Optimizing Postharvest Edible Coatings for Fruit and Vegetables with Plant-Based Polysaccharides
Abstract
1. Introduction
2. Material and Methods
2.1. Material
2.2. Synthesis of Films with Polysaccharides and Glycerol
2.2.1. Starch Films
Cassava Starch Film (CA)
Corn Starch Film (CS)
Potato Starch Film (PS)
2.3. Carboxymethylcellulose Film (CMC)
2.4. Hydroxypropylmethylcellulose Film (HPMC)
2.5. Citrus Pectin Film (PE)
2.6. Characterization of Films
2.6.1. Thickness and Moisture Content
2.6.2. Solubility in Water
2.6.3. Water Vapor Permeability (WVP)
2.6.4. Mechanical Properties
2.6.5. Differential Calorimetric Scanning (DSC)
2.6.6. Opacity
2.6.7. Gloss Measurements
2.6.8. Water Contact Angle Test
Films
Fruits and Vegetables
2.7. Principal Component Analysis (PCA)
2.8. Statistics
3. Results and Discussion
3.1. Synthesis Process
3.2. Thickness and Moisture Content
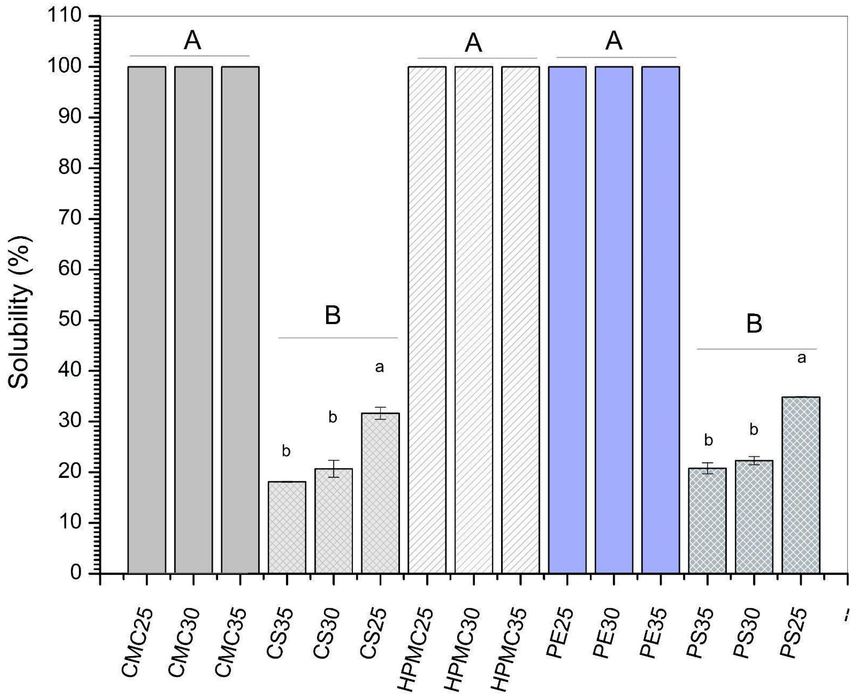
3.3. Solubility and Water Vapor Permeability (WVP)
3.4. Mechanical Properties: Stress Resistance and Stretch Percentage
3.5. Calorimetric Exploratory Differential (DSC)
3.6. Opacity and Gloss
3.7. Water Contact Angle Test
3.8. Principal Component Analysis (PCA)
4. Conclusions
Supplementary Materials
Author Contributions
Funding
Institutional Review Board Statement
Informed Consent Statement
Data Availability Statement
Conflicts of Interest
References
- FAO; IFAD; UNICEF; WFP; WHO. The State of Food Security and Nutrition in the World 2023; FAO; IFAD; UNICEF; WFP; WHO: Rome, Italy, 2023. [Google Scholar]
- Bancal, V.; Ray, R.C. Overview of Food Loss and Waste in Fruits and Vegetables: From Issue to Resources. In Fruits and Vegetable Wastes: Valorization to Bioproducts and Platform Chemicals; Springer: Singapore, 2022; pp. 3–29. [Google Scholar] [CrossRef]
- Hossan, D.; Mansor, Z.D.; Jaharuddin, N.S. Research Population and Sampling in Quantitative Study. Int. J. Bus. Technopreneurship 2023, 13, 209–222. [Google Scholar] [CrossRef]
- Kocira, A.; Kozłowicz, K.; Panasiewicz, K.; Staniak, M.; Szpunar-Krok, E.; Hortyńska, P. Polysaccharides as Edible Films and Coatings: Characteristics and Influence on Fruit and Vegetable Quality—A Review. Agronomy 2021, 11, 813. [Google Scholar] [CrossRef]
- Priya, P.S.; Nandhini, P.P.; Arockiaraj, J. A Comprehensive Review on Environmental Pollutants and Osteoporosis: Insights into Molecular Pathways. Envion. Res. 2023, 237, 117103. [Google Scholar] [CrossRef]
- Suhag, R.; Kumar, N.; Petkoska, A.T.; Upadhyay, A. Film Formation and Deposition Methods of Edible Coating on Food Products: A Review. Food Res. Int. 2020, 136, 109582. [Google Scholar] [CrossRef] [PubMed]
- Cloete, L.; Picot-Allain, C.; Ramasawmy, B.; Neetoo, H.; Ramful-Baboolall, D.; Emmambux, M.N. Drivers and Barriers for Commercial Uptake of Edible Coatings for Fresh Fruits and Vegetables Industry—A Review. Food Rev. Int. 2023, 39, 3481–3514. [Google Scholar] [CrossRef]
