One-Step Synthesis of Tea Polyphenol–Iron Nanoparticles for Enhanced Antioxidant and Antibacterial Properties
Abstract
1. Introduction
2. Materials and Methods
2.1. Materials
2.2. Preparation of TP-Fe NPs
2.3. Yield, Encapsulation Efficiency, and Loading Capacity
2.4. Particle Size, Polydispersity Index (PDI), and Zeta Potential
2.5. Scanning Electron Microscopy (SEM) and Transmission Electron Microscopy (TEM)
2.6. Fourier Transform Infrared Spectroscopy (FTIR)
2.7. X-Ray Diffraction (XRD)
2.8. Thermal Stability
2.9. Water Contact Angle (WCA)
2.10. Color
2.11. Antioxidant Activity
2.12. Antibacterial Activity
2.13. In Vitro Cytotoxicity Assay
2.14. Statistical Analysis
3. Results and Discussion
3.1. Analysis of Yield, Encapsulation Efficiency and Loading Capacity
3.2. Analysis of Particle Size, PDI, and Zeta Potential
3.3. Surface Morphology Analysis
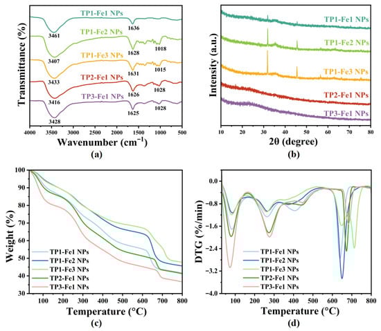
3.4. FTIR Analysis
3.5. XRD Analysis
3.6. TG Analysis
3.7. WCA Analysis
3.8. Color Analysis
3.9. Antioxidant Activity Analysis
3.10. Antibacterial Activity Analysis
3.11. In Vitro Cytotoxicity Analysis
4. Conclusions
Supplementary Materials
Author Contributions
Funding
Institutional Review Board Statement
Informed Consent Statement
Data Availability Statement
Conflicts of Interest
Abbreviations
| TP | Tea polyphenols |
| TP-Fe NPs | tea polyphenol–iron nanoparticles |
| FeCl3·6H2O | Ferric chloride hexahydrate |
| K2S2O8 | potassium persulfate |
| DPPH | 2,2-Diphenyl-1-picrylhydrazyl |
| ABTS | 2,2-azino-bis (3-ethylbenzothiazoline-6-sulfonic acid) |
| SEM | Scanning Electron Microscopy |
| TEM | Transmission Electron Microscopy |
| XRD | X-ray Diffraction |
| FTIR | Fourier Transform Infrared Spectroscopy |
| TG | Thermogravimetric |
| WCA | Water Contact Angle |
| CCK-8 | Cell Counting Kit-8 |
| PI | propidium iodide |
References
- Baysal, G.; Ateş, K.; Akbulut, A.; Özpinar, H. Shelf Life of Foods and Bioactive Materials Used in the AntimiCrobial Food Packaging. Preprints 2023, 2023090669. [Google Scholar] [CrossRef]
- Chen, H.; Zhang, F.; Yang, Y.-x.; Meng, X.-h.; Ding, X.-q.; Jian, T.-y.; Niu, G.-t.; Tong, B.; Gai, Y.-n.; Lü, H.; et al. Effect of chitosan edible coating containing anthocyanins and tea polyphenols on cold storage of chilled pork. Front. Nutr. 2025, 12, 1546618. [Google Scholar] [CrossRef] [PubMed]
- Xu, W.; Jia, Y.; Wei, J.; Ning, Y.; Sun, H.; Jiang, L.; Chai, L.; Luo, D.; Cao, S.; Shah, B.R. Characterization and antibacterial behavior of an edible konjac glucomannan/soluble black tea powder hybrid film with ultraviolet absorption. RSC Adv. 2022, 12, 32061–32069. [Google Scholar] [CrossRef] [PubMed]
- Li, S.; Zhang, L.; Wan, X.; Zhan, J.; Ho, C.-T. Focusing on the recent progress of tea polyphenol chemistry and perspectives. Food Sci. Hum. Wellness 2022, 11, 437–444. [Google Scholar] [CrossRef]
- Krstić, J.; Mrmošanin, J.; Pavlović, A.; Mitic, M.; Stojanović, B.; Paunović, D.; Dimitrijević, D.; Arsić, B. Computational and experimental investigations on the influence of different factors on the content of phenolic compounds from selected tea samples. Int. Food Res. J. 2024, 31, 1165–1184. [Google Scholar] [CrossRef]
