Impact of Alcohol Content on Alcohol–Ester Interactions in Qingxiangxing Baijiu Through Threshold Analysis
Abstract
1. Introduction
2. Materials and Methods
2.1. Sample Collection
2.2. Reagents
2.3. Physicochemical Analysis
2.4. Sensory Evaluation
2.4.1. Descriptive Analysis of the Aroma Profiles
2.4.2. Electronic Nose Analysis
2.5. GC-FID Analysis
2.6. Determination of Lactic Acid Content by HPLC
2.7. Determination of OT
2.8. OAV Analysis of Interactions Between Alcohols and Esters
2.9. S-Curve Analysis of Interactions Between Alcohols and Esters
2.10. Verification Experiment
2.11. Statistical Analysis
3. Results and Discussion
3.1. Determination of Physicochemical Analysis of QXB
3.2. Sensory Analysis of QXB with Different Alcohol Contents
3.3. Analysis of Aroma-Active Compounds in QXB with Different Alcohol Contents
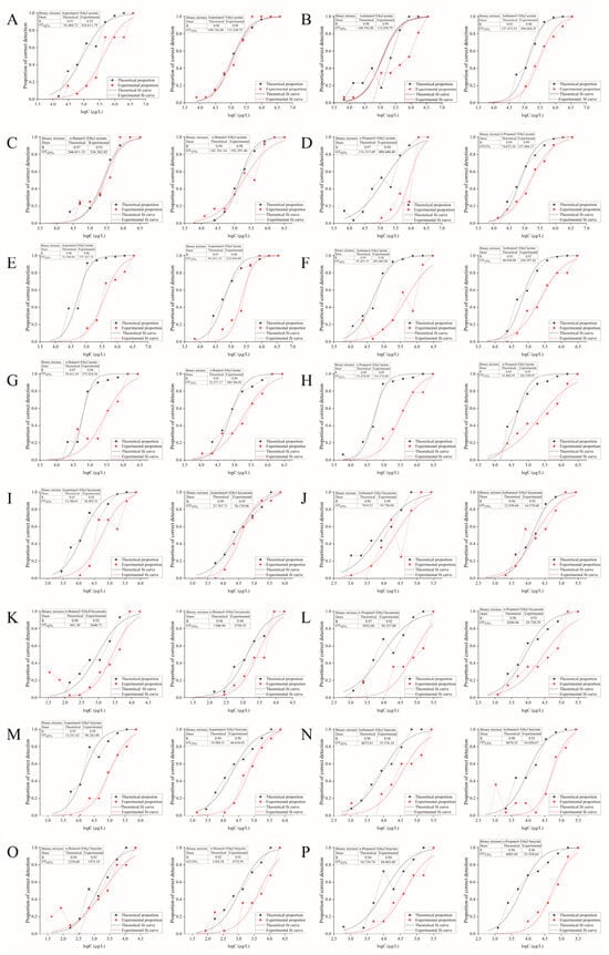
3.4. Determination of OT of Main Alcohol and Ester in Different Alcohol Contents
3.4.1. The Effect of Ethanol Content on the OT of the Single Alcohol or Esters Compounds
3.4.2. The Effect of Ethanol Concentration on the OT of Binary Mixtures of Alcohol and Esters
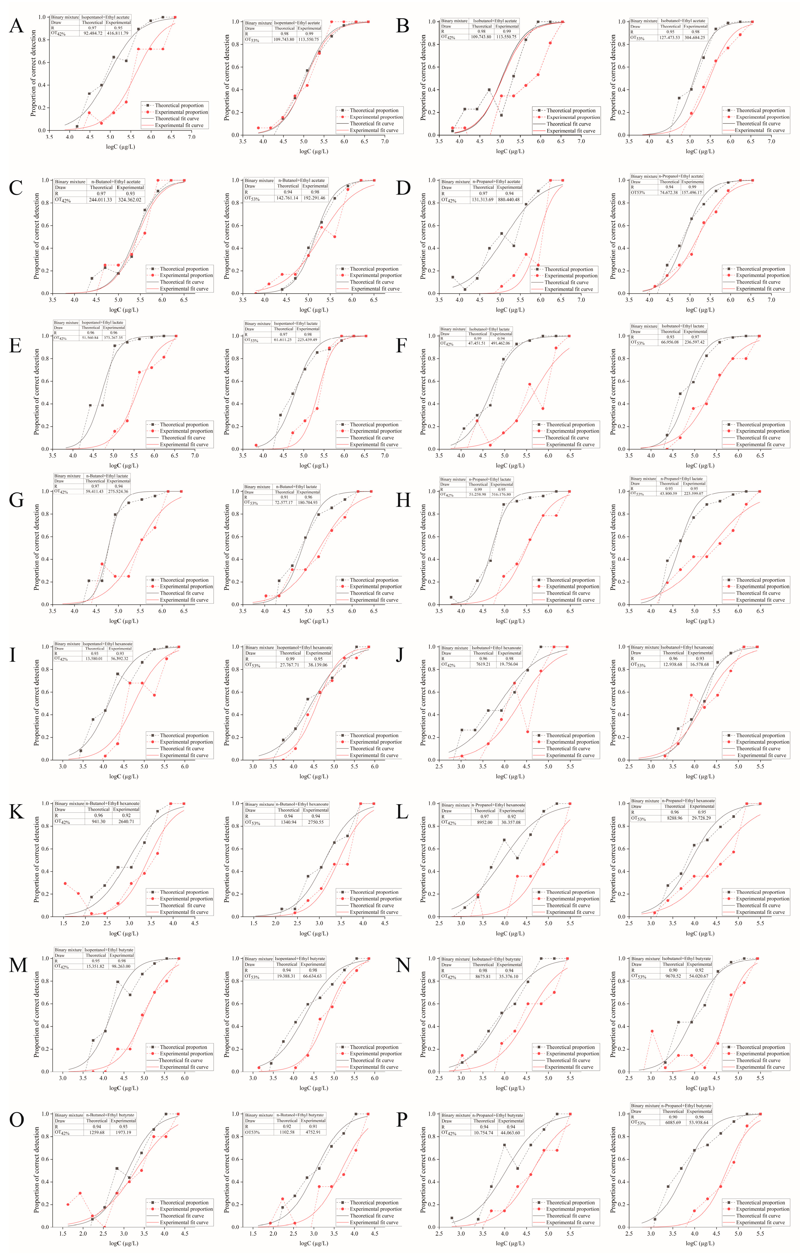
3.5. The Effect of Ethanol Concentration on the Interaction of Binary Mixtures of Alcohol and Esters
3.5.1. Analysis of Interactions Between Binary Mixtures Based on S-Curve
3.5.2. Analysis of Interactions Between Binary Mixtures Based on OAV
3.6. Verification Experiment: The Masking Effect of Alcohol–Ester Binary Mixtures Is Weaker in Higher Concentration Ethanol Aqueous Solutions
4. Conclusions
