Persimmon Powder from Discarded Fruits as a Potential Prebiotic to Modulate Gut Microbiota in Postmenopausal Women
Abstract
1. Introduction
2. Materials and Methods
2.1. Raw Material and Processing Conditions
2.2. Physicochemical Properties
2.3. Antioxidant Properties
2.4. Persimmon Powder In Vitro Simulation of Gastrointestinal Digestion
2.5. Fecal Samples and Inoculum Processing
2.6. Batch Colonic Fermentation
2.7. Dynamic Colon Fermentation with the SHIME® System
2.8. Total DNA Extraction and Sequencing
2.9. Sequence Analysis
2.10. Microbiota Characterization
2.11. SCFAs Quantification
2.12. Statistical Analysis
3. Results
3.1. Physicochemical and Antioxidant Properties of Persimmon Powders: Effect of Drying Method and Particle Size
3.2. The Antioxidant Properties of Persimmon Powder Throughout In Vitro Gastrointestinal Digestion
3.3. Effects of the Treatments on the Fermentative Microbiota
3.4. Compositional and Functional Characterization of the Microbiota from SHIME® Model
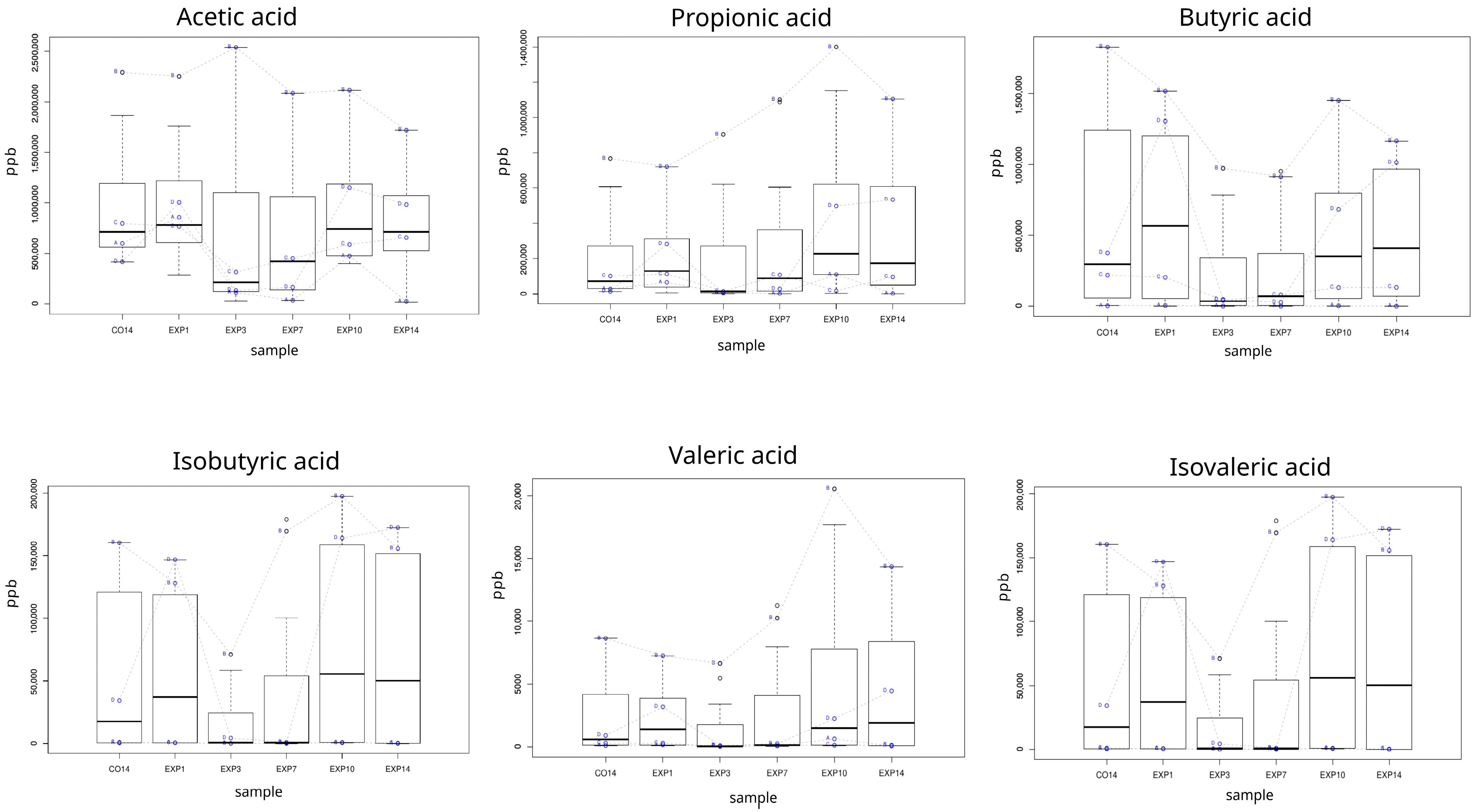
3.5. Production of SCFAs
4. Discussion
Supplementary Materials
Author Contributions
Funding
Institutional Review Board Statement
Informed Consent Statement
Data Availability Statement
Conflicts of Interest
References
- Gustavsson, J.; Cederberg, C.; Sonesson, U.; Van Otterdijk, R.; Meybeck, A. Global Food Losses and Food Waste: Extent, Causes and Prevention; FAO: Rome, Italy, 2011. [Google Scholar]
- San Juan Pascual, M. Obtención de Ingredientes Funcionales con Efecto Beneficioso Sobre el Microbioma Intestinal a Partir del Bagazo de Naranja y de Excedentes de Caqui. Bachelor’s Thesis, Universitat Politècnica de València, València, Spain, 2023. Available online: http://hdl.handle.net/10251/197511 (accessed on 20 July 2025).
- Betoret, E.; Betoret, N.; Gosalbes, M.J. Recycling Plant-Based Foods for Microbiome-Targeted Personalized Nutrition. In The Microbiome and Personalized Nutrition. The Microbiomes of Humans, Animals, Plants, and the Environment; Francino, M.P., Rufián Henares, J.Á., Eds.; Springer: Cham, Switzerland, 2025; Volume 6. [Google Scholar] [CrossRef]
