Anti-Inflammatory Activity-Guided Isolation and In Silico Validation of Turmeric (Curcuma longa L.) Phytochemicals
Abstract
1. Introduction
2. Materials and Methods
2.1. General Experiment Procedures
2.2. Plant Materials
2.3. Extraction and Isolation
2.4. Spectroscopy Data
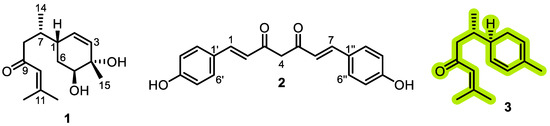
2.4.1. Bisacurone (1)
2.4.2. Didemethoxycurcumin (2)
2.4.3. β-Turmerone (3)
2.5. GC-MS Analysis of the Active Fractions
2.6. Anti-Inflammatory Assay
2.7. Brine Shrimp Lethality Test (BSLT)
2.8. Computational Detail
2.8.1. Data Preparation
2.8.2. Molecular Docking
2.8.3. Molecular Dynamics (MD) Simulation
2.9. Data Analysis
3. Results and Discussion
3.1. Isolation of Bioactive Compounds
3.2. Bioactivities of Curcuma longa L. Fractions and Isolated Compounds
3.2.1. Anti-Inflammatory Activity
3.2.2. Cytotoxicity Activity (Brine Shrimp Lethality Assay)
3.3. Phytochemical Identification Through GC-MS Analysis
3.4. Computational Studies
3.4.1. Docked Conformation
3.4.2. Conformational Dynamics: Stability, Flexibility, and Rigidity
3.4.3. Binding Orientations: Energy Decomposition and Free Energy Binding
4. Conclusions
Supplementary Materials
Author Contributions
Funding
Institutional Review Board Statement
Informed Consent Statement
Data Availability Statement
Acknowledgments
Conflicts of Interest
References
- Omosa, L.K.; Midiwo, J.O.; Kuete, V. Chapter 19-Curcuma longa. In Medicinal Spices and Vegetables from Africa; Kuete, V., Ed.; Academic Press: San Diego, CA, USA, 2017; pp. 425–435. [Google Scholar] [CrossRef]
- Dosoky, N.S.; Setzer, W.N. Chemical composition and biological activities of essential oils of Curcuma species. Nutrients 2018, 10, 1196. [Google Scholar] [CrossRef]
- Ayati, Z.; Ramezani, M.; Amiri, M.S.; Moghadam, A.T.; Rahimi, H.; Abdollahzade, A.; Sahebkar, A.; Emami, S.A. Ethnobotany, phytochemistry and traditional uses of Curcuma spp. and pharmacological profile of two important species (C. longa and C. zedoaria): A review. Curr. Pharm. Des. 2019, 25, 871–935. [Google Scholar] [CrossRef]
- Saha, S. The ethonomedical profiles and pharmacological properties of phytochemicals from Curcuma longa Linn. -A decade update. ChemistrySelect 2024, 9, e202402443. [Google Scholar] [CrossRef]
- Hafez Ghoran, S.; Calcaterra, A.; Abbasi, M.; Taktaz, F.; Nieselt, K.; Babaei, E. Curcumin-based nanoformulations: A promising adjuvant towards cancer treatment. Molecules 2022, 27, 5236. [Google Scholar] [CrossRef]
- Jyotirmayee, B.; Mahalik, G. A review on selected pharmacological activities of Curcuma longa L. Int. J. Food Prop. 2022, 25, 1377–1398. [Google Scholar] [CrossRef]
- Zhu, X.; Quan, Y.-Y.; Yin, Z.-J.; Li, M.; Wang, T.; Zheng, L.-Y.; Feng, S.-Q.; Zhao, J.-N.; Li, L. Sources, morphology, phytochemistry, pharmacology of Curcumae longae Rhizoma, Curcumae Radix, and Curcumae Rhizoma: A review of the literature. Front. Pharmacol. 2023, 14, 1229963. [Google Scholar] [CrossRef] [PubMed]
