Vegetables and Glycemic Index: Exploring Their Correlation and Health Implications
Abstract
1. Introduction
2. Materials and Methods
2.1. Vegetables-Based Sources of Carbohydrate Contents
2.2. Collection of GI and GL of Vegetables and Databases
2.3. Assessment of Available Carbohydrate Content and Its Fiber Ratio
2.4. Venn Diagram
2.5. Statistical Assessments
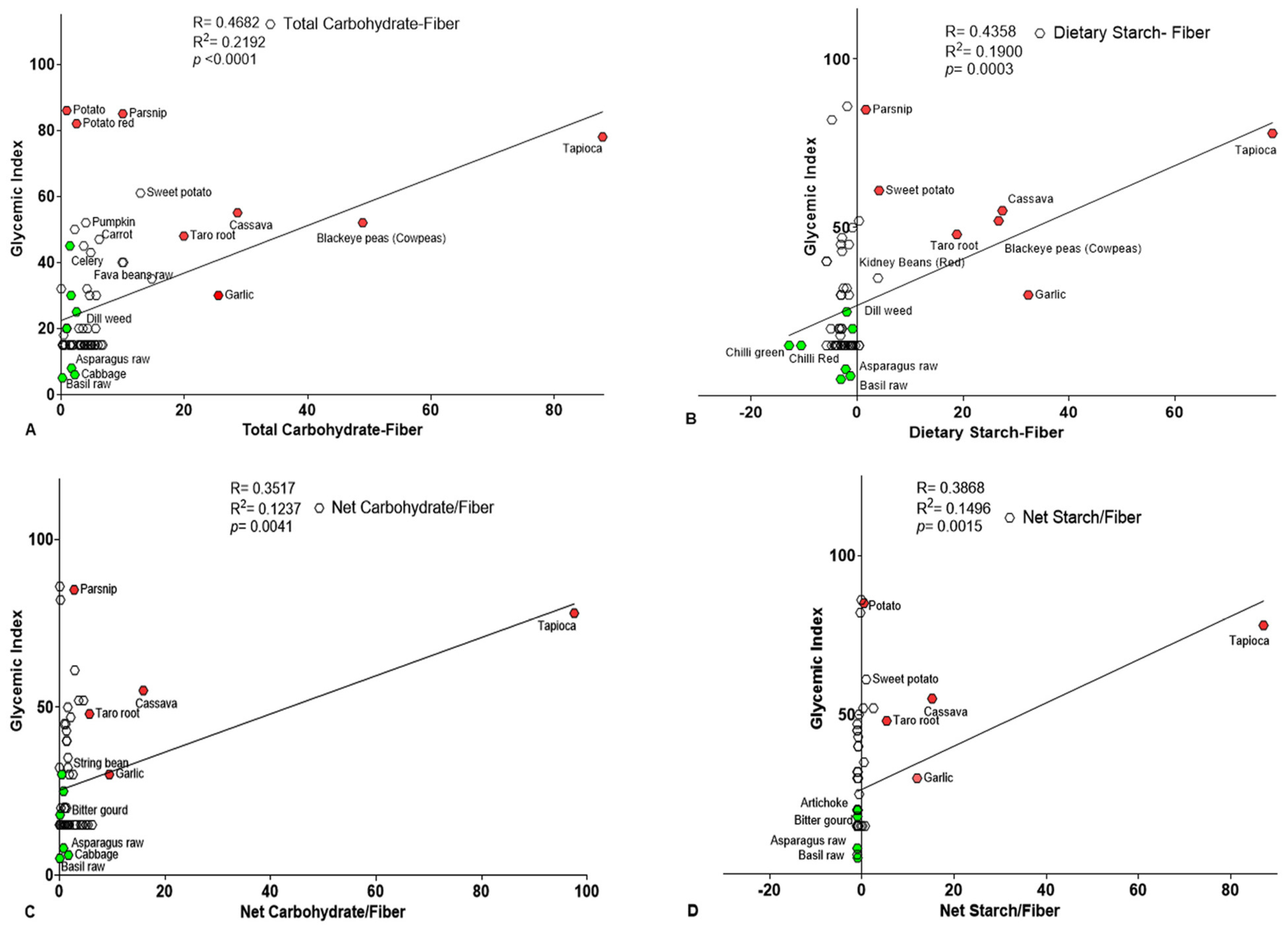
3. Results
4. Discussion
5. Conclusions
Supplementary Materials
Author Contributions
Funding
Institutional Review Board Statement
Informed Consent Statement
Data Availability Statement
Conflicts of Interest
Abbreviations
| AUC | Area under the curve | 
| CRP | C-reactive Protein | 
| CVD | Cardiovascular disease | 
| CQI | carbohydrate quality index | 
| DS | Dietary Starch | 
| DF | Dietary fiber | 
| DRI | Dietary Reference Intake | 
| FAO | Food and Agriculture Organization | 
| FGM/isCGM | Flash/Intermittently scanned continuous glucose monitoring | 
| g | Gram | 
| GI | Glycemic index | 
| GL | Glycemic load | 
| GR | Glycemic response | 
| GLP-1 | Glucagon-like peptide | 
| G6P | Glucose-6-phosphatase | 
| HbA1c | Hemoglobin A1c | 
| I3C | Indile-3-carbinol | 
| IDF | Insoluble dietary fiber | 
| KFCD | Korean Food Composition Database | 
| LDL | Low-density lipoprotein | 
| MLRA | Multiple linear regression analysis | 
| PCA | Principal component analysis | 
| PEPCK | Phosphoenolpyruvate carboxykinase | 
| SCFAs | Short-chain fatty acids | 
| SDF | Soluble dietary fiber | 
| SFN | Sulforaphane | 
| T2DM | Type 2 Diabetes mellitus | 
| TC | Total Carbohydrates | 
| TG | Total Glucose | 
| TF | Total Fructose | 
| TS | Total Starch | 
| USDA | U.S. Department of Agriculture | 
| WHO | World Health Organization | 
References
- World Health Organization. Diet, Nutrition, and the Prevention of Chronic Diseases: Report of a Joint WHO/FAO Expert Consultation; World Health Organization: Geneva, Switzerland, 2003; Volume 916. [Google Scholar]
- Herforth, A.; Arimond, M.; Álvarez-Sánchez, C.; Coates, J.; Christianson, K.; Muehlhoff, E. A global review of food-based dietary guidelines. Adv. Nutr. 2019, 10, 590–605. [Google Scholar] [CrossRef] [PubMed]
- Kalmpourtzidou, A.; Eilander, A.; Talsma, E.F. Global vegetable intake and supply compared to recommendations: A systematic review. Nutrients 2020, 12, 1558. [Google Scholar] [CrossRef]
- Afshin, A.; Sur, P.J.; Fay, K.A.; Cornaby, L.; Ferrara, G.; Salama, J.S.; Mullany, E.C.; Abate, K.H.; Abbafati, C.; Abebe, Z. Health effects of dietary risks in 195 countries, 1990–2017: A systematic analysis for the Global Burden of Disease Study 2017. Lancet 2019, 393, 1958–1972. [Google Scholar] [CrossRef]