- Ejima, H.; Richardson, J.J.; Liang, K.; Best, J.P.; van Koeverden, M.P.; Such, G.K.; Cui, J.; Caruso, F. One-Step Assembly of Coordination Complexes for Versatile Film and Particle Engineering. Science 2013, 341, 154–157. [Google Scholar] [CrossRef]
- Gao, L.; Liu, Y.; Ye, L.; Liang, S.; Lin, J.; Zeng, J.; Lei, L.; Huang, Q.; Wan, Y.; Zhang, B. Metal ion coordinated tea polyphenol nanocoating for enhanced probiotic therapy in inflammatory bowel disease. Biomaterials 2025, 321, 123323. [Google Scholar] [CrossRef]
- Wu, D.; Zhou, J.; Creyer, M.N.; Yim, W.; Chen, Z.; Messersmith, P.B.; Jokerst, J.V. Phenolic-enabled nanotechnology: Versatile particle engineering for biomedicine. Chem. Soc. Rev. 2021, 50, 4432–4483. [Google Scholar] [CrossRef]
- Li, N.; Wang, C.; Feng, B.; Bi, Y.; Kong, F.; Wang, Z.; Tan, S. Application of nanoencapsulation technology to improve the stability and bioactivity of tea polyphenols. Food Biosci. 2023, 55, 103076. [Google Scholar] [CrossRef]
- Li, Y.; Miao, Y.; Yang, L.; Zhao, Y.; Wu, K.; Lu, Z.; Hu, Z.; Guo, J. Recent Advances in the Development and Antimicrobial Applications of Metal–Phenolic Networks. Adv. Sci. 2022, 9, 2202684. [Google Scholar] [CrossRef]
- Xinxing, X.; Wei, L.; Longtao, W.; Shimi, L. Synthesis of Fe-based Nanoparticles by Tea Polyphenols and Their Removal of Hexavalent Chromium. IOP Conf. Ser. Earth Environ. Sci. 2021, 826, 012048. [Google Scholar] [CrossRef]
- Zamani, M.; Monir, K.; Furst, A.L. Self-assembled nanomaterials enable extended lithium release. J. Mater. Chem. B 2025, 13, 10170–10176. [Google Scholar] [CrossRef] [PubMed]
- Hosseinzadeh, H. Antibacterial/Magnetic Iron Oxide Nanoparticles: A Comprehensive Review of Synthesis Methods, Doping Effects, Antibacterial Properties, and Applications in Medical and Food Industries. J. Appl. Mater. Sci. 2025, 1, 210146. [Google Scholar] [CrossRef]
- Abou-Dobara, M.I.; Kamel, M.A.; El-Sayed, A.K.A.; El-Zahed, M.M. Antibacterial activity of extracellular biosynthesized iron oxide nanoparticles against locally isolated β-lactamase-producing Escherichia coli from Egypt. Discov. Appl. Sci. 2024, 6, 113. [Google Scholar] [CrossRef]
- Jawad, O.S. Biosynthesis of Iron Nanoparticles (Fe NPs), and their Antibacterial Activity. Acad. Int. J. Pure Sci. 2024, 2, 9–17. [Google Scholar] [CrossRef]
- Wang, S.; Wang, Z.; Li, Z.; Zhang, X.; Chen, H. Recent advances in tea and other plant polyphenol biomaterials for antibacterial and disease treatment. Beverage Plant Res. 2025, 5, e010. [Google Scholar] [CrossRef]
- Chiu, I.; Ling, K.Y.; Wang, T.; Xie, T.; Ye, S.; Yang, T. Spray-Deposited Epigallocatechin Gallate-Based Metal–Phenolic Networks as Innovative Edible Coatings for Fresh Produce Preservation. ACS Food Sci. Technol. 2025, 5, 4231–4242. [Google Scholar] [CrossRef]
- Wu, Z.; Wang, L.; Hu, Z.; Guan, X.; Chen, Y.; Xu, M.; Chen, X.; Bu, N.; Duan, J.; Liu, W.; et al. Konjac glucomannan/zein active film loaded with tea polyphenol–ferric nanoparticles for strawberry preservation. Int. J. Biol. Macromol. 2025, 299, 139905. [Google Scholar] [CrossRef]
- ISO 14502-1:2005/Cor 1:2006; Determination of Substances Characteristic of Green and Black Tea—Part 1: Content of Total Polyphenols in Tea—Colorimetric Method Using Folin-Ciocalteu Reagent. International Organization for Standardization: Geneva, Switzerland, 2006.
