Effectiveness of Interventions and Control Measures in the Reduction of Campylobacter in Poultry Farms: A Comprehensive Meta-Analysis
Abstract
1. Introduction
2. Materials and Methods
2.1. Study Design and Research Question
2.2. Literature Search Strategy
2.3. Eligibility and Exclusion Criteria
2.4. Data Extraction
- (a)
- Study identification: Reference code and full citation.
- (b)
- Country: Country in which the study was conducted.
- (c)
- Bacterial species: Campylobacter species investigated.
- (d)
- Bird species: Chickens, turkeys or ducks.
- (e)
- Bird age at baseline: Age of birds at the beginning of the experiment.
- (f)
- Intervention type: Tested interventions such as bacteriophages, probiotics, prebiotics, organic acids, plant extracts, or chemical products. This field also encompassed control measures and risk factors such as routine cleaning and disinfection practices (before and after), production system (conventional versus free-range), season, and transport of birds to slaughterhouses (before and after).
- (g)
- Application matrix: Route of administration, including incorporation into drinking water, feed or litter, or direct delivery to birds via oral gavage, intramuscular or subcutaneous injection, or spraying.
- (h)
- Timing and duration of treatment: Age at the start of application and duration of treatment (days).
- (i)
- Applied dose: Concentration or dose of the intervention as reported by the authors.
- (j)
- Slaughter age: Age of birds at slaughter.
- (k)
- Sample type: Faeces, caeca, carcasses, water, soil, environmental swabs, litter, floor and other matrices, as reported.
- (l)
- Sample weight or volume: Employed for Campylobacter analysis either detection or enumeration.
- (m)
- Counts results: Sample size (total number of samples), measures of central tendency (mean and/or median concentration in log CFU/g or log CFU/mL) and standard deviations for both control and treatment groups. When standard error of the mean was reported, the standard deviation was derived accordingly.
- (n)
- Prevalence results: Sample size (total number of samples) and number of positive samples for both control and treatment groups.For studies in which birds were experimentally infected with Campylobacter, we additionally extracted:
- (o)
- Inoculation details: Inoculum size (log CFU/g or log CFU/mL), volume administered (mL) and age at infection.For the analysis of Campylobacter in environmental sources, we additionally extracted:
- (p)
- Sample source: Air, boot socks, live animals, deep litter, drinkers, feeders, farm operators, floor faeces, insects or other environmental sources.
2.5. Meta-Regression Models
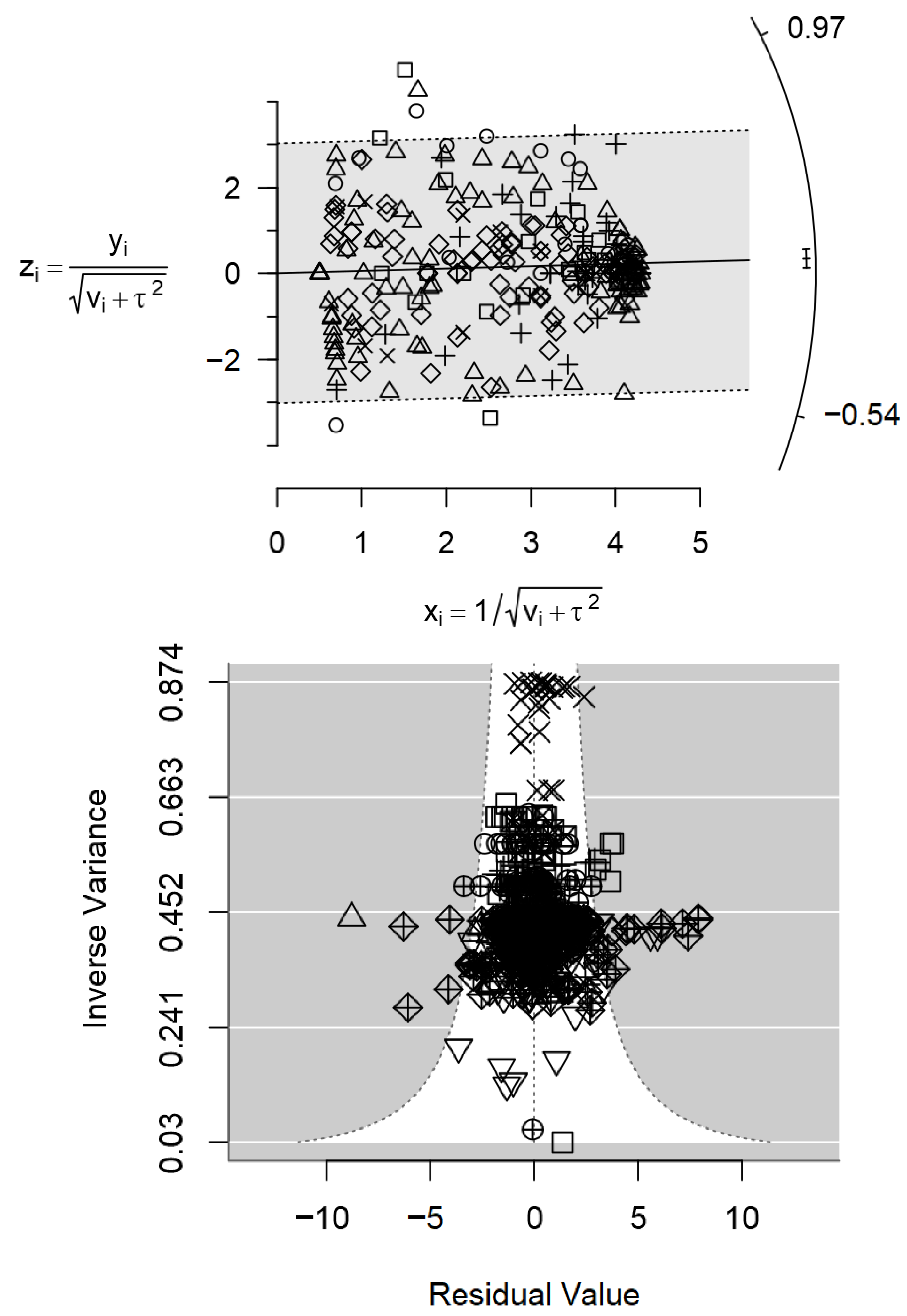
2.6. Assessment of Heterogeneity, Accuracy and Consistency, and Publication Bias
3. Results and Discussion
3.1. Description of the Meta-Analytical Data
3.2. Summarisation of the Effects of On-Farm Interventions and Treatments on the Concentration of Campylobacter in Poultry
3.3. Univariate Analysis of On-Farm Interventions and Treatments on the Concentration of Campylobacter in Poultry
3.4. Multilevel Meta-Analysis on the Effect On-Farm Interventions on the Concentration of Campylobacter in Poultry
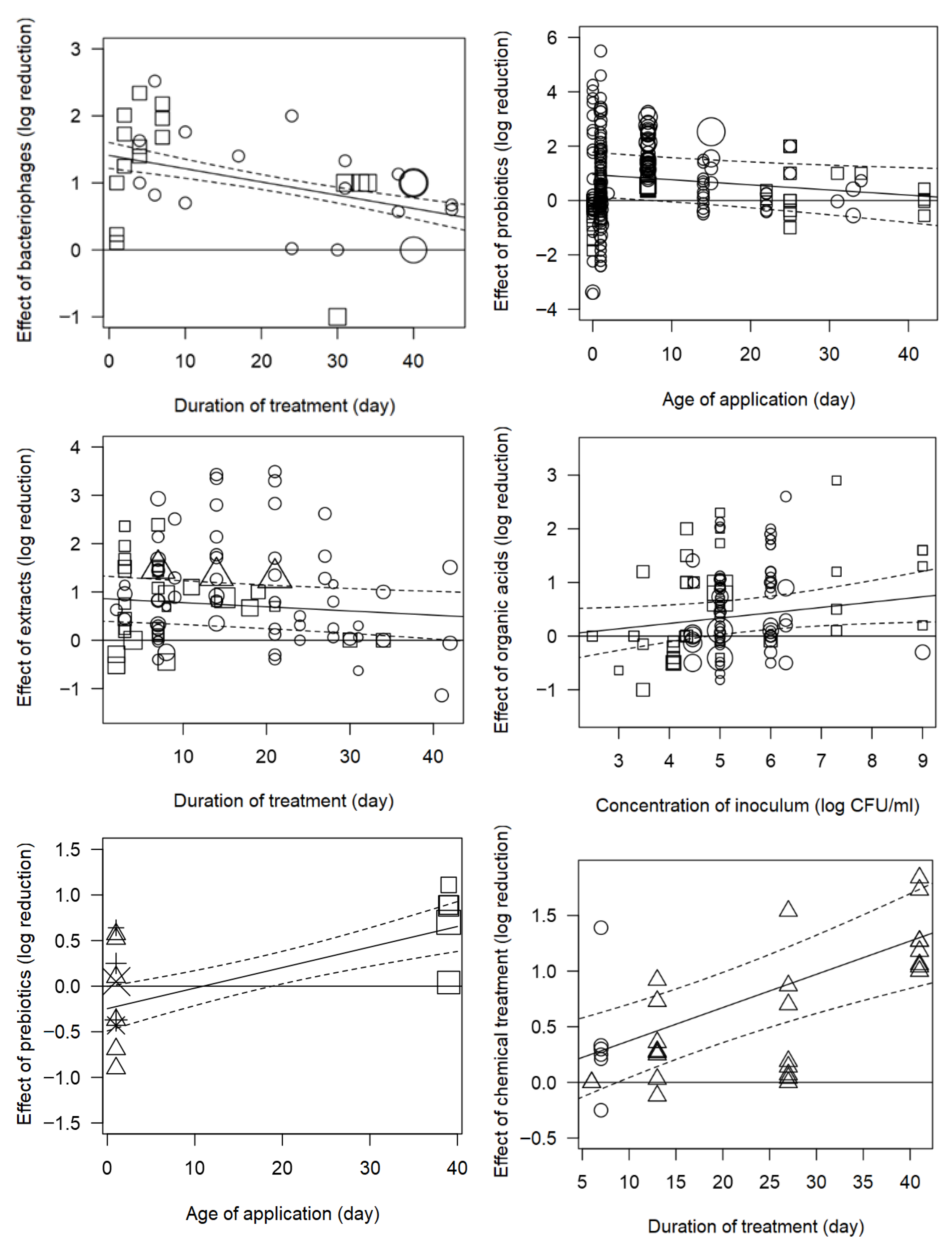
3.4.1. Effectiveness of Bacteriophages Against Campylobacter Colonisation Levels
3.4.2. Effectiveness of Probiotics Against Campylobacter Colonisation Levels
3.4.3. Effectiveness of Plant Extracts Against Campylobacter Colonisation Levels
3.4.4. Effectiveness of Organic Acids Against Campylobacter Colonisation Levels
3.4.5. Effectiveness of Prebiotics Against Campylobacter Colonisation Levels
3.4.6. Effectiveness of Chemical Treatments Against Campylobacter Colonisation Levels
3.4.7. Effectiveness of Routine Cleaning and Disinfection Against Campylobacter Colonisation Levels
3.4.8. Effectiveness of Organic Iron Complexes Against Campylobacter Colonisation Levels
3.4.9. Non-Conventional Production Systems
3.4.10. Effectiveness of Vaccination Against Campylobacter
3.4.11. Transport to Slaughter
3.5. Summarisation of the Effects of On-Farm Interventions and Treatments on the Prevalence of Campylobacter in Poultry
3.6. Multilevel Meta-Analysis on the Effects of On-Farm Interventions on the Prevalence of Campylobacter in Poultry
3.6.1. Effectiveness of Routine Cleaning and Disinfection Against Campylobacter Colonisation Prevalence
3.6.2. Effectiveness of Probiotics Against Campylobacter Colonisation Prevalence
3.6.3. Effectiveness of Organic Acids Against Campylobacter Colonisation Prevalence
3.6.4. Effectiveness of Plant Extracts Against Campylobacter Colonisation Prevalence
3.7. Multilevel Meta-Analysis on the Prevalence of Campylobacter in the Farm Environment
4. Conclusions
Supplementary Materials
Author Contributions
Funding
Institutional Review Board Statement
Informed Consent Statement
Data Availability Statement
Conflicts of Interest
References
- Hakeem, M.J.; Lu, X. Survival and Control of Campylobacter in Poultry Production Environment. Front. Cell. Infect. Microbiol. 2021, 10, 615049. [Google Scholar] [CrossRef]
- EFSA Panel on Biological Hazards (BIOHAZ), EFSA Panel on Contaminants in the Food Chain (CONTAM) and EFSA Panel on Animal Health and Welfare (AHAW). Scientific Opinion on the Public Health Hazards to Be Covered by Inspection of Meat (Poultry). EFSA J. 2012, 10, 2741. [Google Scholar] [CrossRef]
- EFSA; ECDC. The European Union One Health 2023 Zoonoses Report. EFSA J. 2024, 22, e9106. [Google Scholar] [CrossRef] [PubMed]
- European Food Safety Authority. EFSA Explains Zoonotic Diseases: Campylobacter; Publications Office: Luxembourg, 2014. [Google Scholar]
- Awad, W.A.; Mann, E.; Dzieciol, M.; Hess, C.; Schmitz-Esser, S.; Wagner, M.; Hess, M. Age-Related Differences in the Luminal and Mucosa-Associated Gut Microbiome of Broiler Chickens and Shifts Associated with Campylobacter jejuni Infection. Front. Cell. Infect. Microbiol. 2016, 6, 154. [Google Scholar] [CrossRef] [PubMed]
- Shami, A.; Abdallah, M.; Alruways, M.; Mostafa, Y.; Alamri, S.; Ahmed, A.; Ali, A.; Ali, M. Comparative Prevalence of Virulence Genes and Antibiotic Resistance in Campylobacter jejuni Isolated from Broilers, Laying Hens and Farmers. Pak. Vet. J. 2024, 44, 200–204. [Google Scholar] [CrossRef]