- Manchali, S.; Murthy, K.N.C.; Patil, B.S. Crucial facts about health benefits of popular cruciferous vegetables. J. Funct. Foods 2012, 4, 94–106. [Google Scholar] [CrossRef]
- Dias, J.S. Nutritional quality and effect on disease prevention of vegetables. Food Nutr. Sci. 2019, 10, 369–402. [Google Scholar] [CrossRef]
- Pennington, J.A.; Fisher, R.A. Food component profiles for fruit and vegetable subgroups. J. Food Compos. Anal. 2010, 23, 411–418. [Google Scholar] [CrossRef]
- Jorge, P.A.R.; Neyra, L.C.; Osaki, R.M.; Almeida, E.D.; Bragagnolo, N. Effect of eggplant on plasma lipid levels, lipidic peroxidation and reversion of endothelial dysfunction in experimental hypercholesterolemia. Arq. Bras. Cardiol. 1998, 70, 87–91. [Google Scholar] [CrossRef]
- Howard, L.R.; Smith, R.; Wagner, A.; Villalon, B.; Burns, E. Provitamin A and ascorbic acid content of fresh pepper cultivars (Capsicum annuum) and processed jalapenos. J. Food Sci. 1994, 59, 362–365. [Google Scholar] [CrossRef]
- Septembre-Malaterre, A.; Remize, F.; Poucheret, P. Fruits and vegetables, as a source of nutritional compounds and phytochemicals: Changes in bioactive compounds during lactic fermentation. Food Res. Int. 2018, 104, 86–99. [Google Scholar] [CrossRef] [PubMed]
- Siriwardhana, N.; Kalupahana, N.S.; Cekanova, M.; LeMieux, M.; Greer, B.; Moustaid-Moussa, N. Modulation of adipose tissue inflammation by bioactive food compounds. J. Nutr. Biochem. 2013, 24, 613–623. [Google Scholar] [CrossRef]
- Andriantsitohaina, R.; Auger, C.; Chataigneau, T.; Étienne-Selloum, N.; Li, H.; Martínez, M.C.; Schini-Kerth, V.B.; Laher, I. Molecular mechanisms of the cardiovascular protective effects of polyphenols. Br. J. Nutr. 2012, 108, 1532–1549. [Google Scholar] [CrossRef]
- de la Torre-Carbot, K.; Chávez-Servín, J.L.; Jaúregui, O.; Castellote, A.I.; Lamuela-Raventós, R.M.; Nurmi, T.; Poulsen, H.E.; Gaddi, A.V.; Kaikkonen, J.; Zunft, H.-F. Elevated circulating LDL phenol levels in men who consumed virgin rather than refined olive oil are associated with less oxidation of plasma LDL. J. Nutr. 2010, 140, 501–508. [Google Scholar] [CrossRef]
- Manach, C.; Scalbert, A.; Morand, C.; Rémésy, C.; Jiménez, L. Polyphenols: Food sources and bioavailability. Am. J. Clin. Nutr. 2004, 79, 727–747. [Google Scholar] [CrossRef] [PubMed]
- Jia, X.; Zhong, L.; Song, Y.; Hu, Y.; Wang, G.; Sun, S. Consumption of citrus and cruciferous vegetables with incident type 2 diabetes mellitus based on a meta-analysis of prospective study. Prim. Care Diabetes 2016, 10, 272–280. [Google Scholar] [CrossRef] [PubMed]
