Industrial Applications, Principal Sources, and Extraction of Galactomannans: A Review
Abstract
1. Introduction
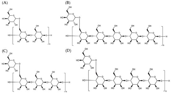
2. Galactomannans
Types of Galactomannans
3. Extraction Methods
3.1. Hot Water Extraction
3.2. Cold Plasma Extraction
3.3. Extraction Based on Three-Phase Partitioning
3.4. Thermal Reflux Extraction
3.5. Alkaline or Acid Extraction
3.6. Ultrasound Extraction
3.7. Microwave Extraction
3.8. Enzymatic Extraction
3.9. Extraction with Supercritical Fluids
3.10. Natural Deep Eutectic Solvent Extraction
4. Optimization of the Extraction Method
5. Galactomannan Purification Techniques
6. Galactomannan Characterization Techniques
7. Applications of Galactomannan
7.1. Food Industry
7.2. Pharmaceutical Industry
7.3. Cosmetics Industry
7.4. Textile Industry
7.5. Paper Industry
7.6. Other Applications
8. Conclusions
Author Contributions
Funding
Institutional Review Board Statement
Informed Consent Statement
Data Availability Statement
Acknowledgments
Conflicts of Interest
References
- Wielinga, W.C. 10—Galactomannans. In Handbook of Hydrocolloids, 2nd ed.; Phillips, G.O., Williams, P.A., Eds.; Woodhead Publishing: Sawston, UK, 2009; pp. 228–251. [Google Scholar]
- López-Franco, Y.L.; Cervantes-Montaño, C.I.; Martínez-Robinson, K.G.; Lizardi-Mendoza, J.; Robles-Ozuna, L.E. Physicochemical characterization and functional properties of galactomannans from mesquite seeds (Prosopis spp.). Food Hydrocoll. 2013, 30, 656–660. [Google Scholar] [CrossRef]
- Rashid, F.; Hussain, S.; Ahmed, Z. Extraction purification and characterization of galactomannan from fenugreek for industrial utilization. Carbohydr. Polym. 2018, 180, 88–95. [Google Scholar] [CrossRef] [PubMed]
- Sharafi, S.; Nateghi, L.; Eyvazzade, O.; Taj Abadi, M.E. Optimization and evaluation of textural properties of ultra-filtrated low-fat cheese containing galactomannan and novagel gum. Mljekarstvo 2019, 69, 239–250. [Google Scholar] [CrossRef]
- Mudgil, D.; Barak, S.; Khatkar, B. Guar gum: Processing, properties and food applications—A Review. J. Food Sci. Technol. 2014, 51, 409–418. [Google Scholar]
- Vilaró, P.; Bennadji, Z.; Budelli, E.; Moyna, G.; Panizzolo, L.; Ferreira, F. Isolation and characterization of galactomannans from Prosopis affinis as potential gum substitutes. Food Hydrocoll. 2018, 77, 711–719. [Google Scholar]
- Sun, M.; Sun, Y.; Li, Y.; Liu, Y.; Liang, J.; Zhang, Z. Physical properties and antidiabetic potential of a novel galactomannan from seeds of Gleditsia japonica var. delavayi. J. Funct. Foods 2018, 46, 546–555. [Google Scholar] [CrossRef]
- Sharma, P.; Sharma, S.; Ramakrishna, G.; Srivastava, H.; Gaikwad, K. A comprehensive review on leguminous galactomannans: Structural analysis, functional properties, biosynthesis process and industrial applications. Crit. Rev. Food Sci. Nutr. 2021, 62, 443–465. [Google Scholar] [CrossRef]
- Gomez-Rodriguez, G.H.; Lizardi-Mendoza, J.; Argüelles-Monal, W.; Álvarez-Bajo, O.; López-Franco, Y.L. Chemical modifications of galactomannans: Synthesis and structure-function analysis. Biotecnia 2023, 25, 126–135. [Google Scholar]
- Prajapati, V.D.; Jani, G.K.; Moradiya, N.G.; Randeria, N.P.; Nagar, B.J.; Naikwadi, N.N.; Variya, B.C. Galactomannan: A versatile biodegradable seed polysaccharide. Int. J. Biol. Macromol. 2013, 60, 83–92. [Google Scholar] [CrossRef]
- Barak, S.; Mudgil, D. Locust bean gum: Processing, properties and food applications—A review. Int. J. Biol. Macromol. 2014, 66, 74–80. [Google Scholar] [CrossRef]
- Braz, L.; Grenha, A.; Corvo, M.C.; Lourenço, J.P.; Ferreira, D.; Sarmento, B.; da Costa, A.M. Synthesis and characterization of Locust Bean Gum derivatives and their application in the production of nanoparticles. Carbohydr. Polym. 2018, 181, 974–985. [Google Scholar] [CrossRef] [PubMed]
- Liu, Y.; Lei, F.; He, L.; Xu, W.; Jiang, J. Comparative study on the monosaccharides of three typical galactomannans hydrolyzed by different methods. Ind. Crops Prod. 2020, 157, 112895. [Google Scholar] [CrossRef]
- Santos, M.B.; Garcia-Rojas, E.E. Recent advances in the encapsulation of bioactive ingredients using galactomannans-based as delivery systems. Food Hydrocoll. 2021, 118, 106815. [Google Scholar] [CrossRef]
- Mittal, N.; Mattu, P.; Kaur, G. Extraction and derivatization of Leucaena leucocephala (Lam.) galactomannan: Optimization and characterization. Int. J. Biol. Macromol. 2016, 92, 831–841. [Google Scholar] [CrossRef] [PubMed]
- de Almeida, R.R.; Magalhães, H.S.; de Souza, J.R.R.; Trevisan, M.T.S.; Vieira, Í.G.P.; Feitosa, J.P.A.; Araújo, T.G.; Ricardo, N.M.P.S. Exploring the potential of Dimorphandra gardneriana galactomannans as drug delivery systems. Ind. Crops Prod. 2015, 69, 284–289. [Google Scholar] [CrossRef]
- Liyanage, S.; Abidi, N.; Auld, D.; Moussa, H. Chemical and physical characterization of galactomannan extracted from guar cultivars (Cyamopsis tetragonolobus L.). Ind. Crops Prod. 2015, 74, 388–396. [Google Scholar] [CrossRef]
- Castro, R.R.; Silva, C.M.M.; Nunes, R.M.; Cunha, P.L.R.; de Paula, R.C.M.; Feitosa, J.P.A.; Girão, V.C.C.; Pompeu, M.M.L.; Leite, J.A.D.; Rocha, F.A.C. Structural characteristics are crucial to the benefits of guar gum in experimental osteoarthritis. Carbohydr. Polym. 2016, 150, 392–399. [Google Scholar] [CrossRef]
- Gresta, F.; Ceravolo, G.; Presti, V.L.; D’Agata, A.; Rao, R.; Chiofalo, B. Seed yield, galactomannan content and quality traits of different guar (Cyamopsis tetragonoloba L.) genotypes. Ind. Crops Prod. 2017, 107, 122–129. [Google Scholar] [CrossRef]
- Dehghani Soltani, M.; Meftahizadeh, H.; Barani, M.; Rahdar, A.; Hosseinikhah, S.M.; Hatami, M.; Ghorbanpour, M. Guar (Cyamopsis tetragonoloba L.) plant gum: From biological applications to advanced nanomedicine. Int. J. Biol. Macromol. 2021, 193, 1972–1985. [Google Scholar] [CrossRef]
- Ragab, T.I.M.; Badawi, K.R.M.; Naeem, M.A.; Helmy, W.A.; Gamal Shalaby, A.S. Enhancement of the quality attributes and health benefits synbiotic yoghurt from cow’s milk. Heliyon 2023, 9, e17330. [Google Scholar] [CrossRef]
- Tel-Çayan, G.; Muhammad, A.; Deveci, E.; Duru, M.E.; Öztürk, M. Isolation, structural characterization, and biological activities of galactomannans from Rhizopogon luteolus and Ganoderma adspersum mushrooms. Int. J. Biol. Macromol. 2020, 165, 2395–2403. [Google Scholar] [CrossRef] [PubMed]
- Wang, C.; Yang, T.; Wang, T.; Qiu, L. Thermosensitive behavior of hydrophobically associating anionic guar gum solutions and gels. Int. J. Biol. Macromol. 2018, 111, 169–177. [Google Scholar] [CrossRef]
- Qin, X.; Li, R.; Zhu, S.; Hu, J.; Zeng, X.; Zhang, X.; Xu, H.; Kong, W.; Liang, J.; Zhang, H.; et al. A comparative study of sulfated tara gum: RSM optimization and structural characterization. Int. J. Biol. Macromol. 2020, 150, 189–199. [Google Scholar] [CrossRef] [PubMed]
- Huamaní-Meléndez, V.J.; Mauro, M.A.; Darros-Barbosa, R. Physicochemical and rheological properties of aqueous Tara gum solutions. Food Hydrocoll. 2021, 111, 106195. [Google Scholar] [CrossRef]
- da Cunha Jácome Marques, F.; da Silva Pantoja, P.; Matos, V.E.A.; Silva, R.O.; Damasceno, S.R.B.; Franco, Á.X.; Alves, R.C.; Justino, P.F.C.; de Souza, M.H.L.P.; Feitosa, J.P.A.; et al. Galactomannan from the seeds of Caesalpinia pulcherrima prevents indomethacin-induced gastrointestinal damage via neutrophil migration. Int. J. Biol. Macromol. 2019, 141, 68–75. [Google Scholar] [CrossRef]
- Gadkari, P.V.; Tu, S.; Chiyarda, K.; Reaney, M.J.T.; Ghosh, S. Rheological characterization of fenugreek gum and comparison with other galactomannans. Int. J. Biol. Macromol. 2018, 119, 486–495. [Google Scholar] [CrossRef]
- Zhang, Z.; Wang, H.; Chen, T.; Zhang, H.; Liang, J.; Kong, W.; Yao, J.; Zhang, J.; Wang, J. Synthesis and structure characterization of sulfated galactomannan from fenugreek gum. Int. J. Biol. Macromol. 2019, 125, 1184–1191. [Google Scholar] [CrossRef]
- Bakhshy, E.; Zarinkamar, F.; Nazari, M. Isolation, qualitative and quantitative evaluation of galactomannan during germination of Trigonella persica (Fabaceae) seed. Int. J. Biol. Macromol. 2019, 137, 286–295. [Google Scholar] [CrossRef]
- Rashid, F.; Bao, Y.; Ahmed, Z.; Huang, J.-Y. Effect of high voltage atmospheric cold plasma on extraction of fenugreek galactomannan and its physicochemical properties. Food Res. Int. 2020, 138, 109776. [Google Scholar] [CrossRef]
- Dhull, S.B.; Sandhu, K.S.; Punia, S.; Kaur, M.; Chawla, P.; Malik, A. Functional, thermal and rheological behavior of fenugreek (Trigonella foenum–graecum L.) gums from different cultivars: A comparative study. Int. J. Biol. Macromol. 2020, 159, 406–414. [Google Scholar] [CrossRef]