Supplementary Materials
Author Contributions
Funding
Institutional Review Board Statement
Informed Consent Statement
Data Availability Statement
Conflicts of Interest
Abbreviations
| OT | Olfactory threshold |
| OAV | Olfactory threshold |
| QXB | Qingxiangxing Baijiu |
| NXB | Nongxiangxing Baijiu |
| JXB | Jiangxiangxing Baijiu |
| GC-FID | Gas chromatography flame ionization detection |
| HPLC | High-performance liquid chromatography |
| 3-AFC | Three-alternative forced-choice |
| L-QX | Baijiu with alcohol contents of 42% (Reduced alcohol) |
| H-QX | Baijiu with alcohol contents of 53% (Hight alcohol) |
| QDA | Quantitative descriptive analysis |
| E-nose | Electronic nose |
| RM | Recomposed model |
References
- Li, D.H.; Li, G.H. Taste changes and technological progress in Chinese liquor. Liquor. Mak 2020, 47, 2–5. [Google Scholar]
- Sun, Y.Y.; Zhang, H.Y.; Zhang, H.; Huang, J.H.; Du, L.P.; Wang, J. Comprehensive investigation of grade-specific aroma signatures in nongxiangxing baijiu using flavoromics approaches. Foods 2025, 14, 3781 . [Google Scholar] [CrossRef]
- Zhang, Y.; Yan, D.B.; Hu, J.H.; Zhang, J.J.; Chen, B.; Zhao, J.S.; Han, X.L. Overview of the development of light-flavor Baijiu. China Brew. 2024, 43, 1–8. [Google Scholar]
- Zhang, X.X.; Liu, G.Y.; Zha, H.R. Investigation on the flavor substance composition and formation causes of different aroma types of Chinese baijiu. Liquor Mak. 2025, 52, 5–8. [Google Scholar]
- GB/T 15109—2021; Terminology of Baijiu Industry. International Organization for Standardization: Beijing, China, 2022.