- Singh, M.K.; Han, S.; Ju, S.; Ranbhise, J.S.; Akter, S.; Kim, S.S.; Kang, I. Fruit Carbohydrates and Their Impact on the Glycemic Index: A Study of Key Determinants. Foods 2025, 14, 646. [Google Scholar] [CrossRef] [PubMed]
- Jenkins, D.J.; Kendall, C.W.; Augustin, L.S.; Franceschi, S.; Hamidi, M.; Marchie, A.; Jenkins, A.L.; Axelsen, M. Glycemic index: Overview of implications in health and disease. Am. J. Clin. Nutr. 2002, 76, 266S–273S. [Google Scholar] [CrossRef]
- Brand-Miller, J.C.; Petocz, P.; Colagiuri, S. Meta-analysis of low-glycemic index diets in the management of diabetes: Response to Franz. Diabetes Care 2003, 26, 3363–3365. [Google Scholar] [CrossRef]
- Opperman, A.M.; Venter, C.S.; Oosthuizen, W.; Thompson, R.L.; Vorster, H.H. Meta-analysis of the health effects of using the glycaemic index in meal-planning. Br. J. Nutr. 2004, 92, 367–381. [Google Scholar] [CrossRef]
- Das, L.; Bhaumik, E.; Raychaudhuri, U.; Chakraborty, R. Role of nutraceuticals in human health. J. Food Sci. Technol. 2012, 49, 173–183. [Google Scholar] [CrossRef]
- Bertoia, M.L.; Mukamal, K.J.; Cahill, L.E.; Hou, T.; Ludwig, D.S.; Mozaffarian, D.; Willett, W.C.; Hu, F.B.; Rimm, E.B. Changes in intake of fruits and vegetables and weight change in United States men and women followed for up to 24 years: Analysis from three prospective cohort studies. PLoS Med. 2015, 12, e1001878. [Google Scholar] [CrossRef]
- Wang, D.D.; Li, Y.; Bhupathiraju, S.N.; Rosner, B.A.; Sun, Q.; Giovannucci, E.L.; Rimm, E.B.; Manson, J.E.; Willett, W.C.; Stampfer, M.J. Fruit and vegetable intake and mortality: Results from 2 prospective cohort studies of US men and women and a meta-analysis of 26 cohort studies. Circulation 2021, 143, 1642–1654. [Google Scholar] [CrossRef] [PubMed]
- Mori, N.; Shimazu, T.; Charvat, H.; Mutoh, M.; Sawada, N.; Iwasaki, M.; Yamaji, T.; Inoue, M.; Goto, A.; Takachi, R. Cruciferous vegetable intake and mortality in middle-aged adults: A prospective cohort study. Clin. Nutr. 2019, 38, 631–643. [Google Scholar] [CrossRef]
- Fuller, S.; Beck, E.; Salman, H.; Tapsell, L. New horizons for the study of dietary fiber and health: A review. Plant Foods Hum. Nutr. 2016, 71, 1–12. [Google Scholar] [CrossRef] [PubMed]
- Li, Z.; Wang, D.; Ruiz-Narváez, E.A.; Peterson, K.E.; Campos, H.; Baylin, A. Starchy vegetables and metabolic syndrome in Costa Rica. Nutrients 2021, 13, 1639. [Google Scholar] [CrossRef]