- Natsos, G.; Koutoulis, K.C.; Sossidou, E.; Chemaly, M.; Mouttotou, N.K. Campylobacter spp. Infection in Humans and Poultry. J. Hell. Vet. Med. Soc. 2016, 67, 65–82. [Google Scholar] [CrossRef][Green Version]
- Newell, D.G.; Elvers, K.T.; Dopfer, D.; Hansson, I.; Jones, P.; James, S.; Gittins, J.; Stern, N.J.; Davies, R.; Connerton, I.; et al. Biosecurity-Based Interventions and Strategies to Reduce Campylobacter spp. on Poultry Farms. Appl. Environ. Microbiol. 2011, 77, 8605–8614. [Google Scholar] [CrossRef]
- Rosenquist, H.; Boysen, L.; Krogh, A.L.; Jensen, A.N.; Nauta, M. Campylobacter Contamination and the Relative Risk of Illness from Organic Broiler Meat in Comparison with Conventional Broiler Meat. Int. J. Food Microbiol. 2013, 162, 226–230. [Google Scholar] [CrossRef]
- Babacan, O.; Harris, S.A.; Pinho, R.M.; Hedges, A.; Jorgensen, F.; Corry, J.E.L. Factors Affecting the Species of Campylobacter Colonizing Chickens Reared for Meat. J. Appl. Microbiol. 2020, 129, 1071–1078. [Google Scholar] [CrossRef]
- Sahin, O.; Kassem, I.I.; Shen, Z.; Lin, J.; Rajashekara, G.; Zhang, Q. Campylobacter in Poultry: Ecology and Potential Interventions. Avian Dis. 2015, 59, 185–200. [Google Scholar] [CrossRef]
- Jacobs-Reitsma, W.F. Aspects of Epidemiology of Campylobacter in Poultry: (Summary of Thesis, Wageningen Agricultural University, 1994). Vet. Q. 1997, 19, 113–117. [Google Scholar] [CrossRef] [PubMed]
- Sahin, O.; Morishita, T.Y.; Zhang, Q. Campylobacter Colonization in Poultry: Sources of Infection and Modes of Transmission. Anim. Health Res. Rev. 2002, 3, 95–105. [Google Scholar] [CrossRef] [PubMed]
- Sahin, O.; Kobalka, P.; Zhang, Q. Detection and Survival of Campylobacter in Chicken Eggs. J. Appl. Microbiol. 2003, 95, 1070–1079. [Google Scholar] [CrossRef] [PubMed]
- EFSA Panel (BIOHAZ). Scientific Opinion on Campylobacter in Broiler Meat Production: Control Options and Performance Objectives and/or Targets at Different Stages of the Food Chain. EFSA J. 2011, 9, 2105. [Google Scholar] [CrossRef]
- Dibner, J.J.; Richards, J.D. Antibiotic Growth Promoters in Agriculture: History and Mode of Action. Poult. Sci. 2005, 84, 634–643. [Google Scholar] [CrossRef]
- CDC. Antimicrobial Resistance Threats in the United States, 2021–2022. Available online: https://www.cdc.gov/antimicrobial-resistance/data-research/threats/update-2022.html (accessed on 30 March 2024).
- WHO. Ten Threats to Global Health in 2019. Available online: https://www.who.int/news-room/spotlight/ten-threats-to-global-health-in-2019 (accessed on 17 June 2024).
- Do, K.; Choe, S.; Jum, C.; Lee, S.; Lim, K.; Kang, H.; Seo, K.; Lee, W. Comparative Analysis of Biosecurity Practices, Antimicrobial Usage and Antimicrobial Resistance in Korean Pig Farms by Farm Type. Pak. Vet. J. 2025, 42, 873–879. [Google Scholar] [CrossRef]
- FAO; WHO. Measures for the Control of Campylobacter spp. in Chicken Meat-Meeting Report; Microbiological Risk Assessment Series; FAO: Rome, Italy; WHO: Rome, Italy, 2024; Volume 46, ISBN 978-92-5-138584-5. [Google Scholar]
- Lu, T.; Marmion, M.; Ferone, M.; Wall, P.; Scannell, A.G.M. On Farm Interventions to Minimise Campylobacter spp. Contamination in Chicken. Br. Poult. Sci. 2021, 62, 53–67. [Google Scholar] [CrossRef]
- EFSA Panel on Biological Hazards (BIOHAZ); Koutsoumanis, K.; Allende, A.; Alvarez-Ordóñez, A.; Bolton, D.; Bover-Cid, S.; Davies, R.; De Cesare, A.; Herman, L.; Hilbert, F.; et al. Update and Review of Control Options for Campylobacter in Broilers at Primary Production. EFSA J. 2020, 18, e06090. [Google Scholar] [CrossRef]
- Higgins, J.; Thomas, J.; Chandler, J.; Cumpston, M.; Li, T.; Page, M.J.; Welch, V.A. Cochrane Handbook for Systematic Reviews of Interventions. In Wiley Cochrane, 2nd ed.; John Wiley & Sons, Incorporated: Newark, NJ, USA, 2019; ISBN 978-1-119-53662-8. [Google Scholar]
- Cook, D.J.; Mulrow, C.D.; Haynes, R.B. Systematic Reviews: Synthesis of Best Evidence for Clinical Decisions. Ann. Intern. Med. 1997, 126, 376–380. [Google Scholar] [CrossRef]
- Crocetti, E. Systematic Reviews with Meta-Analysis: Why, When, and How? Emerg. Adulthood 2016, 4, 3–18. [Google Scholar] [CrossRef]
- Haddaway, N.R.; Page, M.J.; Pritchard, C.C.; McGuinness, L.A. PRISMA2020: An R Package and Shiny App for Producing PRISMA 2020-compliant Flow Diagrams, with Interactivity for Optimised Digital Transparency and Open Synthesis. Campbell Syst. Rev. 2022, 18, e1230. [Google Scholar] [CrossRef] [PubMed]
- McKenzie, J.E.; Brennan, S.E.; Ryan, R.E.; Thomson, H.J.; Johnston, R.V.; Thomas, J. Chapter 3: Defining the Criteria for Including Studies and How They Will Be Grouped for the Synthesis. Cochrane Handbook for Systematic Reviews of Interventions Version 6.5. Cochrane. Available online: https://www.cochrane.org/authors/handbooks-and-manuals/handbook/current/chapter-03#section-3-2 (accessed on 8 August 2025).
- Ouzzani, M.; Hammady, H.; Fedorowicz, Z.; Elmagarmid, A. Rayyan—A Web and Mobile App for Systematic Reviews. Syst. Rev. 2016, 5, 210. [Google Scholar] [CrossRef] [PubMed]
- Rohatgi, A. WebPlotDigitizer. Version 5.2. Available online: https://automeris.io/v4/ (accessed on 1 August 2025).
- Silva, B.N.; Cadavez, V.; Teixeira, J.A.; Gonzales-Barron, U. Meta-Analysis of the Incidence of Foodborne Pathogens in Vegetables and Fruits from Retail Establishments in Europe. Curr. Opin. Food Sci. 2017, 18, 21–28. [Google Scholar] [CrossRef]
- Wang, N. Conducting Meta-Analyses of Proportions in R. J. Behav. Data Sci. 2023, 3, 64–126. [Google Scholar] [CrossRef]
- Borenstein, M.; Hedges, L.V.; Higgins, J.P.T.; Rothstein, H.R. Introduction to Meta-Analysis; John Wiley & Sons: Hoboken, NJ, USA, 2011; ISBN 978-1-119-96437-7. [Google Scholar]
- Posit Team. RStudio Integrated Development Environment for R. Posit Software; PBC: Boston, MA, USA. Available online: https://www.scirp.org/reference/referencespapers?referenceid=3810421 (accessed on 13 October 2025).
- Viechtbauer, W. Conducting Meta-Analyses in R with the Metafor Package. J. Stat. Soft. 2010, 36, 1–48. [Google Scholar] [CrossRef]
- Grothendieck, G. Sqldf: Manipulate R Data Frames Using SQL. Available online: https://CRAN.R-project.org/package=sqldf (accessed on 13 October 2025).