- Cruz-Monterrosa, R.G.; Rayas-Amor, A.A.; González-Reza, R.M.; Zambrano-Zaragoza, M.L.; Aguilar-Toalá, J.E.; Liceaga, A.M. Application of Polysaccharide-Based Edible Coatings on Fruits and Vegetables: Improvement of Food Quality and Bioactivities. Polysaccharides 2023, 4, 99–115. [Google Scholar] [CrossRef]
- Jeevahan, J.J.; Chandrasekaran, M.; Venkatesan, S.P.; Sriram, V.; Joseph, G.B.; Mageshwaran, G.; Durairaj, R.B. Scaling up Difficulties and Commercial Aspects of Edible Films for Food Packaging: A Review. Trends Food Sci. Technol. 2020, 100, 210–222. [Google Scholar] [CrossRef]
- Hassan, B.; Chatha, S.A.S.; Hussain, A.I.; Zia, K.M.; Akhtar, N. Recent Advances on Polysaccharides, Lipids and Protein Based Edible Films and Coatings: A Review. Int. J. Biol. Macromol. 2018, 109, 1095–1107. [Google Scholar] [CrossRef]
- Mohamed, S.A.A.; El-Sakhawy, M.; El-Sakhawy, M.A.M. Polysaccharides, Protein and Lipid -Based Natural Edible Films in Food Packaging: A Review. Carbohydr. Polym. 2020, 238, 116178. [Google Scholar] [CrossRef]
- Ribeiro, A.B.; Moreira, H.; Pereira, S.I.A.; Godinho, M.; Sousa, A.S.d.S.; Castro, P.; Pereira, C.F.; Casanova, F.; Freixo, R.; Pintado, M.E.; et al. Bio-Based Superabsorbent Hydrogels for Nutrient Release. J. Envion. Chem. Eng. 2024, 12, 112031. [Google Scholar] [CrossRef]
- Guo, J.; Dong, S.; Ye, M.; Wu, X.; Lv, X.; Xu, H.; Li, M. Effects of Hydroxypropyl Methylcellulose on Physicochemical Properties and Microstructure of κ-Carrageenan Film. Foods 2022, 11, 3023. [Google Scholar] [CrossRef]
- Teixeira-Costa, B.E.; Andrade, C.T. Natural Polymers Used in Edible Food Packaging—History, Function and Application Trends as a Sustainable Alternative to Synthetic Plastic. Polysaccharides 2021, 3, 32–58. [Google Scholar] [CrossRef]
- Iñiguez-moreno, M.; Ragazzo-sánchez, J.A.; Calderón-santoyo, M. An Extensive Review of Natural Polymers Used as Coatings for Postharvest Shelf-Life Extension: Trends and Challenges. Polymers 2021, 13, 3271. [Google Scholar] [CrossRef]
- Zhao, X.; Hofvander, P.; Andersson, M.; Andersson, R. Internal Structure and Thermal Properties of Potato Starches Varying Widely in Amylose Content. Food Hydrocoll. 2023, 135, 108148. [Google Scholar] [CrossRef]
- Lemos, P.V.F.; Barbosa, L.S.; Ramos, I.G.; Coelho, R.E.; Druzian, J.I. Characterization of Amylose and Amylopectin Fractions Separated from Potato, Banana, Corn, and Cassava Starches. Int. J. Biol. Macromol. 2019, 132, 32–42. [Google Scholar] [CrossRef] [PubMed]
- May, C.D. Industrial Pectins: Sources, Production and Applications. Carbohydr. Polym. 1990, 12, 79–99. [Google Scholar] [CrossRef]
- Park, H.J. Development of Advanced Edible Coatings for Fruits. Trends Food Sci. Technol. 1999, 10, 254–260. [Google Scholar] [CrossRef]
- Miranda, M.; Ribeiro, M.D.M.M.; Spricigo, P.C.; Pilon, L.; Mitsuyuki, M.C.; Correa, D.S.; Ferreira, M.D. Carnauba Wax Nanoemulsion Applied as an Edible Coating on Fresh Tomato for Postharvest Quality Evaluation. Heliyon 2022, 8, e09803. [Google Scholar] [CrossRef]