- Jikah, A.N.; Edo, G.I. Turmeric (Curcuma longa): An insight into its food applications, phytochemistry and pharmacological properties. Vegetos 2025, 38, 845–866. [Google Scholar] [CrossRef]
- Fu, Y.-S.; Chen, T.-H.; Weng, L.; Huang, L.; Lai, D.; Weng, C.-F. Pharmacological properties and underlying mechanisms of curcumin and prospects in medicinal potential. Biomed. Pharmacother. 2021, 141, 111888. [Google Scholar] [CrossRef] [PubMed]
- Kacena, C. Effects of the curcuminoid and non-curcuminoid compounds of turmeric on the gut microbiome and inflammation: Potential use in the treatment and prevention of disease. Nutr. Rev. 2025, 83, 1771–1783. [Google Scholar] [CrossRef]
- Moulick, S.P.; Al Bashera, M.; Jahan, F.; Uddin, N.; Rana, G.M.; Islam, M.B.; Islam, F.; Hasan, M.S.; Ahmed, S. Turmeric (Curcuma longa L.) extract in different solvents: A comparative study of curcuminoid content, volatile compounds, and antimicrobial activity with molecular docking insights. Food Chem. Adv. 2025, 8, 101074. [Google Scholar] [CrossRef]
- Park, S.Y.; Jin, M.L.; Kim, Y.H.; Kim, Y.; Lee, S.J. Anti-inflammatory effects of aromatic-turmerone through blocking of NF-κB, JNK, and p38 MAPK signaling pathways in amyloid β-stimulated microglia. Int. Immunopharmacol. 2012, 14, 13–20. [Google Scholar] [CrossRef] [PubMed]
- Streyczek, J.; Apweiler, M.; Sun, L.; Fiebich, B.L. Turmeric extract (Curcuma longa) mediates anti-oxidative effects by reduction of nitric oxide, iNOS protein-, and mRNA-synthesis in BV2 microglial cells. Molecules 2022, 27, 784. [Google Scholar] [CrossRef] [PubMed]
- Aggarwal, B.B.; Yuan, W.; Li, S.; Gupta, S.C. Curcumin-free turmeric exhibits anti-inflammatory and anticancer activities: Identification of novel components of turmeric. Mol. Nutr. Food Res. 2013, 57, 1529–1542. [Google Scholar] [CrossRef] [PubMed]
- Poudel, D.K.; Ojha, P.K.; Rokaya, A.; Satyal, R.; Satyal, P.; Setzer, W.N. Analysis of volatile constituents in Curcuma species, viz. C. aeruginosa, C. zedoaria, and C. longa, from Nepal. Plants 2022, 11, 1932. [Google Scholar] [CrossRef]
- Le, T.H.; Bui, T.Q.; Dang, P.H.; Nguyen, H.X.; Van Do, T.N.; Nguyen, M.T.T.; Nguyen, N.T. Chemical properties and inhibitory activities of tyrosinase, α-glucosidase, and urease from chloroform extract of Curcuma aromatica Salisb. rhizomes. Vietnam J. Chem. 2023, 61, 60–65. [Google Scholar] [CrossRef]
- Araya-Sibaja, A.M.; Vargas-Huertas, F.; Quesada, S.; Azofeifa, G.; Vega-Baudrit, J.R.; Navarro-Hoyos, M. Characterization, antioxidant and cytotoxic evaluation of demethoxycurcumin and bisdemethoxycurcumin from Curcuma longa cultivated in costa rica. Separations 2024, 11, 23. [Google Scholar] [CrossRef]
- Yan, W.; Bowen, W.D.; Hopson, R.; Mathew, A.E.; Jacob, J.N. Biological studies of turmeric oil, Part 2: Isolation and characterization of turmeric oil components; Cytotoxic activity against pancreatic cancer cells. Nat. Prod. Commun. 2013, 8, 1934578X1300800633. [Google Scholar] [CrossRef]