- Borenstein, M. Common Mistakes in Meta-Analysis and How to Avoid Them; Biostat, Inc.: Englewood, NJ, USA, 2019; ISBN 978-1-7334367-0-0. [Google Scholar]
- Higgins, J.P.T.; Thompson, S.G. Quantifying Heterogeneity in a Meta-analysis. Stat. Med. 2002, 21, 1539–1558. [Google Scholar] [CrossRef]
- Higgins, J.P.T. Measuring Inconsistency in Meta-Analyses. BMJ 2003, 327, 557–560. [Google Scholar] [CrossRef]
- Galbraith, R.F. Graphical Display of Estimates Having Differing Standard Errors. Technometrics 1988, 30, 271–281. [Google Scholar] [CrossRef]
- Galbraith, R. Some Applications of Radial Plots. J. Am. Stat. Assoc. 1994, 89, 1232–1242. [Google Scholar] [CrossRef]
- Egger, M.; Smith, G.D.; Schneider, M.; Minder, C. Bias in Meta-Analysis Detected by a Simple, Graphical Test. BMJ 1997, 315, 629–634. [Google Scholar] [CrossRef]
- Arsi, K.; Donoghue, A.M.; Woo-Ming, A.; Blore, P.J.; Donoghue, D.J. The Efficacy of Selected Probiotic and Prebiotic Combinations in Reducing Campylobacter Colonization in Broiler Chickens. J. Appl. Poult. Res. 2015, 24, 327–334. [Google Scholar] [CrossRef]
- Arsi, K.; Moore, P.A., Jr.; Donoghue, A.M.; Dirain, M.L.; Donoghue, D.J. Litter Treatment with Aluminum Sulfate (Alum) Produced an Inconsistent Reduction in Horizontal Transmission of Campylobacter in Chickens. Int. J. Poult. Sci. 2017, 16, 31–36. [Google Scholar] [CrossRef][Green Version]
- Arsi, K.; Donoghue, A.M.; Woo-Ming, A.; Blore, P.J.; Donoghue, D.J. Intracloacal Inoculation, an Effective Screening Method for Determining the Efficacy of Probiotic Bacterial Isolates against Campylobacter Colonization in Broiler Chickens. J. Food Prot. 2015, 78, 209–213. [Google Scholar] [CrossRef] [PubMed]
- Baffoni, L.; Gaggìa, F.; Di Gioia, D.; Santini, C.; Mogna, L.; Biavati, B. A Bifidobacterium-Based Synbiotic Product to Reduce the Transmission of C. jejuni along the Poultry Food Chain. Int. J. Food Microbiol. 2012, 157, 156–161. [Google Scholar] [CrossRef]
- Baffoni, L.; Gaggìa, F.; Garofolo, G.; Di Serafino, G.; Buglione, E.; Di Giannatale, E.; Di Gioia, D. Evidence of Campylobacter jejuni Reduction in Broilers with Early Synbiotic Administration. Int. J. Food Microbiol. 2017, 251, 41–47. [Google Scholar] [CrossRef]
- Bogun, K.; Peh, E.; Meyer-Kühling, B.; Hartmann, J.; Hirnet, J.; Plötz, M.; Kittler, S. Investigating Bacteriophages as a Novel Multiple-Hurdle Measure against Campylobacter: Field Trials in Commercial Broiler Plants. Sci. Rep. 2024, 14, 3182. [Google Scholar] [CrossRef]
- Bonifait, L.; Marfaing, H.; Leroux, A.; Jaunet, H.; Pierre, R.; Quesne, S.; Pagot, E.; Baugé, L.; Keita, A.; Chemaly, M.; et al. Research Note: Effect of a Phlorotannin Extract of the Brown Seaweed Ascophyllum Nodosum as a Potential Control Strategy against Campylobacter in Broilers. Poult. Sci. 2022, 101, 101994. [Google Scholar] [CrossRef]
- Bügener, E.-M.; Casteel, M.; Kump, A.W.-S.; Klein, G. Effect of Electrolyzed Oxidizing Water on Reducing Campylobacter spp. in Broiler Chikken at Primary Production. J. Food Saf. Food Qual. 2014, 65, 4–9. [Google Scholar] [CrossRef]
- Carvalho, C.M.; Gannon, B.W.; Halfhide, D.E.; Santos, S.B.; Hayes, C.M.; Roe, J.M.; Azeredo, J. The in Vivo Efficacy of Two Administration Routes of a Phage Cocktail to Reduce Numbers of Campylobacter coli and Campylobacter jejuni in Chickens. BMC Microbiol. 2010, 10, 232. [Google Scholar] [CrossRef]
- Cean, A.; Stef, L.; Simiz, E.; Julean, C.; Dumitrescu, G.; Vasile, A.; Pet, E.; Drinceanu, D.; Corcionivoschi, N. Effect of Human Isolated Probiotic Bacteria on Preventing Campylobacter jejuni Colonization of Poultry. Foodborne Pathog. Dis. 2015, 12, 122–130. [Google Scholar] [CrossRef]
- Chaveerach, P.; Keuzenkamp, D.A.; Lipman, L.J.A.; Van Knapen, F. Effect of Organic Acids in Drinking Water for Young Broilers on Campylobacter Infection, Volatile Fatty Acid Production, Gut Microflora and Histological Cell Changes. Poult. Sci. 2004, 83, 330–334. [Google Scholar] [CrossRef] [PubMed]
- Chinivasagam, H.N.; Estella, W.; Rodrigues, H.; Mayer, D.G.; Weyand, C.; Tran, T.; Onysk, A.; Diallo, I. On-Farm Campylobacter and Escherichia coli in Commercial Broiler Chickens: Re-Used Bedding Does Not Influence Campylobacter Emergence and Levels across Sequential Farming Cycles. Poult. Sci. 2016, 95, 1105–1115. [Google Scholar] [CrossRef] [PubMed]
- Chinivasagam, H.N.; Estella, W.; Maddock, L.; Mayer, D.G.; Weyand, C.; Connerton, P.L.; Connerton, I.F. Bacteriophages to Control Campylobacter in Commercially Farmed Broiler Chickens, in Australia. Front. Microbiol. 2020, 11, 632. [Google Scholar] [CrossRef] [PubMed]
- Chinivasagam, H.N.; Estella, W.; Finn, D.; Mayer, D.G.; Rodrigues, H.; Diallo, I. Broiler Farming Practices Using New or Re-Used Bedding, Inclusive of Free-Range, Have No Impact on Campylobacter Levels, Species Diversity, Campylobacter Community Profiles and Campylobacter Bacteriophages. AIMS Microbiol. 2024, 10, 12–40. [Google Scholar] [CrossRef]
- Corona-Torres, R.; Vohra, P.; Chintoan-Uta, C.; Bremner, A.; Terra, V.S.; Mauri, M.; Cuccui, J.; Vervelde, L.; Wren, B.W.; Stevens, M.P. Evaluation of a FlpA Glycoconjugate Vaccine with Ten N-Heptasaccharide Glycan Moieties to Reduce Campylobacter jejuni Colonisation in Chickens. Vaccines 2024, 12, 395. [Google Scholar] [CrossRef]
- Corrigan, A.; Fay, B.J.; Corcionivoschi, N.; Murphy, R.A. Effect of Yeast Mannan-Rich Fractions on Reducing Campylobacter Colonization in Broiler Chickens. J. Appl. Poult. Res. 2017, 26, 350–357. [Google Scholar] [CrossRef]
- Cui, Y.; Zhu, J.; Li, P.; Guo, F.; Yang, B.; Su, X.; Zhou, H.; Zhu, K.; Xu, F. Assessment of Probiotic Bacillus Velezensis Supplementation to Reduce Campylobacter jejuni Colonization in Chickens. Poult. Sci. 2024, 103, 103897. [Google Scholar] [CrossRef]
- Currie, D.; Green, M.; Dufailu, O.A.; Matthaios, P.; Soultanas, P.; McCartney, E.; Lester, H.; Van Den Eede, L.; Apajalahti, J.; Mahdavi, J. Dietary Supplementation with Ferric Tyrosine Improves Zootechnical Performance and Reduces Caecal Campylobacter spp. Load in Broilers. Br. Poult. Sci. 2018, 59, 646–653. [Google Scholar] [CrossRef]
- D’Angelantonio, D.; Scattolini, S.; Boni, A.; Neri, D.; Di Serafino, G.; Connerton, P.; Connerton, I.; Pomilio, F.; Di Giannatale, E.; Migliorati, G.; et al. Bacteriophage Therapy to Reduce Colonization of Campylobacter jejuni in Broiler Chickens before Slaughter. Viruses 2021, 13, 1428. [Google Scholar] [CrossRef]
- Ebrahimi, H.; Rahimi, S.; Khaki, P.; Grimes, J.L.; Kathariou, S. The Effects of Probiotics, Organic Acid, and a Medicinal Plant on the Immune Systemand Gastrointestinal Microflora in Broilers Challenged with Campylobacter jejuni. Turk. J. Vet. Anim. Sci. 2016, 40, 329–336. [Google Scholar] [CrossRef]
- Fanelli, A.; Agazzi, A.; Alborali, G.L.; Pilotto, A.; Bontempo, V.; Dell’Orto, V.; Demey, V.; Caputo, J.M.; Savoini, G. Prevalence Reduction of Pathogens in Poultry Fed with Saccharomyces Cerevisiae; [Réduction de La Prévalence de Pathogènes En Poulets de Chair Supplémentés Avec Saccharomyces Cerevisiae]. Biotechnol. Agron. Soc. Environ. 2015, 19, 3–10. [Google Scholar]
- Farnell, M.B.; Donoghue, A.M.; De Los Santos, F.S.; Reyes-Herrera, I.; Cole, K.; Dirain, M.L.S.; Blore, P.J.; Pandya, K.; Donoghue, D.J. Effect of Oral Administration of Bismuth Compounds on Campylobacter Colonization in Broilers. Poult. Sci. 2006, 85, 2009–2011. [Google Scholar] [CrossRef] [PubMed][Green Version]
- Flaujac Lafontaine, G.M.; Richards, P.J.; Connerton, P.L.; O’Kane, P.M.; Ghaffar, N.M.; Cummings, N.J.; Fish, N.M.; Connerton, I.F. Prebiotic Driven Increases in IL-17A Do Not Prevent Campylobacter jejuni Colonization of Chickens. Front. Microbiol. 2020, 10, 3030. [Google Scholar] [CrossRef] [PubMed]