- Wojdyło, A.; Lech, K.; Nowicka, P. Effects of Different Drying Methods on the Retention of Bioactive Compounds, On-Line Antioxidant Capacity and Color of the Novel Snack from Red-Fleshed Apples. Molecules 2020, 25, 5521. [Google Scholar] [CrossRef]
- Vilas-Boas, A.M.; Brassesco, M.E.; Quintino, A.C.; Vieira, M.C.; Brandão, T.R.S.; Silva, C.L.M.; Azevedo, M.; Pintado, M. Particle Size Effect of Integral Carob Flour on Bioaccessibility of Bioactive Compounds during Simulated Gastrointestinal Digestion. Foods 2022, 11, 1272. [Google Scholar] [CrossRef]
- Gibson, G.R.; Hutkins, R.; Sanders, M.E.; Prescott, S.L.; Reimer, R.A.; Salminen, S.J.; Reid, G. Expert consensus document: The International Scientific Association for Probiotics and Prebiotics (ISAPP) consensus statement on the definition and scope of prebiotics. Nat. Rev. Gastroenterol. Hepatol. 2017, 14, 491–502. [Google Scholar] [CrossRef]
- Moreno-Chamba, B.; López-Bermudo, L.; Lo, G.; Salazar-Bermeo, J.; Hayward, N.; Morris, A.; Duncan, G.; de la Torre, A.O.; Berná, G.; Martínez-Madrid, M.C.; et al. Efficacy of pre-treatment of insoluble fibres derived from persimmon (Diospyros kaki) fruit by-products to promote growth of beneficial human colonic bacteria. Food Biosci. 2025, 68, 106737. [Google Scholar] [CrossRef]
- González-Gómez, Á.; Cantone, M.; García-Muñoz, A.M.; Victoria-Montesinos, D.; Lucas-Abellán, C.; Serrano-Martínez, A.; Muñoz-Morillas, A.M.; Morillas-Ruiz, J.M. Effect of Polyphenol-Rich Interventions on Gut Microbiota and Inflammatory or Oxidative Stress Markers in Adults Who Are Overweight or Obese: A Systematic Review and Meta-Analysis. Nutrients 2025, 17, 2468. [Google Scholar] [CrossRef] [PubMed]
- Markowiak, P.; Śliżewska, K. Effects of probiotics, prebiotics, and synbiotics on human health. Nutrients 2017, 9, 1021. [Google Scholar] [CrossRef]
- Ademosun, A.O.; Ajeigbe, O.F.; Ademosun, M.T.; Ogunruku, O.O.; Oboh, G. Improving Gut Microbiome through Diet Rich in Dietary Fibre and Polyphenols: The Case for Orange Peels. Hum. Nutr. Metab. 2024, 39, 200295. [Google Scholar] [CrossRef]
