Aroma Characterization of Gardenia Black Tea Based on Sensory Evaluation and Headspace Solid-Phase Microextraction–Gas Chromatography–Mass Spectrometry
Abstract
1. Introduction
2. Materials and Methods
2.1. Materials and Reagents
2.2. Sensory Evaluation
2.3. Instrument and Equipment
2.4. Sample Preparation and Extraction by Headspace Solid-Phase Microextraction (HS-SPME)
2.5. GC-MS Conditions
2.6. Qualitative and Quantitative Analysis of Volatile
2.7. Odor Activity Values (OAVs) Calculation
2.8. Data Analysis
3. Results and Analysis
3.1. Sensory Evaluation of Black Tea Base and GBTs
3.2. Characterization of Volatile Compounds in Black Tea Base and GBTs
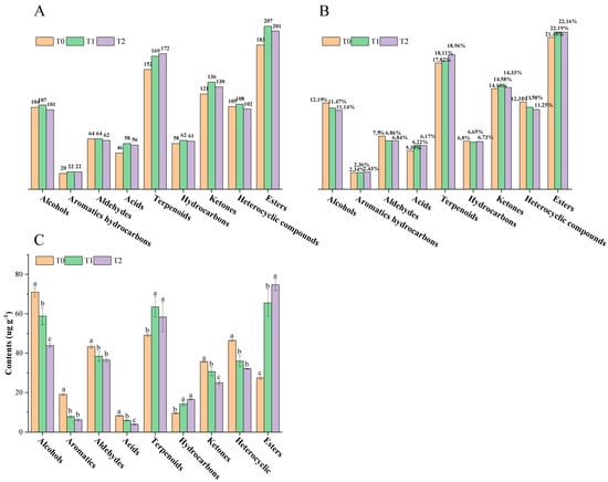
3.2.1. Identification of Volatile Compounds in Black Tea Base and GBTs
3.2.2. OPLS-DA Analysis in the Volatile Compounds
3.2.3. Analysis of Differential Volatile Compounds in Black Tea Base and GBTs
3.2.4. OAV Analysis of Volatile Compounds in Black Tea Base and GBTs
3.2.5. Analysis of Key Aromatic Compounds in GBTs
4. Discussion
5. Conclusions
Supplementary Materials
Author Contributions
Funding
Institutional Review Board Statement
Informed Consent Statement
Data Availability Statement
Conflicts of Interest
References
- Wang, Q.; Shi, D.; Hu, J.; Tang, J.; Zhou, X.; Wang, L.; Xie, J.; Jiang, Y.; Yuan, H.; Yang, Y. Unraveling the dynamic changes of volatile compounds during the rolling process of Congou black tea via GC-E-nose and GC-MS. Front. Sustain. Food Syst. 2024, 8, 1436542. [Google Scholar] [CrossRef]
- Ito, Y.; Sugimoto, A.; Kakuda, T.; Kubota, K. Identification of potent odorants in Chinese jasmine green tea scented with flowers of Jasminum sambac. J. Agric. Food Chem. 2002, 50, 4878–4884. [Google Scholar] [CrossRef]
- Zhang, J.; Mao, Y.; Xu, Y.; Feng, Z.; Wang, Y.; Chen, J.; Zhao, Y.; Cui, H.; Yin, J. Effect of Isolated Scenting Process on the Aroma Quality of Osmanthus Longjing Tea. Foods 2024, 13, 2985. [Google Scholar] [CrossRef]
- Liu, Y.; Zhang, H.; Wang, X. Aroma characteristics of jasmine tea scented by three kinds of multipetal jasmine. Food Res. Int. 2025, 194, 114917. [Google Scholar]
- Wang, Y.; Huang, Z.; Zhou, T.; Li, C.; Sun, Y.; Pang, J. Progress of research on aroma absorption mechanism and aroma fixation pathway of jasmine green tea. J. Chem. Ind. 2024, 104, 9111–9127. [Google Scholar] [CrossRef] [PubMed]
- Zhao, M.; Huang, Y. Insights into momentous aroma dominating the characteristic flavor of jasmine tea. Food Sci. Nutr. 2024, 11, 7841–7854. [Google Scholar] [CrossRef] [PubMed]
- Zhang, Y.; Sun, H. Differential contribution of jasmine floral volatiles to the aroma of scented green tea. J. Food Qual. 2023, 46, e13456. [Google Scholar]
- An, H.M.; Ou, X.C.; Zhang, Y.B.; Li, S.; Xiong, Y.F.; Li, Q.; Huang, J.A.; Liu, Z.H. Study on the key volatile compounds and aroma quality of jasmine tea with different scenting technology. Food Chem. 2022, 385, 132718. [Google Scholar] [CrossRef]