- Wang, C.R. Research on liquor flavor types & their flavoring characteristics. Liquor.-Mak. Sci. Technol. 2008, 10, 49–52. [Google Scholar]
- Wang, Z.; Ye, H.; Zhu, T.T.; Huang, M.Q.; Wei, J.W.; Wu, J.H.; Zhang, J.L. Progress in research on the flavor components of light-flavor baijiu. Food Sci. 2022, 43, 232–244. [Google Scholar] [CrossRef]
- Li, J.H.; Liu, Y.J.; Sui, L.N.; Yang, P.P.; Wang, Y. Research progress on ethyl hexanoate-increasing and ethyl lactate-decreasing of Strong-Flavor Baijiu. China Brew. 2019, 38, 1–4. [Google Scholar] [CrossRef]
- Hu, X.L.; Tian, R.J.; Fan, J.H.; Han, S.H.; Li, J.M.; Li, H.; Wang, Y.P.; He, P.X. Research progress on the aroma contribution and their regional characteristics of volatile compounds in Chinese strong-flavor baijiu. J. Light Ind. 2022, 37, 1–14. [Google Scholar] [CrossRef]
- He, P.H.; Hu, X.L.; Zheng, Y.; Shen, X.K.; Li, S.L.; Li, X.S.; Fan, H.B. Research and application progress of “Ethyl caproate-increasing and ethyl lactate-decreasing” in brewing of Chinese Luzhou-Flavor liquor. J. Light Ind. 2018, 33, 1–12. [Google Scholar] [CrossRef]
- Ma, L.J.; Huang, S.Y.; Du, L.P.; Tang, P.; Xiao, D.G. Reduced production of higher alcohols by saccharomyces cerevisiae in red wine fermentation by simultaneously overexpressing BAT1 and deleting BAT2. J. Agric. Food Chem. 2017, 65, 6936–6942. [Google Scholar] [CrossRef]
- Lachenmeier, D.W.; Haupt, S.; Schulz, K. Defining maximum levels of higher alcohols in alcoholic beverages and surrogate alcohol products. Regul. Toxicol. Pharmacol. 2008, 50, 313–321. [Google Scholar] [CrossRef]
- Han, Q.; Shi, J.L.; Zhu, J.; Lv, H.L.; Du, S.K. Enzymes Extracted from apple peels have activity in reducing higher alcohols in Chinese liquors. J. Agric. Food Chem. 2014, 62, 9529–9538. [Google Scholar] [CrossRef]
- Wang, Z.; Zhang, M.S.; Sun, X.Z.; Xiong, D.; Yang, H. Analysis of key flavor components in xiaoqu mild-flavor Baijiu. Food Sci. 2022, 43, 264–271. [Google Scholar] [CrossRef]
- Zhao, H.; Chai, L.J.; Zhang, W.; Zhang, X.J.; Lu, Z.M.; Wang, S.T.; Shen, C.H.; Shi, J.S.; Xu, Z.H. Changes in flavor profile of Sauce-Flavor Baijiu: Perceptual interactions between 1-Propanol and aroma compounds. Food Chem. X 2025, 25, 102153. [Google Scholar] [CrossRef]
- Rumgay, H.; Shield, K.; Charvat, H.; Ferrari, P.; Sornpaisarn, B.; Obot, I.; Islami, F.; Lemmens, V.; Rehm, J.; Soerjomataram, I. Global burden of cancer in 2020 attributable to alcohol consumption: A population-based study. Cancer Epidemiol. Biomark. Prev. 2021, 30, 43. [Google Scholar] [CrossRef]
- Ickes, C.M.; Cadwallader, K.R. Effect of ethanol on flavor perception of rum. Food Sci. Nutr. 2018, 6, 912–924. [Google Scholar] [CrossRef]
- Ickes, C.M.; Cadwallader, K.R. Effects of ethanol on flavor perception in alcoholic beverages. Chemosens. Percept. 2017, 10, 119–134. [Google Scholar] [CrossRef]
- Conner, J.M.; Piggott, J.R.; Paterson, A. Agglomeration of ethyl esters in model spirit solutions and malt whiskies. J. Sci. Food Agric. 1994, 66, 45–53. [Google Scholar] [CrossRef]
- Lytra, G.; Tempere, S.; Le Floch, A.; de Revel, G.; Barbe, J.C. Study of sensory interactions among red wine fruity esters in a model solution. J. Agric. Food Chem. 2013, 61, 8504–8513. [Google Scholar] [CrossRef] [PubMed]
- Yang, X.S. Based on the analysis of physicochemical indicators and sensory evaluation of characteristic liquor samples. Liquor Mak. 2025, 52, 146–148. [Google Scholar]