- Andrade, R.M.S.; Silva, S.; Costa, C.M.D.S.F.; Veiga, M.; Costa, E.; Ferreira, M.S.L.; Gonçalves, E.C.B.A.; Pintado, M.E. Potential prebiotic effect of fruit and vegetable byproducts flour using in vitro gastrointestinal digestion. Food Res. Int. 2020, 137, 109354. [Google Scholar] [CrossRef]
- Demirkol, M.; Tarakçi, Z. Utilization of Fruit Juice Processing Wastes as Prebiotic Ingredients in Probiotic Yogurt: Effects on Microbial Short Chain Fatty Acid Production. Food Sci. Nutr. 2025, 13, e70612. [Google Scholar] [CrossRef]
- Mayneris-Perxachs, J.; Arnoriaga-Rodríguez, M.; Luque-Córdoba, D.; Priego-Capote, F.; Pérez-Brocal, V.; Moya, A.; Burokas, A.; Maldonado, R.; Fernández-Real, J.M. Gut microbiota steroid sexual dimorphism and its impact on gonadal steroids: Influences of obesity and menopausal status. Microbiome 2020, 8, 136. [Google Scholar] [CrossRef]
- Zhao, H.; Chen, J.; Li, X.; Sun, Q.; Qin, P.; Wang, Q. Compositional and functional features of the female premenopausal and postmenopausal gut microbiota. FEBS Lett. 2019, 593, 2655–2664. [Google Scholar] [CrossRef]
- Guadamuro, L.; Dohrmann, A.B.; Tebbe, C.C.; Mayo, B.; Delgado, S. Bacterial communities and metabolic activity of faecal cultures from equol producer and non-producer menopausal women under treatment with soy isoflavones. BMC Microbiol. 2017, 17, 93. [Google Scholar] [CrossRef] [PubMed]
- Guadamuro, L.; Azcárate-Peril, M.A.; Tojo, R.; Mayo, B.; Delgado, S. Impact of Dietary Isoflavone Supplementation on the Fecal Microbiota and Its Metabolites in Postmenopausal Women. Int. J. Environ. Res. Public Health 2021, 18, 7939. [Google Scholar] [CrossRef]
- AOAC International. Moisture in dried fruits (AOAC Official Method 934.06). In Official Methods of Analysis of AOAC International, 17th ed.; Horwitz, W., Ed.; AOAC International: Rockville, MD, USA, 2000. [Google Scholar]
- ISO 16634-1:2008; Food Products—Determination of the Total Nitrogen Content by Combustion According to the Dumas Principle and Calculation of the Crude Protein Content—Part 1: Oilseeds and Animal Feeding Stuffs. International Organization for Standardization: Geneva, Switzerland, 2008.
