Rheology and Stability of Tunicate Cellulose Nanocrystal-Based Pickering Emulsions: Role of pH, Concentration, and Emulsification Method
Abstract
1. Introduction
2. Materials and Methods
2.1. Materials
2.2. Extraction of Tunicate Cellulose Nanocrystals
2.3. Characterization of Tunicate Cellulose Nanocrystals
2.3.1. Morphological Characterization
2.3.2. Fourier Transform Infrared (FTIR) Spectral Analysis
2.3.3. X-Ray Diffraction Measurements
2.3.4. Zeta Potential of Tunicate Cellulose Nanocrystal Dispersion
2.3.5. Measurement of Contact Angle and Detachment Energy
2.4. Fabrication of T-CNC-Based Pickering Emulsion
2.5. Characterization of Pickering Emulsions
2.5.1. Droplet Size
2.5.2. Zeta Potential
2.5.3. Rheology
2.5.4. Microstructure
2.6. Statistical Analysis
3. Result and Discussion
3.1. T-CNC Characterization
3.1.1. Morphology
3.1.2. Fourier Transform Infrared (FTIR) Spectroscopy
3.1.3. X-Ray Diffractometry
3.1.4. Surface Charge
3.1.5. Contact Angle and Detachment Energy
3.2. Characterization of T-CNC-Stabilized PEs
3.2.1. Droplet Size of T-CNC-Stabilized PEs
3.2.2. Droplet Surface Charge
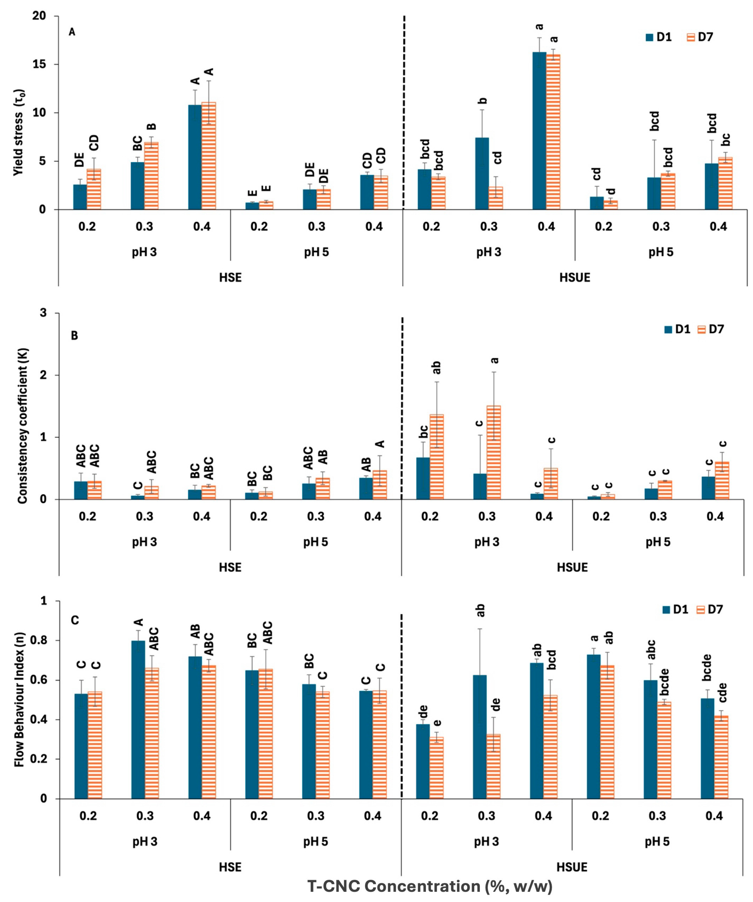
3.2.3. Flow Behaviour of T-CNC-Stabilized PEs
Modelling Flow Behaviour of T-CNC-Stabilized PEs
3.2.4. Viscoelasticity of T-CNC-Stabilized PEs
Comparison of Storage Moduli, Tan δ and Viscoelastic Crossover Strain of T-CNC-Stabilized PEs
Comparison of HB Model Parameters with Viscoelastic Properties
3.2.5. Microstructure and Visual Observation of T-CNC-Stabilized PEs
4. Conclusions
Supplementary Materials
Author Contributions
Funding
Institutional Review Board Statement
Informed Consent Statement
Data Availability Statement
Acknowledgments
Conflicts of Interest
References
- Lee, K.-Y.; Blaker, J.J.; Murakami, R.; Heng, J.Y.Y.; Bismarck, A. Phase Behavior of Medium and High Internal Phase Water-in-Oil Emulsions Stabilized Solely by Hydrophobized Bacterial Cellulose Nanofibrils. Langmuir 2014, 30, 452–460. [Google Scholar] [CrossRef] [PubMed]
- Yang, Y.; Fang, Z.; Chen, X.; Zhang, W.; Xie, Y.; Chen, Y.; Liu, Z.; Yuan, W. An Overview of Pickering Emulsions: Solid-Particle Materials, Classification, Morphology, and Applications. Front. Pharmacol. 2017, 8, 287. [Google Scholar] [CrossRef]
- Arditty, S.; Whitby, C.P.; Binks, B.P.; Schmitt, V.; Leal-Calderon, F. Some General Features of Limited Coalescence in Solid-Stabilized Emulsions. Eur. Phys. J. E 2003, 11, 273–281. [Google Scholar] [CrossRef] [PubMed]