- Adams, R.P. Identification of Essential Oil Components by Gas Chromatography/Mass Spectrometry, 4.1 ed.; Allured Publ Crop: Carol Steam, IL, USA, 2017. [Google Scholar]
- Mirahmad, A.; Hafez Ghoran, S.; Alipour, P.; Taktaz, F.; Hassan, S.; Naderian, M.; Moradalipour, A.; Faizi, M.; Kobarfard, F.; Ayatollahi, S.A. Oliveria decumbens Vent. (Apiaceae): Biological screening and chemical compositions. J. Ethnopharmacol. 2024, 318, 117053. [Google Scholar] [CrossRef]
- Blair-Johnson, M.; Fiedler, T.; Fenna, R. Human myeloperoxidase: Structure of a cyanide complex and its interaction with bromide and thiocyanate substrates at 1.9 Å resolution. Biochemistry 2001, 40, 13990–13997. [Google Scholar] [CrossRef]
- Cohen, A.J.; Mori-Sánchez, P.; Yang, W. Challenges for density functional theory. Chem. Rev. 2012, 112, 289–320. [Google Scholar] [CrossRef]
- Balius, T.E.; Tan, Y.S.; Chakrabarti, M. DOCK 6: Incorporating hierarchical traversal through precomputed ligand conformations to enable large-scale docking. J. Comput. Chem. 2024, 45, 47–63. [Google Scholar] [CrossRef] [PubMed]
- Brozell, S.R.; Mukherjee, S.; Balius, T.E.; Roe, D.R.; Case, D.A.; Rizzo, R.C. Evaluation of DOCK 6 as a pose generation and database enrichment tool. J. Comput.-Aided Mol. Des. 2012, 26, 749–773. [Google Scholar] [CrossRef]
- Allen, W.J.; Balius, T.E.; Mukherjee, S.; Brozell, S.R.; Moustakas, D.T.; Lang, P.T.; Case, D.A.; Kuntz, I.D.; Rizzo, R.C. DOCK 6: Impact of new features and current docking performance. J. Comput. Chem. 2015, 36, 1132–1156. [Google Scholar] [CrossRef]
- Case, D.A.; Cheatham III, T.E.; Darden, T.; Gohlke, H.; Luo, R.; Merz Jr, K.M.; Onufriev, A.; Simmerling, C.; Wang, B.; Woods, R.J. The Amber biomolecular simulation programs. J. Comput. Chem. 2005, 26, 1668–1688. [Google Scholar] [CrossRef]
- Mark, P.; Nilsson, L. Structure and dynamics of the TIP3P, SPC, and SPC/E water models at 298 K. J. Phys. Chem. A 2001, 105, 9954–9960. [Google Scholar] [CrossRef]
- Miller III, B.R.; McGee, T.D., Jr.; Swails, J.M.; Homeyer, N.; Gohlke, H.; Roitberg, A.E. MMPBSA. py: An efficient program for end-state free energy calculations. J. Chem. Theory Comput. 2012, 8, 3314–3321. [Google Scholar] [CrossRef] [PubMed]
- Lantz, R.; Chen, G.; Solyom, A.; Jolad, S.; Timmermann, B. The effect of turmeric extracts on inflammatory mediator production. Phytomedicine 2005, 12, 445–452. [Google Scholar] [CrossRef]
- Edwards, R.L.; Luis, P.B.; Nakashima, F.; Kunihiro, A.G.; Presley, S.-H.; Funk, J.L.; Schneider, C. Mechanistic differences in the inhibition of NF-κB by turmeric and its curcuminoid constituents. J. Agric. Food Chem. 2020, 68, 6154–6160. [Google Scholar] [CrossRef] [PubMed]
- Ravindran, J.; Subbaraju, G.V.; Ramani, M.V.; Sung, B.; Aggarwal, B.B. Bisdemethylcurcumin and structurally related hispolon analogues of curcumin exhibit enhanced prooxidant, anti-proliferative and anti-inflammatory activities in vitro. Biochem. Pharmacol. 2010, 79, 1658–1666. [Google Scholar] [CrossRef] [PubMed]