- Fischer, S.; Kittler, S.; Klein, G.; Glünder, G. Impact of a Single Phage and a Phage Cocktail Application in Broilers on Reduction of Campylobacter jejuni and Development of Resistance. PLoS ONE 2013, 8, e78543. [Google Scholar] [CrossRef] [PubMed]
- Froebel, L.K.; Jalukar, S.; Lavergne, T.A.; Coufal, C.D.; Duong, T. Administration of Direct-Fed Bacillus Cultures and Refined Functional Carbohydrates to Broiler Chickens Improves Growth Performance and Promotes Positive Shifts in Gastrointestinal Microbiota. J. Appl. Poult. Res. 2020, 29, 765–774. [Google Scholar] [CrossRef]
- Ghareeb, K.; Awad, W.A.; Mohnl, M.; Porta, R.; Biarnés, M.; Böhm, J.; Schatzmayr, G. Evaluating the Efficacy of an Avian-Specific Probiotic to Reduce the Colonization of Campylobacter jejuni in Broiler Chickens. Poult. Sci. 2012, 91, 1825–1832. [Google Scholar] [CrossRef]
- Gibbs, K.; Lacharme-Lora, L.; Dersjant-Li, Y.; Evans, C.; Wigley, P. A Probiotic and Mixed-Enzymes Combination Reduces the Inflammatory Response, Faecal Shedding and Systemic Spread of Campylobacter jejuni in Broilers. J. Appl. Anim. Nutr. 2021, 9, 65–75. [Google Scholar] [CrossRef]
- Gracia, M.I.; Millán, C.; Sánchez, J.; Guyard-Nicodème, M.; Mayot, J.; Carre, Y.; Csorbai, A.; Chemaly, M.; Medel, P. Efficacy of Feed Additives against Campylobacter in Live Broilers during the Entire Rearing Period: Part B. Poult. Sci. 2016, 95, 886–892. [Google Scholar] [CrossRef]
- Gracia, M.I.; Sánchez, J.; Millán, C.; Casabuena, Ó.; Vesseur, P.; Martín, Á.; García-Peña, F.J.; Medel, P. Effect of Feed Form and Whole Grain Feeding on Gastrointestinal Weight and the Prevalence of Campylobacter jejuni in Broilers Orally Infected. PLoS ONE 2016, 11, e0160858. [Google Scholar] [CrossRef]
- Grilli, E.; Vitari, F.; Domeneghini, C.; Palmonari, A.; Tosi, G.; Fantinati, P.; Massi, P.; Piva, A. Development of a Feed Additive to Reduce Caecal Campylobacter jejuni in Broilers at Slaughter Age: From in Vitro to in Vivo, a Proof of Concept. J. Appl. Microbiol. 2013, 114, 308–317. [Google Scholar] [CrossRef]
- Guyard-Nicodème, M.; Keita, A.; Quesne, S.; Amelot, M.; Poezevara, T.; Le Berre, B.; Sánchez, J.; Vesseur, P.; Martín, A.; Medel, P.; et al. Efficacy of Feed Additives against Campylobacter in Live Broilers during the Entire Rearing Period. Poult. Sci. 2016, 95, 298–305. [Google Scholar] [CrossRef]
- Hakkinen, M.; Schneitz, C. Efficacy of a Commercial Competitive Exclusion Product against Campylobacter jejuni. Br. Poult. Sci. 1999, 40, 619–621. [Google Scholar] [CrossRef] [PubMed]
- Haughton, P.N.; Lyng, J.; Fanning, S.; Whyte, P. Potential of a Commercially-Available Water Acidification Product for Reducing Campylobacter in Broilers Prior to Slaughter. Br. Poult. Sci. 2013, 54, 319–324. [Google Scholar] [CrossRef] [PubMed]
- Helmy, Y.A.; Closs, G.; Jung, K.; Kathayat, D.; Vlasova, A.; Rajashekara, G. Effect of Probiotic E. coli Nissle 1917 Supplementation on the Growth Performance, Immune Responses, Intestinal Morphology, and Gut Microbes of Campylobacter jejuni Infected Chickens. Infect. Immun. 2022, 90, e00337-22. [Google Scholar] [CrossRef] [PubMed]
- Hermans, D.; Martel, A.; Garmyn, A.; Verlinden, M.; Heyndrickx, M.; Gantois, I.; Haesebrouck, F.; Pasmans, F. Application of Medium-Chain Fatty Acids in Drinking Water Increases Campylobacter jejuni Colonization Threshold in Broiler Chicks. Poult. Sci. 2012, 91, 1733–1738. [Google Scholar] [CrossRef]
- Hodgins, D.C.; Barjesteh, N.; St. Paul, M.; Ma, Z.; Monteiro, M.A.; Sharif, S. Evaluation of a Polysaccharide Conjugate Vaccine to Reduce Colonization by Campylobacter jejuni in Broiler Chickens. BMC Res. Notes 2015, 8, 204. [Google Scholar] [CrossRef]
- Hue, O.; Le Bouquin, S.; Laisney, M.-J.; Allain, V.; Lalande, F.; Petetin, I.; Rouxel, S.; Quesne, S.; Gloaguen, P.-Y.; Picherot, M.; et al. Prevalence of and Risk Factors for Campylobacter spp. Contamination of Broiler Chicken Carcasses at the Slaughterhouse. Food Microbiol. 2010, 27, 992–999. [Google Scholar] [CrossRef]
- Ibrahim, D.; Sewid, A.H.; Arisha, A.H.; Abd El-fattah, A.H.; Abdelaziz, A.M.; Al-Jabr, O.A.; Kishawy, A.T.Y. Influence of Glycyrrhiza Glabra Extract on Growth, Gene Expression of Gut Integrity, and Campylobacter jejuni Colonization in Broiler Chickens. Front. Vet. Sci. 2020, 7, 612063. [Google Scholar] [CrossRef]
- Iwata, T.; Watanabe-Yanai, A.; Tamamura-Andoh, Y.; Arai, N.; Akiba, M.; Kusumoto, M. Tryptanthrin Reduces Campylobacter jejuni Colonization in the Chicken Gut by a Bactericidal Mechanism. Appl. Environ. Microbiol. 2023, 89, e01701-22. [Google Scholar] [CrossRef]
- Jansen, W.; Reich, F.; Klein, G. Large-Scale Feasibility of Organic Acids as a Permanent Preharvest Intervention in Drinking Water of Broilers and Their Effect on Foodborne Campylobacter spp. before Processing. J. Appl. Microbiol. 2014, 116, 1676–1687. [Google Scholar] [CrossRef]
- Khattak, F.; Paschalis, V.; Green, M.; Houdijk, J.G.M.; Soultanas, P.; Mahdavi, J. TYPLEX® Chelate, a Novel Feed Additive, Inhibits Campylobacter jejuni Biofilm Formation and Cecal Colonization in Broiler Chickens. Poult. Sci. 2018, 97, 1391–1399. [Google Scholar] [CrossRef] [PubMed]
- Khattak, F.; Galgano, S.; Pedersen, N.R.; Hui, Y.; Matthiesen, R.; Houdijk, J. Supplementation of Lactobacillus-fermented Rapeseed Meal in Broiler Diet Reduces Campylobacter jejuni Cecal Colonization and Limits the L-tryptophan and L-histidine Biosynthesis Pathways. J. Sci. Food Agric. 2024, 104, 5474–5485. [Google Scholar] [CrossRef] [PubMed]
- Kittler, S.; Fischer, S.; Abdulmawjood, A.; Glünder, G.; Klein, G. Effect of Bacteriophage Application on Campylobacter jejuni Loads in Commercial Broiler Flocks. Appl. Environ. Microbiol. 2013, 79, 7525–7533. [Google Scholar] [CrossRef] [PubMed]
- Laukova, A.; Pogany Simonova, M.; Kubasova, I.; Gancarcikova, S.; Placha, I.; Scerbova, J.; Revajova, V.; Herich, R.; Levkut Sn, M.; Strompfova, V. Pilot Experiment in Chickens Challenged with Campylobacter jejuni CCM6191 Administered Enterocin M-Producing Probiotic Strain Enterococcus faecium CCM8558 to Check Its Protective Effect. Czech J. Anim. Sci. 2017, 62, 491–500. [Google Scholar] [CrossRef]
- Lauková, A.; Kandričáková, A.; Ščerbová, J.; Szabóová, R.; Plachá, I.; Čobanová, K.; Simonová, M.P.; Strompfová, V. In Vivo Model Experiment Using Laying Hens Treated with Enterococcus faecium EM41 from Ostrich Faeces and Its Enterocin EM41. Maced. Vet. Rev. 2017, 40, 157–166. [Google Scholar] [CrossRef]
- Line, J.E.; Bailey, J.S.; Cox, N.A.; Stern, N.J.; Tompkins, T. Effect of Yeast-Supplemented Feed on Salmonella and Campylobacter Populations in Broilers. Poult. Sci. 1998, 77, 405–410. [Google Scholar] [CrossRef]
- Line, J.E.; Bailey, J.S.; Cox, N.A.; Stern, N.J. Yeast Treatment to Reduce Salmonella and Campylobacter Populations Associated with Broiler Chickens Subjected to Transport Stress. Poult. Sci. 1997, 76, 1227–1231. [Google Scholar] [CrossRef]
- Liu, N.; Deng, X.J.; Liang, C.Y.; Cai, H.Y. Fermented Broccoli Residue Reduced Harmful Bacterial Loads and Improved Meat Antioxidation of Free-Range Broilers. J. Appl. Poult. Res. 2018, 27, 590–596. [Google Scholar] [CrossRef]
- Mañes-Lázaro, R.; Van Diemen, P.M.; Pin, C.; Mayer, M.J.; Stevens, M.P.; Narbad, A. Administration of Lactobacillus johnsonii FI9785 to Chickens Affects Colonisation by Campylobacter jejuni and the Intestinal Microbiota. Br. Poult. Sci. 2017, 58, 373–381. [Google Scholar] [CrossRef]
- Metcalf, J.H.; Donoghue, A.M.; Venkitanarayanan, K.; Reyes-Herrera, I.; Aguiar, V.F.; Blore, P.J.; Donoghue, D.J. Water Administration of the Medium-Chain Fatty Acid Caprylic Acid Produced Variable Efficacy against Enteric Campylobacter Colonization in Broilers. Poult. Sci. 2011, 90, 494–497. [Google Scholar] [CrossRef]