- Liang, M.H.; Chen, L.J.; Li, Z.P.; Bai, W.D.; Fei, Y.T.; Zhao, W.H. Quality and flavor sensory analysis of commercially available chi-flavored liquor. J. Food Saf. Qual. 2024, 15, 80–88. [Google Scholar] [CrossRef]
- Li, J.M. Variation Patterns of total esters and total acids during storage of Luzhou-Flavor baijiu. Liquor. Mak. 2007, 3, 92–94. [Google Scholar] [CrossRef]
- Zhang, X.Y.; Xu, Y.; Wang, D.; Chen, S. Characterization of volatile compounds in high-quality low-alcohol and high-alcohol strong-aroma type Baijiu. Food Ferment. Ind. 2020, 46, 66–71. [Google Scholar] [CrossRef]
- Luo, G.J.; Yi, X.; Zhu, C.; Ni, S.G.; Zhan, S.; Chen, C.; Wan, L.; Guan, Y.; Wu, X.; Le, X.X.; et al. Effect of different treatment methods on the quality of low-alcohol Qingxiang Baijiu. Liquor.-Mak. Sci. Technol. 2025, 5, 54–60. [Google Scholar] [CrossRef]
- Zhang, J.; Lu, J.L.; Yu, X.W.; Chen, S.; Xu, Y. Characterization of aroma differences in Jiangxiangxing Baijiu with varying ethanol concentrations: Emphasis on olfactory threshold changes of aroma compounds. Food Chem. 2025, 469, 142506. [Google Scholar] [CrossRef]
- Peng, Z.F.; Zhao, D.; Zheng, J.; Yuan, J.B.; Cao, H.Y.; Peng, Z.Y. Comparison of flavor characteristics between low-alcohol and high-alcohol Wuliangye by using modern flavor chemistry technology. Liquor.-Mak. Sci. Technol. 2018, 12, 17–22. [Google Scholar] [CrossRef]
- Niu, Y.W.; Zhu, Q.; Xiao, Z.B. Characterization of perceptual interactions among ester aroma compounds found in Chinese Moutai Baijiu by gas chromatography-olfactometry, odor intensity, olfactory threshold and odor activity value. Food Res. Int. 2020, 131, 108986. [Google Scholar] [CrossRef]
- GB/T 10781.2—2022; Quality Requirements for Baijiu-Part 2: Qingxiangxing Baijiu. International Organization for Standardization: Beijing, China, 2022.
- GB12456-2021; National Food Safety Standard—Determination of Total Acids in Foods. International Organization for Standardization: Beijing, China, 2021.
- GB10345-2022; Method of Analysis for Baijiu. International Organization for Standardization: Beijing, China, 2022.
- Dai, Y.F.; Shao, J.Q.; Yang, S.X.; Sun, B.G.; Liu, Y.G.; Ning, T.; Tian, H.Y. Enantioselective syntheses and sensory properties of 2-Methyl-tetrahydrofuran-3-thiol Acetates. J. Agric. Food Chem. 2015, 63, 464–468. [Google Scholar] [CrossRef]
- Zhou, R.; Yuan, Q.; Xia, Y.; Zheng, Y.L.; Fan, S.L. Application of electronic nose technology in distinguishing the strong-sauce-flavor aged baijiu. China Brew. 2020, 39, 65–69. [Google Scholar] [CrossRef]
- Fan, S.X.; Li, Y.C.; Yang, B.; Zhang, X.; Wang, F.X.; Gao, X.J.; Yue, H.W.; Wu, Z.Y.; Xu, Z.W.; Zhou, D.; et al. Qingxiangxing baijiu sensory quality grade classification by 1 H NMR and GC combined with multivariate statistical analysis. Food Control 2024, 162, 110419. [Google Scholar] [CrossRef]
- Coelho, E.M.; Padilha, C.V.D.; Miskinis, G.A.; de So, A.G.B.; Pereira, G.E.; de Azevêdo, L.C.; Lima, M.D. Simultaneous analysis of sugars and organic acids in wine and grape juices by HPLC: Method validation and characterization of products from northeast Brazil. J. Food Compos. Anal. 2018, 66, 160–167. [Google Scholar] [CrossRef]
- GB/T 22366-2022; Sensory analysis - Methodology - General Guidance for Measuring Odour, Flavour and Taste Detection Thresholds by a Three-Alternative Forced-Choice (3-AFC) Procedure. International Organization for Standardization: Beijing, China, 2022.