- Goshtasebi, A.; Hosseinpour-Niazi, S.; Mirmiran, P.; Lamyian, M.; Banaem, L.M.; Azizi, F. Pre-pregnancy consumption of starchy vegetables and legumes and risk of gestational diabetes mellitus among Tehranian women. Diabetes Res. Clin. Pract. 2018, 139, 131–138. [Google Scholar] [CrossRef]
- Moholdt, T.; Nilsen, T.I. Frequency of boiled potato consumption and all-cause and cardiovascular disease mortality in the prospective population-based HUNT study. Front. Nutr. 2021, 8, 681365. [Google Scholar] [CrossRef]
- Chen, X.; Jiao, J.; Zhuang, P.; Wu, F.; Mao, L.; Zhang, Y.; Zhang, Y. Current intake levels of potatoes and all-cause mortality in China: A population-based nationwide study. Nutrition 2021, 81, 110902. [Google Scholar] [CrossRef]
- Zhang, T.; Peng, Z.; Li, H.; Liang, S.; Liu, M.; Ye, S.; Huang, Y.; Zhu, Y.; Li, X.; Wang, D. A prospective cohort study of starchy and non-starchy vegetable intake and mortality risk. Br. J. Nutr. 2023, 130, 719–727. [Google Scholar] [CrossRef]
- Suresh, S.; Waly, M.I.; Rahman, M.S.; Guizani, N.; Al-Kindi, M.A.B.; Al-Issaei, H.K.A.; Al-Maskari, S.N.M.; Al-Ruqaishi, B.R.S.; Al-Salami, A. Broccoli (Brassica oleracea) reduces oxidative damage to pancreatic tissue and combats hyperglycaemia in diabetic rats. Prev. Nutr. Food Sci. 2017, 22, 277. [Google Scholar] [CrossRef]
- Veeramani, C.; Alsaif, M.A.; Al-Numair, K.S. Lavatera critica controls systemic insulin resistance by ameliorating adipose tissue inflammation and oxidative stress using bioactive compounds identified by GC–MS. Biomed. Pharmacother. 2018, 106, 183–191. [Google Scholar] [CrossRef] [PubMed]
- Navarro, S.L.; Schwarz, Y.; Song, X.; Wang, C.-Y.; Chen, C.; Trudo, S.P.; Kristal, A.R.; Kratz, M.; Eaton, D.L.; Lampe, J.W. Cruciferous vegetables have variable effects on biomarkers of systemic inflammation in a randomized controlled trial in healthy young adults. J. Nutr. 2014, 144, 1850–1857. [Google Scholar] [CrossRef]
- Mozaffarian, D.; Hao, T.; Rimm, E.B.; Willett, W.C.; Hu, F.B. Changes in diet and lifestyle and long-term weight gain in women and men. N. Engl. J. Med. 2011, 364, 2392–2404. [Google Scholar] [CrossRef]
- Bondonno, C.P.; Zhong, L.; Bondonno, N.P.; Sim, M.; Blekkenhorst, L.C.; Liu, A.; Rajendra, A.; Pokharel, P.; Erichsen, D.W.; Neubauer, O. Nitrate: The Dr. Jekyll and Mr. Hyde of human health? Trends Food Sci. Technol. 2023, 135, 57–73. [Google Scholar] [CrossRef]
- Sarkar, T.; Salauddin, M.; Roy, S.; Chakraborty, R.; Rebezov, M.; Shariati, M.A.; Thiruvengadam, M.; Rengasamy, K.R.R. Underutilized green leafy vegetables: Frontier in fortified food development and nutrition. Crit. Rev. Food Sci. Nutr. 2023, 63, 11679–11733. [Google Scholar] [CrossRef] [PubMed]