- Molatová, Z.; Skřivanová, E.; Baré, J.; Houf, K.; Bruggeman, G.; Marounek, M. Effect of Coated and Non-coated Fatty Acid Supplementation on Broiler Chickens Experimentally Infected with Campylobacter jejuni. Anim. Physiol. Nutr. 2011, 95, 701–706. [Google Scholar] [CrossRef] [PubMed]
- Naseri, K.G.; Rahimi, S.; Khaki, P. Comparison of the Effects of Probiotic, Organic Acid and Medicinal Plant on Campylobacter jejuni Challenged Broiler Chickens. J. Agric. Sci. Technol. 2012, 14, 1485–1496. [Google Scholar]
- Neal-McKinney, J.M.; Lu, X.; Duong, T.; Larson, C.L.; Call, D.R.; Shah, D.H.; Konkel, M.E. Production of Organic Acids by Probiotic Lactobacilli Can Be Used to Reduce Pathogen Load in Poultry. PLoS ONE 2012, 7, e43928. [Google Scholar] [CrossRef] [PubMed]
- Nishiyama, K.; Seto, Y.; Yoshioka, K.; Kakuda, T.; Takai, S.; Yamamoto, Y.; Mukai, T. Lactobacillus gasseri SBT2055 Reduces Infection by and Colonization of Campylobacter jejuni. PLoS ONE 2014, 9, e108827. [Google Scholar] [CrossRef]
- Nooreh, Z.; Taherpour, K.; Akbari Gharaei, M.; Shirzadi, H.; Ghasemi, H.A. Effects of a Dietary Direct-Fed Microbial and Ferulago Angulata Extract on Growth Performance, Intestinal Microflora, and Immune Function of Broiler Chickens Infected with Campylobacter jejuni. Poult. Sci. 2021, 100, 100942. [Google Scholar] [CrossRef]
- Nuengjamnong, C.; Luangtongkum, T. Effects of Effective Microorganisms on Growth Performances, Ammonia Reduction, Hematological Changes and Shedding of Salmonella Enterica and Campylobacter spp. in Broilers. Thai J. Vet. Med. 2014, 44, 15–22. [Google Scholar] [CrossRef]
- Ocejo, M.; Oporto, B.; Juste, R.A.; Hurtado, A. Effects of Dry Whey Powder and Calcium Butyrate Supplementation of Corn/Soybean-Based Diets on Productive Performance, Duodenal Histological Integrity, and Campylobacter Colonization in Broilers. BMC Vet. Res. 2017, 13, 199. [Google Scholar] [CrossRef]
- Okoye, J.C.; Holland, A.; Pitoulias, M.; Paschalis, V.; Piddubnyi, A.; Dufailu, O.A.; Borén, T.; Oldfield, N.J.; Mahdavi, J.; Soultanas, P. Ferric Quinate (QPLEX) Inhibits the Interaction of Major Outer Membrane Protein (MOMP) with the Lewis b (Leb) Antigen and Limits Campylobacter Colonization in Broilers. Front. Microbiol. 2023, 14, 1146418. [Google Scholar] [CrossRef]
- Peh, E.; Szott, V.; Reichelt, B.; Friese, A.; Ploetz, M.; Roesler, U.; Kittler, S. Combined Application of Bacteriophages with a Competitive Exclusion Culture and Carvacrol with Organic Acids Can Reduce Campylobacter in Primary Broiler Production. Sci. Rep. 2024, 14, 9218. [Google Scholar] [CrossRef]
- Ren, F.; Yang, W.; Hu, J.; Huang, P.; Jiao, X.-A.; Huang, J. Feeding Malic Acid to Chickens at Slaughter Age Improves Microbial Safety with Regard to Campylobacter. Animals 2021, 11, 1999. [Google Scholar] [CrossRef]
- Rice, B. Campylobacter jejuni in Broiler Chickens: Colonization and Humoral Immunity Following Oral Vaccination and Experimental Infection. Vaccine 1997, 15, 1922–1932. [Google Scholar] [CrossRef] [PubMed]
- Robyn, J.; Rasschaert, G.; Hermans, D.; Pasmans, F.; Heyndrickx, M. In Vivo Broiler Experiments to Assess Anti-Campylobacter jejuni Activity of a Live Enterococcus faecalis Strain. Poult. Sci. 2013, 92, 265–271. [Google Scholar] [CrossRef] [PubMed]
- Robyn, J.; Rasschaert, G.; Hermans, D.; Pasmans, F.; Heyndrickx, M. Is Allicin Able to Reduce Campylobacter jejuni Colonization in Broilers When Added to Drinking Water? Poult. Sci. 2013, 92, 1408–1418. [Google Scholar] [CrossRef] [PubMed]
- Saint-Cyr, M.J.; Haddad, N.; Taminiau, B.; Poezevara, T.; Quesne, S.; Amelot, M.; Daube, G.; Chemaly, M.; Dousset, X.; Guyard-Nicodème, M. Use of the Potential Probiotic Strain Lactobacillus salivarius SMXD51 to Control Campylobacter jejuni in Broilers. Int. J. Food Microbiol. 2017, 247, 9–17. [Google Scholar] [CrossRef]
- Salaheen, S.; Tabashsum, Z.; Gaspard, S.; Dattilio, A.; Tran, T.H.; Biswas, D. Reduced Campylobacter jejuni Colonization in Poultry Gut with Bioactive Phenolics. Food Control 2018, 84, 1–7. [Google Scholar] [CrossRef]
- Schneitz, C.; Hakkinen, M. The Efficacy of a Commercial Competitive Exclusion Product on Campylobacter Colonization in Broiler Chickens in a 5-Week Pilot-Scale Study. Poult. Sci. 2016, 95, 1125–1128. [Google Scholar] [CrossRef]
- Shrestha, S.; Arsi, K.; Wagle, B.R.; Donoghue, A.M.; Donoghue, D.J. Ability of Select Probiotics to Reduce Enteric Campylobacter Colonization in Broiler Chickens. Int. J. Poult. Sci. 2017, 16, 37–42. [Google Scholar] [CrossRef]
- Šimunović, K.; Sahin, O.; Erega, A.; Štefanič, P.; Zhang, Q.; Mandic Mulec, I.; Smole Možina, S.; Klančnik, A. Bacillus Subtilis PS-216 Spores Supplemented in Broiler Chicken Drinking Water Reduce Campylobacter jejuni Colonization and Increases Weight Gain. Front. Microbiol. 2022, 13, 910616. [Google Scholar] [CrossRef]
- Skoufos, I.; Tzora, A.; Giannenas, I.; Bonos, E.; Tsinas, A.; ΜcCartney, Ε.; Lester, H.; Christaki, E.; Florou-Paneri, P.; Mahdavi, J.; et al. Evaluation of In-Field Efficacy of Dietary Ferric Tyrosine on Performance, Intestinal Health and Meat Quality of Broiler Chickens Exposed to Natural Campylobacter jejuni Challenge. Livest. Sci. 2019, 221, 44–51. [Google Scholar] [CrossRef]
- Smialek, M.; Burchardt, S.; Koncicki, A. The Influence of Probiotic Supplementation in Broiler Chickens on Population and Carcass Contamination with Campylobacter spp.—Field Study. Res. Vet. Sci. 2018, 118, 312–316. [Google Scholar] [CrossRef]
- Stern, N.J.; Robach, M.C.; Cox, N.A.; Musgrove, M.T. Effect of Drinking Water Chlorination on Campylobacter spp. Colonization of Broilers. Avian Dis. 2002, 46, 401–404. [Google Scholar] [CrossRef] [PubMed]
- Stern, N.J.; Clavero, M.R.; Bailey, J.S.; Cox, N.A.; Robach, M.C. Campylobacter spp. in Broilers on the Farm and after Transport. Poult. Sci. 1995, 74, 937–941. [Google Scholar] [CrossRef]
- Sweeney, T.; Meredith, H.; Ryan, M.T.; Gath, V.; Thornton, K.; O’Doherty, J.V. Effects of Ascophyllum nodosum Supplementation on Campylobacter jejuni Colonisation, Performance and Gut Health Following an Experimental Challenge in 10day Old Chicks. Innov. Food Sci. Emerg. Technol. 2016, 37, 247–252. [Google Scholar] [CrossRef]
- Sweeney, T.; Meredith, H.; Vigors, S.; McDonnell, M.J.; Ryan, M.; Thornton, K.; O’Doherty, J.V. Extracts of Laminarin and Laminarin/Fucoidan from the Marine Macroalgal Species Laminaria Digitata Improved Growth Rate and Intestinal Structure in Young Chicks, but Does Not Influence Campylobacter jejuni Colonisation. Anim. Feed Sci. Technol. 2017, 232, 71–79. [Google Scholar] [CrossRef]
- Szott, V.; Peh, E.; Friese, A.; Roesler, U.; Kehrenberg, C.; Ploetz, M.; Kittler, S. Antimicrobial Effect of a Drinking Water Additive Comprising Four Organic Acids on Campylobacter Load in Broilers and Monitoring of Bacterial Susceptibility. Poult. Sci. 2022, 101, 102209. [Google Scholar] [CrossRef]
- Szott, V.; Reichelt, B.; Friese, A.; Roesler, U. A Complex Competitive Exclusion Culture Reduces Campylobacter jejuni Colonization in Broiler Chickens at Slaughter Age In Vivo. Vet. Sci. 2022, 9, 181. [Google Scholar] [CrossRef]
- Szott, V.; Reichelt, B.; Alter, T.; Friese, A.; Roesler, U. In Vivo Efficacy of Carvacrol on Campylobacter jejuni Prevalence in Broiler Chickens during an Entire Fattening Period. Eur. J. Microbiol. Immunol. 2020, 10, 131–138. [Google Scholar] [CrossRef]
- Tabashsum, Z.; Peng, M.; Alvarado-Martinez, Z.; Aditya, A.; Bhatti, J.; Romo, P.B.; Young, A.; Biswas, D. Competitive Reduction of Poultry-Borne Enteric Bacterial Pathogens in Chicken Gut with Bioactive Lactobacillus casei. Sci. Rep. 2020, 10, 16259. [Google Scholar] [CrossRef]
- Taha-Abdelaziz, K.; Hodgins, D.C.; Alkie, T.N.; Quinteiro-Filho, W.; Yitbarek, A.; Astill, J.; Sharif, S. Oral Administration of PLGA-Encapsulated CpG ODN and Campylobacter jejuni Lysate Reduces Cecal Colonization by Campylobacter jejuni in Chickens. Vaccine 2018, 36, 388–394. [Google Scholar] [CrossRef]