- Lima, Á.M.; Cerqueira, M.A.; Souza, B.W.S.; Santos, E.C.M.; Teixeira, J.A.; Moreira, R.A.; Vicente, A.A. New Edible Coatings Composed of Galactomannans and Collagen Blends to Improve the Postharvest Quality of Fruits—Influence on Fruits Gas Transfer Rate. J. Food Eng. 2010, 97, 101–109. [Google Scholar] [CrossRef]
- Cerqueira, M.A.; Lima, Á.M.; Teixeira, J.A.; Moreira, R.A.; Vicente, A.A. Suitability of Novel Galactomannans as Edible Coatings for Tropical Fruits. J. Food Eng. 2009, 94, 372–378. [Google Scholar] [CrossRef]
- Harussani, M.M.; Sapuan, S.M.; Firdaus, A.H.M.; El-Badry, Y.A.; Hussein, E.E.; El-Bahy, Z.M. Determination of the Tensile Properties and Biodegradability of Cornstarch-Based Biopolymers Plasticized with Sorbitol and Glycerol. Polymers 2021, 13, 3709. [Google Scholar] [CrossRef]
- Tarique, J.; Sapuan, S.M.; Khalina, A. Effect of Glycerol Plasticizer Loading on the Physical, Mechanical, Thermal, and Barrier Properties of Arrowroot (Maranta Arundinacea) Starch Biopolymers. Sci. Rep. 2021, 11, 113900. [Google Scholar] [CrossRef]
- Müller, C.M.O.; Laurindo, J.B.; Yamashita, F. Effect of Cellulose Fibers Addition on the Mechanical Properties and Water Vapor Barrier of Starch-Based Films. Food Hydrocoll. 2009, 23, 1328–1333. [Google Scholar] [CrossRef]
- Wang, B.; Xu, X.; Fang, Y.; Yan, S.; Cui, B.; Abd El-Aty, A.M. Effect of Different Ratios of Glycerol and Erythritol on Properties of Corn Starch-Based Films. Front. Nutr. 2022, 9, 882682. [Google Scholar] [CrossRef] [PubMed]
- Dong, F.; Wang, X. Effects of Carboxymethyl Cellulose Incorporated with Garlic Essential Oil Composite Coatings for Improving Quality of Strawberries. Int. J. Biol. Macromol. 2017, 104, 821–826. [Google Scholar] [CrossRef] [PubMed]
- Yao, L.; Man, T.; Xiong, X.; Wang, Y.; Duan, X.; Xiong, X. HPMC Films Functionalized by Zein/Carboxymethyl Tamarind Gum Stabilized Pickering Emulsions: Influence of Carboxymethylation Degree. Int. J. Biol. Macromol. 2023, 238, 124053. [Google Scholar] [CrossRef] [PubMed]
- Mendes, J.F.; Martins, J.T.; Manrich, A.; Sena Neto, A.R.; Pinheiro, A.C.M.; Mattoso, L.H.C.; Martins, M.A. Development and Physical-Chemical Properties of Pectin Film Reinforced with Spent Coffee Grounds by Continuous Casting. Carbohydr. Polym. 2019, 210, 92–99. [Google Scholar] [CrossRef]
- Lee, J.-S.; Lee, E.; Han, J. Enhancement of the Water-Resistance Properties of an Edible Film Prepared from Mung Bean Starch via the Incorporation of Sunflower Seed Oil. Sci. Rep. 2020, 10, 13622. [Google Scholar] [CrossRef]
- Kavoosi, G.; Rahmatollahi, A.; Dadfar, S.M.M.; Purfard, A.M. Effects of Essential Oil on the Water Binding Capacity, Physico-Mechanical Properties, Antioxidant and Antibacterial Activity of Gelatin Films. LWT Food Sci. Technol. 2014, 57, 556–561. [Google Scholar] [CrossRef]
- ASTM E96-92; Standard Test Methods for Water Vapour Transmission of Materials. Building CodeHub: West Conshohocken, PA, USA, 1992. Available online: https://codehub.building.govt.nz/resources/astm-e96-92 (accessed on 11 November 2024).