- Zhu, Y.; Xu, W.; Feng, C.; Zhu, L.; Ji, L.; Wang, K.; Jiang, J. Study on structure and properties of galactomannan and enzyme changes during fenugreek seeds germination. Carbohydr. Polym. 2024, 327, 121653. [Google Scholar] [CrossRef] [PubMed]
- Wang, Z.; Zheng, Y.; Zhou, X.; Wang, X.; Liu, X.; Wang, Q.; Zhao, R.; Gao, M.; Li, Z.; Xu, Y.; et al. Effect of Lactobacillus fermentation on the structural feature, physicochemical property, and bioactivity of plant and fungal polysaccharides: A review. Trends Food Sci. Technol. 2024, 148, 104492. [Google Scholar] [CrossRef]
- Ashurov, A.; Dzhonmurodov, A.; Usmanova, S.; Kholov, S.E.; Muhidinov, Z. Characterization of polysaccharides from Eremurus hissaricus roots by FTIR spectroscopy. Proc. Univ. Appl. Chem. Biotechnol. 2021, 11, 281–289. [Google Scholar] [CrossRef]
- Nwokocha, L.M.; Senan, C.; Williams, P.A.; Yadav, M.P. Characterisation and solution properties of a galactomannan from Bauhinia monandra seeds. Int. J. Biol. Macromol. 2017, 101, 904–909. [Google Scholar] [CrossRef]
- Hamidabadi Sherahi, M.; Fathi, M.; Zhandari, F.; Hashemi, S.M.B.; Rashidi, A. Structural characterization and physicochemical properties of Descurainia sophia seed gum. Food Hydrocoll. 2017, 66, 82–89. [Google Scholar] [CrossRef]
- Nwokocha, L.M.; Williams, P.A.; Yadav, M.P. Physicochemical characterisation of the galactomannan from Delonix regia seed. Food Hydrocoll. 2018, 78, 132–139. [Google Scholar] [CrossRef]
- Rodriguez-Canto, W.; Chel-Guerrero, L.; Fernandez, V.V.A.; Aguilar-Vega, M. Delonix regia galactomannan hydrolysates: Rheological behavior and physicochemical characterization. Carbohydr. Polym. 2019, 206, 573–582. [Google Scholar] [CrossRef]
- Lima, L.R.M.; de Lima Ramos, E.L.; Silva, M.F.S.; Ribeiro, F.D.O.S.; Sousa, J.S.; Pessoa, C.; Silva, D.A.; Feitosa, J.P.A.; Paula, H.C.B.; de Paula, R.C.M. Poly(N-isopropylacrylamide)/galactomannan from Delonix regia seed thermal responsive graft copolymer via Schiff base reaction. Int. J. Biol. Macromol. 2021, 166, 144–154. [Google Scholar] [CrossRef]
- Lima, I.C.; Castro, R.R.; Adjafre, B.L.; Sousa, S.H.A.F.; de Paula, D.S.; Alves, A.P.N.N.; Silva, P.G.B.; Assreuy, A.M.S.; Mota, M.R.L. Galactomannan of Delonix regia seeds modulates cytokine expression and oxidative stress eliciting anti-inflammatory and healing effects in mice cutaneous wound. Int. J. Biol. Macromol. 2022, 203, 342–349. [Google Scholar] [CrossRef] [PubMed]
- Jamir, K.; Badithi, N.; Venumadhav, K.; Seshagirirao, K. Characterization and comparative studies of galactomannans from Bauhinia vahlii, Delonix elata, and Peltophorum pterocarpum. Int. J. Biol. Macromol. 2019, 134, 498–506. [Google Scholar] [CrossRef]
- Ray, A.; Singhal, R.S. Hydrogel formulation based on galactomannan from residual spent coffee ground confers bioactivities and viscosifying properties in milkshake. Food Biosci. 2023, 55, 102958. [Google Scholar] [CrossRef]
- Albuquerque, P.B.S.; Soares, P.A.G.; Aragão-Neto, A.C.; Albuquerque, G.S.; Silva, L.C.N.; Lima-Ribeiro, M.H.M.; Neto, J.C.S.; Coelho, L.C.B.B.; Correia, M.T.S.; Teixeira, J.A.C.; et al. Healing activity evaluation of the galactomannan film obtained from Cassia grandis seeds with immobilized Cratylia mollis seed lectin. Int. J. Biol. Macromol. 2017, 102, 749–757. [Google Scholar] [CrossRef] [PubMed]
- Prada, A.L.; Amado, J.R.R.; Keita, H.; Zapata, E.P.; Carvalho, H.; Lima, E.S.; de Sousa, T.P.; Carvalho, J.C.T. Cassia grandis fruit extract reduces the blood glucose level in alloxan-induced diabetic rats. Biomed. Pharmacother. 2018, 103, 421–428. [Google Scholar] [CrossRef] [PubMed]
- Carvalho, R.; Pedrosa, C.; Leal, A.; Palermo, L.; Mansur, C. Extraction, characterization and rheological behavior of galactomannans in high salinity and temperature conditions. Int. J. Polym. Anal. Charact. 2021, 26, 573–592. [Google Scholar] [CrossRef]
- Souza, A.A.; Ribeiro, K.A.; Seixas, J.R.P.C.; Silva Neto, J.C.; Santiago, M.G.P.F.; Aragão-Neto, A.C.; Lima-Ribeiro, M.H.M.; Borba, E.F.O.; Silva, T.G.; Kennedy, J.F.; et al. Effects including photobiomodulation of galactomannan gel from Cassia grandis seeds in the healing process of second-degree burns. Int. J. Biol. Macromol. 2023, 251, 126213. [Google Scholar] [CrossRef]
- Duarte, C.D.A.L.; da Silva, M.G.; Porto, A.L.F.; de Albuquerque Wanderley, M.C.; da Silva, S.S.S.; de Andrade, A.F.; Bezerra, R.P.; Converti, A.; Ramos, D.G.; Marques, D.D.A.V.; et al. Application of the galactomannan gel from Cassia grandis seeds for biomedical purposes: Study of the incorporation of collagenases and their release profile. Carbohydr. Polym. 2024, 334, 122061. [Google Scholar] [CrossRef]
- Feng, L.; Yin, J.; Nie, S.; Wan, Y.; Xie, M. Structure and conformation characterization of galactomannan from seeds of Cassia obtusifolia. Food Hydrocoll. 2018, 76, 67–77. [Google Scholar] [CrossRef]
- Verma, S.; Rimpy; Ahuja, M. Carboxymethyl modification of Cassia obtusifolia galactomannan and its evaluation as sustained release carrier. Int. J. Biol. Macromol. 2020, 164, 3823–3834. [Google Scholar] [CrossRef]
- Ghannadi, A.; Movahedian, A.; Jannesary, Z. Hypocholesterolemic effects of Balangu (Lallemantia royleana) seeds in the rabbits fed on a cholesterol-containing diet. Avicenna J. Phytomed. 2015, 5, 167–173. [Google Scholar] [PubMed]
- Salehi, M.; Tabarsa, M.; Amraie, M.; Anvari, M.; Rezaei, M.; Smith, B.M. Characterization of rheological and structural properties of a gum from Balangu seeds. Int. J. Biol. Macromol. 2018, 117, 294–300. [Google Scholar] [CrossRef]
- Liu, Y.; Shi, Z.; Peng, X.; Xu, J.; Deng, J.; Zhao, P.; Zhang, X.; Kan, H. A polysaccharide from the seed of Gleditsia japonica var. delavayi: Extraction, purification, characterization and functional properties. LWT 2024, 191, 115660. [Google Scholar] [CrossRef]
- Sun, M.; Li, Y.; Wang, T.; Sun, Y.; Xu, X.; Zhang, Z. Isolation, fine structure and morphology studies of galactomannan from endosperm of Gleditsia japonica var. delavayi. Carbohydr. Polym. 2018, 184, 127–134. [Google Scholar] [CrossRef]
- Dangi, D.; Mattoo, M.; Kumar, V.; Sharma, P. Synthesis and characterization of galactomannan polymer hydrogel and sustained drug delivery. Carbohydr. Polym. Technol. Appl. 2022, 4, 100230. [Google Scholar] [CrossRef]
- Niknam, R.; Mousavi, M.; Kiani, H. Effect of ultrasonication on rheological aspects and storage stability of O/W emulsions containing Gleditsia caspica galactomannan–Trigonella foenum–graceum galactomannan mixtures. Appl. Food Res. 2022, 2, 100109. [Google Scholar] [CrossRef]
- Vieira, I.G.P.; Mendes, F.N.P.; da Silva, S.C.; Paim, R.T.T.; da Silva, B.B.; Benjamin, S.R.; Florean, E.O.P.T.; Guedes, M.I.F. Antidiabetic effects of galactomannans from Adenanthera pavonina L. in streptozotocin-induced diabetic mice. Asian Pac. J. Trop. Med. 2018, 11, 116–122. [Google Scholar] [CrossRef]
- Passos, A.A.C.; Teixeira Sá, D.M.A.; Andrade, P.L.; Barreto, J.J.S.; dos Santos, N.L.; das Chagas, R.M.M.; Alves, T.d.B.; Chaves, M.J.L.; Maciel, J.d.S.; do Egito, A.S.; et al. Partially hydrolyzed galactomannan from Adenanthera pavonina seeds used as stabilizer, fat substitute, and food fiber source for mousses. Polym. Bull. 2021, 78, 2951–2973. [Google Scholar] [CrossRef]
- Silva Neto, J.F.; Pereira, W.O.; Cavalcante, L.A.; Oliveira Neto, J.G.; Graça, M.P.F.; Gavinho, S.R.; Amaral, F.M.B.; Santos, A.O.; Sombra, A.S.B.; Mendes, F.; et al. Extraction, Purification and Electrical Characterization of Gross Galactomannan and Purified Galactomannan Obtained from Adenanthera pavonina L. Seeds. Chem Biodivers 2023, 20, e202200888. [Google Scholar] [CrossRef]
- Devesa, S.; Graça, M.P.F.; Pereira, W.O.; Santos, G.L.; da Silva Neto, J.F.; Amaral, F.M.B.; Hammami, I.; Mendes, F.; Macedo, A.A.M. Dielectric Characterization of Solutions of Galactomannan Extracted from Adenanthera pavonina L.: Effects of Purification and Ethanol Concentration. Polymers 2024, 16, 1476. [Google Scholar] [CrossRef]
- da Silva, L.M.; Araújo, L.F.S.; Alvez, R.C.; Ono, L.; Sá, D.A.T.; da Cunha, P.L.R.; de Paula, R.C.M.; Maciel, J.S. Promising alternative gum: Extraction, characterization, and oxidation of the galactomannan of Cassia fistula. Int. J. Biol. Macromol. 2020, 165, 436–444. [Google Scholar] [CrossRef]
- Mourad, L.; Aouadi, S.; Gouzi, H. Characterization of Galactomannan Isolated from Algerian Gleditsia triacanthos L. Seeds. Nat. Prod. J. 2020, 10, 80–86. [Google Scholar] [CrossRef]
- González, A.; Barrera, G.N.; Galimberti, P.I.; Ribotta, P.D.; Alvarez Igarzabal, C.I. Development of edible films prepared by soy protein and the galactomannan fraction extracted from Gleditsia triacanthos (Fabaceae) seed. Food Hydrocoll. 2019, 97, 105227. [Google Scholar] [CrossRef]