- Tangkham, W.; Janes, M.; LeMieux, F. Prevalence and Distribution of Campylobacter jejuni in Small-Scale Broiler Operations. J. Food Prot. 2016, 79, 75–81. [Google Scholar] [CrossRef]
- Thépault, A.; Roulleau, X.; Loiseau, P.; Cauquil, L.; Poezevara, T.; Hyronimus, B.; Quesne, S.; Souchaud, F.; Keita, A.; Chemaly, M.; et al. Effect of Litter Treatment on Campylobacter jejuni in Broilers and on Cecal Microbiota. Pathogens 2020, 9, 333. [Google Scholar] [CrossRef] [PubMed]
- Tsiouris, V.; Economou, E.; Lazou, T.; Georgopoulou, I.; Sossidou, E. The Role of Whey on the Performance and Campylobacteriosis in Broiler Chicks. Poult. Sci. 2019, 98, 236–243. [Google Scholar] [CrossRef] [PubMed]
- Van Deun, K.; Haesebrouck, F.; Van Immerseel, F.; Ducatelle, R.; Pasmans, F. Short-Chain Fatty Acids and l-Lactate as Feed Additives to Control Campylobacter jejuni Infections in Broilers. Avian Pathol. 2008, 37, 379–383. [Google Scholar] [CrossRef]
- Vandeputte, J.; Martel, A.; Canessa, S.; Van Rysselberghe, N.; De Zutter, L.; Heyndrickx, M.; Haesebrouck, F.; Pasmans, F.; Garmyn, A. Reducing Campylobacter jejuni Colonization in Broiler Chickens by In-Feed Supplementation with Hyperimmune Egg Yolk Antibodies. Sci. Rep. 2019, 9, 8931. [Google Scholar] [CrossRef]
- Vohra, P.; Chintoan-Uta, C.; Bremner, A.; Mauri, M.; Terra, V.S.; Cuccui, J.; Wren, B.W.; Vervelde, L.; Stevens, M.P. Evaluation of a Campylobacter jejuni N-Glycan-ExoA Glycoconjugate Vaccine to Reduce C. jejuni Colonisation in Chickens. Vaccine 2021, 39, 7413–7420. [Google Scholar] [CrossRef]
- Wagenaar, J.A.; Bergen, M.A.P.V.; Mueller, M.A.; Wassenaar, T.M.; Carlton, R.M. Phage Therapy Reduces Campylobacter jejuni Colonization in Broilers. Vet. Microbiol. 2005, 109, 275–283. [Google Scholar] [CrossRef] [PubMed]
- Yusrizal, Y. Microbial and Oligosaccharides Treatments of Feces and Slurry in Reducing Ammonia of the Poultry Farm. Med. Peternak. 2012, 35, 152–156. [Google Scholar] [CrossRef]
- Zeiger, K.; Popp, J.; Becker, A.; Hankel, J.; Visscher, C.; Klein, G.; Meemken, D. Lauric Acid as Feed Additive—An Approach to Reducing Campylobacter spp. in Broiler Meat. PLoS ONE 2017, 12, e0175693. [Google Scholar] [CrossRef]
- Hankel, J.; Popp, J.; Meemken, D.; Zeiger, K.; Beyerbach, M.; Taube, V.; Klein, G.; Visscher, C. Influence of Lauric Acid on the Susceptibility of Chickens to an Experimental Campylobacter jejuni Colonisation. PLoS ONE 2018, 13, e0204483. [Google Scholar] [CrossRef]
- De Castro Burbarelli, M.F.; Do Valle Polycarpo, G.; Lelis, K.D.; Granghelli, C.A.; De Pinho, A.C.C.; Queiroz, S.R.A.; Fernandes, A.M.; De Souza, R.L.M.; Moro, M.E.G.; De Andrade Bordin, R.; et al. Cleaning and Disinfection Programs against Campylobacter jejuni for Broiler Chickens: Productive Performance, Microbiological Assessment and Characterization. Poult. Sci. 2017, 96, 3188–3198. [Google Scholar] [CrossRef]
- De Los Santos, F.S.; Donoghue, A.M.; Venkitanarayanan, K.; Metcalf, J.H.; Reyes-Herrera, I.; Dirain, M.L.; Aguiar, V.F.; Blore, P.J.; Donoghue, D.J. The Natural Feed Additive Caprylic Acid Decreases Campylobacter jejuni Colonization in Market-Aged Broiler Chickens. Poult. Sci. 2009, 88, 61–64. [Google Scholar] [CrossRef] [PubMed]
- Alam, B.; Uddin, M.N.; Mridha, D.; Akhter, A.H.M.T.; Islam, S.S.; Haque, A.K.M.Z.; Kabir, S.M.L. Occurrence of Campylobacter spp. in Selected Small Scale Commercial Broiler Farms of Bangladesh Related to Good Farm Practices. Microorganisms 2020, 8, 1778. [Google Scholar] [CrossRef] [PubMed]
- Allen, V.M.; Ridley, A.M.; Harris, J.A.; Newell, D.G.; Powell, L. Influence of Production System on the Rate of Onset of Campylobacter Colonization in Chicken Flocks Reared Extensively in the United Kingdom. Br. Poult. Sci. 2011, 52, 30–39. [Google Scholar] [CrossRef] [PubMed]
- Branciari, R.; Ranucci, D.; Ortenzi, R.; Roila, R.; Trabalza-Marinucci, M.; Servili, M.; Papa, P.; Galarini, R.; Valiani, A. Dietary Administration of Olive Mill Wastewater Extract Reduces Campylobacter spp. Prevalence in Broiler Chickens. Sustainability 2016, 8, 837. [Google Scholar] [CrossRef]
- Ellerbroek, L.I.; Lienau, J.-A.; Klein, G. Campylobacter spp. in Broiler Flocks at Farm Level and the Potential for Cross-Contamination during Slaughter. Zoonoses Public Health 2010, 57, e81–e88. [Google Scholar] [CrossRef]
- Gharbi, M.; Béjaoui, A.; Ben Hamda, C.; Jouini, A.; Ghedira, K.; Zrelli, C.; Hamrouni, S.; Aouadhi, C.; Bessoussa, G.; Ghram, A.; et al. Prevalence and Antibiotic Resistance Patterns of Campylobacter spp. Isolated from Broiler Chickens in the North of Tunisia. BioMed Res. Int. 2018, 2018, 7943786. [Google Scholar] [CrossRef]
- Gharbi, M.; Béjaoui, A.; Hamrouni, S.; Arfaoui, A.; Maaroufi, A. Persistence of Campylobacter spp. in Poultry Flocks after Disinfection, Virulence, and Antimicrobial Resistance Traits of Recovered Isolates. Antibiotics 2023, 12, 890. [Google Scholar] [CrossRef]
- Iannetti, S.; Calistri, P.; Di Serafino, G.; Marotta, F.; Alessiani, A.; Antoci, S.; Neri, D.; Perilli, M.; Iannitto, G.; Iannetti, L.; et al. Campylobacter jejuni and Campylobacter coli: Prevalence, Contamination Levels, Genetic Diversity and Antibiotic Resistance in Italy. Vet. Ital. 2020, 56, 23–34. [Google Scholar] [CrossRef]
- Li, K.; Lemonakis, L.; Glover, B.; Moritz, J.; Shen, C. Impact of Built-up-Litter and Commercial Antimicrobials on Salmonella and Campylobacter Contamination of Broiler Carcasses Processed at a Pilot Mobile Poultry-Processing Unit. Front. Vet. Sci. 2017, 4, 88. [Google Scholar] [CrossRef]
- Reichelt, B.; Szott, V.; Epping, L.; Semmler, T.; Merle, R.; Roesler, U.; Friese, A. Transmission Pathways of Campylobacter spp. at Broiler Farms and Their Environment in Brandenburg, Germany. Front. Microbiol. 2022, 13, 982693. [Google Scholar] [CrossRef]
- Willis, W.L.; Reid, L. Investigating the Effects of Dietary Probiotic Feeding Regimens on Broiler Chicken Production and Campylobacter jejuni Presence. Poult. Sci. 2008, 87, 606–611. [Google Scholar] [CrossRef] [PubMed]
- Berndtson, E.; Danielsson-Tham, M.-L.; Engvall, A. Campylobacter Incidence on a Chicken Farm and the Spread of Campylobacter during the Slaughter Process. Int. J. Food Microbiol. 1996, 32, 35–47. [Google Scholar] [CrossRef] [PubMed]
- Franchin, P.; Aidoo, K.; Batista, C.R.V. Sources of Poultry Meat Contamination with Thermophilic Campylobacter spp. before Slaughter. Braz. J. Microbiol. 2005, 36, 157–162. [Google Scholar] [CrossRef]
- Giombelli, A.; Gloria, M.B.A. Prevalence of Salmonella and Campylobacter on Broiler Chickens from Farm to Slaughter and Efficiency of Methods To Remove Visible Fecal Contamination. J. Food Prot. 2014, 77, 1851–1859. [Google Scholar] [CrossRef]
- Hansson, I.; Ederoth, M.; Andersson, L.; Vagsholm, I.; Olsson Engvall, E. Transmission of Campylobacter spp. to Chickens during Transport to Slaughter. J. Appl. Microbiol. 2005, 99, 1149–1157. [Google Scholar] [CrossRef]
- Ingresa-Capaccioni, S.; Jiménez-Trigos, E.; Marco-Jiménez, F.; Catalá, P.; Vega, S.; Marin, C. Campylobacter Epidemiology from Breeders to Their Progeny in Eastern Spain. Poult. Sci. 2016, 95, 676–683. [Google Scholar] [CrossRef]
- Jozwiak, A.; Reichart, O.; Laczay, P. The Occurrence of Campylobacter Species in Hungarian Broiler Chickens from Farm to Slaughter. J. Vet. Med. B Infect. Dis. Vet. Public Health 2006, 53, 291–294. [Google Scholar] [CrossRef]
- Kiess, A.S.; Kenney, P.B.; Nayak, R.R. Campylobacter Detection in Commercial Turkeys. Br. Poult. Sci. 2007, 48, 567–572. [Google Scholar] [CrossRef]
- Lydekaitienė, V.L.; Malakauskas, M.; Kudirkienė, E. Contamination of Poultry Environment with Campylobacter spp. and Significance for Colonisation of Broilers. Vet. Ir. Zootech. 2016, 75, 62–68. [Google Scholar]