- Wang, S.; Duan, Z.; Zheng, L.; Yang, Y.; Zheng, X.; Xiao, D.; Ai, B.; Wang, M.; Sheng, Z. Digestive enzyme corona formed in simulated gastrointestinal tract and its impact on EGCG release from banana resistant starch nanoparticles. Food Hydrocoll. 2024, 146, 109267. [Google Scholar] [CrossRef]
- Zhao, S.; Jia, R.; Yang, J.; Dai, L.; Ji, N.; Xiong, L.; Sun, Q. Development of chitosan/tannic acid/corn starch multifunctional bilayer smart films as pH-responsive actuators and for fruit preservation. Int. J. Biol. Macromol. 2022, 205, 419–429. [Google Scholar] [CrossRef]
- Lee, S.J.; Gwak, M.A.; Chathuranga, K.; Lee, J.S.; Koo, J.; Park, W.H. Multifunctional chitosan/tannic acid composite films with improved anti-UV, antioxidant, and antimicrobial properties for active food packaging. Food Hydrocoll. 2023, 136, 108249. [Google Scholar] [CrossRef]
- Li, Z.; You, S.; Mao, R.; Xiang, Y.; Cai, E.; Deng, H.; Shen, J.; Qi, X. Architecting polyelectrolyte hydrogels with Cu-assisted polydopamine nanoparticles for photothermal antibacterial therapy. Mater. Today Bio 2022, 15, 100264. [Google Scholar] [CrossRef] [PubMed]
- Wang, W.; Zhang, W.; Li, L.; Deng, W.; Liu, M.; Hu, J. Biodegradable starch-based packaging films incorporated with polyurethane-encapsulated essential-oil microcapsules for sustained food preservation. Int. J. Biol. Macromol. 2023, 235, 123889. [Google Scholar] [CrossRef]
- Ejima, H.; Richardson, J.J.; Caruso, F. Metal-phenolic networks as a versatile platform to engineer nanomaterials and biointerfaces. Nano Today 2017, 12, 136–148. [Google Scholar] [CrossRef]
- Lin, X.; Mu, J.; Chen, Z.; Zhang, Y.; Ye, X.; Gao, X.; Chen, W.; Luo, Y.; Li, B. Stabilization and functionalization of selenium nanoparticles mediated by green tea and Pu-Erh tea polysaccharides. Ind. Crops Prod. 2023, 194, 116312. [Google Scholar] [CrossRef]
- Ribeiro, E.F.; de Barros-Alexandrino, T.T.; Assis, O.B.G.; Junior, A.C.; Quiles, A.; Hernando, I.; Nicoletti, V.R. Chitosan and crosslinked chitosan nanoparticles: Synthesis, characterization and their role as Pickering emulsifiers. Carbohydr. Polym. 2020, 250, 116878. [Google Scholar] [CrossRef]
- Inam, M.; Khan, R.; Park, D.; Lee, Y.-W.; Yeom, I. Removal of Sb(III) and Sb(V) by Ferric Chloride Coagulation: Implications of Fe Solubility. Water 2018, 10, 418. [Google Scholar] [CrossRef]
- Lei, Y.; Wu, H.; Jiao, C.; Jiang, Y.; Liu, R.; Xiao, D.; Lu, J.; Zhang, Z.; Shen, G.; Li, S. Investigation of the structural and physical properties, antioxidant and antimicrobial activity of pectin-konjac glucomannan composite edible films incorporated with tea polyphenol. Food Hydrocoll. 2019, 94, 128–135. [Google Scholar] [CrossRef]
- Videira-Quintela, D.; Guillen, F.; Martin, O.; Cumbal, L.; Montalvo, G. Antibacterial and antioxidant triple-side filler composed of fumed silica, iron, and tea polyphenols for active food packaging. Food Control 2022, 138, 109036. [Google Scholar] [CrossRef]
- Zhao, W.; Liu, Z.; Liang, X.; Wang, S.; Ding, J.; Li, Z.; Wang, L.; Jiang, Y. Preparation and characterization of epigallocatechin-3-gallate loaded melanin nanocomposite (EGCG @MNPs) for improved thermal stability, antioxidant and antibacterial activity. LWT 2022, 154, 112599. [Google Scholar] [CrossRef]
- Wu, Z.; Wang, L.; Ma, C.; Xu, M.; Guan, X.; Lin, F.; Jiang, T.; Chen, X.; Bu, N.; Duan, J.; et al. Konjac glucomannan/xanthan gum film embedding soy protein isolate–tannic acid–iron complexes for blueberry preservation. Food Hydrocoll. 2025, 163, 111040. [Google Scholar] [CrossRef]