- Pokharel, P.; Bellinge, J.W.; Dalgaard, F.; Murray, K.; Sim, M.; Yeap, B.B.; Connolly, E.; Blekkenhorst, L.C.; Bondonno, C.P.; Lewis, J.R. Vitamin K1 intake and incident diabetes in the Danish diet, cancer, and health study. J. Clin. Endocrinol. Metab. 2023, 108, e1253–e1263. [Google Scholar] [CrossRef]
- Pokharel, P.; Kyrø, C.; Olsen, A.; Tjønneland, A.; Murray, K.; Blekkenhorst, L.C.; Bondonno, C.P.; Hodgson, J.M.; Bondonno, N.P. Vegetable, but not potato, intake is associated with a lower risk of type 2 diabetes in the Danish Diet, Cancer and Health cohort. Diabetes Care 2023, 46, 286–296. [Google Scholar] [CrossRef] [PubMed]
- Zheng, J.-S.; Sharp, S.J.; Imamura, F.; Chowdhury, R.; Gundersen, T.E.; Steur, M.; Sluijs, I.; Van Der Schouw, Y.T.; Agudo, A.; Aune, D. Association of plasma biomarkers of fruit and vegetable intake with incident type 2 diabetes: EPIC-InterAct case-cohort study in eight European countries. BMJ 2020, 370, m2194. [Google Scholar] [CrossRef]
- Hill, C.R.; Haoci Liu, A.; McCahon, L.; Zhong, L.; Shafaei, A.; Balmer, L.; Lewis, J.R.; Hodgson, J.M.; Blekkenhorst, L.C. S-methyl cysteine sulfoxide and its potential role in human health: A scoping review. Crit. Rev. Food Sci. Nutr. 2025, 65, 87–100. [Google Scholar] [CrossRef]
- Heiss, E.H.; Schachner, D.; Zimmermann, K.; Dirsch, V.M. Glucose availability is a decisive factor for Nrf2-mediated gene expression. Redox Biol. 2013, 1, 359–365. [Google Scholar] [CrossRef] [PubMed]
- Foster-Powell, K.; Holt, S.H.; Brand-Miller, J.C. International table of glycemic index and glycemic load values: 2002. Am. J. Clin. Nutr. 2002, 76, 5–56. [Google Scholar] [CrossRef] [PubMed]
- Foster-Powell, K.; Miller, J.B. International tables of glycemic index. Am. J. Clin. Nutr. 1995, 62, 871S–890S. [Google Scholar] [CrossRef]
- Atkinson, F.S.; Foster-Powell, K.; Brand-Miller, J.C. International tables of glycemic index and glycemic load values: 2008. Diabetes Care 2008, 31, 2281–2283. [Google Scholar] [CrossRef]
- US Department of Agriculture, Agricultural Research Service. USDA Nutrient Database for Standard Reference, Release 14: Nutrient Data Laboratory Home Page; US Department of Agriculture, Agricultural Research Service: Beltsville, MD, USA, 2001.
- English, R.; Lewis, J. Food for Health: A Guide to Good Nutrition with Nutrient Values for 650 Australian Foods; Australian Government Publishing Service (AGPS): Canberra, Australia, 1991.