- Procopio, F.R.; Ferraz, M.C.; Lourenço, R.V.; Bitante, A.M.Q.B.; Furtado, M.M.; Sant’Ana, A.S.; Sobral, P.J.d.A.; Hubinger, M.D. Soy Protein-Based Films Incorporated with Co-Encapsulated Cinnamon and Paprika Oleoresins. J. Food Meas. Charact. 2024, 18, 5145–5156. [Google Scholar] [CrossRef]
- D882 Standard Test Method for Tensile Properties of Thin Plastic Sheeting. Available online: https://www.astm.org/d0882-97.html (accessed on 11 November 2024).
- Sobral, P.J.A.; Menegalli, F.C.; Hubinger, M.D.; Roques, M.A. Mechanical, Water Vapor Barrier and Thermal Properties of Gelatin Based Edible Films. Food Hydrocoll. 2001, 15, 423–432. [Google Scholar] [CrossRef]
- Tan, W.; McClements, D.J.; Chen, J.; Ma, D. Novel Biopolymer-Based Active Packaging Material for Food Applications: Cinnamaldehyde-Loaded Calcium Nanoparticles Incorporated into Alginate-Carboxymethyl Cellulose Films. Food Packag. Shelf Life 2024, 45, 101351. [Google Scholar] [CrossRef]
- D523 Standard Test Method for Specular Gloss. Available online: https://www.astm.org/d0523-89r99.html (accessed on 11 November 2024).
- Aloui, H.; Baraket, K.; Sendon, R.; Silva, A.S.; Khwaldia, K. Development and Characterization of Novel Composite Glycerol-Plasticized Films Based on Sodium Caseinate and Lipid Fraction of Tomato Pomace by-Product. Int. J. Biol. Macromol. 2019, 139, 128–138. [Google Scholar] [CrossRef]
- Bigi, F.; Haghighi, H.; Leo, R.D.; Ulrici, A.; Pulvirenti, A. Multivariate Exploratory Data Analysis by PCA of the Combined Effect of Film-Forming Composition, Drying Conditions, and UV-C Irradiation on the Functional Properties of Films Based on Chitosan and Pectin. LWT 2021, 137, 110432. [Google Scholar] [CrossRef]
- Norcino, L.B.; Mendes, J.F.; Natarelli, C.V.L.; Manrich, A.; Oliveira, J.E.; Mattoso, L.H.C. Pectin Films Loaded with Copaiba Oil Nanoemulsions for Potential Use as Bio-Based Active Packaging. Food Hydrocoll. 2020, 106, 105862. [Google Scholar] [CrossRef]
- Kim, H.Y.; Jane, J.L.; Lamsal, B. Hydroxypropylation Improves Film Properties of High Amylose Corn Starch. Ind. Crops Prod. 2017, 95, 175–183. [Google Scholar] [CrossRef]
- Francisco, C.B.; Pellá, M.G.; Silva, O.A.; Raimundo, K.F.; Caetano, J.; Linde, G.A.; Colauto, N.B.; Dragunski, D.C. Shelf-Life of Guavas Coated with Biodegradable Starch and Cellulose-Based Films. Int. J. Biol. Macromol. 2020, 152, 272–279. [Google Scholar] [CrossRef]
- Ghadermazi, R.; Hamdipour, S.; Sadeghi, K.; Ghadermazi, R.; Asl, A.K. Effect of Various Additives on the Properties of the Films and Coatings Derived from Hydroxypropyl Methylcellulose—A Review. Food Sci. Nutr. 2019, 7, 3363–3377. [Google Scholar] [CrossRef] [PubMed]
- Luchese, C.L.; Spada, J.C.; Tessaro, I.C. Starch Content Affects Physicochemical Properties of Corn and Cassava Starch-Based Films. Ind. Crops Prod. 2017, 109, 619–626. [Google Scholar] [CrossRef]
- Mehraj, S.; Sistla, Y.S. Optimization of Process Conditions for the Development of Pectin and Glycerol Based Edible Films: Statistical Design of Experiments. Electron. J. Biotechnol. 2022, 55, 27–39. [Google Scholar] [CrossRef]