- Bagad, A.S.; Joseph, J.A.; Bhaskaran, N.; Agarwal, A. Comparative evaluation of anti-inflammatory activity of curcuminoids, turmerones, and aqueous extract of Curcuma longa. Adv. Pharmacol. Pharm. Sci. 2013, 2013, 805756. [Google Scholar] [CrossRef]
- Ramanaiah, I.; Bharathi, B.; Senthilkumar, A.; Sasikumar, M.; Joshua, A.J.; Deepak, M.; Amit, A.; Chandrasekaran, C.V. Anti-inflammatory activity of polysaccharide fraction of Curcuma longa extract (NR-INF-02). Anti-Inflamm. Anti-Allergy Agents Med. Chem. 2015, 14, 53–62. [Google Scholar] [CrossRef]
- Marennavar, S.; Shahapurmath, S.; Paneri, S.; Nayak, T.; Patil, A.; Jalalpure, S. Incorporation of standardised extract of Curcuma longa Linn into phytosomes and its evaluation for in vitro anti-inflammatory potential and Brine shrimp lethality assay. Int. J. Ayurvedic Med. 2024, 15, 111–116. [Google Scholar] [CrossRef]
- Nurcholis, W.; Khumaida, N.; Syukur, M.; Bintang, M. Variability of curcuminoid content and lack of correlation with cytotoxicity in ethanolic extracts from 20 accessions of Curcuma aeruginosa RoxB. Asian Pac. J. Trop. Dis. 2016, 6, 887–891. [Google Scholar] [CrossRef]
- Kirmani, F.; Saddiqe, Z.; Saleem, S.; Ali, F.; Haq, F.-u. Phytochemical investigation and antibacterial activity of Curcuma longa against multi-drug resistant bacteria. S. Afr. J. Bot. 2024, 164, 137–145. [Google Scholar] [CrossRef]
- Lee, J.; Jung, Y.; Shin, J.-H.; Kim, H.K.; Moon, B.C.; Ryu, D.H.; Hwang, G.-S. Secondary metabolite profiling of Curcuma species grown at different locations using GC/TOF and UPLC/Q-TOF MS. Molecules 2014, 19, 9535–9551. [Google Scholar] [CrossRef]
- Micheal, S.S.; Nuhu, A.M.; Abdullahi, M.G. Antimicrobial activities, GC-Ms composition and proximate analysis of volatile oil extract from tumeric rhizomes (Curcuma longa). Sci. World J. 2024, 19, 1214–1224. [Google Scholar] [CrossRef]
- Brogi, S.; Ramalho, T.C.; Kuca, K.; Medina-Franco, J.L.; Valko, M. In silico methods for drug design and discovery. Front. Chem. 2020, 8, 612. [Google Scholar] [CrossRef] [PubMed]
- Mohammed, N.; Mulugeta, E.; Garg, A.; Tadesse, A. Synthesis, molecular docking studies, and evaluation of antibacterial and antioxidant activities of pyrazoline derivatives. Results Chem. 2024, 8, 101570. [Google Scholar] [CrossRef]
- Khan, A.A.; Alsahli, M.A.; Rahmani, A.H. Myeloperoxidase as an active disease biomarker: Recent biochemical and pathological perspectives. Med. Sci. 2018, 6, 33. [Google Scholar] [CrossRef]
- Roe, D.R.; Cheatham III, T.E. PTRAJ and CPPTRAJ: Software for processing and analysis of molecular dynamics trajectory data. J. Chem. Theory Comput. 2013, 9, 3084–3095. [Google Scholar] [CrossRef]
- Lobanov, M.Y.; Bogatyreva, N.; Galzitskaya, O. Radius of gyration as an indicator of protein structure compactness. Mol. Biol. 2008, 42, 623–628. [Google Scholar] [CrossRef]
- Genheden, S.; Ryde, U. The MM/PBSA and MM/GBSA methods to estimate ligand-binding affinities. Expert Opin. Drug Discov. 2015, 10, 449–461. [Google Scholar] [CrossRef]