- Xie, J.L.; Wang, Q.W.; Cui, H.C.; Wang, L.L.; Deng, Y.L.; Yuan, H.B.; Zhu, J.Y.; Yang, Y.Q.; Jiang, Y.W. Characterization of Gardenia tea based on aroma profiles using GC-E-Nose, GC-O-MS and GC × GC-TOFMS combined with chemometrics. Beverage Plant Res. 2024, 4, e001. [Google Scholar] [CrossRef]
- Chen, J.; Que, Y.L.; Lin, X.Y.; Huang, X.Z.; Cai, X.Q.; Que, Z.Y.; Zhou, S.S. Analysis of Volatile Aroma Components Differences in Fuding Gardenia Flower White Tea of Different Years Based on HS-SPME-GC-MS Technology. Sci. Technol. Food Ind. 2025, 10, 1–26. [Google Scholar]
- Wu, T.; He, J.; Deng, X.; Wang, X.; Yuan, W.; Wang, Q.; Chen, X.; Zou, M.; An, H.; Wang, B.; et al. Influencing Factors and Regulatory Mechanisms of Fresh Tea Leaf Quality: A Review. Foods 2025, 14, 3268. [Google Scholar] [CrossRef]
- Chen, Y.; Huang, Y.W.; An, H.M.; Liu, J.S.; Jiang, Y.C.; Ying, J.Q.; Li, S.; Liu, Z.H.; Huang, J.A. Effects of isolated scenting on the taste quality of broken green tea based on metabolomics. Food Chem. X 2024, 22, 101454. [Google Scholar] [CrossRef]
- Zhang, Y.; Xiong, Y.; An, H.; Li, J.; Li, Q.; Huang, J.A.; Liu, Z.H. Analysis of Volatile Components of Jasmine and Jasmine Tea during Scenting Process. Molecules 2022, 27, 479. [Google Scholar] [CrossRef]
- He, L.; Li, Z.Q.; Zhang, T. Research on the Processing Technology of Floral Fragrance Green Tea from Fresh Tea Leaves in Summer. Food Mach. 2019, 35, 195–200. [Google Scholar]
- Zhang, C.; Zhou, C.; Tian, C.; Xu, K.; Lai, Z.; Lin, Y.; Guo, Y. Volatilomics Analysis of Jasmine Tea during Multiple Rounds of Scenting Processes. Foods 2023, 12, 812. [Google Scholar] [CrossRef] [PubMed]
- Xu, L.; Ma, C.; Chen, X.; Du, Q.; Song, C. Theories and applications of tea residue adsorbing aroma compounds: A review. Beverage Plant Res. 2024, 4, e030. [Google Scholar] [CrossRef]
- Lin, Y.; Wang, Y.; Huang, Y.; Song, H.; Yang, P. Aroma Identification and Classification in 18 Kinds of Teas (Camellia sinensis) by Sensory Evaluation, HS-SPME-GC-IMS/GC × GC-MS, and Chemometrics. Foods 2023, 12, 2433. [Google Scholar] [CrossRef] [PubMed]
- Guo, X.; Wang, L.; Huang, X.; Zhou, Q. Characterization of the volatile compounds in tea (Camellia sinensis L.) flowers during blooming. Front. Nutr. 2025, 11, 1531185. [Google Scholar] [CrossRef]
- Turgut, S.S.; Entrenas, J.A.; Taşkın, E.; Garrido-Varo, A.; Pérez-Marín, D. Estimation of the sensory properties of black tea samples using non-destructive near-infrared spectroscopy sensors. Food Control 2022, 142, 109260. [Google Scholar] [CrossRef]
- Wang, J.Y.; Zhang, J.H.; Zhuang, L.P. Analysis of characteristic aroma compounds of black tea with flowery-fruity flavour by HS SPME-GC-TOF-MS combined with ROAV. Nat. Prod. Res. Dev. 2023, 35, 2015–2026. [Google Scholar]
- Zhao, Z.Q.; Chen, L.J.; Rao, Y. Aroma compounds of different grades shuangjing green tea based on HS-SPME-GC-MS. Sci. Technol. Food Ind. 2024, 45, 273–281. [Google Scholar]
- Lolli, V.; Acharjee, A.; Angelino, D.; Tassotti, M.; Del Rio, D.; Mena, P.; Caligiani, A. Chemical Characterization of Capsule-Brewed Espresso Coffee Aroma from the Most Widespread Italian Brands by HS-SPME/GC-MS. Molecules 2020, 25, 1166. [Google Scholar] [CrossRef]