- Ballesteros-Mártinez, L.; Pérez-Cervera, C.; Andrade-Pizarro, R. Effect of Glycerol and Sorbitol Concentrations on Mechanical, Optical, and Barrier Properties of Sweet Potato Starch Film. NFS J. 2020, 20, 1–9. [Google Scholar] [CrossRef]
- Wang, K.; Wang, W.; Ye, R.; Liu, A.; Xiao, J.; Liu, Y.; Zhao, Y. Mechanical Properties and Solubility in Water of Corn Starch-Collagen Composite Films: Effect of Starch Type and Concentrations. Food Chem. 2017, 216, 209–216. [Google Scholar] [CrossRef]
- Chen, K.; Tian, R.; Xu, G.; Wu, K.; Liu, Y.; Jiang, F. Characterizations of Konjac Glucomannan/Curdlan Edible Coatings and the Preservation Effect on Cherry Tomatoes. Int. J. Biol. Macromol. 2023, 232, 123359. [Google Scholar] [CrossRef]
- Dai, L.; Wang, X.; Mao, X.; He, L.; Li, C.; Zhang, J.; Chen, Y. Recent Advances in Starch-Based Coatings for the Postharvest Preservation of Fruits and Vegetables. Carbohydr. Polym. 2024, 328, 121736. [Google Scholar] [CrossRef]
- García, M.A.; Pinotti, A.; Martino, M.N.; Zaritzky, N.E. Characterization of Starch and Composite Edible Films and Coatings. In Edible Films and Coatings for Food Applications; Springer: New York, NY, USA, 2009; pp. 169–209. [Google Scholar] [CrossRef]
- Luchese, C.L.; Benelli, P.; Spada, J.C.; Tessaro, I.C. Impact of the Starch Source on the Physicochemical Properties and Biodegradability of Different Starch-Based Films. J. Appl. Polym. Sci. 2018, 135, 46564. [Google Scholar] [CrossRef]
- Evangelho, J.A.d.; Dannenberg, G.d.S.; Biduski, B.; Halal, S.L.M.e.; Kringel, D.H.; Gularte, M.A.; Fiorentini, A.M.; Zavareze, E.d.R. Antibacterial Activity, Optical, Mechanical, and Barrier Properties of Corn Starch Films Containing Orange Essential Oil. Carbohydr. Polym. 2019, 222, 114981. [Google Scholar] [CrossRef]
- Müller, C.M.O.; Yamashita, F.; Laurindo, J.B. Evaluation of the Effects of Glycerol and Sorbitol Concentration and Water Activity on the Water Barrier Properties of Cassava Starch Films through a Solubility Approach. Carbohydr. Polym. 2008, 72, 82–87. [Google Scholar] [CrossRef]
- Baldwin, E.A.; Burns, J.K.; Kazokas, W.; Brecht, J.K.; Hagenmaier, R.D.; Bender, R.J.; Pesis, E. Effect of Two Edible Coatings with Different Permeability Characteristics on Mango (Mangifera indica L.) Ripening during Storage. Postharvest Biol. Technol. 1999, 17, 215–226. [Google Scholar] [CrossRef]
- Chiumarelli, M.; Hubinger, M.D. Evaluation of Edible Films and Coatings Formulated with Cassava Starch, Glycerol, Carnauba Wax and Stearic Acid. Food Hydrocoll. 2014, 38, 20–27. [Google Scholar] [CrossRef]
- Nordin, N.; Othman, S.H.; Rashid, S.A.; Basha, R.K. Effects of Glycerol and Thymol on Physical, Mechanical, and Thermal Properties of Corn Starch Films. Food Hydrocoll. 2020, 106, 105884. [Google Scholar] [CrossRef]
- Cabello, S.D.P.; Takara, E.A.; Marchese, J.; Ochoa, N.A. Influence of Plasticizers in Pectin Films: Microstructural Changes. Mater. Chem. Phys. 2015, 162, 491–497. [Google Scholar] [CrossRef]
- Chuenkaek, T.; Kobayashi, T. Citrus Waste Upcycling toward Pectin Moisturizer Films Plasticized with Glycerol and Polyethylene Glycol. ACS Sustain. Resour. Manag. 2024, 1, 213–224. [Google Scholar] [CrossRef]