- Perez-Arnedo, I.; Gonzalez-Fandos, E. Prevalence of Campylobacter spp. in Poultry in Three Spanish Farms, a Slaughterhouse and a Further Processing Plant. Foods 2020, 8, 111. [Google Scholar] [CrossRef]
- Yamazaki, W.; Uemura, R.; Sekiguchi, S.; Dong, J.-B.; Watanabe, S.; Kirino, Y.; Mekata, H.; Nonaka, N.; Norimine, J.; Sueyoshi, M.; et al. Campylobacter and Salmonella Are Prevalent in Broiler Farms in Kyushu, Japan: Results of a 2-Year Distribution and Circulation Dynamics Audit. J. Appl. Microbiol. 2016, 120, 1711–1722. [Google Scholar] [CrossRef]
- Zbrun, M.V.; Rossler, E.; Olivero, C.R.; Soto, L.P.; Zimmermann, J.A.; Frizzo, L.S.; Signorini, M.L. Possible Reservoirs of Thermotolerant Campylobacter at the Farm between Rearing Periods and after the Use of Enrofloxacin as a Therapeutic Treatment. Int. J. Food Microbiol. 2021, 340, 109046. [Google Scholar] [CrossRef]
- Zhang, X.; Yin, T.; Du, X.; Yang, W.; Huang, J.; Jiao, X. Occurrence and Genotypes of Campylobacter Species in Broilers during the Rearing Period. Avian Pathol. 2017, 46, 215–223. [Google Scholar] [CrossRef] [PubMed]
- Deng, W.; Dittoe, D.K.; Pavilidis, H.O.; Chaney, W.E.; Yang, Y.; Ricke, S.C. Current Perspectives and Potential of Probiotics to Limit Foodborne Campylobacter in Poultry. Front. Microbiol. 2020, 11, 583429. [Google Scholar] [CrossRef] [PubMed]
- Olson, E.G.; Micciche, A.C.; Rothrock, M.J.; Yang, Y.; Ricke, S.C. Application of Bacteriophages to Limit Campylobacter in Poultry Production. Front. Microbiol. 2022, 12, 458721. [Google Scholar] [CrossRef] [PubMed]
- Saint-Cyr, M.J.; Guyard-Nicodème, M.; Messaoudi, S.; Chemaly, M.; Cappelier, J.-M.; Dousset, X.; Haddad, N. Recent Advances in Screening of Anti-Campylobacter Activity in Probiotics for Use in Poultry. Front. Microbiol. 2016, 7, 553. [Google Scholar] [CrossRef]
- El-Shibiny, A.; Scott, A.; Timms, A.; Metawea, Y.; Connerton, P.; Connerton, I. Application of a Group II Campylobacter Bacteriophage to Reduce Strains of Campylobacter jejuni and Campylobacter coli Colonizing Broiler Chickens. J. Food Prot. 2009, 72, 733–740. [Google Scholar] [CrossRef]
- Calland, J.K.; Pesonen, M.E.; Mehat, J.; Pascoe, B.; Haydon, D.J.; Lourenco, J.; Lukasiewicz, B.; Mourkas, E.; Hitchings, M.D.; La Ragione, R.M.; et al. Genomic Tailoring of Autogenous Poultry Vaccines to Reduce Campylobacter from Farm to Fork. npj Vaccines 2024, 9, 105. [Google Scholar] [CrossRef]
- Pumtang-on, P.; Mahony, T.J.; Hill, R.A.; Vanniasinkam, T. A Systematic Review of Campylobacter jejuni Vaccine Candidates for Chickens. Microorganisms 2021, 9, 397. [Google Scholar] [CrossRef]
- Mosimann, S.; Desiree, K.; Ebner, P. Efficacy of Phage Therapy in Poultry: A Systematic Review and Meta-Analysis. Poult. Sci. 2021, 100, 101472. [Google Scholar] [CrossRef]
- Patuzzi, I.; Orsini, M.; Cibin, V.; Petrin, S.; Mastrorilli, E.; Tiengo, A.; Gobbo, F.; Catania, S.; Barco, L.; Ricci, A.; et al. The Interplay between Campylobacter and the Caecal Microbial Community of Commercial Broiler Chickens over Time. Microorganisms 2021, 9, 221. [Google Scholar] [CrossRef] [PubMed]
- Sakaridis, I.; Ellis, R.J.; Cawthraw, S.A.; van Vliet, A.H.M.; Stekel, D.J.; Penell, J.; Chambers, M.; La Ragione, R.M.; Cook, A.J. Investigating the Association Between the Caecal Microbiomes of Broilers and Campylobacter Burden. Front. Microbiol. 2018, 9, 927. [Google Scholar] [CrossRef] [PubMed]
- Kinanti, A.; Prihanto, A.; Jatmiko, Y.; Kobun, R.; Felicia, W. Harnessing Bacteriophages: A Promising Approach to Combat Foodborne Pathogen Biofilms. Int. J. Agric. Biosci. 2024, 13, 656–668. [Google Scholar] [CrossRef]
- Śmiałek, M.; Kowalczyk, J.; Koncicki, A. The Use of Probiotics in the Reduction of Campylobacter spp. Prevalence in Poultry. Animals 2021, 11, 1355. [Google Scholar] [CrossRef]
- Rudi, K.; Høidal, H.K.; Katla, T.; Johansen, B.K.; Nordal, J.; Jakobsen, K.S. Direct Real-Time PCR Quantification of Campylobacter jejuni in Chicken Fecal and Cecal Samples by Integrated Cell Concentration and DNA Purification. Appl. Environ. Microbiol. 2004, 70, 790–797. [Google Scholar] [CrossRef]
- Asbury, R.E.; Saville, B.A. Manno-Oligosaccharides as a Promising Antimicrobial Strategy: Pathogen Inhibition and Synergistic Effects with Antibiotics. Front. Microbiol. 2025, 16, 1529081. [Google Scholar] [CrossRef]
- Sharma, N. Exploring the Potential of Mannan Oligosaccharides in Enhancing Animal Growth, Immunity, and Overall Health: A Review. Carbohydr. Polym. Technol. Appl. 2025, 9, 100603. [Google Scholar] [CrossRef]
- Kim, S.A.; Jang, M.J.; Kim, S.Y.; Yang, Y.; Pavlidis, H.O.; Ricke, S.C. Potential for Prebiotics as Feed Additives to Limit Foodborne Campylobacter Establishment in the Poultry Gastrointestinal Tract. Front. Microbiol. 2019, 10, 91. [Google Scholar] [CrossRef]
- de Toledo, T.d.S.; Roll, A.A.P.; Rutz, F.; Dallmann, H.M.; Dai Prá, M.A.; Leite, F.P.L.; Roll, V.F.B. An Assessment of the Impacts of Litter Treatments on the Litter Quality and Broiler Performance: A Systematic Review and Meta-Analysis. PLoS ONE 2020, 15, e0232853. [Google Scholar] [CrossRef]
- Horvat, A.; Luning, P.A.; DiGennaro, C.; Rommens, E.; van Daalen, E.; Koene, M.; Jalali, M.S. The Impacts of Biosecurity Measures on Campylobacter Contamination in Broiler Houses and Slaughterhouses in the Netherlands: A Simulation Modelling Approach. Food Control 2022, 141, 109151. [Google Scholar] [CrossRef]
- Kobierecka, P.A.; Wyszyńska, A.K.; Gubernator, J.; Kuczkowski, M.; Wiśniewski, O.; Maruszewska, M.; Wojtania, A.; Derlatka, K.E.; Adamska, I.; Godlewska, R.; et al. Chicken Anti-Campylobacter Vaccine—Comparison of Various Carriers and Routes of Immunization. Front. Microbiol. 2016, 7, 740. [Google Scholar] [CrossRef]
- Rasschaert, G.; De Zutter, L.; Herman, L.; Heyndrickx, M. Campylobacter Contamination of Broilers: The Role of Transport and Slaughterhouse. Int. J. Food Microbiol. 2020, 322, 108564. [Google Scholar] [CrossRef]
- Wang, J.; Vaddu, S.; Bhumanapalli, S.; Mishra, A.; Applegate, T.; Singh, M.; Thippareddi, H. A Systematic Review and Meta-Analysis of the Sources of Campylobacter in Poultry Production (Preharvest) and Their Relative Contributions to the Microbial Risk of Poultry Meat. Poult. Sci. 2023, 102, 102905. [Google Scholar] [CrossRef]
- Hastings, R.; Colles, F.M.; McCarthy, N.D.; Maiden, M.C.J.; Sheppard, S.K. Campylobacter Genotypes from Poultry Transportation Crates Indicate a Source of Contamination and Transmission. J. Appl. Microbiol. 2011, 110, 266–276. [Google Scholar] [CrossRef]
- Magnoli, A.; Parada, J.; Luna, M.; Corti, M.; Escobar, F.; Fernández, C.; Coniglio, M.; Ortiz, M.; Wittouck, P.; Watson, S.; et al. Impact of Probiotic Saccharomyces cerevisiae Var. Boulardii RC009 Alone and in Combination with a Phytase in Broiler Chickens Fed with Antibiotic-Free Diets. Agrobiol. Rec. 2024, 16, 1–10. [Google Scholar] [CrossRef] [PubMed]
- Bailey, M.A.; Bourassa, D.V.; Krehling, J.T.; Munoz, L.; Chasteen, K.S.; Escobar, C.; Macklin, K.S. Effects of Common Litter Management Practices on the Prevalence of Campylobacter jejuni in Broilers. Animals 2022, 12, 858. [Google Scholar] [CrossRef] [PubMed]
- Agunos, A.; Waddell, L.; Léger, D.; Taboada, E. A Systematic Review Characterizing On-Farm Sources of Campylobacter spp. for Broiler Chickens. PLoS ONE 2014, 9, e104905. [Google Scholar] [CrossRef] [PubMed]
- Plishka, M.; Sargeant, J.M.; Winder, C.; Greer, A.L. Modelling the Introduction and Transmission of Campylobacter in a North American Chicken Flock. Zoonoses Public Health 2022, 69, 23–32. [Google Scholar] [CrossRef]

= Organic acids,
= Organic iron complex, * = Prebiotic,
= Probiotic,
= Vaccination.
= Organic acids,
= Organic iron complex, * = Prebiotic,
= Probiotic,
= Vaccination.