- Dudefoi, W.; Dhuiège, B.; Capron, I.; Sèbe, G. Controlled Hydrophobic Modification of Cellulose Nanocrystals for Tunable Pickering Emulsions. Carbohydr. Polym. Technol. Appl. 2022, 3, 100210. [Google Scholar] [CrossRef]
- Binks, B.P. Particles as Surfactants—Similarities and Differences. Curr. Opin. Colloid Interface Sci. 2002, 7, 21–41. [Google Scholar] [CrossRef]
- Kalashnikova, I.; Bizot, H.; Cathala, B.; Capron, I. Modulation of Cellulose Nanocrystals Amphiphilic Properties to Stabilize Oil/Water Interface. Biomacromolecules 2012, 13, 267–275. [Google Scholar] [CrossRef]
- Yao, L.; Wang, Y.; He, Y.; Wei, P.; Li, C.; Xiong, X. Pickering Emulsions Stabilized by Conjugated Zein-Soybean Polysaccharides Nanoparticles: Fabrication, Characterization and Functional Performance. Polymers 2023, 15, 4474. [Google Scholar] [CrossRef]
- Rousseau, D. Trends in Structuring Edible Emulsions with Pickering Fat Crystals. Curr. Opin. Colloid Interface Sci. 2013, 18, 283–291. [Google Scholar] [CrossRef]
- Li, W.; Jiao, B.; Li, S.; Faisal, S.; Shi, A.; Fu, W.; Chen, Y.; Wang, Q. Recent Advances on Pickering Emulsions Stabilized by Diverse Edible Particles: Stability Mechanism and Applications. Front. Nutr. 2022, 9, 864943. [Google Scholar] [CrossRef]
- Habibi, Y.; Lucia, L.A.; Rojas, O.J. Cellulose Nanocrystals: Chemistry, Self-Assembly, and Applications. Chem. Rev. 2010, 110, 3479–3500. [Google Scholar] [CrossRef]
- Miao, C.; Mirvakili, M.-N.; Hamad, W.Y. A Rheological Investigation of Oil-in-Water Pickering Emulsions Stabilized by Cellulose Nanocrystals. J. Colloid Interface Sci. 2022, 608, 2820–2829. [Google Scholar] [CrossRef] [PubMed]
- Liu, L.; Zhao, Q.; Liu, T.; Kong, J.; Long, Z.; Zhao, M. Sodium Caseinate/Carboxymethylcellulose Interactions at Oil–Water Interface: Relationship to Emulsion Stability. Food Chem. 2012, 132, 1822–1829. [Google Scholar] [CrossRef]
- Cherhal, F.; Cousin, F.; Capron, I. Structural Description of the Interface of Pickering Emulsions Stabilized by Cellulose Nanocrystals. Biomacromolecules 2016, 17, 496–502. [Google Scholar] [CrossRef]
- Eyley, S.; Thielemans, W. Surface Modification of Cellulose Nanocrystals. Nanoscale 2014, 6, 7764–7779. [Google Scholar] [CrossRef]
- Sahlin, K.; Forsgren, L.; Moberg, T.; Bernin, D.; Rigdahl, M.; Westman, G. Surface Treatment of Cellulose Nanocrystals (CNC): Effects on Dispersion Rheology. Cellulose 2018, 25, 331–345. [Google Scholar] [CrossRef]