- Wolfe, K.; Wu, X.; Liu, R.H. Antioxidant activity of apple peels. J. Agric. Food Chem. 2003, 51, 609–614. [Google Scholar] [CrossRef]
- Luximon-Ramma, A.; Bahorun, T.; Soobrattee, M.A.; Aruoma, O.I. Antioxidant activities of phenolic, proanthocyanidin, and flavonoid components in extracts of Cassia fistula. J. Agric. Food Chem. 2002, 50, 5042–5047. [Google Scholar] [CrossRef]
- Bas-Bellver, C.; Andrés, C.; Seguí, L.; Barrera, C.; Jiménez-Hernández, N.; Artacho, A.; Betoret, N.; Gosalbes, M.J. Valorization of Persimmon and Blueberry Byproducts to Obtain Functional Powders: In Vitro Digestion and Fermentation by Gut Microbiota. J. Agric. Food Chem. 2020, 68, 8080–8090. [Google Scholar] [CrossRef]
- Re, R.; Pellegrini, N.; Proteggente, A.; Pannala, A.; Yang, M.; Rice-Evans, C. Antioxidant activity applying an improved ABTS radical cation decolorization assay. Free. Radic. Biol. Med. 1999, 26, 1231–1237. [Google Scholar] [CrossRef]
- Brodkorb, A.; Egger, L.; Alminger, M.; Alvito, P.; Assunção, R.; Ballance, S.; Bohn, T.; Bourlieu-Lacanal, C.; Boutrou, R.; Carrière, F.; et al. INFOGEST Static In Vitro Simulation of Gastrointestinal Food Digestion. Nat. Protoc. 2019, 14, 991–1014. [Google Scholar] [CrossRef] [PubMed]
- Pérez-Burillo, S.; Pastoriza, S.; Jiménez-Hernández, N.; D’Auria, G.; Francino, M.P.; Rufián-Henares, J.A. Effect of Food Thermal Processing on the Composition of the Gut Microbiota. J. Agric. Food Chem. 2018, 66, 11500–11509. [Google Scholar] [CrossRef] [PubMed]
- Olano-Martin, E.; Mountzouris, K.C.; Gibson, G.R.; Rastall, R.A. In Vitro Fermentability of Dextran, Oligodextran and Maltodextrin by Human Gut Bacteria. Br. J. Nutr. 2000, 83, 247–255. [Google Scholar] [CrossRef]
- Callahan, B.J.; McMurdie, P.J.; Rosen, M.J.; Han, A.W.; Johnson, A.J.; Holmes, S.P. DADA2: High-Resolution Sample Inference from Illumina Amplicon Data. Nat. Methods 2016, 13, 581–583. [Google Scholar] [CrossRef]
- Callahan, B.J. Taxonomic Training Data Formatted for DADA2 (Silva Version 138.2) [Data set]. Zenodo 2024. [Google Scholar] [CrossRef]
- Chen, S.; Zhou, Y.; Chen, Y.; Gu, J. fastp: An Ultra-Fast All-in-One FASTQ Preprocessor. Bioinformatics 2018, 34, i884–i890. [Google Scholar] [CrossRef]
- Tamames, J.; Puente-Sánchez, F. SqueezeMeta: A Highly Portable, Fully Automatic Metagenomic Analysis Pipeline. Front. Microbiol. 2019, 9, 3349. [Google Scholar] [CrossRef]
- Kanehisa, M.; Goto, S. KEGG: Kyoto Encyclopedia of Genes and Genomes. Nucleic Acids Res. 2000, 28, 27–30. [Google Scholar] [CrossRef]
- Lin, H.; Peddada, S.D. Multigroup Analysis of Compositions of Microbiomes with Covariate Adjustments and Repeated Measures. Nat. Methods 2024, 21, 83–91. [Google Scholar] [CrossRef] [PubMed]
- Kohonen, T. Self-Organized Formation of Topologically Correct Feature Maps. Biol. Cybern. 1982, 43, 59–69. [Google Scholar] [CrossRef]
- Fontana, A.J. Understanding the importance of water activity in food. Cereal Foods World 2000, 45, 7–10. [Google Scholar]
- Derrien, M.; Collado, M.C.; Ben-Amor, K.; Salminen, S.; de Vos, W.M. The Mucin degrader Akkermansia muciniphila is an abundant resident of the human intestinal tract. Appl. Environ. Microbiol. 2008, 74, 1646–1648. [Google Scholar] [CrossRef] [PubMed]