- Barrera, G.N.; Piloni, R.V.; Moldenaers, P.; Iturriaga, L.B.; Ribotta, P.D. Rheological behavior of the galactomannan fraction from Gleditsia triacanthos seed in aqueous dispersion. Food Hydrocoll. 2022, 132, 107848. [Google Scholar] [CrossRef]
- Chouaibi, M.; Rezig, L.; Lakoud, A.; Boussaid, A.; Hassouna, M.; Ferrari, G.; Hamdi, S. Exploring potential new galactomannan source of Retama reatam seeds for food, cosmetic and pharmaceuticals: Characterization and physical, emulsifying and antidiabetic properties. Int. J. Biol. Macromol. 2019, 124, 1167–1176. [Google Scholar] [CrossRef] [PubMed]
- Zhou, M.; Yang, L.; Yang, S.; Zhao, F.; Xu, L.; Yong, Q. Isolation, characterization and in vitro anticancer activity of an aqueous galactomannan from the seed of Sesbania cannabina. Int. J. Biol. Macromol. 2018, 113, 1241–1247. [Google Scholar] [CrossRef] [PubMed]
- Li, R.; Tang, N.; Jia, X.; Nirasawa, S.; Bian, X.; Zhang, P.; Cheng, Y. Isolation, physical, structural characterization and in vitro prebiotic activity of a galactomannan extracted from endosperm splits of Chinese Sesbania cannabina seeds. Int. J. Biol. Macromol. 2020, 162, 1217–1226. [Google Scholar] [CrossRef]
- Yan, B.; Tao, Y.; Huang, C.; Lai, C.; Yong, Q. Using One-pot Fermentation Technology to Prepare Enzyme Cocktail to Sustainably Produce Low Molecular Weight Galactomannans from Sesbania cannabina Seeds. Appl. Biochem. Biotechnol. 2022, 194, 3016–3030. [Google Scholar] [CrossRef]
- Tao, Y.; Ma, J.; Huang, C.; Lai, C.; Ling, Z.; Yong, Q. The immunomodulatory activity of degradation products of Sesbania cannabina galactomannan with different molecular weights. Int. J. Biol. Macromol. 2022, 205, 530–538. [Google Scholar] [CrossRef]
- Liu, Y.; Lei, F.; He, L.; Xu, W.; Jiang, J. Physicochemical characterization of galactomannans extracted from seeds of Gleditsia sinensis Lam and fenugreek. Comparison with commercial guar gum. Int. J. Biol. Macromol. 2020, 158, 1047–1054. [Google Scholar] [CrossRef]
- E, Y.; Chang, Z.; Lu, J.; Ju, Y.; Jiang, J.; Duan, W.; Li, P.; Lei, F.; Yao, X.; Wang, K. Enzymatically mediated Gleditsia sinensis galactomannan based hydrogel inspired by wound healing process. Int. J. Biol. Macromol. 2023, 230, 123152. [Google Scholar] [CrossRef]
- Xu, W.; Han, M.; Liu, Y.; Zhu, Y.; Zhang, F.; Lei, F.; Wang, K.; Ji, L.; Jiang, J. Changes in structure and physicochemical properties of Sophora japonica f. pendula galactomannan in late growth stage. Carbohydr. Polym. 2023, 304, 120496. [Google Scholar] [CrossRef]
- Desai, N.M.; Mallik, B.; Sakhare, S.D.; Murthy, P.S. Prebiotic oligosaccharide enriched green coffee spent cookies and their nutritional, physicochemical and sensory properties. LWT 2020, 134, 109924. [Google Scholar] [CrossRef]
- Elangovan, S.M.; Muthu Kumar, S.; Sindhu, V.; Mahendiran, B.; Muthusamy, S.; Krishnakumar, G.S. Extraction, characterization and biological activity of Galactomannan rich endosperm of Borassus flabellifer (Linn.) suitable for biofabrication of tissue scaffolds. Int. J. Biol. Macromol. 2023, 251, 126397. [Google Scholar] [CrossRef] [PubMed]
- Xu, W.; Han, M.; Zhang, W.; Zhang, F.; Lei, F.; Wang, K.; Jiang, J. Production of manno-oligosaccharide from Gleditsia microphylla galactomannan using acetic acid and ferrous chloride. Food Chem. 2021, 346, 128844. [Google Scholar] [CrossRef] [PubMed]
- Guo, R.; Cao, N.; Wu, Y.; Wu, J. Optimized extraction and molecular characterization of polysaccharides from Sophora alopecuroides L. seeds. Int. J. Biol. Macromol. 2016, 82, 231–242. [Google Scholar] [CrossRef]
- Chouana, T.; Pierre, G.; Vial, C.; Gardarin, C.; Wadouachi, A.; Cailleu, D.; le Cerf, D.; Boual, Z.; Hadj, M.D.O.; Michaud, P.; et al. Structural characterization and rheological properties of a galactomannan from Astragalus gombo Bunge seeds harvested in Algerian Sahara. Carbohydr. Polym. 2017, 175, 387–394. [Google Scholar] [CrossRef]
- Rajput, G.; Pandey, I.P.; Joshi, G. Carboxymethylation of Cassia angustifolia seed gum: Synthesis and rheological study. Carbohydr. Polym. 2015, 117, 494–500. [Google Scholar] [CrossRef]
- Busch, V.M.; Kolender, A.A.; Santagapita, P.R.; Buera, M.P. Vinal gum, a galactomannan from Prosopis ruscifolia seeds: Physicochemical characterization. Food Hydrocoll. 2015, 51, 495–502. [Google Scholar] [CrossRef]
- Lavudi, H.N.; Kottapalli, S.; Goycoolea, F.M. Extraction and physicochemical characterization of galactomannans from Dichrostachys cinerea seeds. Food Hydrocoll. 2018, 82, 451–456. [Google Scholar] [CrossRef]
- Grimaud, F.; Pizzut-Serin, S.; Tarquis, L.; Ladevèze, S.; Morel, S.; Putaux, J.-L.; Potocki-Veronese, G. In Vitro Synthesis and Crystallization of β-1,4-Mannan. Biomacromolecules 2019, 20, 846–853. [Google Scholar] [CrossRef]
- Pauly, M.; Keegstra, K. Cell-wall carbohydrates and their modification as a resource for biofuels. Plant J. 2008, 54, 559–568. [Google Scholar] [CrossRef]
- Gupta, S.; Variyar, P.S. Chapter 12—Guar Gum: A Versatile Polymer for the Food Industry. In Biopolymers for Food Design; Grumezescu, A.M., Holban, A.M., Eds.; Academic Press: Cambridge, MA, USA, 2018; pp. 383–407. [Google Scholar]
- Shrivastava, S.R.; Shrivastava, P.S.; Ramasamy, J. Role of self-care in management of diabetes mellitus. J. Diabetes Metab. Disord. 2013, 12, 14. [Google Scholar] [CrossRef] [PubMed]
- Geronço, M.; Ramos, I.; Filho, E.; dos Rizzo, M.; Ribeiro, A.; Costa, M. Are Structurally Modified Galactomannan Derivatives Biologically Active? Polysaccharides 2021, 2, 1–15. [Google Scholar] [CrossRef]
- Kamble, S.S.; Gunasekaran, A.; Sharma, R. Modeling the blockchain enabled traceability in agriculture supply chain. Int. J. Inf. Manag. 2020, 52, 101967. [Google Scholar] [CrossRef]
- Özen, İ.; Bahtiyari, M.İ.; Haji, A.; ul Islam, S.; Wang, X. Properties of galactomannans and their textile-related applications—A concise review. Int. J. Biol. Macromol. 2023, 227, 1001–1014. [Google Scholar] [CrossRef]
- Bemiller, J. Gums and Related Polysaccharides. In Glycoscience; Springer: Berlin/Heidelberg, Germany, 2008; p. 1513. ISBN 978-3-540-36154-1. [Google Scholar]
- Saha, D.; Bhattacharya, S. Hydrocolloids as thickening and gelling agents in food: A critical review. J. Food Sci. Technol. 2010, 47, 587–597. [Google Scholar] [CrossRef] [PubMed]
- Wilbur Johnson, J.; Heldreth, B.; Bergfeld, W.F.; Belsito, D.V.; Hill, R.A.; Klaassen, C.D.; Liebler, D.C.; Marks, J.G., Jr.; Shank, R.C.; Slaga, T.J.; et al. Safety Assessment of Galactomannans as Used in Cosmetics. Int. J. Toxicol. 2015, 34, 35S–65S. [Google Scholar] [CrossRef]
- Mathur, V.; Mathur, N.K. Fenugreek and other less known legume galactomannan-polysaccharides: Scope for developments. J. Sci. Ind. Res. 2005, 64, 475–481. [Google Scholar]
- Wu, Y.; Ding, W.; Jia, L.; He, Q. The rheological properties of tara gum (Caesalpinia spinosa). Food Chem. 2015, 168, 366–371. [Google Scholar] [CrossRef]
- Fidan, H.; Stankov, S.; Petkova, N.; Petkova, Z.; Iliev, A.; Stoyanova, M.; Ivanova, T.; Zhelyazkov, N.; Ibrahim, S.; Stoyanova, A.; et al. Evaluation of chemical composition, antioxidant potential and functional properties of carob (Ceratonia siliqua L.) seeds. J. Food Sci. Technol. 2020, 57, 2404–2413. [Google Scholar] [CrossRef] [PubMed]
- Sittikijyothin, W.; Torres, D.; Gonçalves, M.P. Modelling the rheological behaviour of galactomannan aqueous solutions. Carbohydr. Polym. 2005, 59, 339–350. [Google Scholar] [CrossRef]
- Hamdani, A.; Wani, I.; Bhat, N. Effect of gamma irradiation on the physicochemical and structural properties of plant seed gums. Int. J. Biol. Macromol. 2017, 106, 507–515. [Google Scholar] [CrossRef] [PubMed]
- Srivastava, M.; Kapoor, V.P. Seed galactomannans: An overview. Chem. Biodivers. 2005, 2, 295–317. [Google Scholar] [CrossRef]
- Williams, P.A.; Phillips, G.O. 1—Introduction to food hydrocolloids. In Handbook of Hydrocolloids, Second Edition; Phillips, G.O., Williams, P.A., Eds.; Woodhead Publishing: Sawston, UK, 2009; pp. 1–22. [Google Scholar]
- Huang, G.; Chen, F.; Yang, W.; Huang, H. Preparation, deproteinization and comparison of bioactive polysaccharides. Trends Food Sci. Technol. 2021, 109, 564–568. [Google Scholar] [CrossRef]
- Burgess, R.R. Chapter 20 Protein Precipitation Techniques. In Methods Enzymol; Burgess, R.R., Deutscher, M.P., Eds.; Academic Press: Cambridge, MA, USA, 2009; pp. 331–342. [Google Scholar]