- Dunlop, M.J.; Clemons, C.; Reiner, R.; Sabo, R.; Agarwal, U.P.; Bissessur, R.; Sojoudiasli, H.; Carreau, P.J.; Acharya, B. Towards the Scalable Isolation of Cellulose Nanocrystals from Tunicates. Sci. Rep. 2020, 10, 19090. [Google Scholar] [CrossRef]
- Babaei-Ghazvini, A.; Acharya, B. The Effects of Aspect Ratio of Cellulose Nanocrystals on the Properties of All CNC Films: Tunicate and Wood CNCs. Carbohydr. Polym. Technol. Appl. 2023, 5, 100311. [Google Scholar] [CrossRef]
- Jonoobi, M.; Oladi, R.; Davoudpour, Y.; Oksman, K.; Dufresne, A.; Hamzeh, Y.; Davoodi, R. Different Preparation Methods and Properties of Nanostructured Cellulose from Various Natural Resources and Residues: A Review. Cellulose 2015, 22, 935–969. [Google Scholar] [CrossRef]
- Dunlop, M.J.; Acharya, B.; Bissessur, R. Isolation of Nanocrystalline Cellulose from Tunicates. J. Environ. Chem. Eng. 2018, 6, 4408–4412. [Google Scholar] [CrossRef]
- Pandey, A.; Derakhshandeh, M.; Kedzior, S.A.; Pilapil, B.; Shomrat, N.; Segal-Peretz, T.; Bryant, S.L.; Trifkovic, M. Role of Interparticle Interactions on Microstructural and Rheological Properties of Cellulose Nanocrystal Stabilized Emulsions. J. Colloid Interface Sci. 2018, 532, 808–818. [Google Scholar] [CrossRef] [PubMed]
- Wooster, T.J.; Augustin, M.A. β-Lactoglobulin–Dextran Maillard Conjugates: Their Effect on Interfacial Thickness and Emulsion Stability. J. Colloid Interface Sci. 2006, 303, 564–572. [Google Scholar] [CrossRef]
- Bai, L.; Lv, S.; Xiang, W.; Huan, S.; McClements, D.J.; Rojas, O.J. Oil-in-Water Pickering Emulsions via Microfluidization with Cellulose Nanocrystals: 1. Formation and Stability. Food Hydrocoll. 2019, 96, 699–708. [Google Scholar] [CrossRef]
- Patel, A.S.; Balasubramaniam, S.L.; Nayak, B.; Camire, M.E. Lauric Acid Adsorbed Cellulose Nanocrystals Reduced the in Vitro Gastrointestinal Digestion of Oil-Water Pickering Emulsions. Food Hydrocoll. 2023, 134, 108120. [Google Scholar] [CrossRef]
- Babaei-Ghazvini, A.; Patel, R.; Vafakish, B.; McAlpine, S.; Acharya, B. One-Pot Catalytic Isolation of Cellulose Nanocrystals from Agricultural Biomass—Oat Hull, Wheat Straw, and Flax Straw: Physicochemical Characterization. Bioresour. Technol. 2025, 424, 132271. [Google Scholar] [CrossRef]
- AOAC (Association of Official Analytical Chemists). Official Methods of Analysis, 16th ed.; 5th Revision; Association of Official Analytical Chemists: Washington, DC, USA, 1999; Available online: https://www.scirp.org/reference/referencespapers?referenceid=1612625 (accessed on 13 November 2025).