- William, F.; Philip, M.M. An Introduction to probability theory and its applications. Phys. Today 1958, 11, 32. [Google Scholar] [CrossRef]
- Niu, Y.W.; Zhu, Q.; Xiao, Z.B.; Liu, Y. Method for Studying the Synergistic Effect of Ester Aroma in Maotai Liquor Based on OAV Method. China Patent CN110133143A, 16 August 2019. [Google Scholar]
- Xiao, Z.B.; Yang, E.Q.; Zhu, J.C.; Niu, Y.W. Method for Analyzing Odor Interactions Based on S-Shaped Curve Method. China Patent CN116539808A, 4 August 2023. [Google Scholar]
- Liu, Q.; Li, H.; Yang, M.M.; Yang, Z.J.; Chen, L. Main physicochemical quality indicators of base spirit of geographical indication product Yibin spirit. Food Sci. 2018, 39, 206–211. [Google Scholar]
- Cheng, J.Y.; Zheng, L.; Zhao, J.L.; Yu, M.H.; Cao, R.; Wang, D.; Li, J.; Zhou, L.Y. Study on the effect of microwaved brewer’s spent grains on the quality and flavor characteristics of bread. Foods 2024, 13, 461. [Google Scholar] [CrossRef]
- A, R.H.; Hao, L.G.; Pu, Y.E.; Dong, L.S.; Xiao, Y.J.; LI, A.J.; Chen, G.L.; Sun, Z.W.; He, M.C.; Han, X.L.; et al. Flavor and sensory aAnalysis of Yulinquan Xiaoqu Qingxiang crude liquor and finished liquor. Liquor.-Mak. Sci. Technol. 2024, 10, 65–72+79. [Google Scholar] [CrossRef]
- Lu, J.L.; Zheng, J.; Zhao, D.; Xu, Y.; Chen, S. The effect of ethanol on the compound thresholds and aroma perception in Chinese baijiu. Molecules 2025, 30, 933. [Google Scholar] [CrossRef] [PubMed]
- Wang, G.N.; Jing, S.; Wang, X.L.; Zheng, F.P.; Li, H.H.; Sun, B.G.; Li, Z.X. Evaluation of the perceptual interaction among ester odorants and nonvolatile organic acids in baijiu by GC-MS, GC-O, odor threshold, and sensory analysis. J. Agric. Food Chem. 2022, 70, 13987–13995. [Google Scholar] [CrossRef]
- Zhu, J.C.; Chen, F.; Wang, L.Y.; Niu, Y.W.; Xiao, Z.B. Evaluation of the synergism among volatile compounds in Oolong Tea infusion by odour threshold with sensory analysis and E-nose. Food Chem. 2017, 221, 1484–1490. [Google Scholar] [CrossRef]
- Selfridge, T.B.; Amerine, M.A. Odor thresholds and interactions of ethyl acetate and diacetyl in an artificial wine medium. Am. J. Enol. Vitic. 1978, 29, 1–6. [Google Scholar] [CrossRef]
- Culleré, L.; Escudero, A.; Cacho, J.; Ferreira, V. Gas chromatography-olfactometry and chemical quantitative study of the aroma of six premium quality Spanish aged red wines. J. Agric. Food Chem. 2004, 52, 1653–1660. [Google Scholar] [CrossRef] [PubMed]
- Atanasova, B.; Thomas-Danguin, T.; Langlois, D.; Nicklaus, S.; Chabanet, C.; Etiévant, P. Perception of wine fruity and woody notes: Influence of peri-threshold odorants. Food. Qual. Prefer. 2005, 16, 504–510. [Google Scholar] [CrossRef]
- Niu, Y.W.; Yao, Z.M.; Xiao, Z.B.; Zhu, G.Y.; Zhu, J.C.; Chen, J.Y. Sensory evaluation of the synergism among ester odorants in light aroma type liquor by odor threshold, aroma intensity and flash GC electronic nose. Food Res. Int. 2018, 113, 102–114. [Google Scholar] [CrossRef] [PubMed]