- Zhu, Y.; Chen, B.; Zhang, X.; Akbar, M.T.; Wu, T.; Zhang, Y.; Zhi, L.; Shen, Q. Exploration of the Muribaculaceae Family in the Gut Microbiota: Diversity, Metabolism, and Function. Nutrients 2024, 16, 2660. [Google Scholar] [CrossRef]
- Herp, S.; Durai Raj, A.C.; Salvado Silva, M.; Woelfel, S.; Stecher, B. The Human Symbiont Mucispirillum schaedleri: Causality in Health and Disease. Med. Microbiol. Immunol. 2021, 210, 173–179. [Google Scholar] [CrossRef]
- Sun, H.; Guo, Y.; Wang, H.; Yin, A.; Hu, J.; Yuan, T.; Zhou, S.; Xu, W.; Wei, P.; Yin, S.; et al. Gut Commensal Parabacteroides distasonis Alleviates Inflammatory Arthritis. Gut 2023, 72, 1664–1677. [Google Scholar] [CrossRef] [PubMed]
- Liébana-García, R.; López-Almela, I.; Olivares, M.; Romaní-Pérez, M.; Manghi, P.; Torres-Mayo, A.; Tolosa-Enguís, V.; Flor-Duro, A.; Bullich-Vilarrubias, C.; Rubio, T.; et al. Gut Commensal Phascolarctobacterium faecium Retunes Innate Immunity to Mitigate Obesity and Metabolic Disease in Mice. Nat. Microbiol. 2025, 10, 1310–1322. [Google Scholar] [CrossRef]
- Waters, J.L.; Ley, R.E. The human gut bacteria Christensenellaceae are widespread, heritable, and associated with health. BMC Biol. 2019, 28, 83. [Google Scholar] [CrossRef]
- Wexler, H.M. Bacteroides: The Good, the Bad, and the Nitty-Gritty. Clin. Microbiol. Rev. 2007, 20, 593–621. [Google Scholar] [CrossRef] [PubMed]
- Fan, X.; Zhang, Q.; Guo, W.; Wu, Q.; Hu, J.; Cheng, W.; Lü, X.; Rao, P.; Ni, L.; Chen, Y.; et al. The Protective Effects of Levilactobacillus brevis FZU0713 on Lipid Metabolism and Intestinal Microbiota in Hyperlipidemic Rats. Food Sci. Hum. Wellness 2023, 12, 1646–1659. [Google Scholar] [CrossRef]
- Yang, Y.; Song, X.; Wang, G.; Xia, Y.; Xiong, Z.; Ai, L. Understanding Ligilactobacillus salivarius from Probiotic Properties to Omics Technology: A Review. Foods 2024, 13, 895. [Google Scholar] [CrossRef]
- Sengun, I.; Yalcin, H.T.; Kilic, G.; Peker, A.K.; Ozturk, B.; Terzi, Y. Isolation and characterization of novel Lacticaseibacillus, Pediococcus, Enterococcus, Lentilactobacillus, and Levilactobacillus strains with probiotic potential from fermented turnip juice. J. Food Sci. Technol. 2025, 62, 1653–1666. [Google Scholar] [CrossRef] [PubMed]
- Kaur, M.; Kaur, H. Apple peel as a source of dietary fiber and antioxidants: Effect on batter rheology and nutritional composition, textural and sensory quality attributes of muffins. J. Food Meas. Charact. 2022, 16, 2411–2421. [Google Scholar] [CrossRef]
- Bhardwaj, K.; Najda, A.; Sharma, R.; Nurzyńska-Wierdak, R.; Dhanjal, D.S.; Sharma, R.; Manickam, S.; Kabra, A.; Kuča, K.; Bhardwaj, P. Fruit and Vegetable Peel-Enriched Functional Foods: Potential Avenues and Health Perspectives. Evid.-Based Complement. Altern. Med. 2022, 2022, 8543881. [Google Scholar] [CrossRef] [PubMed]
- EFSA Panel on Dietetic Products; Nutrition and Allergies (NDA). Scientific Opinion on Dietary Reference Values for carbohydrates and dietary fibre. EFSA J. 2010, 8, 1462.