- Azubuike, C.P.; Rodríguez, H.; Okhamafe, A.O.; Rogers, R.D. Physicochemical Properties of Maize Cob Cellulose Powders Reconstituted from Ionic Liquid Solution. Cellulose 2012, 19, 425–433. [Google Scholar] [CrossRef]
- Ji, C.; Wei, J.; Wang, Y. Cinnamaldehyde-Enriched Pickering Emulsions Stabilized by Modified Cellulose I and II Nanocrystals Recycled from Maple Leaves for Shrimp Preservation. Carbohydr. Polym. 2024, 326, 121590. [Google Scholar] [CrossRef] [PubMed]
- David-Birman, T.; Mackie, A.; Lesmes, U. Impact of Dietary Fibers on the Properties and Proteolytic Digestibility of Lactoferrin Nano-Particles. Food Hydrocoll. 2013, 31, 33–41. [Google Scholar] [CrossRef]
- Ghosh, S.; Rousseau, D. Fat Crystals and Water-in-Oil Emulsion Stability. Curr. Opin. Colloid Interface Sci. 2011, 16, 421–431. [Google Scholar] [CrossRef]
- Hernandez-Rodriguez, G.; Tenorio-Garcia, E.; Ettelaie, R.; Lishchuk, S.V.; Harbottle, D.; Murray, B.S.; Sarkar, A. Demulsification of Pickering Emulsions: Advances in Understanding Mechanisms to Applications. Soft Matter 2024, 20, 7344–7356. [Google Scholar] [CrossRef]
- Lisuzzo, L.; Cavallaro, G.; Milioto, S.; Lazzara, G. Pickering Emulsions Stabilized by Halloysite Nanotubes: From General Aspects to Technological Applications. Adv. Mater. Inter. 2022, 9, 2102346. [Google Scholar] [CrossRef]
- Peddireddy, K.R.; Nicolai, T.; Benyahia, L.; Capron, I. Stabilization of Water-in-Water Emulsions by Nanorods. ACS Macro Lett. 2016, 5, 283–286. [Google Scholar] [CrossRef]
- Aw, Y.Z.; Lim, H.P.; Low, L.E.; Surjit Singh, C.K.; Chan, E.S.; Tey, B.T. Cellulose Nanocrystal (CNC)-Stabilized Pickering Emulsion for Improved Curcumin Storage Stability. LWT 2022, 159, 113249. [Google Scholar] [CrossRef]
- Murugesan, S.; Rajasree, S.R.R.; Rajan, R. Extraction and Characterization of Cellulose Nanocrystals from Brown Seaweed Dictyota Bartayresiana, J.V. Lamouroux. J. Clust. Sci. 2025, 36, 12. [Google Scholar] [CrossRef]
- Chen, L.; Lin, C.; Ye, Q.; Chen, J.; Chen, Z.; Jiang, J.; Zhou, M.; Li, J.; Hu, K.; Sun, S. A Fungal Cellulose Nanocrystals-Based Approach to Improve the Stability of Triterpenes Loaded Pickering Emulsion. Int. J. Biol. Macromol. 2022, 222, 438–447. [Google Scholar] [CrossRef] [PubMed]
- Pratiwi, H.; Kusmono; Wildan, M.W. Oxidized Cellulose Nanocrystals from Durian Peel Waste by Ammonium Persulfate Oxidation. ACS Omega 2023, 8, 30262–30272. [Google Scholar] [CrossRef] [PubMed]
- Douard, L.; Bras, J.; Encinas, T.; Belgacem, M.N. Natural Acidic Deep Eutectic Solvent to Obtain Cellulose Nanocrystals Using the Design of Experience Approach. Carbohydr. Polym. 2021, 252, 117136. [Google Scholar] [CrossRef] [PubMed]
- Dehkhoda, S.; Bagheri, M.; Heydari, M.; Rabieh, S. Extraction of Carboxylated Nanocellulose from Oat Husk: Characterization, Surface Modification and in Vitro Evaluation of Indomethacin Drug Release. Int. J. Biol. Macromol. 2022, 212, 165–171. [Google Scholar] [CrossRef]
- Hedjazi, S.; Razavi, S.H. A Comparison of Canthaxanthine Pickering Emulsions, Stabilized with Cellulose Nanocrystals of Different Origins. Int. J. Biol. Macromol. 2018, 106, 489–497. [Google Scholar] [CrossRef]
