-Y.; He, Y.; Capobianco, J.A. Impacts of Clarification Techniques on Sample Constituents and Pathogen Retention. Foods 2019, 8, 636. https://doi.org/10.3390/foods8120636
Armstrong CM, Gehring AG, Paoli GC, Chen C-Y, He Y, Capobianco JA. Impacts of Clarification Techniques on Sample Constituents and Pathogen Retention. Foods. 2019; 8(12):636. https://doi.org/10.3390/foods8120636
Chicago/Turabian StyleArmstrong, Cheryl M., Andrew G. Gehring, George C. Paoli, Chin-Yi Chen, Yiping He, and Joseph A. Capobianco. 2019. "Impacts of Clarification Techniques on Sample Constituents and Pathogen Retention" Foods 8, no. 12: 636. https://doi.org/10.3390/foods8120636
APA StyleArmstrong, C. M., Gehring, A. G., Paoli, G. C., Chen, C.-Y., He, Y., & Capobianco, J. A. (2019). Impacts of Clarification Techniques on Sample Constituents and Pathogen Retention. Foods, 8(12), 636. https://doi.org/10.3390/foods8120636