- Barber, T.M.; Kabisch, S.; Pfeiffer, A.F.H.; Burton, J.P. The health benefits of dietary fibre. Nutrients 2020, 12, 3209. [Google Scholar] [CrossRef]
- Akbari, E.; Lattimer, J.M. The role of dietary fiber in health promotion and disease prevention. In StatPearls; StatPearls Publishing: St. Petersburg, FL, USA, 2024. [Google Scholar]
- Elleuch, M.; Bedigian, D.; Roiseux, O.; Besbes, S.; Blecker, C.; Attia, H. Dietary fibre and fibre-rich by-products of food processing: Characterisation, technological functionality and commercial applications: A review. Food Chem. 2011, 124, 411–421. [Google Scholar] [CrossRef]
- Jakobek, L. Interactions of polyphenols with carbohydrates, lipids and proteins. Food Chem. 2015, 175, 556–567. [Google Scholar] [CrossRef] [PubMed]
- Sun, W.; Tribuzi, G.; Bornhorst, G.M. Particle size and water content impact breakdown and starch digestibility of chickpea snacks during in vitro gastrointestinal digestion. Food Res. Int. 2023, 173, 113201. [Google Scholar] [CrossRef]
- Mulargia, L.I.; Lemmens, E.; Gebruers, K.D.; Udekem, D.; Acoz, P.; Wouters, A.G.B.; Delcour, J.A. The particle sizes of milled wheat fractions affect the in vitro starch digestibility and quality parameters of wire-cut cookies made thereof. Food Funct. 2024, 15, 7974–7987. [Google Scholar] [CrossRef]
- Kumar, D.; Ladaniya, M.S.; Gurjar, M.; Kumar, S. Impact of drying methods on natural antioxidants, phenols and flavanones of immature dropped Citrus sinensis L. Osbeck fruits. Sci. Rep. 2022, 12, 6684. [Google Scholar] [CrossRef]
- Babaei Rad, S.; Mumivand, H.; Mollaei, S.; Khadivi, A. Effect of drying methods on phenolic compounds and antioxidant activity of Capparis spinosa L. fruits. BMC Plant Biol. 2025, 25, 133. [Google Scholar] [CrossRef]
- González, G.C.; Rugolo, M.; Finimundy, T.C.; Ohaco, E.; Pildain, M.B.; Barroetaveña, C. Impact of Air- and Freeze-Drying Methods on Total Phenolic Content and Antioxidant Activity of Fistulina antarctica and Ramaria patagonica Fructification. Appl. Sci. 2023, 13, 8873. [Google Scholar] [CrossRef]
- Fehlbaum, S.; Prudence, K.; Kieboom, J.; Heerikhuisen, M.; van den Broek, T.; Schuren, F.H.J.; Steinert, R.E.; Raederstorff, D. In Vitro Fermentation of Selected Prebiotics and Their Effects on the Composition and Activity of the Adult Gut Microbiota. Int. J. Mol. Sci. 2018, 19, 3097. [Google Scholar] [CrossRef]
- Deehan, E.C.; Yang, C.; Pérez-Muñoz, M.E.; Nguyen, N.K.; Cheng, C.C.; Triador, L.; Zhang, Z.; Bakal, J.A.; Walter, J. Precision Microbiome Modulation with Discrete Dietary Fiber Structures Directs Short-Chain Fatty Acid Production. Cell Host Microbe 2020, 27, 389–404.e6. [Google Scholar] [CrossRef]
- Calatayud, M.; Van den Abbeele, P.; Ghyselinck, J.; Marzorati, M.; Rohs, E.; Birkett, A. Comparative Effect of 22 Dietary Sources of Fiber on Gut Microbiota of Healthy Humans In Vitro. Front. Nutr. 2021, 8, 700571. [Google Scholar] [CrossRef]
- Yoo, S.; Jung, S.C.; Kwak, K.; Kim, J.S. The Role of Prebiotics in Modulating Gut Microbiota: Implications for Human Health. Int. J. Mol. Sci. 2024, 25, 4834. [Google Scholar] [CrossRef] [PubMed]
- Duarte, S.; Puchades, A.; Jiménez-Hernández, N.; Betoret, M.E.; Gosalbes, M.J.; Betoret, N. Almond (Prunus dulcis) Bagasse as a Source of Bioactive Compounds with Antioxidant Properties: An In Vitro Assessment. Antioxidants 2023, 12, 1229. [Google Scholar] [CrossRef] [PubMed]