- Lin, N.; Dufresne, A. Surface Chemistry, Morphological Analysis and Properties of Cellulose Nanocrystals with Gradiented Sulfation Degrees. Nanoscale 2014, 6, 5384–5393. [Google Scholar] [CrossRef]
- Romdhane, A.; Aurousseau, M.; Guillet, A.; Mauret, E. Effect of pH and Ionic Strength on the Electrical Charge and Particle Size Distribution of Starch Nanocrystal Suspensions. Starch-Stärke 2015, 67, 319–327. [Google Scholar] [CrossRef]
- Jutakridsada, P.; Pimsawat, N.; Sillanpää, M.; Kamwilaisak, K. Olive Oil Stability in Pickering Emulsion Preparation from Eucalyptus Pulp and Its Rheology Behaviour. Cellulose 2020, 27, 6189–6203. [Google Scholar] [CrossRef]
- Ahvazi, B.; Danumah, C.; Ngo, T.-D.; Zhu, Z.; Lorenz, H. The Impact of Fibre Oxidation on the Preparation of Cellulose Nanocrystals (CNC). Biomass 2022, 2, 316–333. [Google Scholar] [CrossRef]
- Li, B.; Xu, W.; Kronlund, D.; Määttänen, A.; Liu, J.; Smått, J.-H.; Peltonen, J.; Willför, S.; Mu, X.; Xu, C. Cellulose Nanocrystals Prepared via Formic Acid Hydrolysis Followed by TEMPO-Mediated Oxidation. Carbohydr. Polym. 2015, 133, 605–612. [Google Scholar] [CrossRef]
- Sarkar, A.; Dickinson, E. Sustainable Food-Grade Pickering Emulsions Stabilized by Plant-Based Particles. Curr. Opin. Colloid Interface Sci. 2020, 49, 69–81. [Google Scholar] [CrossRef]
- Wang, Y.; Ai, C.; Wang, H.; Chen, C.; Teng, H.; Xiao, J.; Chen, L. Emulsion and Its Application in the Food Field: An Update Review. eFood 2023, 4, e102. [Google Scholar] [CrossRef]
- Wong, S.K.; Supramaniam, J.; Wong, T.W.; Soottitantawat, A.; Ruktanonchai, U.R.; Tey, B.T.; Tang, S.Y. Synthesis of Bio-Inspired Cellulose Nanocrystals-Soy Protein Isolate Nanoconjugate for Stabilization of Oil-in-Water Pickering Emulsions. Carbohydr. Res. 2021, 504, 108336. [Google Scholar] [CrossRef]
- D’Acierno, F.; Capron, I. Wetting and Emulsification Properties of Cellulose Nanocrystals Modified with Tannic Acid and Alkyl Cellulose Derivatives. J. Colloid Interface Sci. 2025, 679, 868–882. [Google Scholar] [CrossRef]
- Zhao, Y.; Zhang, F.; Chen, M.; Liu, F.; Zheng, B.; Miao, W.; Gao, H.; Zhou, R. Cellulose Nanofibrils-Stabilized Food-Grade Pickering Emulsions: Clarifying Surface Charge’s Contribution and Advancing Stabilization Mechanism Understanding. Food Hydrocoll. 2024, 152, 109920. [Google Scholar] [CrossRef]
- Sodhi, K.S.; Wu, J.; Dalai, A.; Ghosh, S. Subcritical Water Extraction of Hydrolyzed Proteins from Canola Meal: Optimization of Recovery and Physicochemical Properties. J. Supercrit. Fluids 2025, 218, 106494. [Google Scholar] [CrossRef]
- Varanasi, S.; Henzel, L.; Mendoza, L.; Prathapan, R.; Batchelor, W.; Tabor, R.; Garnier, G. Pickering Emulsions Electrostatically Stabilized by Cellulose Nanocrystals. Front. Chem. 2018, 6, 409. [Google Scholar] [CrossRef] [PubMed]
- Capron, I.; Cathala, B. Surfactant-Free High Internal Phase Emulsions Stabilized by Cellulose Nanocrystals. Biomacromolecules 2013, 14, 291–296. [Google Scholar] [CrossRef]