- Chen, L.; Wang, Y.; Liu, H. Application of HS-SPME-GC-MS for volatile analysis in tea products. Food Chem. 2023, 382, 134–142. [Google Scholar]
- Zhang, X.; Li, J.; Sun, Q. Determination of methyl bromide residues in tea by headspace solid-phase microextraction coupled with gas chromatography-mass spectrometry. J. Agric. Food Chem. 2023, 71, 3456–3464. [Google Scholar] [CrossRef]
- Li, J.X.; Zhang, Z.J.; Zhang, B.L.; Fan, C.L. Use of a headspace solid-phase microextraction-based methodology followed by gas chromatography-tandem mass spectrometry for pesticide multiresidue determination in teas. J. Chromatogr. A 2018, 1550, 45–53. [Google Scholar] [CrossRef]
- Guo, Q.; Yu, Z.; Liu, M.; Shi, A.; Hu, Y.; Li, S.; Ren, D.; Yi, L. Investigation on the volatiles and aromatic characteristic of Raw Puerh tea with different storage durations by headspace solid-phase microextraction combined with gas chromatography-mass spectrometry and odor activity value analysis. Food Res. Int. 2023, 165, 111–119. [Google Scholar]
- Wang, L.L.; Xie, J.L.; Deng, Y.L.; Jiang, Y.H.; Tong, H.R.; Yuan, H.B.; Yang, Y.Q. Volatile profile characterization during the drying process of black tea by inte grated volatolomics analysis. LWT Food Sci. Technol. 2023, 184, 115039. [Google Scholar] [CrossRef]
- Zhang, K.X.; Ren, T.Y.; Liao, J.R.; Wang, S.; Zou, Z.W.; Ma, Y.C.; Li, F.; Fang, W.P.; Zhu, X.J. Targeted metabolomics reveals dynamic changes during the manufacturing process of Yuhua tea, a stir-fried green tea. Beverage Plant Res. 2021, 1, 6. [Google Scholar] [CrossRef]
- GB/T23776-2018; Methodology of Sensory Evaluation of Tea. Standardization Administration of the People’s Republic of China: Beijing, China, 2018.
- Kang, S.Y.; Yan, H.; Zhu, Y.; Liu, X.; Lv, H.P.; Zhang, Y.; Dai, W.D.; Guo, L.; Tan, J.F.; Peng, Q.H.; et al. Identification and quantification of key odorants in the world’s four most famous black teas. Food Res. Int. 2019, 121, 73–83. [Google Scholar] [CrossRef] [PubMed]
- Wang, M.Q.; Ma, W.J.; Shi, J.; Zhu, Y.; Lv, H.P. Characterization of the key aroma compounds in Longjing tea using stir bar sorptive extraction (SBSE) combined with gas chromatography-mass spectrometry (GC-MS), gas chromatography-olfactometry (GC-O), odor activity value (OAV), and aroma recombination. Food Res. Int. 2020, 130, 108908. [Google Scholar] [CrossRef]
- Paczkowska Walendowska, M.; Grzegorzewski, J.; Kwiatek, J.; Leśna, M.; Cielecka-Piontek, J. Green Tea: A Novel Perspective on the Traditional Plant’s Potential in Managing Periodontal Diseases. Pharmaceuticals 2025, 18, 409. [Google Scholar] [CrossRef]
- Van Gemert, L.J. Compilations of Odor Threshold Values in Air, Water and Other Media, 2nd ed.; Oliemans Punter & Partners: Zeist, The Netherlands, 2018. [Google Scholar]
- Liu, C.; Li, J.; Li, H.; Xue, J.; Wang, M.; Jian, G.; Zhu, C.; Zeng, L. Differences in the quality of black tea (Camellia sinensis var. Yinghong No. 9) in different seasons and the underlying factors. Food Chem. X 2023, 20, 100998. [Google Scholar] [CrossRef] [PubMed]