- Roopchand, D.E.; Carmody, R.N.; Kuhn, P.; Moskal, K.; Rojas-Silva, P.; Turnbaugh, P.J.; Raskin, I. Dietary Polyphenols Promote Growth of the Gut Bacterium Akkermansia muciniphila and Attenuate High-Fat Diet-Induced Metabolic Syndrome. Diabetes 2015, 64, 2847–2858. [Google Scholar] [CrossRef] [PubMed]
- Molino, S.; Lerma-Aguilera, A.; Jiménez-Hernández, N.; Gosalbes, M.J.; Rufián-Henares, J.Á.; Francino, M.P. Enrichment of Food With Tannin Extracts Promotes Healthy Changes in the Human Gut Microbiota. Front Microbiol. 2021, 16, 625782. [Google Scholar] [CrossRef]
- Martín, R.; Rios-Covian, D.; Huillet, E.; Auger, S.; Khazaal, S.; Bermúdez-Humarán, L.G.; Sokol, H.; Chatel, J.M.; Langella, P. Faecalibacterium: A Bacterial Genus with Promising Human Health Applications. FEMS Microbiol. Rev. 2023, 47, fuad039. [Google Scholar] [CrossRef]
- Gao, X.; Yue, C.; Tian, R.; Yu, L.; Tian, F.; Zhao, J.; Chen, W.; Zhai, Q. Akkermansia muciniphila-Directed Polyphenol Chlorogenic Acid Intervention for Obesity in Mice. Food Sci. Hum. Wellness 2024, 13, 90–100. [Google Scholar] [CrossRef]
- Yu, B.; Lu, Z.; Zhong, S.; Cheong, K.L. Exploring Potential Polysaccharide Utilization Loci Involved in the Degradation of Typical Marine Seaweed Polysaccharides by Bacteroides thetaiotaomicron. Front. Microbiol. 2024, 15, 1332105. [Google Scholar] [CrossRef]
- Rodrigues, V.F.; Elias-Oliveira, J.; Pereira, Í.S.; Pereira, J.A.; Barbosa, S.C.; Machado, M.S.G.; Carlos, D. Akkermansia muciniphila and Gut Immune System: A Good Friendship That Attenuates Inflammatory Bowel Disease, Obesity, and Diabetes. Front. Immunol. 2022, 13, 934695. [Google Scholar] [CrossRef]
- He, K.; An, F.; Zhang, H.; Yan, D.; Li, T.; Wu, J.; Wu, R. Akkermansia muciniphila: A Potential Target for the Prevention of Diabetes. Foods 2024, 14, 23. [Google Scholar] [CrossRef]
- Zafar, H.; Saier, M.H., Jr. Gut Bacteroides Species in Health and Disease. Gut Microbes 2021, 13, 1848158. [Google Scholar] [CrossRef]
- Pudlo, N.A.; Urs, K.; Kumar, S.S.; German, J.B.; Mills, D.A.; Martens, E.C. Symbiotic Human Gut Bacteria with Variable Metabolic Priorities for Host Mucosal Glycans. mBio 2015, 6, e01282-15. [Google Scholar] [CrossRef] [PubMed]
- Colosimo, R.; Harris, H.C.; Ahn-Jarvis, J.; Troncoso-Rey, P.; Finnigan, T.J.A.; Wilde, P.J.; Warren, F.J. Colonic In Vitro Fermentation of Mycoprotein Promotes Shifts in Gut Microbiota, with Enrichment of Bacteroides Species. Commun. Biol. 2024, 7, 272. [Google Scholar] [CrossRef]
- Morrison, D.J.; Preston, T. Formation of Short Chain Fatty Acids by the Gut Microbiota and Their Impact on Human Metabolism. Gut Microbes 2016, 7, 189–200. [Google Scholar] [CrossRef] [PubMed]
- Sabater, C.; Vázquez, X.; Duncan, S.H. mGem: Faecalibacterium, an important protector of gut health. Hum. Microbiome 2026, 17, e02776-25. [Google Scholar] [CrossRef]
- Rodríguez-Daza, M.C.; Pulido-Mateos, E.C.; Lupien-Meilleur, J.; Guyonnet, D.; Desjardins, Y.; Roy, D. Polyphenol-Mediated Gut Microbiota Modulation: Toward Prebiotics and Further. Front. Nutr. 2021, 8, 689456. [Google Scholar] [CrossRef]
- García-Villalba, R.; Vissenaekens, H.; Pitart, J.; Romo-Vaquero, M.; Espín, J.C.; Grootaert, C.; Selma, M.V.; Raes, K.; Smagghe, G.; Possemiers, S.; et al. Gastrointestinal Simulation Model Twin-SHIME Shows Differences between Human Urolithin-Metabotypes in Gut Microbiota Composition, Pomegranate Polyphenol Metabolism, and Transport along the Intestinal Tract. J. Agric. Food Chem. 2017, 65, 5480–5493. [Google Scholar] [CrossRef]