- AlEssa, H.B.; Bhupathiraju, S.N.; Malik, V.S.; Wedick, N.M.; Campos, H.; Rosner, B.; Willett, W.C.; Hu, F.B. Carbohydrate quality and quantity and risk of type 2 diabetes in US women. Am. J. Clin. Nutr. 2015, 102, 1543–1553. [Google Scholar] [CrossRef]
- Cândido, F.G.; Pereira, E.V.; Alfenas, R.d.C.G. Use of the glycemic index in nutrition education. Rev. Nutr. 2013, 26, 89–96. [Google Scholar] [CrossRef]
- Esfahani, A.; Wong, J.M.; Mirrahimi, A.; Srichaikul, K.; Jenkins, D.J.; Kendall, C.W. The glycemic index: Physiological significance. J. Am. Coll. Nutr. 2009, 28 (Suppl. 4), 439S–445S. [Google Scholar] [CrossRef]
- Englyst, K.; Liu, S.; Englyst, H. Nutritional characterization and measurement of dietary carbohydrates. Eur. J. Clin. Nutr. 2007, 61, S19–S39. [Google Scholar] [CrossRef] [PubMed]
- Englyst, K.N.; Englyst, H.N. Carbohydrate bioavailability. Br. J. Nutr. 2005, 94, 1–11. [Google Scholar] [CrossRef]
- Petkova, N.; Popova, V.; Ivanova, T.; Mazova, N.; Panayotov, N.; Stoyanova, A. Nutritional composition of different cape gooseberry genotypes (Physalis peruviana L.)—A comparative study. Food Res. 2021, 5, 191–202. [Google Scholar] [CrossRef] [PubMed]
- Sequeira, P.A.; Montoya, L.; Ruelas, V.; Xing, D.; Chen, V.; Beck, R.; Peters, A.L. Continuous glucose monitoring pilot in low-income type 1 diabetes patients. Diabetes Technol. Ther. 2013, 15, 855–858. [Google Scholar] [CrossRef] [PubMed]
- Heberle, H.; Meirelles, G.V.; da Silva, F.R.; Telles, G.P.; Minghim, R. InteractiVenn: A web-based tool for the analysis of sets through Venn diagrams. BMC Bioinform. 2015, 16, 169. [Google Scholar] [CrossRef]
- AlEssa, H.B.; Cohen, R.; Malik, V.S.; Adebamowo, S.N.; Rimm, E.B.; Manson, J.E.; Willett, W.C.; Hu, F.B. Carbohydrate quality and quantity and risk of coronary heart disease among US women and men. Am. J. Clin. Nutr. 2018, 107, 257–267. [Google Scholar] [CrossRef]
- Zazpe, I.; Sanchez-Tainta, A.; Santiago, S.; de la Fuente-Arrillaga, C.; Bes-Rastrollo, M.; Martínez, J.A.; Martínez-González, M.Á. Association between dietary carbohydrate intake quality and micronutrient intake adequacy in a Mediterranean cohort: The SUN (Seguimiento Universidad de Navarra) Project. Br. J. Nutr. 2014, 111, 2000–2009. [Google Scholar] [CrossRef]
- Wolever, T. Is glycaemic index (GI) a valid measure of carbohydrate quality? Eur. J. Clin. Nutr. 2013, 67, 522–531. [Google Scholar] [CrossRef] [PubMed]
- Ramachandran, L. Nutritional and therapeutic significance of protein-based bioactive compounds liberated by fermentation. In Fermented Foods: Biochemistry and Biotechnology; CRC Press: Boca Raton, FL, USA, 2016; pp. 304–317. [Google Scholar]
- Hasler, C.M. The changing face of functional foods. J. Am. Coll. Nutr. 2000, 19 (Suppl. 5), 499S–506S. [Google Scholar] [CrossRef] [PubMed]
- Hasler, C.M. Functional foods: Benefits, concerns and challenges—A position paper from the American Council on Science and Health. J. Nutr. 2002, 132, 3772–3781. [Google Scholar] [CrossRef]
- Jenkins, D.J.; Wolever, T.; Taylor, R.H.; Barker, H.; Fielden, H.; Baldwin, J.M.; Bowling, A.C.; Newman, H.C.; Jenkins, A.L.; Goff, D.V. Glycemic index of foods: A physiological basis for carbohydrate exchange. Am. J. Clin. Nutr. 1981, 34, 362–366. [Google Scholar] [CrossRef] [PubMed]