- Bai, C.; Chen, R.; Zhang, Y.; Bai, H.; Tian, L.; Sun, H.; Li, D.; Wu, W. Comparison in structural, physicochemical and functional properties of sweet potato stems and leaves polysaccharide conjugates from different technologies. Int. J. Biol. Macromol. 2023, 247, 125730. [Google Scholar] [CrossRef]
- Fernandes, P.A.R.; Coimbra, M.A. The antioxidant activity of polysaccharides: A structure-function relationship overview. Carbohydr. Polym. 2023, 314, 120965. [Google Scholar] [CrossRef]
- Song, Z.; Xiong, X.; Huang, G. Ultrasound-assisted extraction and characteristics of maize polysaccharides from different sites. Ultrason. Sonochem. 2023, 95, 106416. [Google Scholar] [CrossRef]
- Tang, Y.; He, X.; Liu, G.; Wei, Z.; Sheng, J.; Sun, J.; Li, C.; Xin, M.; Li, L.; Yi, P. Effects of different extraction methods on the structural, antioxidant and hypoglycemic properties of red pitaya stem polysaccharide. Food Chem. 2023, 405, 134804. [Google Scholar] [CrossRef]
- Liu, J.; Zou, J.; Wang, J.; Wang, R.; Zhai, S.; Chang, X.; Zhang, X.; Sun, J.; Luan, F.; Shi, Y. Extraction, purification, structural features, and pharmacological properties of polysaccharides from Houttuynia cordata: A review. Int. J. Biol. Macromol. 2024, 279, 135230. [Google Scholar] [CrossRef]
- Durmaz, Y.; Kilicli, M.; Toker, O.S.; Konar, N.; Palabiyik, I.; Tamtürk, F. Using spray-dried microalgae in ice cream formulation as a natural colorant: Effect on physicochemical and functional properties. Algal Res. 2020, 47, 101811. [Google Scholar] [CrossRef]
- Molino, A.; Mehariya, S.; Di Sanzo, G.; Larocca, V.; Martino, M.; Leone, G.P.; Marino, T.; Chianese, S.; Balducchi, R.; Musmarra, D. Recent developments in supercritical fluid extraction of bioactive compounds from microalgae: Role of key parameters, technological achievements and challenges. J. CO2 Util. 2020, 36, 196–209. [Google Scholar] [CrossRef]
- Mat Aron, N.S.; Khoo, K.S.; Chew, K.W.; Veeramuthu, A.; Chang, J.-S.; Show, P.L. Microalgae cultivation in wastewater and potential processing strategies using solvent and membrane separation technologies. J. Water Process Eng. 2021, 39, 101701. [Google Scholar] [CrossRef]
- Liu, A.; Yu, J.; Ji, H.; Zhang, H.; Zhang, Y.; Liu, H. Extraction of a Novel Cold-Water-Soluble Polysaccharide from Astragalus membranaceus and Its Antitumor and Immunological Activities. Molecules 2018, 23, 62. [Google Scholar] [CrossRef]
- Amirabadi, S.; Milani, J.M.; Sohbatzadeh, F. Application of dielectric barrier discharge plasma to hydrophobically modification of gum arabic with enhanced surface properties. Food Hydrocoll. 2020, 104, 105724. [Google Scholar] [CrossRef]
- Tan, Z.-J.; Wang, C.-Y.; Yi, Y.-J.; Wang, H.-Y.; Zhou, W.-L.; Tan, S.-Y.; Li, F. Three phase partitioning for simultaneous purification of aloe polysaccharide and protein using a single-step extraction. Process Biochem. 2015, 50, 482–486. [Google Scholar] [CrossRef]
- Yan, J.-K.; Wang, Y.-Y.; Qiu, W.-Y.; Wang, Z.-B.; Ma, H. Ultrasound synergized with three-phase partitioning for extraction and separation of Corbicula fluminea polysaccharides and possible relevant mechanisms. Ultrason. Sonochem. 2018, 40, 128–134. [Google Scholar] [CrossRef]
- Chen, R.-Z.; Tan, L.; Jin, C.-G.; Lu, J.; Tian, L.; Chang, Q.-Q.; Wang, K. Extraction, isolation, characterization and antioxidant activity of polysaccharides from Astragalus membranaceus. Ind. Crops Prod. 2015, 77, 434–443. [Google Scholar] [CrossRef]
- Campia, P.; Ponzini, E.; Rossi, B.; Farris, S.; Silvetti, T.; Merlini, L.; Brasca, M.; Grandori, R.; Galante, Y.M. Aerogels of enzymatically oxidized galactomannans from leguminous plants: Versatile delivery systems of antimicrobial peptides and enzymes. Carbohydr. Polym. 2017, 158, 102–111. [Google Scholar] [CrossRef]
- Al-Juhaimi, F.; Adiamo, O.Q.; Ghafoor, K.; Babiker, E.E. Optimization of ultrasonic-assisted extraction of phenolic compounds from fenugreek (Trigonella foenum-graecum L.) seed. CyTA J. Food 2015, 14, 369–374. [Google Scholar] [CrossRef]
- Jian, H.-L.; Zhu, L.-W.; Zhang, W.-M.; Sun, D.-F.; Jiang, J.-X. Enzymatic production and characterization of manno-oligosaccharides from Gleditsia sinensis galactomannan gum. Int. J. Biol. Macromol. 2013, 55, 282–288. [Google Scholar] [CrossRef]
- Usman, M.; Nakagawa, M.; Cheng, S. Emerging Trends in Green Extraction Techniques for Bioactive Natural Products. Processes 2023, 11, 3444. [Google Scholar] [CrossRef]
- Dias, A.L.B.; de Aguiar, A.C.; Rostagno, M.A. Extraction of natural products using supercritical fluids and pressurized liquids assisted by ultrasound: Current status and trends. Ultrason. Sonochem. 2021, 74, 105584. [Google Scholar] [CrossRef]
- Martins, J.; Cerqueira, M.; Souza, B.; Avides, M.; Vicente, A. Shelf Life Extension of Ricotta Cheese Using Coatings of Galactomannans from Nonconventional Sources Incorporating Nisin against Listeria monocytogenes. J. Agric. Food Chem. 2010, 58, 1884–1891. [Google Scholar] [CrossRef] [PubMed]
- Yang, X.; Chen, F.; Huang, G. Extraction and analysis of polysaccharide from Momordica charantia. Ind. Crops Prod. 2020, 153, 112588. [Google Scholar] [CrossRef]
- Yang, W.; Huang, G.; Huang, H. Preparation and structure of polysaccharide selenide. Ind. Crops Prod. 2020, 154, 112630. [Google Scholar] [CrossRef]
- Chen, F.; Huang, G.; Huang, H. Preparation, analysis, antioxidant activities in vivo of phosphorylated polysaccharide from Momordica charantia. Carbohydr. Polym. 2021, 252, 117179. [Google Scholar] [CrossRef]
- Chen, W.; Ma, X.; Jin, W.; Cheng, H.; Xu, G.; Wen, H.; Xu, P. Shellfish polysaccharides: A comprehensive review of extraction, purification, structural characterization, and beneficial health effects. Int. J. Biol. Macromol. 2024, 279, 135190. [Google Scholar] [CrossRef] [PubMed]
- Leong, Y.K.; Yang, F.-C.; Chang, J.-S. Extraction of polysaccharides from edible mushrooms: Emerging technologies and recent advances. Carbohydr. Polym. 2021, 251, 117006. [Google Scholar] [CrossRef]
- Huang, H.; Huang, G. Extraction, separation, modification, structural characterization, and antioxidant activity of plant polysaccharides. Chem. Biol. Drug Des. 2020, 96, 1209–1222. [Google Scholar] [CrossRef]
- De Geyter, N.; Morent, R. 7—Cold plasma surface modification of biodegradable polymer biomaterials. In Biomaterials for Bone Regeneration; Dubruel, P., Van Vlierberghe, S., Eds.; Woodhead Publishing: Sawston, UK, 2014; pp. 202–224. [Google Scholar]
- Misra, N.N.; Keener, K.M.; Bourke, P.; Cullen, P.J. Generation of In-Package Cold Plasma and Efficacy Assessment Using Methylene Blue. Plasma Chem. Plasma Process. 2015, 35, 1043–1056. [Google Scholar] [CrossRef]
- Hoffmann, C.; Berganza, C.; Zhang, J. Cold Atmospheric Plasma: Methods of production and application in dentistry and oncology. Med. Gas Res. 2013, 3, 21. [Google Scholar] [CrossRef]
- Fridman, G.; Friedman, G.; Gutsol, A.; Shekhter, A.B.; Vasilets, V.N.; Fridman, A. Applied Plasma Medicine. Plasma Process. Polym. 2008, 5, 503–533. [Google Scholar] [CrossRef]
- Misra, N.N.; Martynenko, A.; Chemat, F.; Paniwnyk, L.; Barba, F.J.; Jambrak, A.R. Thermodynamics, transport phenomena, and electrochemistry of external field-assisted nonthermal food technologies. Crit. Rev. Food Sci. Nutr. 2018, 58, 1832–1863. [Google Scholar] [CrossRef] [PubMed]
- Deynse, A.; Van Morent, R.; De Geyter, N. Surface modification of polymers using atmospheric pressure cold plasma technology. In Polymer Science: Research Advances, Pratical Applications and Educational Aspects; Formatex Research Center: Norristown, PA, USA, 2016. [Google Scholar]
- Huang, C.-C.; Wu, J.S.-B.; Wu, J.-S.; Ting, Y. Effect of novel atmospheric-pressure jet pretreatment on the drying kinetics and quality of white grapes. J. Sci. Food Agric. 2019, 99, 5102–5111. [Google Scholar] [CrossRef]
- Bao, Y.; Reddivari, L.; Huang, J.-Y. Enhancement of phenolic compounds extraction from grape pomace by high voltage atmospheric cold plasma. LWT 2020, 133, 109970. [Google Scholar] [CrossRef]
- Bao, Y.; Reddivari, L.; Huang, J.-Y. Development of cold plasma pretreatment for improving phenolics extractability from tomato pomace. Innov. Food Sci. Emerg. Technol. 2020, 65, 102445. [Google Scholar] [CrossRef]
- Bazaka, K.; Jacob, M.V.; Crawford, R.J.; Ivanova, E.P. Plasma-assisted surface modification of organic biopolymers to prevent bacterial attachment. Acta Biomater. 2011, 7, 2015–2028. [Google Scholar] [CrossRef]
- Dong, H.; Lin, S.; Zhang, Q.; Chen, H.; Lan, W.; Li, H.; He, J.; Qin, W. Effect of extraction methods on the properties and antioxidant activities of Chuanminshen violaceum polysaccharides. Int. J. Biol. Macromol. 2016, 93, 179–185. [Google Scholar] [CrossRef]