- Pace, C.N.; Fu, H.; Lee Fryar, K.; Landua, J.; Trevino, S.R.; Schell, D.; Thurlkill, R.L.; Imura, S.; Scholtz, J.M.; Gajiwala, K. Contribution of hydrogen bonds to protein stability. Protein Sci. 2014, 23, 652–661. [Google Scholar] [CrossRef] [PubMed]
- Yan, S.; Zhang, G.; Luo, W.; Xu, M.; Peng, R.; Du, Z.; Liu, Y.; Bai, Z.; Xiao, X.; Qin, S. PROTAC technology: From drug development to probe technology for target deconvolution. Eur. J. Med. Chem. 2024, 276, 116725. [Google Scholar] [CrossRef] [PubMed]
- Qin, S.; Xiao, X. Key advances and application prospects of PROTAC technologies in the next 5 years. Future Med. Chem. 2025, 17, 987–989. [Google Scholar] [CrossRef] [PubMed]







| Sample | IC50 (µg/mL) ± SD |
|---|---|
| n-Hexane fraction | 5.4 ± 1.2 |
| DCM fraction | 0.4 |
| EtOAc fraction | 1.3 ± 0.3 |
| n-Butanol fraction | 8.7 ± 0.8 |
| Aqueous fraction | NA b |
| Didemethoxycurcumin 2 | 45.5 ± 0.8 |
| β-Turmerone 3 | 4.7 ± 0.6 |
| Ibuprofen a | 11.2 ± 1.9 |
Disclaimer/Publisher’s Note: The statements, opinions and data contained in all publications are solely those of the individual author(s) and contributor(s) and not of MDPI and/or the editor(s). MDPI and/or the editor(s) disclaim responsibility for any injury to people or property resulting from any ideas, methods, instructions or products referred to in the content. |
© 2025 by the authors. Licensee MDPI, Basel, Switzerland. This article is an open access article distributed under the terms and conditions of the Creative Commons Attribution (CC BY) license (https://creativecommons.org/licenses/by/4.0/).
Share and Cite
Uvaniskanova, Z.; Hafez-Ghoran, S.; Ikhlas Abdjan, M.; Mountessou, B.Y.G.; Taktaz, F.; Mulya, F.; Seitimova, G.A.; Iqbal Choudhary, M. Anti-Inflammatory Activity-Guided Isolation and In Silico Validation of Turmeric (Curcuma longa L.) Phytochemicals. Foods 2025, 14, 4205. https://doi.org/10.3390/foods14244205
Uvaniskanova Z, Hafez-Ghoran S, Ikhlas Abdjan M, Mountessou BYG, Taktaz F, Mulya F, Seitimova GA, Iqbal Choudhary M. Anti-Inflammatory Activity-Guided Isolation and In Silico Validation of Turmeric (Curcuma longa L.) Phytochemicals. Foods. 2025; 14(24):4205. https://doi.org/10.3390/foods14244205
Chicago/Turabian StyleUvaniskanova, Zhuldyz, Salar Hafez-Ghoran, Muhammad Ikhlas Abdjan, Bel Youssouf G. Mountessou, Fatemeh Taktaz, Fadjar Mulya, Gulnaz A. Seitimova, and Muhammad Iqbal Choudhary. 2025. "Anti-Inflammatory Activity-Guided Isolation and In Silico Validation of Turmeric (Curcuma longa L.) Phytochemicals" Foods 14, no. 24: 4205. https://doi.org/10.3390/foods14244205
APA StyleUvaniskanova, Z., Hafez-Ghoran, S., Ikhlas Abdjan, M., Mountessou, B. Y. G., Taktaz, F., Mulya, F., Seitimova, G. A., & Iqbal Choudhary, M. (2025). Anti-Inflammatory Activity-Guided Isolation and In Silico Validation of Turmeric (Curcuma longa L.) Phytochemicals. Foods, 14(24), 4205. https://doi.org/10.3390/foods14244205