| Aroma Attribute | Definition | Reference Sample | Score |
|---|---|---|---|
| Floral | Floral aroma similar to fresh flowers in baijiu | 2.89 mg/L phenethyl alcohol in 50% ethanol-water solution | 5 |
| Fruity | Fruity aroma similar to ripe fruits in baijiu | 8.15 mg/L ethyl butyrate in 50% ethanol-water solution | 5 |
| Sweet | Sweet aroma similar to honey and sweet fruits in baijiu | 9.1 mg/L γ-Nonalactone in 50% ethanol-water solution | 5 |
| Grassy | The grassy aroma in Baijiu | 2 mg/L hexanal in a 50% ethanol aqueous solution | 5 |
| Grainy | Aroma presented after fermentation and distillation of grain raw materials | 20 g sorghum steamed in boiling water for 30 min | 5 |
| Lees | Aroma characteristic similar to fermented distillers’ grains in baijiu | Distillers’ grains | 5 |
| Sour | Sour aroma characteristic similar to rotten fruits and vinegar in baijiu | Aged vinegar | 5 |
| Physicochemical Indices | L-QX | H-QX |
|---|---|---|
| Alcohol content (%) | 41.90 ± 0.08 | 52.90 ± 0.08 |
| Total acids (g/L) | 1.48 ± 0.01 | 1.20 ± 0.04 |
| Total esters (g/L) | 1.52 ± 0.02 | 2.05 ± 0.00 |
| No. | Compound | CAS | Calibration Equations | L-QX (mg/L) | H-QX (mg/L) |
|---|---|---|---|---|---|
| Esters | |||||
| A1 | Ethyl formate | 109-94-4 | y = 0.4893x + 0.1611 | ND | 5.59 ± 0.13 b |
| A2 | Ethyl acetate | 141-78-6 | y = 0.7176x − 2.4239 | 1043.94 ± 4.06 a | 1580.04 ± 0.01 b |
| A3 | Ethyl butyrate | 105-54-4 | y = 1.1186x + 0.2588 | 1.15 ± 0.05 a | 5.69 ± 0.85 b |
| A4 | Ethyl isovalerate | 108-64-5 | y = 2.0679x + 0.113 | ND | 0.3 ± 0.01 b |
| A5 | Ethyl 2-methylbutanoate | 7452-79-1 | y = 1.0497x + 0.5285 | ND | 2.69 ± 0.24 b |
| A6 | Isoamyl acetate | 123-92-2 | y = 1.1373x − 0.0158 | ND | 3.46 ± 0.01 b |
| A7 | Ethyl valerate | 539-82-2 | y = 1.0635x + 0.2343 | ND | 6.2 ± 0.15 b |
| A8 | Ethyl hexanoate | 123-66-0 | y = 1.2155x + 0.1776 | 2.03 ± 0.01 a | 3.66 ± 0.16 b |
| A9 | Ethyl lactate | 97-64-3 | y = 0.6042x + 5.3709 | 935.15 ± 3.83 a | 1362.66 ± 6.50 b |
| A10 | Ethyl octanoate | 106-32-1 | y = 1.2534x + 0.0205 | ND | 3.02 ± 0.07 b |
| A11 | Ethyl decanoate | 110-38-3 | y = 0.2538x + 0.098 | ND | 6.36 ± 0.03 b |
| A12 | Ethyl nonanoate | 123-29-5 | y = 1.3123x + 0.0169 | ND | 8.66 ± 0.47 b |
| A13 | Ethyl benzoate | 93-89-0 | y = 1.3057x + 0.0561 | 5.56 ± 0.04 a | 7.71 ± 0.06 b |
| A14 | Ethyl leucinate | 868-27-5 | y = 1.4736x − 0.281 | 1.7 ± 0.13 a | 2.01 ± 0.14 b |
| A15 | Diethyl malonate | 105-53-3 | y = 1.2578x − 0.3274 | 0.94 ± 0.01 a | 1 ± 0.01 b |
| A16 | Diethyl succinate | 123-25-1 | y = 1.6106x − 0.2499 | 1.13 ± 0.18 a | 1.41 ± 0.01 a |
| A17 | Ethyl tridecanoate | 28,267-29-0 | y = 3.2391x − 0.3713 | 0.43 ± 0.01 a | 0.5 ± 0.01 b |
| Alcohols | |||||
| B1 | Methanol | 67-56-1 | y = 0.5661x + 3.995 | 46.46 ± 1.41 a | 37.58 ± 3.21 b |