- Zhang, S.; Yi, W.; Wang, Z.; Fu, C.; Fan, X.; Du, B.; Cheng, L.; Lu, W.; Zhuo, J. Ultrahigh pressure extraction of polysaccharide from Morinda officinalis and effect on the polysaccharide structure. Sep. Sci Technol. 2021, 56, 1741–1751. [Google Scholar] [CrossRef]
- Wu, J.; Chen, R.; Tan, L.; Bai, H.; Tian, L.; Lu, J.; Gao, M.; Bai, C.; Sun, H.; Li, D.; et al. Effect of extraction technology on physicochemical properties and biological activities of passion fruit peel polysaccharides. J. Food Meas. Charact. 2024, 18, 2797–2813. [Google Scholar] [CrossRef]
- Jia, S.; Li, F.; Liu, Y.; Ren, H.; Gong, G.; Wang, Y.; Wu, S. Effects of extraction methods on the antioxidant activities of polysaccharides from Agaricus blazei Murrill. Int. J. Biol. Macromol. 2013, 62, 66–69. [Google Scholar] [CrossRef]
- Zhang, Z.; Lv, G.; Song, T.; Xu, Z.; Wang, M. Effects of different extraction methods on the structural and biological properties of Hericium coralloides polysaccharides. Food Chem. 2024, 445, 138752. [Google Scholar] [CrossRef] [PubMed]
- Getachew, A.T.; Lee, H.J.; Cho, Y.J.; Chae, S.J.; Chun, B.S. Optimization of polysaccharides extraction from Pacific oyster (Crassostrea gigas) using subcritical water: Structural characterization and biological activities. Int. J. Biol. Macromol. 2019, 121, 852–861. [Google Scholar] [CrossRef] [PubMed]
- Tang, Q.; Huang, G.; Zhao, F.; Zhou, L.; Huang, S.; Li, H. The antioxidant activities of six (1→3)-β-d-glucan derivatives prepared from yeast cell wall. Int. J. Biol. Macromol. 2017, 98, 216–221. [Google Scholar] [CrossRef]
- Mei, X.; Tang, Q.; Huang, G.; Long, R.; Huang, H. Preparation, structural analysis and antioxidant activities of phosphorylated (1 → 3)-β-d-glucan. Food Chem. 2020, 309, 125791. [Google Scholar] [CrossRef] [PubMed]
- Xiong, Q.; Song, Z.; Hu, W.; Liang, J.; Jing, Y.; He, L.; Huang, S.; Wang, X.; Hou, S.; Xu, T.; et al. Methods of extraction, separation, purification, structural characterization for polysaccharides from aquatic animals and their major pharmacological activities. Crit. Rev. Food Sci. Nutr. 2020, 60, 48–63. [Google Scholar] [CrossRef]
- Qu, C.; Yu, S.; Luo, L.; Zhao, Y.; Huang, Y. Optimization of ultrasonic extraction of polysaccharides from Ziziphus jujuba Mill. by response surface methodology. Chem. Cent. J. 2013, 7, 160. [Google Scholar] [CrossRef]
- Li, X.; Zhang, Z.-H.; Qi, X.; Li, L.; Zhu, J.; Brennan, C.S.; Yan, J.-K. Application of nonthermal processing technologies in extracting and modifying polysaccharides: A critical review. Compr. Rev. Food Sci. Food Saf. 2021, 20, 4367–4389. [Google Scholar] [CrossRef]
- Zeng, W.-C.; Zhang, Z.; Gao, H.; Jia, L.-R.; Chen, W.-Y. Characterization of antioxidant polysaccharides from Auricularia auricular using microwave-assisted extraction. Carbohydr. Polym. 2012, 89, 694–700. [Google Scholar] [CrossRef]
- Yin, X.; You, Q.; Jiang, Z. Optimization of enzyme assisted extraction of polysaccharides from Tricholoma matsutake by response surface methodology. Carbohydr. Polym. 2011, 86, 1358–1364. [Google Scholar] [CrossRef]
- Bangoria, P.; Divecha, J.; Shah, A.R. Production of mannooligosaccharides producing β-Mannanase by newly isolated Penicillium aculeatum APS1 using oil seed residues under solid state fermentation. Biocatal. Agric. Biotechnol. 2021, 34, 102023. [Google Scholar] [CrossRef]
- Feng, Y.; He, Z.; Ong, S.-L.; Hu, J.; Zhang, Z.; Ng, J. Optimization of agitation, aeration, and temperature conditions for maximum β-mannanase production. Enzyme Microb. Technol. 2003, 32, 282–289. [Google Scholar] [CrossRef]
- Paludetti, L.F.; Kelly, A.L.; Gleeson, D. Effect of thermoresistant protease of Pseudomonas fluorescens on rennet coagulation properties and proteolysis of milk. J. Dairy Sci. 2020, 103, 4043–4055. [Google Scholar] [CrossRef] [PubMed]
- Solis, J.; Ayala-Borda, P.; Alvarez, W.; Soto, R.; Vargas, V.A. Protease Production by Bacteria Isolated from Laguna Chiar Khota, Potosi-Bolivia, for Protein Hydrolysates Production. Waste Biomass Valoriz. 2022, 13, 3171–3781. [Google Scholar] [CrossRef]
- Valášková, V.; Baldrian, P. Degradation of cellulose and hemicelluloses by the brown rot fungus Piptoporus betulinus—Production of extracellular enzymes and characterization of the major cellulases. Microbiology 2006, 152, 3613–3622. [Google Scholar] [CrossRef]
- Abdullah, R.; Farooq, I.; Kaleem, A.; Iqtedar, M.; Iftikhar, T. Pectinase production from Aspergillus niger IBT-7 using solid state fermentation. Bangladesh J. Bot. 2018, 47, 473–478. [Google Scholar] [CrossRef]
- Viana, P.A.; de Rezende, S.T.; Passos, F.M.L.; Machado, S.G.; Maitan, G.P.; da Silva Coelho, V.T.; Guimaraes, M.V. α-Galactosidases production by Debaryomyces hansenii UFV-1. Food Sci. Biotechnol. 2011, 20, 601–606. [Google Scholar] [CrossRef]
- Song, S.; Wang, L.; Wang, L.; Yu, Q.; Ai, C.; Fu, Y.; Yan, C.; Wen, C.; Zhu, Z. Structural characterization and anticoagulant activity of two polysaccharides from Patinopecten yessoensis viscera. Int. J. Biol. Macromol. 2019, 136, 579–585. [Google Scholar] [CrossRef]
- Zou, X.; Liu, Y.; Tao, C.; Liu, Y.; Liu, M.; Wu, J.; Lv, Z. CO2 supercritical fluid extraction and characterization of polysaccharide from bamboo (Phyllostachys heterocycla) leaves. J. Food Meas. Charact. 2018, 12, 35–44. [Google Scholar] [CrossRef]
- Verma, D.K.; Srivastav, P.P. Extraction, Identification and Quantification Methods of Rice Aroma Compounds with Emphasis on 2-Acetyl-1-pyrroline (2-AP) and Its Relationship with Rice Quality: A Comprehensive Review. Food Rev. Int. 2022, 38, 111–162. [Google Scholar] [CrossRef]
- Khaw, K.-Y.; Parat, M.-O.; Shaw, P.; Falconer, J. Solvent Supercritical Fluid Technologies to Extract Bioactive Compounds from Natural Sources: A Review. Molecules 2017, 22, 1186. [Google Scholar] [CrossRef]
- Pourmortazavi, S.M.; Rahimi-Nasrabadi, M.; Hajimirsadeghi, S. Supercritical Fluid Technology in Analytical Chemistry. Curr. Anal. Chem. 2014, 10, 3–28. [Google Scholar] [CrossRef]
- Singh, S.; Verma, D.K.; Thakur, M.; Tripathy, S.; Patel, A.R.; Shah, N.; Utama, G.L.; Srivastav, P.P.; Benavente-Valdés, J.R.; Chávez-González, M.L.; et al. Supercritical fluid extraction (SCFE) as green extraction technology for high-value metabolites of algae, its potential trends in food and human health. Food Res. Int. 2021, 150, 110746. [Google Scholar] [CrossRef] [PubMed]
- Chen, X.; Wang, R.; Tan, Z. Extraction and purification of grape seed polysaccharides using pH-switchable deep eutectic solvents-based three-phase partitioning. Food Chem. 2023, 412, 135557. [Google Scholar] [CrossRef]
- Zdanowicz, M.; Wilpiszewska, K.; Spychaj, T. Deep eutectic solvents for polysaccharides processing. A review. Carbohydr. Polym. 2018, 200, 361–380. [Google Scholar] [CrossRef]
- Liao, N.; Zhong, J.; Ye, X.; Lu, S.; Wang, W.; Zhang, R.; Xu, J.; Chen, S.; Liu, D. Ultrasonic-assisted enzymatic extraction of polysaccharide from Corbicula fluminea: Characterization and antioxidant activity. LWT Food Sci. Technol. 2015, 60, 1113–1121. [Google Scholar] [CrossRef]
- Panadare, D.C.; Gondaliya, A.; Rathod, V.K. Comparative study of ultrasonic pretreatment and ultrasound assisted three phase partitioning for extraction of custard apple seed oil. Ultrason. Sonochem. 2020, 61, 104821. [Google Scholar] [CrossRef] [PubMed]
- Wang, H.; Chen, K.; Cheng, J.; Jiang, L.; Yu, D.; Dai, Y.; Wang, L. Ultrasound-assisted three phase partitioning for simultaneous extraction of oil, protein and polysaccharide from pumpkin seeds. LWT 2021, 151, 112200. [Google Scholar] [CrossRef]
- Yan, J.-K.; Wang, Y.-Y.; Qiu, W.-Y.; Ma, H.; Wang, Z.-B.; Wu, J.-Y. Three-phase partitioning as an elegant and versatile platform applied to nonchromatographic bioseparation processes. Crit. Rev. Food Sci. Nutr. 2018, 58, 2416–2631. [Google Scholar] [CrossRef]
- Qu, H.; Wu, Y.; Luo, Z.; Dong, Q.; Yang, H.; Dai, C. An efficient approach for extraction of polysaccharide from abalone (Haliotis Discus Hannai Ino) viscera by natural deep eutectic solvent. Int. J. Biol. Macromol. 2023, 244, 125336. [Google Scholar] [CrossRef]
- Chemat, F.; Rombaut, N.; Sicaire, A.-G.; Meullemiestre, A.; Fabiano-Tixier, A.-S.; Abert-Vian, M. Ultrasound assisted extraction of food and natural products. Mechanisms, techniques, combinations, protocols and applications. A review. Ultrason. Sonochem. 2017, 34, 540–560. [Google Scholar] [CrossRef]
- Liu, D.; Xu, F.; Liu, F.; Masamba, K.G.; Chen, M.; Zhong, F. A comparative study of crude and refined tara gum in terms of structural parameters and rheological properties. Food Hydrocoll. 2025, 162, 110986. [Google Scholar] [CrossRef]