- Chen, W.X.; Zan, J.Z.; Yan, L.F.; Yuan, H.B.; Wang, P.Q.; Jiang, Y.W.; Zhu, H.K. Improving the sensory quality of black tea by blending varieties during processing. Foods 2024, 14, 941. [Google Scholar] [CrossRef]
- Schuh, C.; Schieberle, P. Characterization of the key aroma compounds in the beverage prepared from Darjeeling black tea: Quantitative differences between tea leaves and infusion. J. Agric. Food Chem. 2006, 54, 916–924. [Google Scholar] [CrossRef]
- Chigo-Hernandez, M.M.; Tomasino, E. Aroma Perception of Limonene, Linalool and α-Terpineol Combinations in Pinot Gris Wine. Foods 2023, 12, 2389. [Google Scholar] [CrossRef] [PubMed]
- Aaqil, M.; Kamil, M.; Kamal, A.; Nawaz, T.; Peng, C.; Alaraidh, I.A.; Al-Amri, S.S.; Okla, M.K.; Hou, Y. Metabolomics reveals a differential attitude in phytochemical profile of black tea (Camellia sinensis Var. assamica) during processing. Food Chem. X 2024, 24, 101899. [Google Scholar] [CrossRef]
- Carneiro, R.C.V.; Wang, H.; Duncan, S.E.; O’Keefe, S.F. Flavor compounds in Vine Tea (Ampelopsis grossedentata) infusions. Food Sci. Nutr. 2020, 8, 4505–4511. [Google Scholar] [CrossRef] [PubMed]
- Liu, X.G.; Chen, M.C.; Zhu, Y.J.; Zhang, H.F.; Liu, B. Characteristic flavor compounds of jasmine scented black tea. Fujian J. Agric. Sci. 2017, 221, 123131. [Google Scholar]
- Zhang, Y.; Li, X.; Wang, H. Dynamic changes of volatile compounds in scented tea processing. J. Agric. Food Chem. 2024, 71, 3456–3464. [Google Scholar]
- He, C.; Zhou, J.T.; Li, Y.C.; Zhang, D.; Bernard, N.; Zhu, J.Y.; Wang, X.Y.; Xu, W.L.; Wen, X.J.; Chen, Y.Q.; et al. The aroma characteristics of oolong tea are jointly determined by processing mode and tea cultivars. Food Chem. X 2023, 13, 100730. [Google Scholar] [CrossRef]
- Wong, D.W.S. Mechanism and Theory in Food Chemistry, 2nd ed.; Academic Press: Cambridge, MA, USA, 2018. [Google Scholar]
- Wang, J.; Li, Q.; Sun, H. Camphor and related terpenes in oolong tea: Sensory impact. J. Food Sci. 2020, 85, 789–796. [Google Scholar]
- Maleš, I.; Dobrinčić, A.; Zorić, Z.; Vladimir-Knežević, S.; Elez Garofulić, I.; Repajić, M.; Skroza, D.; Jerković, I.; Dragović-Uzelac, V. Phenolic, Headspace and Sensory Profile, and Antioxidant Capacity of Fruit Juice Enriched with Salvia officinalis L. and Thymus serpyllum L. Extract: A Potential for a Novel Herbal-Based Functional Beverages. Molecules 2023, 28, 3656. [Google Scholar] [CrossRef] [PubMed]
- Chen, Y.; Liu, S.; Zhao, M. Butter-like aroma compounds in black tea. Molecules 2021, 26, 2602. [Google Scholar]
- Ding, Q.Y.; Song, Y.R.; Yang, X.; Huang, D.Z.; Wan, X.C.; Zhang, Y.Y.; Mao, Y.H.; Zhai, X.T. Decoding the key odorants responsible for the empty cup aroma of Wuyi rock tea ‘Dahongpao’ and their perception interactions with caffeine. Beverage Plant Res. 2025, 5, e025. [Google Scholar] [CrossRef]
- Chen, Q.; Yu, P.; Li, Z.; Wang, Y.; Liu, Y.; Zhu, Y.; Fu, H. Re-Rolling Treatment in the Fermentation Process Improves the Aroma Quality of Black Tea. Foods 2023, 12, 3702. [Google Scholar] [CrossRef] [PubMed]