- Pal, S.; Lim, S.; Egger, G. The effect of a low glycaemic index breakfast on blood glucose, insulin, lipid profiles, blood pressure, body weight, body composition and satiety in obese and overweight individuals: A pilot study. J. Am. Coll. Nutr. 2008, 27, 387–393. [Google Scholar] [CrossRef]
- Marsh, K.; Barclay, A.; Colagiuri, S.; Brand-Miller, J. Glycemic index and glycemic load of carbohydrates in the diabetes diet. Curr. Diabetes Rep. 2011, 11, 120–127. [Google Scholar] [CrossRef]
- Barclay, A.W.; Petocz, P.; McMillan-Price, J.; Flood, V.M.; Prvan, T.; Mitchell, P.; Brand-Miller, J.C. Glycemic index, glycemic load, and chronic disease risk—A meta-analysis of observational studies. Am. J. Clin. Nutr. 2008, 87, 627–637. [Google Scholar] [CrossRef]
- Lawal, O.M.; Fogliano, V.; Rotte, I.; Fagbemi, T.N.; Dekker, M.; Linnemann, A.R. Leafy vegetables fortification enhanced the nutritional profile and reduced the glycemic index of yellow cassava pasta. Food Funct. 2022, 13, 6118–6128. [Google Scholar] [CrossRef]
- Livesey, G.; Taylor, R.; Hulshof, T.; Howlett, J. Glycemic response and health—A systematic review and meta-analysis: Relations between dietary glycemic properties and health outcomes. Am. J. Clin. Nutr. 2008, 87, 258S–268S. [Google Scholar] [CrossRef]
- Li, M.; Ma, S. A review of healthy role of dietary fiber in modulating chronic diseases. Food Res. Int. 2024, 191, 114682. [Google Scholar] [CrossRef]
- Kaline, K.; Bornstein, S.; Bergmann, A.; Hauner, H.; Schwarz, P. The importance and effect of dietary fiber in diabetes prevention with particular consideration of whole grain products. Horm. Metab. Res. 2007, 39, 687–693. [Google Scholar] [CrossRef]
- Axelsson, A.S.; Tubbs, E.; Mecham, B.; Chacko, S.; Nenonen, H.A.; Tang, Y.; Fahey, J.W.; Derry, J.M.; Wollheim, C.B.; Wierup, N. Sulforaphane reduces hepatic glucose production and improves glucose control in patients with type 2 diabetes. Sci. Transl. Med. 2017, 9, eaah4477. [Google Scholar] [CrossRef]
- Pokharel, P.; Blekkenhorst, L.C.; Bondonno, C.P.; Murray, K.; Radavelli-Bagatini, S.; Magliano, D.J.; Daly, R.M.; Shaw, J.E.; Lewis, J.R.; Hodgson, J.M. Associations of vegetable and potato intakes with markers of type 2 diabetes risk in the ausdiab cohort. J. Clin. Endocrinol. Metab. 2025, 110, e1068–e1083. [Google Scholar] [CrossRef] [PubMed]
- Górecka, D.; Komolka, P.; Dziedzic, K.; Walkowiak, J. The Influence of Thermal Processing of Fruit and Vegetables on Their Glycaemic Index and Glycaemic Load. Postep. Hig. Med. Dosw 2020, 74, 205–212. [Google Scholar] [CrossRef]
- Punna, R.; Rao Paruchuri, U. Effect of maturity and processing on total, insoluble and soluble dietary fiber contents of Indian green leafy vegetables. Int. J. Food Sci. Nutr. 2004, 55, 561–567. [Google Scholar] [CrossRef] [PubMed]
- Henning, S.M.; Yang, J.; Shao, P.; Lee, R.-P.; Huang, J.; Ly, A.; Hsu, M.; Lu, Q.-Y.; Thames, G.; Heber, D. Health benefit of vegetable/fruit juice-based diet: Role of microbiome. Sci. Rep. 2017, 7, 2167. [Google Scholar] [CrossRef]