- Huang, X.; Kakuda, Y.; Cui, S. Hydrocolloids in emulsions: Particle size distribution and interfacial activity. Food Hydrocoll. 2001, 15, 533–542. [Google Scholar] [CrossRef]
- Youssef, M.K.; Wang, Q.; Cui, S.W.; Barbut, S. Purification and partial physicochemical characteristics of protein free fenugreek gums. Food Hydrocoll. 2009, 23, 2049–2053. [Google Scholar] [CrossRef]
- Bourbon, A.I.; Pinheiro, A.C.; Ribeiro, C.; Miranda, C.; Maia, J.M.; Teixeira, J.A.; Vicente, A.A. Characterization of galactomannans extracted from seeds of Gleditsia triacanthos and Sophora japonica through shear and extensional rheology: Comparison with guar gum and locust bean gum. Food Hydrocoll. 2010, 24, 184–192. [Google Scholar] [CrossRef]
- Chen, J.; Cheng, H.; Wu, D.; Linhardt, R.J.; Zhi, Z.; Yan, L.; Chen, S.; Ye, X. Green recovery of pectic polysaccharides from citrus canning processing water. J. Clean. Prod. 2017, 144, 459–469. [Google Scholar] [CrossRef]
- Fekete, S.; Beck, A.; Veuthey, J.-L.; Guillarme, D. Ion-exchange chromatography for the characterization of biopharmaceuticals. J. Pharm. Biomed. Anal. 2015, 113, 43–55. [Google Scholar] [CrossRef]
- Ó’Fágáin, C.; Cummins, P.; O’Connor, B. Gel-Filtration Chromatography. Methods Mol. Biol. 2011, 681, 25–33. [Google Scholar] [CrossRef] [PubMed]
- Schröder, R.; Nicolas, P.; Vincent, S.J.F.; Fischer, M.; Reymond, S.; Redgwell, R.J. Purification and characterisation of a galactoglucomannan from kiwifruit (Actinidia deliciosa). Carbohydr. Res. 2001, 331, 291–306. [Google Scholar] [CrossRef]
- Amin, A.M.; Ahmad, A.S.; Yin, Y.Y.; Yahya, N.; Ibrahim, N. Extraction, purification and characterization of durian (Durio zibethinus) seed gum. Food Hydrocoll. 2007, 21, 273–279. [Google Scholar] [CrossRef]
- Sang, J.; Zhao, G.; Koidis, A.; Wei, X.; Huang, W.; Guo, Z.; Wu, S.; Huang, R.; Lei, H. Isolation, structural, biological activity and application of Gleditsia species seeds galactomannans. Carbohydr. Polym. 2024, 334, 122019. [Google Scholar] [CrossRef]
- Üner, M.; Altınkurt, T. Evaluation of honey locust (Gleditsia triacanthos Linn.) gum as sustaining material in tablet dosage forms. Farmaco 2004, 59, 567–573. [Google Scholar] [CrossRef] [PubMed]
- Yakimets, I.; Paes, S.S.; Wellner, N.; Smith, A.C.; Wilson, R.H.; Mitchell, J.R. Effect of Water Content on the Structural Reorganization and Elastic Properties of Biopolymer Films: A Comparative Study. Biomacromolecules 2007, 8, 1710–1722. [Google Scholar] [CrossRef] [PubMed]
- Zhang, J.; Wen, C.; Zhang, H.; Duan, Y. Review of isolation, structural properties, chain conformation, and bioactivities of psyllium polysaccharides. Int. J. Biol. Macromol. 2019, 139, 409–420. [Google Scholar] [CrossRef] [PubMed]
- Liu, C.; Tang, M.; Zhang, F.; Lei, F.; Li, P.; Wang, K.; Zeng, H.; Jiang, J. Facile Access to Gleditsia microphylla Galactomannan Hydrogel with Rapid Self-Repair Capacity and Multicyclic Water-Retaining Performance of Sandy Soil. Polymers 2022, 14, 5430. [Google Scholar] [CrossRef]
- Zhao, X.; Guo, F.; Hu, J.; Zhang, L.; Xue, C.; Zhang, Z.; Li, B. Antithrombotic activity of oral administered low molecular weight fucoidan from Laminaria Japonica. Thromb Res. 2016, 144, 46–52. [Google Scholar] [CrossRef]
- Li, K.; Cao, Y.X.; Jiao, S.M.; Du, G.H.; Du, Y.G.; Qin, X.M. Structural characterization and immune activity screening of polysaccharides with different molecular weights from Astragali Radix. Front Pharmacol. 2020, 11, 582091. [Google Scholar] [CrossRef]
- Sun, L.; Wang, L.; Li, J.; Liu, H. Characterization and antioxidant activities of degraded polysaccharides from two marine Chrysophyta. Food Chem. 2014, 160, 1–7. [Google Scholar] [CrossRef]
- Mo, X.; Guo, D.; Jiang, Y.; Chen, P.; Huang, L. Isolation, structures and bioactivities of the polysaccharides from Radix Hedysari: A review. Int. J. Biol. Macromol. 2022, 199, 212–222. [Google Scholar] [CrossRef]
- Hou, C.; Yin, M.; Lan, P.; Wang, H.; Nie, H.; Ji, X. Recent progress in the research of Angelica sinensis (Oliv.) Diels polysaccharides: Extraction, purification, structure and bioactivities. Chem. Biol. Technol. Agric. 2021, 8, 13. [Google Scholar] [CrossRef]
- Li, J.; Sun, Q.; Meng, Q.; Wang, L.; Xiong, W.; Zhang, L. Anti-fatigue activity of polysaccharide fractions from Lepidium meyenii Walp. (maca). Int. J. Biol. Macromol. 2017, 95, 1305–1311. [Google Scholar] [CrossRef]
- Pawar, H.A.; Lalitha, K.G. Isolation, purification and characterization of galactomannans as an excipient from Senna tora seeds. Int. J. Biol. Macromol. 2014, 65, 167–175. [Google Scholar] [CrossRef] [PubMed]
- Singh, S.; Singh, G.; Arya, S.K. Mannans: An overview of properties and application in food products. Int. J. Biol. Macromol. 2018, 119, 79–95. [Google Scholar] [CrossRef] [PubMed]
- Lavudi, H.N.; Suthari, S. Application of Legume Seed Galactomannan Polysaccharides. Sustain. Agric. Rev. 2020, 45, 97–113. [Google Scholar] [CrossRef]
- Spotti, M.J.; Perduca, M.; Loyeau, P.; Rubiolo, A.; Carrara, C. Espina Corona (Gleditsia amorphoides) Seed Gum. In Emerging Natural Hydrocolloids: Rheology and Functions; Wiley: Hoboken, NJ, USA, 2019; pp. 225–249. [Google Scholar] [CrossRef]
- Sciarini, L.S.; Palavecino, P.M.; Ribotta, P.D.; Barrera, G.N. Gleditsia triacanthos Galactomannans in Gluten-Free Formulation: Batter Rheology and Bread Quality. Foods 2023, 12, 756. [Google Scholar] [CrossRef] [PubMed]
- Medeiros, S.; Oliveira, V.; Oliveira, A.; Holanda Araújo, M.; Feitosa, J.; Paula, R.; de Sousa, F.D.; Moreira, A.C.; Beserra, F.J.; Moreira, R.A. Caesalpinia pulcherrima seed galactomannan on rheological properties of dairy desserts. Ciênc. Rural 2020, 50, e20190176. [Google Scholar] [CrossRef]
- Mæhre, H.K.; Weisensee, S.; Ballance, S.; Rieder, A. Guar gum fortified white breads for prospective postprandial glycaemic control—Effects on bread quality and galactomannan molecular weight. LWT 2021, 152, 112354. [Google Scholar] [CrossRef]
- Jin, S.-K.; Ha, S.-R.; Choi, J.-S. Effect of the Ratio of Raw Material Components on the Physico-Chemical Characteristics of Emulsion-Type Pork Sausages. Asian-Australas J. Anim. Sci. 2015, 29, 263–270. [Google Scholar] [CrossRef]
- Mudgil, D.; Barak, S.; Patel, A.; Shah, N. Partially hydrolyzed guar gum as a potential prebiotic source. Int. J. Biol. Macromol. 2018, 112, 207–210. [Google Scholar] [CrossRef]
- EFSA Panel on Food Additives and Nutrient Sources added to Food (ANS); Mortensen, A.; Aguilar, F.; Crebelli, R.; Di Domenico, A.; Frutos, M.J.; Galtier, P.; Gott, D.; Gundert-Remy, U.; Lambré, C.; et al. Re-evaluation of guar gum (E 412) as a food additive. EFSA J. 2017, 15, e04669. [Google Scholar] [CrossRef]
- Cazón, P.; Velazquez, G.; Ramírez, J.A.; Vázquez, M. Polysaccharide-based films and coatings for food packaging: A review. Food Hydrocoll. 2017, 68, 136–148. [Google Scholar] [CrossRef]
- Eghbaljoo, H.; Sani, I.K.; Sani, M.A.; Rahati, S.; Mansouri, E.; Molaee-Aghaee, E.; Fatourehchi, N.; Kadi, A.; Arab, A.; Sarabandi, K.; et al. Advances in plant gum polysaccharides; Sources, techno-functional properties, and applications in the food industry—A review. Int. J. Biol. Macromol. 2022, 222, 2327–2340. [Google Scholar] [CrossRef] [PubMed]
- Saha, A.; Tyagi, S.; Gupta, R.K.; Tyagi, Y.K. Natural gums of plant origin as edible coatings for food industry applications. Crit. Rev. Biotechnol. 2017, 37, 959–973. [Google Scholar] [CrossRef] [PubMed]
- Yao, X.; Gao, S.; Wang, J.; Li, Z.; Huang, J.; Wang, Y.; Wang, Z.; Chen, J.; Fan, X.; Wang, W.; et al. Structural basis for the severe adverse interaction of sofosbuvir and amiodarone on L-type Cav channels. Cell 2022, 185, 4801–4810.e13. [Google Scholar] [CrossRef]
- Mohammed, A.H.; Ismail, M.M.A.; Mohammed, H.S. The effect of dexamethasone on postoperative blood glucose levels in diabetic and nondiabetic Patients who are undergoing laparoscopic cholecystectomy. SVU-Int. J. Med. Sci. 2020, 3, 19–24. [Google Scholar]
- Vendruscolo, C.W.; Andreazza, I.F.; Ganter, J.L.M.S.; Ferrero, C.; Bresolin, T.M.B. Xanthan and galactomannan (from M. scabrella) matrix tablets for oral controlled delivery of theophylline. Int. J. Pharm. 2005, 296, 1–11. [Google Scholar] [CrossRef]
- Silveira, J.; Bresolin, T. Pharmaceutical use of galactomannans. Quim. Nova 2010, 34, 292–299. [Google Scholar]
- Schiermeier, S.; Schmidt, P. Fast dispersible ibuprofen tablets. Eur. J. Pharm. Sci. 2002, 15, 295–305. [Google Scholar] [CrossRef]
- Tara, E.; Gottschalck, G.N. McEwen. In International Cosmetic Ingredient Dictionary and Handbook, 10th ed.; Cosmetic, Toiletry, and Fragrance Association: Washington, DC, USA, 2004. [Google Scholar]