- Chen, M.C.; Zhu, Y.J.; Liu, B.; Chen, Z.; Zheng, J.M.; Guan, M.D.; Shi, H.; Wang, Y.N.; Yang, W.W. Changes in the volatiles, chemical components, and antioxidant activities of Chinese jasmine tea during the scenting processes. Int. J. Food Prop. 2017, 20, 681–693. [Google Scholar] [CrossRef]
- Zhang, H.; Wang, J.J.; Zhang, D.D.; Zeng, L.; Liu, Y.Y.; Zhu, W.; Lei, G.X.; Huang, Y.Y. Aged fragrance formed during the post-fermentation process of dark tea at an industrial scale. Food Chem. 2021, 342, 128175. [Google Scholar] [CrossRef]






| No. | Compounds | CAS | Threshold (μg/g) | ROAV Value | VIP Value | Odor | ||
|---|---|---|---|---|---|---|---|---|
| T0 | T1 | T2 | ||||||
| 1 | (Z)-6-Non-6-en-1-yl, acetate | 76238-22-7 | 0.002 | 245.8 ± 11.8c | 8994 ± 1004b | 13404 ± 567a | 7.68 | Refreshing fruit, melon, honeydew |
| 2 | 1-isothiocyanato-3-methylsulfanyl propane | 505-79-3 | 0.005 | 15.36 ± 2.55c | 388.2 ± 40.9b | 580.6 ± 23.2a | 2.52 | earthy, vegetable, horseradish |
| 3 | 4-methylphenylacetate | 140-39-6 | 0.025 | 9.62 ± 0.13c | 105.6 ± 6.5a | 44.92 ± 1.38b | 4.19 | narcissus, phenol, animalic |
| 4 | (Z)-hex-3-enyl acetate | 3681-71-8 | 0.031 | 2.44 ± 0.07c | 28.31 ± 1.28a | 5.05 ± 0.24b | 2.80 | fresh, green, sweet, fruity, banana, apple, grassy |
| 5 | methyl benzeneacetate | 101-41-7 | 0.060 | 2.15 ± 0.13c | 15.71 ± 1.06a | 6.90 ± 0.27b | 2.47 | floral, honey, spice, waxy, sweet |
| 6 | 2-phenylethyl acetate | 103-45-7 | 0.249 | 0.64 ± 0.01c | 3.75 ± 0.34a | 2.46 ± 0.08b | 2.05 | rose, honey, tobacco |
| 7 | 6-pentyloxan-2-one | 705-86-2 | 0.066 | 0.47 ± 0.10b | 36.32 ± 8.31a | 45.33 ± 0.55a | 2.65 | creamy, coconut, fruity |
| 8 | Benzyl acetate | 140-11-4 | 0.364 | 0.31 ± 0.01c | 3.09 ± 0.25a | 1.14 ± 0.05b | 2.84 | sweet, floral, fruity, jasmine, fresh |
| 9 | Linalool | 78-70-6 | 0.006 | 733.8 ± 4.7c | 4129 ± 229b | 5236 ± 83a | 7.92 | floral, green |
| 10 | Camphor | 76-22-2 | 0.016 | 13.24 ± 0.25c | 159.3 ± 10.6a | 62.30 ± 3.18b | 4.22 | camphor |
| 11 | (E)-non-4-enal | 2277-16-9 | 0.002 | 3871 ± 167a | 3005 ± 239b | 1886 ± 12c | 3.51 | fruity |
| 12 | (E)-hex-2-enal | 6728-26-3 | 0.003 | 3275 ± 439b | 4280 ± 360a | 4524 ± 257a | 2.88 | green, grassy |
| 13 | 5-ethyl-2-methylpyridine | 104-90-5 | 0.019 | 472.2 ± 18.9a | 233.9 ± 14.4b | 102.6 ± 0.7c | 3.98 | nutty, strong, raw, potato, roasted, earthy |
| 14 | 2-[(2R,5R)-5-ethenyl-5-methyloxolan-2-yl]propan-2-ol | 34995-77-2 | 0.190 | 18.09 ± 0.35a | 10.98 ± 0.60b | 8.32 ± 0.25c | 2.06 | flowery |
| 15 | 2-pentylpyrazine | 6303-75-9 | 0.005 | 45.43 ± 1.97b | 478.7 ± 49.9a | 511.1 ± 5.2a | 2.60 | - |
| 16 | (3E,6E)-octa-3,6-dien-2-one | 30086-02-3 | 0.001 | 4501 ± 17a | 421.1 ± 32.9c | 740.1 ± 84.4b | 2.45 | fruity, green, grassy |
| 17 | heptan-4-one | 123-19-3 | 0.008 | 22.33 ± 3.68b | 98.81 ± 6.43a | 92.67 ± 4.34a | 2.17 | fruity, cheese, sweet, cognac, pineapple |
| 18 | 1-(furan-2-yl)-2-hydroxyethanone | 17678-19-2 | 1.000 | 3.14 ± 0.06a | 1.89 ± 0.07b | 1.79 ± 0.08b | 2.05 | - |