- Thakur, R.; Pristijono, P.; Scarlett, C.J.; Bowyer, M.; Singh, S.P.; Vuong, Q.V. Starch-Based Films: Major Factors Affecting Their Properties. Int. J. Biol. Macromol. 2019, 132, 1079–1089. [Google Scholar] [CrossRef]
- Fu, Z.; Guo, S.; Sun, Y.; Wu, H.; Huang, Z.; Wu, M. Effect of Glycerol Content on the Properties of Potato Flour Films. Starch Stärke 2021, 73, 2000203. [Google Scholar] [CrossRef]
- Edhirej, A.; Sapuan, S.M.; Jawaid, M.; Zahari, N.I. Effect of Various Plasticizers and Concentration on the Physical, Thermal, Mechanical, and Structural Properties of Cassava-Starch-Based Films. Starch Stärke 2017, 69, 1500366. [Google Scholar] [CrossRef]
- Gómez-López, R.A.; Montilla-Buitrago, C.E.; Villada-Castillo, H.S.; Sáenz-Galindo, A.; Avalos-Belmontes, F.; Serna-Cock, L. Co-Plasticization of Starch with Glycerol and Isosorbide: Effect on Retrogradation in Thermo-Plastic Cassava Starch Films. Polymers 2023, 15, 2104. [Google Scholar] [CrossRef]
- Chemiru, G.; Gonfa, G. Preparation and Characterization of Glycerol Plasticized Yam Starch-Based Films Reinforced with Titanium Dioxide Nanofiller. Carbohydr. Polym. Technol. Appl. 2023, 5, 100300. [Google Scholar] [CrossRef]
- Khotsaeng, N.; Simchuer, W.; Imsombut, T.; Srihanam, P. Effect of Glycerol Concentrations on the Characteristics of Cellulose Films from Cattail (Typha angustifolia L.) Flowers. Polymers 2023, 15, 4535. [Google Scholar] [CrossRef]
- Rojas-Lema, S.; Mellinas, C.; Jiménez, A.; Garrigós, M.C.; Garcia-Garcia, D.; Balart, R. Enhanced Properties of Methyl Hydroxyethyl Cellulose Films with Arabinoxylans-Rich Extract from Brewer’s Spent Grain. Carbohydr. Polym. Technol. Appl. 2024, 8, 100624. [Google Scholar] [CrossRef]
- MacDougall, D.B. Sensory Evaluation | Appearance. In Encyclopedia of Food Sciences and Nutrition; Academic Press: Cambridge, MA, USA, 2003; pp. 5161–5167. [Google Scholar] [CrossRef]
- Tongdeesoontorn, W.; Mauer, L.J.; Wongruong, S.; Sriburi, P.; Rachtanapun, P. Effect of Carboxymethyl Cellulose Concentration on Physical Properties of Biodegradable Cassava Starch-Based Films. Chem. Cent. J. 2011, 5, 6. [Google Scholar] [CrossRef] [PubMed]
- Paola, M.G.D.; Paletta, R.; Lopresto, C.G.; Lio, G.E.; Luca, A.D.; Chakraborty, S.; Calabrò, V. Stability of Film-Forming Dispersions: Affects the Morphology and Optical Properties of Polymeric Films. Polymers 2021, 13, 1464. [Google Scholar] [CrossRef] [PubMed]
- Pan, J.; Li, C.; Liu, J.; Jiao, Z.; Zhang, Q.; Lv, Z.; Yang, W.; Chen, D.; Liu, H. Polysaccharide-Based Packaging Coatings and Films with Phenolic Compounds in Preservation of Fruits and Vegetables—A Review. Foods 2024, 13, 3896. [Google Scholar] [CrossRef]
- Nagy, N. Contact Angle Determination on Hydrophilic and Superhydrophilic Surfaces by Using r –θ-Type Capillary Bridges. Langmuir 2019, 35, 5202–5212. [Google Scholar] [CrossRef] [PubMed]
- Eranda, D.H.U.; Chaijan, M.; Castro-Muñoz, R. Current Advances in Surface Wettability in Food Packaging Materials: Strategies, Methods and Future Trends. J. Food Eng. 2025, 391, 112440. [Google Scholar] [CrossRef]