- Boyer, I.; Bergfeld, W.; Heldreth, B.; Fiume, M.; Gill, L. The Cosmetic Ingredient Review Program—Expert Safety Assessments of Cosmetic Ingredients in an Open Forum. Int. J. Toxicol. 2017, 36, 5S–13S. [Google Scholar] [CrossRef]
- Rigano, L.; Deola, M.; Zaccariotto, F.; Colleoni, T.; Lionetti, N. A New Gelling Agent and Rheology Modifier in Cosmetics: Caesalpinia spinosa Gum. Cosmetics 2019, 6, 34. [Google Scholar] [CrossRef]
- Grisel, M.; Aguni, Y.; Renou, F.; Malhiac, C. Impact of fine structure of galactomannans on their interactions with xanthan: Two co-existing mechanisms to explain the synergy. Food Hydrocoll. 2015, 51, 449–458. [Google Scholar] [CrossRef]
- Wu, Y.; Ding, W.; He, Q. The gelation properties of tara gum blended with κ-carrageenan or xanthan. Food Hydrocoll. 2018, 77, 764–771. [Google Scholar] [CrossRef]
- Rothe, H.; Fautz, R.; Gerber, E.; Neumann, L.; Rettinger, K.; Schuh, W.; Gronewold, C. Special aspects of cosmetic spray safety evaluations: Principles on inhalation risk assessment. Toxicol. Lett. 2011, 205, 97–104. [Google Scholar] [CrossRef] [PubMed]
- Sinclair, R. Textiles and Fashion: Materials, Design and Technology; Elsevier: Amsterdam, The Netherlands, 2014; pp. 1–845. [Google Scholar]
- Khan, M. Influence of Binders and Thickeners of Pigment Printing paste on Light Fastness and Crocking Fastness of the Fabric. Int. J. Sci. Res. 2018, 3, 1024–1033. [Google Scholar]
- Harlapur, S.; Airani, N.; Gobbi, S. Appliance of Natural Gums as Thickeners in the Process of Cotton Printing. Adv. Res. Text. Eng. 2020, 5, 1–3. [Google Scholar]
- Miles, L.W.C. The Production and Properties of Printing Pastes. 2003. Available online: https://www.google.com/url?sa=t&source=web&rct=j&opi=89978449&url=http://182.160.97.198:8080/xmlui/bitstream/handle/123456789/1169/Chapter%25207%2520-%2520The%2520production%2520and%2520properties%2520of%2520printing%2520pastes.pdf%3Fsequence%3D8&ved=2ahUKEwj7h4aY3sSMAxVDh1YBHaDaJ1kQFnoECBIQAQ&usg=AOvVaw35BxLkF6rHDvMQdM8Uxgc6 (accessed on 5 December 2024).
- Dawson, T.L.; Miles, L.W.C. Carpet and Yarn Printing. 2003. Available online: https://www.google.com/url?sa=t&source=web&rct=j&opi=89978449&url=http://182.160.97.198:8080/xmlui/bitstream/handle/123456789/1169/Chapter%25204%2520-%2520Carpet%2520and%2520yarn%2520printing.pdf%3Fsequence%3D5&ved=2ahUKEwjfy83A3sSMAxVMsVYBHYjGL5sQFnoECB0QAQ&usg=AOvVaw3JMWRo1qTwl2Vhw5amVs0b (accessed on 15 September 2024).
- Hassabo, A.; Othman, H. Natural thickener in textile printing (A Mini Review). J. Text. Color. Polym. Sci. 2021, 18, 55–64. [Google Scholar]
- Fijan, R.; Šostar-Turk, S.; Lapasin, R. Rheological study of interactions between non-ionic surfactants and polysaccharide thickeners used in textile printing. Carbohydr. Polym. 2007, 68, 708–717. [Google Scholar] [CrossRef]
- Baldaro, E.; Gallucci, M.; Formantici, C.; Issi, L.; Cheroni, S.; Galante, Y.M. Enzymatic improvement of guar-based thickener for better-quality silk screen printing. Color. Technol. 2012, 128, 315–322. [Google Scholar] [CrossRef]
- Iqbal, D.N.; Nazir, A.; Iqbal, M.; Yameen, M. Green synthesis and characterization of carboxymethyl guar gum: Application in textile printing technology. Green Process. Synth. 2020, 9, 212–218. [Google Scholar] [CrossRef]
- Saad, F.; Hassabo, A.; Othman, H.; Mosaad, M.; Mohamed, A. A Valuable Observation on Thickeners for Valuable Utilisation in the Printing of Different Textile Fabrics. Egypt. J. Chem. 2021, 65, 431–448. [Google Scholar] [CrossRef]
- Gahlot, M.; Dubey, P.; Sharma, E. Screen printing of silk, using gum Indalca and gum Arabic thickeners. Int. Dye. 2003, 188, 24–27. [Google Scholar]
- Hebeish, A.; Ragheb, A.A.; Nassar, S.H.; Allam, E.; Abd El-Thalouth, J.I. Tara Gum Carbamate: A New Thickening System for Cotton Printing Using Vat Dyes. J. Am. Sci. 2010, 6, 623–631. [Google Scholar]
- Hebeish, A.; Ragheb, A.; Nassar, S.; Allam, E.E.; El-Thalouth, J.I.A. Eco-friendly technology for textile printing using innovative self printing paste. Egypt. J. Chem. 2011, 54, 663–678. [Google Scholar]
- El-Molla, M. Preparation and characterization of carboxymethyl cassia obovata gum and their utilization in textile printing. Macromol. Mater. Eng. 2000, 282, 51–57. [Google Scholar] [CrossRef]
- Rekaby, M.; Hermina, I.; El-Rahman, A.; Elkhabiry, S. Technological evaluation of carboxymethyl sesbania galactomannan gum derivatives as thickeners in reactive printing. Bioresources 2010, 5, 517–1529. [Google Scholar] [CrossRef]
- Abd El-Thalouth, I.; Rekaby, M.; Abdel-Rahman, A.H.; El-khabery, S.A. Preparation and Characterization of Phosphorylated Sesbania Galactomannan Gum Derivatives and Their Applications in Textile Printing. Res. J. Text. Appar. 2012, 16, 68–76. [Google Scholar] [CrossRef]
- Blackburn, R.S. Natural Polysaccharides and Their Interactions with Dye Molecules: Applications in Effluent Treatment. Environ. Sci. Technol. 2004, 38, 4905–4909. [Google Scholar] [CrossRef]
- Hannuksela, T.; Holmbom, B.; Lachenal, D. Effect of sorbed galactoglucomannans and galactomannans on pulp and paper handsheet properties, especially strength properties. Nord. Pulp Pap. Res. J. 2004, 19, 237–244. [Google Scholar] [CrossRef]
- Salam, A.; Lucia, L. A New Class of Biobased Paper Dry Strength Agents: Synthesis and Characterization of Soy-Based Polymers. ACS Sustain. Chem. Eng. 2015, 3, 524–532. [Google Scholar] [CrossRef]
- Hubbe, M.; Venditti, R.; Rojas, O. What happens to cellulosic fibers during papermaking and recycling? A Review. Bioresources 2007, 2, 739–788. [Google Scholar]
- Hubbe, M. Bonding between cellulosic fibers in the absence and presence of dry-strength agents—A review. Bioresources 2006, 1, 281–318. [Google Scholar] [CrossRef]
- Ren, D.; Li, K. Development of wet strength additives from wheat gluten. Holzforschung 2005, 59, 598–603. [Google Scholar] [CrossRef]
- Yan, L.-Y.; Li, S.-Y.; Song, X.-L. Preparation of Paper Strengthening Agent by Esterification of Cellulosic Fines. Bioresources 2016, 12, 469–477. [Google Scholar] [CrossRef]
- Di, J.; Liu, B.; Song, X. The Galactose Oxidase Air Oxidation of Galactomannans for Use as Paper Strengthening Agents. J. Wood Chem. Technol. 2020, 40, 105–115. [Google Scholar] [CrossRef]
- Bai, L.; Hu, H.; Xu, J. Influences of configuration and molecular weight of hemicelluloses on their paper-strengthening effects. Carbohydr. Polym. 2012, 88, 1258–1263. [Google Scholar] [CrossRef]
- Wang, M.; He, W.; Yan, R.; Song, X. A study of cationic glucomannan as a paper strength agent. J. Macromol. Sci. Part A 2017, 54, 216–220. [Google Scholar] [CrossRef]
- Zhang, M.I.N.; Hubbe, M.; Venditti, R. Can recycled kraft fibres benefit from chemical addition before they are first dried? Appita J. 2002, 55, 135–144. [Google Scholar]
- Mihaela Gabriela, D.; Nicolae Ionut, V.; Baciu, A. The Use of Natural Biopolymer Derived from Gleditsia triacanthos in Reducing the Cracking Process of Cherries. Rev. Chim. 2015, 66, 97–100. [Google Scholar]
- Nguyen, N.; Dang, N.; Doan, L.; Nguyen, H. Synthesis of Silver Nanoparticles: From Conventional to ‘Modern’ Methods—A Review. Processes 2023, 11, 2617. [Google Scholar] [CrossRef]
- Hasan, A.M.A.; Abdel-Raouf, M.E. Applications of guar gum and its derivatives in petroleum industry: A review. Egypt. J. Pet. 2018, 27, 1043–1050. [Google Scholar] [CrossRef]
- Alves, L.; Fronza, P.; Gonçalves, I.; da Silva, W.; Oliveira, L.; Franca, A. Development of Polymeric Films Based on Sunflower Seed Proteins and Locust Bean Gum. Polymers 2024, 16, 1905. [Google Scholar] [CrossRef] [PubMed]




| Specie | Origin | Biological Activity | M/G | References |
|---|---|---|---|---|
| Ceratonia siliqua L. | Spain | − Antidiabetic | 4:1 | [10,11,12,13,14] |
| Leucaena Leucocephala | India | − Pharmaceutical industries | 1.3:1 | [15] |
| Dimorphandra gardneriana | Brazil | − Drug delivery | - | [16] |
| Prosopis affinis | Uruguay | − Pharmaceutical industries | 1:1.5 | [6] |
| Cyamopsis tetragonolobus L. | India Italy Brazil Germany | − Stabilizer and emulsifier − Prevents osteoarthritis − Drug delivery − Food industry | 2:1 | [5,17,18,19,20,21] |
| Rhizopogon luteolus | Turkey | − Anticholinesterase antioxidant | 0.81:1.0 | [22] |
| Caesalpinia spinosa | Peru China | − Food industry − Pharmaceutical industry | 3:1 1.88:1 | [12,13,14,23,24,25] |
| Ganoderma adspersum | Turkey | − Food industry | 1:1.4 | [22] |
| Caesalpinia pulcherrima | Brazil | − Anti-inflammatory | 2.18:1 | [26] |
| Trigonella foenum-graecum L. | China India | − Antidiabetic − Food industry − Drug delivery − Hypoglycemic | 1:1 | [27,28,29,30,31,32,33] |
| Eremurus hissaricus | Asia | − Viral diseases | - | [34] |
| Bauhinia monandra | Nigeria | − Food industry | 4:1 | [35] |