| B2 | n-Propanol | 71-23-8 | y = 1.0113x + 0.5785 | 103.9 ± 0.83 a | 152.17 ± 1.59 b |
| B3 | Isobutanol | 78-83-1 | y = 1.1662x + 0.4051 | 96.41 ± 0.48 a | 130.48 ± 0.29 b |
| B4 | n-Butanol | 71-36-3 | y = 0.2577x + 0.0066 | 3.55 ± 0.15 a | 5.17 ± 0.11 b |
| B5 | Active amyl alcohol | 137-32-6 | y = 0.2549x − 0.6288 | 42.76 ± 0.01 a | 62.77 ± 0.29 b |
| B6 | Isopentanol | 123-51-3 | y = 1.2562x + 0.4895 | 251.43 ± 1.50 a | 352.93 ± 0.94 b |
| B7 | n-Hexanol | 111-27-3 | y = 0.2637x − 0.0263 | 2.01 ± 0.17 a | 2.73 ± 0.24 b |
| B8 | 2,3-Butanediol | 513-85-9 | y = 0.7996x − 0.7173 | 7.15 ± 0.23a | 8.07 ± 0.20 b |
| B9 | 2-Phenylethanol | 60-12-8 | y = 1.4761x + 0.3748 | 3.3 ± 0.23 a | 4.07 ± 0.05 b |
| Acids | |||||
| C1 | Acetic acid | 64-19-7 | y = 0.3938x − 9.5445 | 497.58 ± 6.71 a | 630.81 ± 0.18 b |
| C2 | Propionic acid | 79-09-4 | y = 0.5853x − 0.7433 | ND | 13.68 ± 1.38 b |
| C3 | Isobutyric acid | 79-31-2 | y = 0.8139x − 0.0934 | 7.34 ± 0.63 a | 8.84 ± 0.37 b |
| C4 | Isovaleric acid | 503-74-2 | y = 0.9433x − 0.0793 | ND | 5.27 ± 0.50 b |
| C5 | Lactic acid | 50-21-5 | y = 0.6465x − 1.4017 | 660.42 ± 0.16 a | 620.22 ± 0.09 b |
| Ketones | |||||
| D1 | Acetoin | 513-86-0 | y = 0.8023x + 0.1368 | 5.5 ± 0.03 a | 4.86 ± 0.21 b |
| Aldehydes | |||||
| E1 | Acetaldehyde | 75-07-0 | y = 0.4234x + 2.0894 | 123.92 ± 0.96 a | 138.87 ± 1.46 b |
| E2 | Acetal | 105-57-7 | y = 0.2216x − 0.7878 | 91.35 ± 0.53 a | 102.38 ± 2.22 b |
| E3 | Isobutyraldehyde | 78-84-2 | y = 0.0426x − 0.0449 | 9.07 ± 0.28 a | 20 ± 0.64 b |
| E4 | Furfural | 98-01-8 | y = 0.8353x + 3.0736 | 20.06 ± 0.95 a | 19.37 ± 0.85 a |
| No. | Binary Mixture | 42% | Interaction Relationship | 53% | Interaction Relationship |
|---|---|---|---|---|---|
| D | D | ||||
| 1 | Isopentanol + Ethyl acetate | 4.51 | Masking | 1.03 | Masking |
| 2 | Isobutanol + Ethyl acetate | 3.48 | Masking | 2.39 | Masking |
| 3 | n-Butanol + Ethyl acetate | 1.33 | Masking | 1.35 | Masking |
| 4 | n-Propanol + Ethyl acetate | 6.70 | Masking | 2.11 | Masking |
| 5 | Isopentanol + Ethyl lactate | 7.24 | Masking | 3.66 | Masking |
| 6 | Isobutanol + Ethyl lactate | 10.36 | Masking | 3.53 | Masking |
| 7 | n-Butanol + Ethyl lactate | 4.64 | Masking | 2.49 | Masking |
| 8 | n-Propanol + Ethyl lactate | 6.17 | Masking | 5.10 | Masking |
| 9 | Isopentanol + Ethyl hexanoate | 4.15 | Masking | 1.37 | Masking |
| 10 | Isobutanol + Ethyl hexanoate | 2.59 | Masking | 1.28 | Masking |
| 11 | n-Butanol + Ethyl hexanoate | 2.81 | Masking | 2.05 | Masking |
| 12 | n-Propanol + Ethyl hexanoate | 3.39 | Masking | 3.59 | Masking |
| 13 | Isopentanol + Ethyl butyrate | 6.40 | Masking | 3.44 | Masking |
| 14 | Isobutanol + Ethyl butyrate | 4.08 | Masking | 5.59 | Masking |
| 15 | n-Butanol + Ethyl butyrate | 1.57 | Masking | 4.31 | Masking |
| 16 | n-Propanol + Ethyl butyrate | 4.10 | Masking | 8.86 | Masking |
| No. | Binary Mixture | 42% | Interaction Relationship | 53% | Interaction Relationship |