| Sample | Ton (°C) | Tpeak (°C) | Tend (°C) | ΔT (°C) | ΔH (J/g) |
|---|---|---|---|---|---|
| Potato Starch | 69.21 | 115.8 | 190.47 | 121.26 | 393.7 |
| PS25 | 50.34 | 105.75 | 176.54 | 126.2 | 146.3 |
| PS30 | 54.61 | 115.75 | 177.54 | 122.93 | 163.3 |
| PS35 | 55.48 | 112.37 | 175.85 | 120.37 | 153.8 |
| Corn Starch | 67.46 | 115.64 | 197.26 | 129.8 | 307.3 |
| CS25 | 69.7 | 129.22 | 180.14 | 110.44 | 98.11 |
| CS30 | 58.02 | 113.81 | 185.09 | 127.07 | 238.9 |
| CS35 | 44.74 | 91.49 | 175.57 | 130.83 | 55.24 |
| Carboxymethylcellulose | 92.56 | 123.31 | 194.60 | 102.04 | 292.7 |
| CMC25 | 56.89 | 123.42 | 194.22 | 137.33 | 278.4 |
| CMC30 | 58.47 | 108.32 | 157.69 | 99.22 | 201.1 |
| CMC35 | 71.71 | 119.39 | 161.11 | 89.4 | 248.1 |
| Hydroxypropylmethylcellulose | 51.51 | 100.95 | 161.49 | 109.98 | 111.9 |
| HPMC25 | 33.35 | 87.01 | 164.54 | 131.19 | 110.7 |
| HPMC 30 | 40.31 | 90.9 | 180.90 | 140.59 | 73.72 |
| HPMC 35 | 45.51 | 94.26 | 148.17 | 102.66 | 104.6 |
| Pectin | 63.69 | 110.34 | 179.90 | 116.21 | 242.2 |
| PE25 | 55.8 | 120.7 | 166.06 | 110.26 | 217.5 |
| PE30 | 69.97 | 123.38 | 169.48 | 99.51 | 241.2 |
| PE35 | 54.86 | 114.95 | 176.48 | 121.62 | 206.8 |
Disclaimer/Publisher’s Note: The statements, opinions and data contained in all publications are solely those of the individual author(s) and contributor(s) and not of MDPI and/or the editor(s). MDPI and/or the editor(s) disclaim responsibility for any injury to people or property resulting from any ideas, methods, instructions or products referred to in the content. |
© 2025 by the authors. Licensee MDPI, Basel, Switzerland. This article is an open access article distributed under the terms and conditions of the Creative Commons Attribution (CC BY) license (https://creativecommons.org/licenses/by/4.0/).
Share and Cite
Ferreira, M.D.; De S. Vitolano, L.E.; Procopio, F.R.; Brexó, R.P.; Duarte, L.G.R.; Nogueira, P.H.B.; Bandini, V.P.; Mitsuyuki, M.C.; Paris, E.C. Optimizing Postharvest Edible Coatings for Fruit and Vegetables with Plant-Based Polysaccharides. Foods 2025, 14, 3897. https://doi.org/10.3390/foods14223897
Ferreira MD, De S. Vitolano LE, Procopio FR, Brexó RP, Duarte LGR, Nogueira PHB, Bandini VP, Mitsuyuki MC, Paris EC. Optimizing Postharvest Edible Coatings for Fruit and Vegetables with Plant-Based Polysaccharides. Foods. 2025; 14(22):3897. https://doi.org/10.3390/foods14223897
Chicago/Turabian StyleFerreira, Marcos D., Luís E. De S. Vitolano, Fernanda R. Procopio, Ramon Peres Brexó, Larissa G. R. Duarte, Pedro H. B. Nogueira, Vitor P. Bandini, Milene C. Mitsuyuki, and Elaine C. Paris. 2025. "Optimizing Postharvest Edible Coatings for Fruit and Vegetables with Plant-Based Polysaccharides" Foods 14, no. 22: 3897. https://doi.org/10.3390/foods14223897
APA StyleFerreira, M. D., De S. Vitolano, L. E., Procopio, F. R., Brexó, R. P., Duarte, L. G. R., Nogueira, P. H. B., Bandini, V. P., Mitsuyuki, M. C., & Paris, E. C. (2025). Optimizing Postharvest Edible Coatings for Fruit and Vegetables with Plant-Based Polysaccharides. Foods, 14(22), 3897. https://doi.org/10.3390/foods14223897