| Descurainia Sophia | Iran | − Pharmaceutical systems | 1:1.09 | [36] |
| Delonix regia | Nigeria Brazil Mexico | − Pharmaceutical industry − Drug delivery − Anti-inflammatory | 4:1 | [37,38,39,40] |
| Bauhinia vahlii | India | − Food industry | 4.21:1 | [41] |
| Coffea arabica L. | India | − Food industry | 1:3.5 | [42] |
| Cassia grandis | Brazil Cuba | − Matrix of catalytic compounds − Hypoglycemic | - | [43,44,45,46,47] |
| Delonix elata | India | − Food industry | 2.55:1 | [41] |
| Cassia obtusifolia | China | − Pharmaceutical industry − Drug delivery | 1:2.94 | [48,49] |
| Lallemantia royleana | Iran | − Hypocholesterolemic | - | [50,51] |
| Gleditsia japonica var. delavayi | China | − Hyperglycemic and Hypolipidemic | 2.54:2.66 | [7,52,53] |
| Cassia tora, | India | − Drug delivery | 5:1 | [54] |
| Peltophorum pterocarpum | India | − Food industry | 3.03:1 | [41] |
| Gleditsia caspica | Iran | − Food industry | 1.95:1 | [55] |
| Adenanthera pavonina L. | Brazil | − Antidiabetic − Food industry | 1.46:1 | [56,57,58,59] |
| Cassia fistula | Brazil | − Biomaterial | 3.1:1 | [60] |
| Gleditsia triacanthos L. | Algeria Argentina | − Food industry | 2.86:1 | [61,62,63] |
| Retama reatam | Tunez | − Antidiabetic | 1.85:1 | [64] |
| Sesbania cannabina | China | − Anticancer | 2.4:1 | [65,66,67,68] |
| Trigonella persica | Iran | − Drug delivery system | 5:1 | [29] |
| Gleditsia sinensis | China | − Biomaterial − Food industry | 3:1 3.55:1 | [69,70] |
| Sophora japonica f. pendular | China | − Food industry | 4.94:1 | [71] |
| Coffea canephora | India | − Food industry | 2:1.6 | [72] |
| Borassus flabellifer | India | − Biomaterial | 1.4:1 | [73] |
| Gleditsia microphylla | China | − Food industry | 2.77:1 | [74] |
| Sophora alopecuroides L. | China | − Pharmaceutical industry | 1.48:1 | [75] |
| Astragalus gombo | Africa | − Food industry | 1.7:1 | [76] |
| Cassia angustifolia | India | − Pharmaceutical industry | 2.90:1 | [77] |
| Prosopis ruscifolia | Argentina | − Pharmaceutical industry | 1.6:1 | [78] |
| Dichrostachys cinerea | India | − Food industry | 1.05:1 | [79] |
| Extraction Method | Efficiency | Advantages | Disadvantages | References |
|---|---|---|---|---|
| Hot water | 30% |
|
| [107] |
| Cold plasma | 67–122% |
|
| [30,108] |
| Three-phase partitioning-based (TPP) | 60% |
|
| [109,110] |
| Thermal reflux | 85–90% |
|
| [111] |
| Acid |
|
| [112] | |
| Ultrasound-assisted extraction (UAE) | 70–90% |
|
| [113] |
| Alkaline |
|
| [114] | |
| Microwave-assisted (MAE) | 75–85% |
|
| [115] |
| Enzyme-assisted | 65–85% |
|
| [114] |
| Super critical fluids | 80–90% |
|
| [116] |
| Natural deep eutectic solvents (NADESs) | 40% |
|
| [117] |
| Enzyme | Source | Yield | Substrate | Fermentation | Reference |
|---|---|---|---|---|---|
| β-Mannanase | Penicillium aculeatum APS1 | 2807 U/g | Palm kernel cake Soyabean meal | Solid state | [147] |
| Bacillus licheniformis NK-27 | 212 U/mL | - | Submerged | [148] | |
| Protease | Pseudomonas fluorescens (ATCC 17556) | 1.5 U/L | Nutrient broth | Solid state | [149] |
| Blood agar | Submerged | ||||
| Skim milk powder | Solid state | ||||
| Bacillus safensis CH-25 | 5.2 U/mL | Casein | Submerged | [150] | |
| Endo-1,4-b-glucanase | Piptoporus betulinus CCBAS585 | 11,300 U/g | Malt extract | Solid state | [151] |
| Endo-1,4-β-xylanase | 1450 U/g | ||||
| Endo-1,4-β-mannanase | 345 U/g | ||||
| 1,4-β-Glucosidase | 1.4 × 106 U/g | ||||
| 1,4-β-Xylosidase | 106,000 U/g | ||||
| 1,4-β-Mannosidase | 380,000 U/g | ||||
| Cellobiohydrolase | 88,000 U/g | ||||
| Pectinase | Aspergillus niger IBT-7 | 39.1 U/mL | Rice bran | Solid state | [152] |
| α-Galactosidase | Debaryomyces hansenii UFV-1 | 4.88 U/mL | Lactose | Submerged | [153] |
| Technique | Background | Advantages | Disadvantages | Yield (%) | References |
|---|---|---|---|---|---|
| Ethanol/ isopropanol precipitation | Removes soluble impurities by precipitating galactomannan |
|
| 70–90% | [117,171,172] |
| Ion exchange chromatography | Separates biomolecules based on the charge difference between biomolecules and equilibrium ions in the exchanger |
|
| 85–95% | [52,173] |
| Gel filtration chromatography | Separates polysaccharides based on their molecular weight |
|
| 90–95% | [174,175] |
| Dialysis | Removes low molecular weight contaminants |
|
| 80–90% | [6] |
| Ultrafiltration | Concentrates galactomannan and removes small, unwanted molecules. |
|
| 70–90% | [176] |
| Technique | Findings | References |
|---|---|---|
| Fourier transform infrared spectroscopy (FTIR) | Galactomannan obtained from Adenanthera pavonina L. retains its characteristic monosaccharides after purification, such as mannose and galactose. The presence of α-D-galactopyranose and β-D-mannopyranose units was observed | [58,59] |
| Nuclear magnetic resonance (1H-NMR and 13C-NMR) | Galactomannan extracted from Prosopis affinis shows a M/G ratio of ~1.5 with a main structure of β-(1,4) mannan backbone adorned with galactosyl residues attached through α-(1,6) linkages | [6] |
| Gas chromatography (GC) | Reports different monosaccharide compositions for Angelica sinensis, most of these polysaccharides including mannose, rhamnose, arabinose, glucose, galactose, and galacturonic acid with various proportions | [186] |
| High-performance gel filtration chromatography (HPGFC) | Glucose is the main monosaccharide unit of Lepidium meyenii extracts, composed of rhamnose, arabinose, glucose, and galactose | [187] |
| Scanning electron microscopy (SEM) | Galactomannans extracted from Trigonellafoenum-graecum L. show structural integrity and smooth surfaces, being candidates for film fabrication and drug delivery | [3] |
| X-Ray diffraction (XRD) | Galactomannan extracted from Adenanthera pavonina L. has a semi-crystalline structure after precipitation with ethyl alcohol | [58] |
| Thermogravimetry (TGA) | Trigonellafoenum-graecum extracts show a high number of carboxyl groups | [3] |
| Differential scanning calorimetry (DSC) | Trigonellafoenum-graecum extracts are stable at high temperatures and show the ability to retain moisture for long periods | [3] |
| Rheometry and viscosity | At higher temperatures, the polymer chains of S. japonica degrade, reducing the intrinsic viscosity and the average molecular mass of the viscosity | [117] |
| Dynamic light scattering (DLS) | The value of the structure-sensitive parameter was 1.33, suggesting that Cassia obtusifolia extracts adopted a random coil conformation in solution | [48] |
| High-performance thin-layer chromatography (HPTLC) | Senna tora hydrolysate showed spots identified as galactose and mannose and an average M/G ratio of 5.1 was observed | [188] |
Disclaimer/Publisher’s Note: The statements, opinions and data contained in all publications are solely those of the individual author(s) and contributor(s) and not of MDPI and/or the editor(s). MDPI and/or the editor(s) disclaim responsibility for any injury to people or property resulting from any ideas, methods, instructions or products referred to in the content. |
© 2025 by the authors. Licensee MDPI, Basel, Switzerland. This article is an open access article distributed under the terms and conditions of the Creative Commons Attribution (CC BY) license (https://creativecommons.org/licenses/by/4.0/).
Share and Cite
Flores García, Y.; Martín del Campo Solís, M.F.; Gómez-Angulo, J.H.; Martínez Preciado, A.H.; Silva-Jara, J.M.; Padilla de la Rosa, J.D.; Escalante-Garcia, Z.Y. Industrial Applications, Principal Sources, and Extraction of Galactomannans: A Review. Foods 2025, 14, 1587. https://doi.org/10.3390/foods14091587
Flores García Y, Martín del Campo Solís MF, Gómez-Angulo JH, Martínez Preciado AH, Silva-Jara JM, Padilla de la Rosa JD, Escalante-Garcia ZY. Industrial Applications, Principal Sources, and Extraction of Galactomannans: A Review. Foods. 2025; 14(9):1587. https://doi.org/10.3390/foods14091587
Chicago/Turabian StyleFlores García, Yaquelin, Martha Fabiola Martín del Campo Solís, Jorge H. Gómez-Angulo, Alma Hortensia Martínez Preciado, Jorge Manuel Silva-Jara, José Daniel Padilla de la Rosa, and Zazil Y. Escalante-Garcia. 2025. "Industrial Applications, Principal Sources, and Extraction of Galactomannans: A Review" Foods 14, no. 9: 1587. https://doi.org/10.3390/foods14091587
APA StyleFlores García, Y., Martín del Campo Solís, M. F., Gómez-Angulo, J. H., Martínez Preciado, A. H., Silva-Jara, J. M., Padilla de la Rosa, J. D., & Escalante-Garcia, Z. Y. (2025). Industrial Applications, Principal Sources, and Extraction of Galactomannans: A Review. Foods, 14(9), 1587. https://doi.org/10.3390/foods14091587