|---|---|---|---|---|---|
| X | X | ||||
| 1 | Isopentanol + Ethyl acetate | 2.54 | Masking | 1.02 | Masking |
| 2 | Isobutanol + Ethyl acetate | 5.69 | Masking | 2.80 | Masking |
| 3 | n-Butanol + Ethyl acetate | 2.21 | Masking | 2.02 | Masking |
| 4 | n-Propanol + Ethyl acetate | 2.97 | Masking | 1.52 | Masking |
| 5 | Isopentanol + Ethyl lactate | 1.25 | Masking | 1.07 | Masking |
| 6 | Isobutanol + Ethyl lactate | 3.33 | Masking | 1.40 | Masking |
| 7 | n-Butanol + Ethyl lactate | 1.05 | Masking | 1.21 | Masking |
| 8 | n-Propanol + Ethyl lactate | 1.14 | Masking | 1.24 | Masking |
| 9 | Isopentanol + Ethyl hexanoate | 1.34 | Masking | 1.49 | Masking |
| 10 | Isobutanol + Ethyl hexanoate | 1.04 | Masking | 1.04 | Masking |
| 11 | n-Butanol + Ethyl hexanoate | 1.08 | Masking | 1.17 | Masking |
| 12 | n-Propanol + Ethyl hexanoate | 1.31 | Masking | 1.17 | Masking |
| 13 | Isopentanol + Ethyl butyrate | 3.44 | Masking | 3.29 | Masking |
| 14 | Isobutanol + Ethyl butyrate | 4.37 | Masking | 5.03 | Masking |
| 15 | n-Butanol + Ethyl butyrate | 4.20 | Masking | 5.12 | Masking |
| 16 | n-Propanol + Ethyl butyrate | 3.51 | Masking | 2.48 | Masking |
Disclaimer/Publisher’s Note: The statements, opinions and data contained in all publications are solely those of the individual author(s) and contributor(s) and not of MDPI and/or the editor(s). MDPI and/or the editor(s) disclaim responsibility for any injury to people or property resulting from any ideas, methods, instructions or products referred to in the content. |
© 2025 by the authors. Licensee MDPI, Basel, Switzerland. This article is an open access article distributed under the terms and conditions of the Creative Commons Attribution (CC BY) license (https://creativecommons.org/licenses/by/4.0/).
Share and Cite
Zhang, H.; Zheng, L.; Zhu, K.; Liu, T.; Yang, L.; Ma, L.; Zhang, X.; Yuan, L.; Du, L. Impact of Alcohol Content on Alcohol–Ester Interactions in Qingxiangxing Baijiu Through Threshold Analysis. Foods 2025, 14, 4290. https://doi.org/10.3390/foods14244290
Zhang H, Zheng L, Zhu K, Liu T, Yang L, Ma L, Zhang X, Yuan L, Du L. Impact of Alcohol Content on Alcohol–Ester Interactions in Qingxiangxing Baijiu Through Threshold Analysis. Foods. 2025; 14(24):4290. https://doi.org/10.3390/foods14244290
Chicago/Turabian StyleZhang, Huan, Liuyan Zheng, Kaixuan Zhu, Tianxu Liu, Lexuan Yang, Lijuan Ma, Xin Zhang, Lin Yuan, and Liping Du. 2025. "Impact of Alcohol Content on Alcohol–Ester Interactions in Qingxiangxing Baijiu Through Threshold Analysis" Foods 14, no. 24: 4290. https://doi.org/10.3390/foods14244290
APA StyleZhang, H., Zheng, L., Zhu, K., Liu, T., Yang, L., Ma, L., Zhang, X., Yuan, L., & Du, L. (2025). Impact of Alcohol Content on Alcohol–Ester Interactions in Qingxiangxing Baijiu Through Threshold Analysis. Foods, 14(24), 4290. https://doi.org/10.3390/foods14244290