| 19 | 2-phenylacetaldehyde | 122-78-1 | 0.006 | 54.18 ± 1.17c | 395.4 ± 52.8b | 722.6 ± 26.3a | 3.25 | floral, honey, rose, cherry |
| 20 | Benzaldehyde | 100-52-7 | 0.350 | 28.31 ± 0.43a | 7.79 ± 0.40b | 5.15 ± 0.16c | 4.69 | sweet, bitter, almond, cherry |
| 21 | 2-phenylethanol | 60-12-8 | 0.140 | 177.3 ± 7.6a | 133.6 ± 9.8b | 87.86 ± 0.45c | 5.70 | fruity, rose, sweet, apple |
| 22 | phenylmethanol | 100-51-6 | 0.100 | 116.8 ± 5.0a | 59.40 ± 4.39b | 12.71 ± 0.26c | 5.00 | floral, rose, phenol, balsamic |
| 23 | (E)-hex-3-en-1-ol | 928-97-2 | 0.110 | 24.82 ± 0.29a | 14.68 ± 0.99b | 4.37 ± 0.05c | 2.41 | moss, fresh |
| 24 | 2-[(2R,5S)-5-ethenyl-5-methyloxolan-2-yl]propan-2-ol | 5989-33-3 | 0.320 | 10.74 ± 0.21a | 6.52 ± 0.36b | 4.94 ± 0.15c | 2.06 | earthy, floral, sweet, woody |
| 25 | octan-4-ol | 589-62-8 | 0.400 | 12.18 ± 1.71a | 2.56 ± 0.33b | 0.32 ± 0.08c | 3.40 | - |
| 26 | 1-ethyl-4-methylbenzene | 622-96-8 | 0.040 | 207.7 ± 2.9a | 53.16 ± 2.86b | 32.77 ± 1.49c | 4.37 | - |
| 27 | 1,3,5-trimethylbenzene | 108-67-8 | 0.830 | 10.89 ± 0.15a | 2.91 ± 0.15b | 1.86 ± 0.08c | 4.46 | - |
| 28 | butylbenzene | 104-51-8 | 0.010 | 8.72 ± 0.43c | 119.5 ± 17.6b | 223.1 ± 2.2a | 2.74 | - |
Disclaimer/Publisher’s Note: The statements, opinions and data contained in all publications are solely those of the individual author(s) and contributor(s) and not of MDPI and/or the editor(s). MDPI and/or the editor(s) disclaim responsibility for any injury to people or property resulting from any ideas, methods, instructions or products referred to in the content. |
© 2025 by the authors. Licensee MDPI, Basel, Switzerland. This article is an open access article distributed under the terms and conditions of the Creative Commons Attribution (CC BY) license (https://creativecommons.org/licenses/by/4.0/).
Share and Cite
Zheng, S.; Chai, H.; Peng, C.; Huang, Q.; Xu, M.; Wen, X.; Kang, H. Aroma Characterization of Gardenia Black Tea Based on Sensory Evaluation and Headspace Solid-Phase Microextraction–Gas Chromatography–Mass Spectrometry. Foods 2025, 14, 4022. https://doi.org/10.3390/foods14234022
Zheng S, Chai H, Peng C, Huang Q, Xu M, Wen X, Kang H. Aroma Characterization of Gardenia Black Tea Based on Sensory Evaluation and Headspace Solid-Phase Microextraction–Gas Chromatography–Mass Spectrometry. Foods. 2025; 14(23):4022. https://doi.org/10.3390/foods14234022
Chicago/Turabian StyleZheng, Shenghong, Hongling Chai, Chunju Peng, Qi Huang, Mingkun Xu, Xingjun Wen, and Huajing Kang. 2025. "Aroma Characterization of Gardenia Black Tea Based on Sensory Evaluation and Headspace Solid-Phase Microextraction–Gas Chromatography–Mass Spectrometry" Foods 14, no. 23: 4022. https://doi.org/10.3390/foods14234022
APA StyleZheng, S., Chai, H., Peng, C., Huang, Q., Xu, M., Wen, X., & Kang, H. (2025). Aroma Characterization of Gardenia Black Tea Based on Sensory Evaluation and Headspace Solid-Phase Microextraction–Gas Chromatography–Mass Spectrometry. Foods, 14(23), 4022. https://doi.org/10.3390/foods14234022