- Perrin, L.; Desobry-Banon, S.; Gillet, G.; Desobry, S. Phase Diagram of Pickering Emulsions Stabilized by Cellulose Nanocrystals. Polymers 2023, 15, 2783. [Google Scholar] [CrossRef] [PubMed]
- Kalashnikova, I.; Bizot, H.; Cathala, B.; Capron, I. New Pickering Emulsions Stabilized by Bacterial Cellulose Nanocrystals. Langmuir 2011, 27, 7471–7479. [Google Scholar] [CrossRef]
- Kalashnikova, I.; Bizot, H.; Bertoncini, P.; Cathala, B.; Capron, I. Cellulosic Nanorods of Various Aspect Ratios for Oil in Water Pickering Emulsions. Soft Matter 2013, 9, 952–959. [Google Scholar] [CrossRef]
- Gao, J.; Bu, X.; Zhou, S.; Wang, X.; Bilal, M.; Hassan, F.U.; Hassanzadeh, A.; Xie, G.; Chelgani, S.C. Pickering Emulsion Prepared by Nano-Silica Particles—A Comparative Study for Exploring the Effect of Various Mechanical Methods. Ultrason. Sonochemistry 2022, 83, 105928. [Google Scholar] [CrossRef]
- Meirelles, A.A.D.; Costa, A.L.R.; Cunha, R.L. Cellulose Nanocrystals from Ultrasound Process Stabilizing O/W Pickering Emulsion. Int. J. Biol. Macromol. 2020, 158, 75–84. [Google Scholar] [CrossRef]
- Shin, J.; Hyun, J. Surface Charge Effect on Pickering Encapsulation with Ionic Cellulose Nanocrystals. Cellulose 2022, 29, 4381–4391. [Google Scholar] [CrossRef]
- Derakhshandeh, B.; Petekidis, G.; Shafiei Sabet, S.; Hamad, W.Y.; Hatzikiriakos, S.G. Ageing, Yielding, and Rheology of Nanocrystalline Cellulose Suspensions. J. Rheol. 2013, 57, 131–148. [Google Scholar] [CrossRef]
- Pignon, F.; Challamel, M.; De Geyer, A.; Elchamaa, M.; Semeraro, E.F.; Hengl, N.; Jean, B.; Putaux, J.-L.; Gicquel, E.; Bras, J.; et al. Breakdown and Buildup Mechanisms of Cellulose Nanocrystal Suspensions under Shear and upon Relaxation Probed by SAXS and SALS. Carbohydr. Polym. 2021, 260, 117751. [Google Scholar] [CrossRef]
- Lenfant, G.; Heuzey, M.-C.; Van De Ven, T.G.M.; Carreau, P.J. A Comparative Study of ECNC and CNC Suspensions: Effect of Salt on Rheological Properties. Rheol. Acta 2017, 56, 51–62. [Google Scholar] [CrossRef]
- Huang, G.; Liu, G.; Xu, Z.; Jiang, L.; Zhang, Y.; Sui, X. Stability, Rheological Behavior and Microstructure of Pickering Emulsions Co-Stabilized by Soy Protein and Carboxymethyl Chitosan. Food Hydrocoll. 2023, 142, 108773. [Google Scholar] [CrossRef]
- Zhang, J.; Wu, Q.; Li, W.; Negulescu, I. Renewable Resources Derived Cellulose Nanocrystal Stimuli Responsive Pickering Emulsions. BioResources 2024, 19, 9905. [Google Scholar] [CrossRef]
- Różańska, S.; Różański, J.; Wagner, P.; Warmbier-Wytykowska, E. Rheological Properties of Emulsions Stabilized by Cellulose Derivatives with the Addition of Ethyl Alcohol. Materials 2024, 17, 6090. [Google Scholar] [CrossRef]
- Ma, T.; Cui, R.; Lu, S.; Hu, X.; Xu, B.; Song, Y.; Hu, X. High Internal Phase Pickering Emulsions Stabilized by Cellulose Nanocrystals for 3D Printing. Food Hydrocoll. 2022, 125, 107418. [Google Scholar] [CrossRef]