| Interventions or Treatments | Log Reduction (Control—Treated) | |||
|---|---|---|---|---|
| Estimate [SE] | p-Value | n/N | Heterogeneity Analysis | |
| Organic acid in feed/water | 0.922 [0.200] | <0.001 | 184/17 | I2 = 54.3% p(QE) < 0.001 R2 = 32.0% τres2 = 2.289 Publication bias p < 0.001 |
| Use of bacteriophages | 0.837 [0.234] | <0.001 | 98/7 | |
| Extracts in feed/water | 0.758 [0.207] | <0.001 | 121/14 | |
| Probiotic in feed/water | 0.695 [0.192] | <0.001 | 324/39 | |
| Prebiotic in feed/water | 0.694 [0.228] | 0.002 | 36/6 | |
| Organic iron complex | 1.599 [0.886] | 0.071 | 12/3 | |
| Chemical treatment in feed/water/litter | 1.086 [0.683] | 0.112 | 54/5 | |
| Routinary cleaning and disinfection | 1.042 [0.879] | 0.236 | 22/3 | |
| Vaccination | 0.263 [0.626] | 0.674 | 62/6 | |
| Non-conventional production systems | 0.143 [1.079] | 0.895 | 27/2 | |
| Transport to slaughter | −0.497 [0.881] | 0.573 | 24/3 | |
| Quantitative Moderators Tested Individually | Log Ratio of Means (Control Group/Treated Group) | |||||
|---|---|---|---|---|---|---|
| Slaughter Age | Duration of Treatment | Age of Application | Application Concentration | Inoculum in Challenge | Age at Challenge | |
| Use of bacteriophages | 0.021 (−) | <0.001 (−) | 0.795 | 0.001 (−) | 0.119 | 0.267 |
| Probiotic in feed/water | 0.001 (−) | <0.001 (+) | 0.001 (−) | <0.001 (+) | 0.023 (−) | 0.315 |
| Extracts in feed/water | 0.158 | 0.206 | 0.171 | <0.001 (+) | 0.210 | 0.013 (+) |
| Organic acid in feed/water | 0.022 (+) | 0.363 | 0.622 | <0.001 (+) | 0.061 (+) | 0.694 |
| Prebiotic in feed/water | <0.001 (+) | 0.290 | <0.001 (+) | 0.370 | 0.185 | 0.115 |
| Chemical treatment in feed/water/litter | <0.001 (+) | <0.001 (+) | 0.049 (−) | 0.877 | NA | 0.385 |
| Organic iron complex | NA | NA | NA | <0.001 (+) | NA | NA |
| Vaccination | <0.001 (+) | <0.001 (+) | 0.456 | 0.960 | 0.502 | <0.001 (−) |
| Intervention | Parameter | Estimate (Log Reduction) | Standard Error | p-Value | n | Heterogeneity Analysis 2 |
|---|---|---|---|---|---|---|
| Use of bacterio-phages | Intercept | 1.048 | 0.207 | <0.001 | 36 | s2 = 0.7240 τ2 = 0.1194 I2 = 14.2% p(QE) < 0.001 R2 = 0.432 Pub. bias p = 0.407 |
| Treatment duration | −0.021 | 0.005 | 0.001 | |||
| Age of application | 0.015 | 0.005 | 0.017 | |||
| Application concentration | −0.041 | 0.010 | <0.001 | |||
| Sample type | ||||||
| Caecal | 0.386 | 0.161 | 0.017 | |||
| Faeces | - | - | - | |||
| Probiotics in feed/water | Intercept | 1.613 | 1.055 | 0.127 | 234 | s2 = 2.754 τ2 = 4.457 I2 = 61.8% p(QE) < 0.001 R2 = 0.239 Pub. bias p < 0.001 |
| Treatment duration | 0.012 | 0.002 | <0.001 | |||
| Age of application | −0.025 | 0.009 | 0.007 | |||
| Inoculum concentration | −0.319 | 0.168 | 0.057 | |||
| Sample type | ||||||
| Caecal | 1.267 | 0.029 | <0.001 | |||
| Faeces | - | - | - | |||
| Extracts in feed/water | Intercept | −0.100 | 0.327 | 0.759 | 101 | s2 = 0.9568 τ2 = 0.6209 I2 = 39.3% p(QE) < 0.001 R2 = 0.486 Pub. bias p = 0.499 |
| Slaughter age | 0.029 | 0.012 | 0.017 | |||
| Treatment duration | −0.028 | 0.012 | 0.012 | |||
| Application concentration | 0.121 | 0.021 | <0.001 | |||
| Sample type | ||||||
| Caecal | 0.121 | 0.122 | 0.015 | |||
| Water | 0.296 | 0.169 | <0.001 | |||
| Faeces | - | - | - | |||
| Organic acids in feed/water | Intercept | −0.018 | 0.341 | 0.957 | 103 | s2 = 0.7118 τ2 = 0.2359 I2 = 24.9% p(QE) < 0.001 R2 = 0.182 Pub. bias p = 0.405 |
| Slaughter age | 0.014 | 0.004 | 0.001 | |||
| Inoculum concentration | 0.095 | 0.054 | 0.079 | |||
| Application matrix | ||||||
| Feed | −0.892 | 0.053 | <0.001 | |||
| Drinking water | - | - | - | |||
| Prebiotics in feed/water | Intercept | −0.069 | 0.183 | 0.704 | 19 | s2 = 1.030 τ2 = 0.1875 I2 = 15.4% p(QE) = 0.260 R2 = 0.901 Pub. bias p = 0.348 |
| Age of application | 0.018 | 0.006 | 0.002 | |||
| Source | ||||||
| Fructooligosaccharide | −2.026 | 0.471 | <0.001 | |||
| Galactooligosaccharide | −0.077 | 0.282 | 0.785 | |||
| Mannanoligosaccharide | 0.051 | 0.359 | 0.888 | |||
| Bacitracin methylene disalicylate | - | - | - |
| Intervention | Parameter | Estimate (Log Reduction) | Standard Error | p-Value | n | Heterogeneity Analysis 2 |
|---|---|---|---|---|---|---|
| Chemical treatment in feed/water/litter | Intercept | 0.632 | 0.231 | 0.006 | 48 | s2 = 0.5939 τ2 = 0.1355 I2 = 18.6% p(QE) < 0.001 R2 = 0.644 Pub. bias p = 0.032 |
| Slaughter age | 0.021 | 0.005 | <0.001 | |||
| Sample type | ||||||
| Caecal | −1.435 | 0.096 | <0.001 | |||
| Litter | - | - | - | |||
| Application matrix | ||||||
| Feeding | 0.776 | 0.089 | <0.001 | |||
| Litter treatment | 0.891 | 0.135 | <0.001 | |||
| Drinking water | - | - | - | |||
| Routinary cleaning and disinfection | Intercept | −1.081 | 0.418 | 0.010 | 19 | s2 = 2.1780 τ2 = 0.9769 I2 = 30.9% p(QE) < 0.001 R2 = 0.662 Pub. bias p = 0.009 |
| Production system | ||||||
| Free-range | 1.004 | 0.176 | <0.001 | |||
| Conventional | - | - | - | |||
| Sample type | ||||||
| Environment swabs | 3.528 | 0.725 | <0.001 | |||
| Litter, floor, soil | 0.422 | 0.157 | 0.007 | |||
| Water | 1.751 | 0.849 | 0.039 | |||
| Caecal/carcass | - | - | - | |||
| Organic iron complex | Intercept | 0.863 | 0.264 | 0.001 | 12 | s2 = 0.6983 τ2 = 0.0877 I2 = 11.2% p(QE) = 0.072 R2 = 0.728 Pub. bias p < 0.001 |
| Application concentration | 7.701 | 1.328 | <0.001 | |||
| Non-conventional production systems | Intercept | −0.048 | 0.303 | 0.873 | 27 | s2 = 0.6576 τ2 = 0.0455 I2 = 6.5% p(QE) = 0.210 R2 = 0.530 Pub. bias p = 0.887 |
| Sample type | ||||||
| Environment swabs | 0.536 | 0.297 | 0.057 | |||
| Faeces | 0.034 | 0.325 | 0.917 | |||
| Feed | 0.132 | 0.305 | 0.666 | |||
| Caecal | 0.144 | 0.420 | 0.732 | |||
| Water | 0.354 | 0.304 | 0.245 | |||
| Carcass | - | - | - | |||
| Vaccination | Intercept | −0.588 | 0.243 | 0.016 | 52 | s2 = 1.3575 τ2 = 0.1858 I2 = 12.0% p(QE) = 0.980 R2 = 0.571 Pub. bias p < 0.001 |
| Slaughter age | 0.018 | 0.007 | 0.013 | |||
| Treatment duration | 0.074 | 0.008 | <0.001 | |||
| Application | ||||||
| Oral gavage | −0.305 | 0.140 | 0.030 | |||
| Subcutaneous | −2.009 | 0.190 | <0.001 | |||
| Intramuscular | - | - | - | |||
| Transport to slaughter | Intercept | −0.238 | 0.211 | 0.272 | 23 | s2 = 0.8918 τ2 = 0.2703 I2 = 23.3% p(QE) = 0.001 R2 = 0.692 Pub. bias p = 0.066 |
| Sample type | ||||||
| Carcass | −1.000 | 0.187 | <0.001 | |||
| Caecal | - | - | - |
| Interventions or Treatments | Log of Risk Ratio (Control Group/Treated Group) | |||
|---|---|---|---|---|
| Estimate [SE] | p-Value | n/N | Heterogeneity Analysis 1 | |
| Probiotics | 0.193 [0.079] | 0.014 | 46/7 | I2 = 14.0% p(Q) < 0.001 R2 = 15.7% τres2 = 0.2412 Pub. bias p = 0.389 |
| Extracts in feed/water | 0.078 [0.036] | 0.027 | 15/2 | |
| Routinary cleaning and disinfection | 0.119 [0.061] | 0.054 | 39/4 | |
| Organic acid in feed/water | 0.158 [0.206] | 0.443 | 76/4 | |
| Colder climates (versus warmer) | 0.195 [0.289] | 0.499 | 32/4 | |
| Non-conventional production Systems (versus conventional) | 0.207 [0.454] | 0.971 | 43/4 | |
| Intervention | Parameter | Estimate | Standard Error | p-Value | n | Heterogeneity Analysis 2 |
|---|---|---|---|---|---|---|
| Routinary cleaning and disinfection | Sample type | 39 | s2 = 0.9247 τ2 = 0.0600 I2 = 6.1% p(QE) = 0.801 R2 = 0.311 Pub. bias p = 0.129 | |||
| Boots | 0.551 | 0.369 | 0.137 | |||
| Environment swabs | 0.042 | 0.020 | 0.039 | |||
| Faeces | −0.141 | 0.355 | 0.691 | |||
| Litter, soil, floor | 2.475 | 1.141 | 0.030 | |||
| Caecal | 0.235 | 0.087 | 0.001 | |||
| Water | −0.141 | 0.434 | 0.745 | |||
| Probiotics | Intercept | 0.656 | 0.513 | 0.201 | 44 | s2 = 0.3211 τ2 = 0.0308 I2 = 8.75% p(QE) = 0.391 R2 = 0.769 Pub. bias p = 0.004 |
| Production system | ||||||
| Conventional | 0.516 | 0.179 | 0.004 | |||
| Others | - | - | - | |||
| Sample type | ||||||
| Faeces | −1.179 | 0.477 | 0.014 | |||
| Caecal | −1.403 | 0.463 | 0.003 | |||
| Carcass | - | - | - | |||
| Application | ||||||
| Feeding | 0.271 | 0.133 | 0.041 | |||
| Oral gavage | 0.865 | 0.209 | <0.001 | |||
| Spraying | −0.001 | 0.068 | 0.991 | |||
| Drinking water | - | - | - | |||
| Organic acids in feed/water | Intercept | 2.343 | 0.900 | 0.009 | 39 | s2 = 0.2940 τ2 = 0.5136 I2 = 63.6% p(QE) < 0.001 R2 = 0.951 Pub. bias p = 0.633 |
| Duration of treatment | 0.002 | 0.001 | <0.001 | |||
| Application concentration | −0.047 | 0.018 | 0.009 | |||
| Extracts | Intercept | −0.101 | 0.079 | 0.201 | 13 | s2 = 0.1861 τ2 = 0.0018 I2 = 1.00% p(QE) = 0.002 R2 = 0.408 Pub. bias p = 0.504 |
| Application concentration | 1.017 | 0.471 | 0.031 |
Disclaimer/Publisher’s Note: The statements, opinions and data contained in all publications are solely those of the individual author(s) and contributor(s) and not of MDPI and/or the editor(s). MDPI and/or the editor(s) disclaim responsibility for any injury to people or property resulting from any ideas, methods, instructions or products referred to in the content. |
© 2026 by the authors. Licensee MDPI, Basel, Switzerland. This article is an open access article distributed under the terms and conditions of the Creative Commons Attribution (CC BY) license.
Share and Cite
Zefanias, O.; Gonzales-Barron, U.; Cadavez, V. Effectiveness of Interventions and Control Measures in the Reduction of Campylobacter in Poultry Farms: A Comprehensive Meta-Analysis. Foods 2026, 15, 307. https://doi.org/10.3390/foods15020307
Zefanias O, Gonzales-Barron U, Cadavez V. Effectiveness of Interventions and Control Measures in the Reduction of Campylobacter in Poultry Farms: A Comprehensive Meta-Analysis. Foods. 2026; 15(2):307. https://doi.org/10.3390/foods15020307
Chicago/Turabian StyleZefanias, Odete, Ursula Gonzales-Barron, and Vasco Cadavez. 2026. "Effectiveness of Interventions and Control Measures in the Reduction of Campylobacter in Poultry Farms: A Comprehensive Meta-Analysis" Foods 15, no. 2: 307. https://doi.org/10.3390/foods15020307
APA StyleZefanias, O., Gonzales-Barron, U., & Cadavez, V. (2026). Effectiveness of Interventions and Control Measures in the Reduction of Campylobacter in Poultry Farms: A Comprehensive Meta-Analysis. Foods, 15(2), 307. https://doi.org/10.3390/foods15020307