- Yang, W.; Zhang, S.; Feng, A.; Li, Y.; Wu, P.; Li, H.; Ai, S. Water-insoluble tea polyphenol nanoparticles as fillers and bioactive agents for pectin films to prepare active packaging for fruit preservation. Food Hydrocoll. 2024, 156, 110364. [Google Scholar] [CrossRef]
- Zhang, D.; Bu, N.; Zhou, L.; Lin, L.; Wen, Y.; Chen, X.; Huang, L.; Lin, H.; Mu, R.; Wang, L.; et al. Quercetin-loaded melanin nanoparticle mediated konjac glucomannan/polycaprolactone bilayer film with dual-mode synergistic bactericidal activity for food packaging. Int. J. Biol. Macromol. 2024, 276, 133982. [Google Scholar] [CrossRef]
- Zhang, D.; Chen, X.; Bu, N.; Huang, L.; Lin, H.; Zhou, L.; Mu, R.; Wang, L.; Pang, J. Biosynthesis of Quercetin-Loaded Melanin Nanoparticles for Improved Antioxidant Activity, Photothermal Antimicrobial, and NIR/pH Dual-Responsive Drug Release. Foods 2023, 12, 4232. [Google Scholar] [CrossRef]







| Nanoparticles | C Element (wt%) | O Element (wt%) | Fe Element (wt%) |
|---|---|---|---|
| TP1-Fe1 NPs | 33.88 | 51.97 | 14.15 |
| TP1-Fe2 NPs | 33.56 | 47.36 | 19.08 |
| TP1-Fe3 NPs | 20.15 | 48.91 | 30.95 |
| TP2-Fe1 NPs | 48.23 | 41.26 | 10.51 |
| TP3-Fe1 NPs | 55.56 | 35.83 | 8.62 |
| Nanoparticles | L* | a* | b* | ΔE |
|---|---|---|---|---|
| TP1-Fe1 NPs | 42.97 ± 0.17 c | 2.02 ± 0.10 c | 1.98 ± 0.17 c | 47.86 ± 0.17 b |
| TP1-Fe2 NPs | 43.43 ± 0.11 b | 2.22 ± 0.05 b | 2.44 ± 0.10 b | 47.43 ± 0.10 c |
| TP1-Fe3 NPs | 44.10 ± 0.09 a | 2.37 ± 0.05 a | 3.44 ± 0.16 a | 46.83 ± 0.10 d |
| TP2-Fe1 NPs | 42.11 ± 0.08 d | 1.11 ± 0.07 d | 1.14 ± 0.13 d | 48.67 ± 0.09 a |
| TP3-Fe1 NPs | 41.93 ± 0.04 e | 0.95 ± 0.03 e | 0.82 ± 0.05 e | 48.85 ± 0.04 a |
Disclaimer/Publisher’s Note: The statements, opinions and data contained in all publications are solely those of the individual author(s) and contributor(s) and not of MDPI and/or the editor(s). MDPI and/or the editor(s) disclaim responsibility for any injury to people or property resulting from any ideas, methods, instructions or products referred to in the content. |
© 2025 by the authors. Licensee MDPI, Basel, Switzerland. This article is an open access article distributed under the terms and conditions of the Creative Commons Attribution (CC BY) license (https://creativecommons.org/licenses/by/4.0/).
Share and Cite
Hu, Z.; Wu, Z.; Yu, L.; Zou, S.; Hu, Y.; Jiang, T.; Lin, Y.; Cai, Y.; Weng, Q.; Pang, J.; et al. One-Step Synthesis of Tea Polyphenol–Iron Nanoparticles for Enhanced Antioxidant and Antibacterial Properties. Foods 2025, 14, 4337. https://doi.org/10.3390/foods14244337
Hu Z, Wu Z, Yu L, Zou S, Hu Y, Jiang T, Lin Y, Cai Y, Weng Q, Pang J, et al. One-Step Synthesis of Tea Polyphenol–Iron Nanoparticles for Enhanced Antioxidant and Antibacterial Properties. Foods. 2025; 14(24):4337. https://doi.org/10.3390/foods14244337
Chicago/Turabian StyleHu, Zhiwen, Zhenzhen Wu, Lingxin Yu, Shuyi Zou, Yaxuan Hu, Tengjun Jiang, Yanlei Lin, Yueyue Cai, Qibiao Weng, Jie Pang, and et al. 2025. "One-Step Synthesis of Tea Polyphenol–Iron Nanoparticles for Enhanced Antioxidant and Antibacterial Properties" Foods 14, no. 24: 4337. https://doi.org/10.3390/foods14244337
APA StyleHu, Z., Wu, Z., Yu, L., Zou, S., Hu, Y., Jiang, T., Lin, Y., Cai, Y., Weng, Q., Pang, J., & Chen, J. (2025). One-Step Synthesis of Tea Polyphenol–Iron Nanoparticles for Enhanced Antioxidant and Antibacterial Properties. Foods, 14(24), 4337. https://doi.org/10.3390/foods14244337