- Metzger, C.; Drexel, R.; Meier, F.; Briesen, H. Effect of Ultrasonication on the Size Distribution and Stability of Cellulose Nanocrystals in Suspension: An Asymmetrical Flow Field-Flow Fractionation Study. Cellulose 2021, 28, 10221–10238. [Google Scholar] [CrossRef]
- Dickinson, E. Interfacial Structure and Stability of Food Emulsions as Affected by Protein–Polysaccharide Interactions. Soft Matter 2008, 4, 932. [Google Scholar] [CrossRef]
- Pinto, R.T.; Feu, K.S.; Dalmaschio, C.J.; Nascimento, A.; Lacerda, V. Oil Recovery Improvements Based on Pickering Emulsions Stabilized by Cellulose Nanoparticles and Their Underlying Mechanisms: A Review. ACS Omega 2025, 10, 3262–3281. [Google Scholar] [CrossRef]
- Yuan, T.; Zeng, J.; Wang, B.; Cheng, Z.; Chen, K. Pickering Emulsion Stabilized by Cellulosic Fibers: Morphological Properties-Interfacial Stabilization-Rheological Behavior Relationships. Carbohydr. Polym. 2021, 269, 118339. [Google Scholar] [CrossRef]
- Tang, M.; Zhu, Z.; Yang, K.; Yang, P.; Dong, Y.; Wu, Y.; Chen, M.; Zhou, X. Cellulose Nanocrystals Concentration and Oil-Water Ratio for Solid-Liquid Controllable Emulsion Polymerization. Int. J. Biol. Macromol. 2021, 191, 414–421. [Google Scholar] [CrossRef]








| pH | Contact Angle (θ) | Length (l), m | Width (q), m | Interfacial N/m | Detachment Energy (Edet), kT or J |
|---|---|---|---|---|---|
| pH 3 | 30° | 1694 × 10−9 | 13 × 10−9 | 22.6 × 10−3 | 16,206 kT (6.67 × 10−17 J) |
| pH 5 | 22° | 1694 × 10−9 | 13 × 10−9 | 22.6 × 10−3 | 8808 kT (3.62 × 10−17 J) |
Disclaimer/Publisher’s Note: The statements, opinions and data contained in all publications are solely those of the individual author(s) and contributor(s) and not of MDPI and/or the editor(s). MDPI and/or the editor(s) disclaim responsibility for any injury to people or property resulting from any ideas, methods, instructions or products referred to in the content. |
© 2026 by the authors. Licensee MDPI, Basel, Switzerland. This article is an open access article distributed under the terms and conditions of the Creative Commons Attribution (CC BY) license.
Share and Cite
Majumder, S.; Dunlop, M.J.; Acharya, B.; Ghosh, S. Rheology and Stability of Tunicate Cellulose Nanocrystal-Based Pickering Emulsions: Role of pH, Concentration, and Emulsification Method. Foods 2026, 15, 509. https://doi.org/10.3390/foods15030509
Majumder S, Dunlop MJ, Acharya B, Ghosh S. Rheology and Stability of Tunicate Cellulose Nanocrystal-Based Pickering Emulsions: Role of pH, Concentration, and Emulsification Method. Foods. 2026; 15(3):509. https://doi.org/10.3390/foods15030509
Chicago/Turabian StyleMajumder, Sumana, Matthew J. Dunlop, Bishnu Acharya, and Supratim Ghosh. 2026. "Rheology and Stability of Tunicate Cellulose Nanocrystal-Based Pickering Emulsions: Role of pH, Concentration, and Emulsification Method" Foods 15, no. 3: 509. https://doi.org/10.3390/foods15030509
APA StyleMajumder, S., Dunlop, M. J., Acharya, B., & Ghosh, S. (2026). Rheology and Stability of Tunicate Cellulose Nanocrystal-Based Pickering Emulsions: Role of pH, Concentration, and Emulsification Method. Foods, 15(3), 509. https://doi.org/10.3390/foods15030509