- Chambers, E.S.; Viardot, A.; Psichas, A.; Morrison, D.J.; Murphy, K.G.; Zac-Varghese, S.E.; MacDougall, K.; Preston, T.; Tedford, C.; Finlayson, G.S. Effects of Targeted Delivery of Propionate to the Human Colon on Appetite Regulation, Body Weight Maintenance and Adiposity in Overweight Adults. Gut 2015, 64, 1744–1754. [Google Scholar] [CrossRef]
- Mura, C.; Yang, M.; Liu, D.; Zheng, C. Metabolic Rescue of α-Synuclein-Induced Neurodegeneration through Propionate Supplementation and Intestine–Neuron Signaling in C. elegans. Cell Rep. 2024, 43, 113865. [Google Scholar] [CrossRef]
- Murayama, M.; Hosonuma, M.; Kuramasu, A.; Kobayashi, S.; Sasaki, A.; Baba, Y. Isobutyric Acid Enhances the Anti-Tumour Effect of Anti-PD-1 Antibody. Sci. Rep. 2024, 14, 11325. [Google Scholar] [CrossRef] [PubMed]








| aw | 0.26 ± 0.03 |
| Water | 0.06 ± 0.02 (5.66%) |
| Soluble solids | 0.471 ± 0.015 (44.43%) |
| Protein | 0.034 ± 0.012 (3.21%) |
| Insoluble dietary fiber | 0.149 (14.06%) |
| Soluble dietary fiber | 0.064 (6.04%) |
| D [4, 3] | D [3, 2] | d (0.1) | d (0.5) | d (0.9) | |
|---|---|---|---|---|---|
| HAD60-F | 552 ± 23 d | 170 ± 6 e | 89 ± 2 e | 471 ± 22 e | 1148 ± 51 f |
| HAD70-F | 193 ± 10 b | 64 ± 2 a | 33 ± 1 a | 128 ± 6 a | 456 ± 25 b |
| LYO-F | 189 ± 5 b | 80 ± 3 b | 43 ± 2 b | 161 ± 6 b | 378 ± 10 a |
| HAD60-C | 535 ± 19 d | 159 ± 3 d | 101 ± 1 f | 456 ± 19 e | 1097 ± 43 e |
| HAD70-G | 71 ± 5 a | 114 ± 3 c | 58 ± 1 c | 353 ± 12 d | 937 ± 56 d |
| LYO-G | 270 ± 6 c | 112 ± 1 c | 61 ± 1 d | 235 ± 4 c | 531 ± 15 c |
Disclaimer/Publisher’s Note: The statements, opinions and data contained in all publications are solely those of the individual author(s) and contributor(s) and not of MDPI and/or the editor(s). MDPI and/or the editor(s) disclaim responsibility for any injury to people or property resulting from any ideas, methods, instructions or products referred to in the content. |
© 2026 by the authors. Licensee MDPI, Basel, Switzerland. This article is an open access article distributed under the terms and conditions of the Creative Commons Attribution (CC BY) license.
Share and Cite
Betoret, E.; Jiménez-Hernández, N.; Duarte, S.; Artacho, A.; Bueno, A.; Cruz, I.; Betoret, N.; Gosalbes, M.J. Persimmon Powder from Discarded Fruits as a Potential Prebiotic to Modulate Gut Microbiota in Postmenopausal Women. Foods 2026, 15, 480. https://doi.org/10.3390/foods15030480
Betoret E, Jiménez-Hernández N, Duarte S, Artacho A, Bueno A, Cruz I, Betoret N, Gosalbes MJ. Persimmon Powder from Discarded Fruits as a Potential Prebiotic to Modulate Gut Microbiota in Postmenopausal Women. Foods. 2026; 15(3):480. https://doi.org/10.3390/foods15030480
Chicago/Turabian StyleBetoret, Ester, Nuria Jiménez-Hernández, Stevens Duarte, Alejandro Artacho, Andrea Bueno, Irene Cruz, Noelia Betoret, and María José Gosalbes. 2026. "Persimmon Powder from Discarded Fruits as a Potential Prebiotic to Modulate Gut Microbiota in Postmenopausal Women" Foods 15, no. 3: 480. https://doi.org/10.3390/foods15030480
APA StyleBetoret, E., Jiménez-Hernández, N., Duarte, S., Artacho, A., Bueno, A., Cruz, I., Betoret, N., & Gosalbes, M. J. (2026). Persimmon Powder from Discarded Fruits as a Potential Prebiotic to Modulate Gut Microbiota in Postmenopausal Women. Foods, 15(3), 480. https://doi.org/10.3390/foods15030480