- Galanty, A.; Grudzińska, M.; Paździora, W.; Służały, P.; Paśko, P. Do Brassica vegetables affect thyroid function?—A comprehensive systematic review. Int. J. Mol. Sci. 2024, 25, 3988. [Google Scholar] [CrossRef]
- Reynolds, A.; Mann, J.; Cummings, J.; Winter, N.; Mete, E.; Te Morenga, L. Carbohydrate quality and human health: A series of systematic reviews and meta-analyses. Lancet 2019, 393, 434–445. [Google Scholar] [CrossRef]
- Schirra, J.; Göke, B. The physiological role of GLP-1 in human: Incretin, ileal brake or more? Regul. Pept. 2005, 128, 109–115. [Google Scholar] [CrossRef] [PubMed]
- Verdich, C.; Flint, A.; Gutzwiller, J.-P.; Naslund, E.; Beglinger, C.; Hellstrom, P.; Long, S.; Morgan, L.; Holst, J.; Astrup, A. A meta-analysis of the effect of glucagon-like peptide-1 (7–36) amide on ad libitum energy intake in humans. J. Clin. Endocrinol. Metab. 2001, 86, 4382–4389. [Google Scholar]
- Ma, W.; Nguyen, L.H.; Song, M.; Wang, D.D.; Franzosa, E.A.; Cao, Y.; Joshi, A.; Drew, D.A.; Mehta, R.; Ivey, K.L. Dietary fiber intake, the gut microbiome, and chronic systemic inflammation in a cohort of adult men. Genome Med. 2021, 13, 102. [Google Scholar] [CrossRef] [PubMed]
- Perler, B.K.; Friedman, E.S.; Wu, G.D. The role of the gut microbiota in the relationship between diet and human health. Annu. Rev. Physiol. 2023, 85, 449–468. [Google Scholar] [CrossRef] [PubMed]
- Mousa, W.K.; Chehadeh, F.; Husband, S. Recent advances in understanding the structure and function of the human microbiome. Front. Microbiol. 2022, 13, 825338. [Google Scholar] [CrossRef]
- Lattimer, J.M.; Haub, M.D. Effects of dietary fiber and its components on metabolic health. Nutrients 2010, 2, 1266–1289. [Google Scholar] [CrossRef]
- Madkor, H.R.; Mansour, S.W.; Ramadan, G. Modulatory effects of garlic, ginger, turmeric and their mixture on hyperglycaemia, dyslipidaemia and oxidative stress in streptozotocin–nicotinamide diabetic rats. Br. J. Nutr. 2011, 105, 1210–1217. [Google Scholar] [CrossRef]
- Eidi, A.; Eidi, M.; Esmaeili, E. Antidiabetic effect of garlic (Allium sativum L.) in normal and streptozotocin-induced diabetic rats. Phytomedicine 2006, 13, 624–629. [Google Scholar] [CrossRef]
- Al-Amin, Z.M.; Thomson, M.; Al-Qattan, K.K.; Peltonen-Shalaby, R.; Ali, M. Anti-diabetic and hypolipidaemic properties of ginger (Zingiber officinale) in streptozotocin-induced diabetic rats. Br. J. Nutr. 2006, 96, 660–666. [Google Scholar] [CrossRef]
- Matsunaga, S.; Azuma, K.; Watanabe, M.; Tsuka, T.; Imagawa, T.; Osaki, T.; Okamoto, Y. Onion peel tea ameliorates obesity and affects blood parameters in a mouse model of high-fat-diet-induced obesity. Exp. Ther. Med. 2014, 7, 379–382. [Google Scholar] [CrossRef]
- Xu, X.; Cheng, Y.; Li, S.; Zhu, Y.; Xu, X.; Zheng, X.; Mao, Q.; Xie, L. Dietary carrot consumption and the risk of prostate cancer. Eur. J. Nutr. 2014, 53, 1615–1623. [Google Scholar] [CrossRef]
- Monnier, L.; Mas, E.; Ginet, C.; Michel, F.; Villon, L.; Cristol, J.-P.; Colette, C. Activation of oxidative stress by acute glucose fluctuations compared with sustained chronic hyperglycemia in patients with type 2 diabetes. Jama 2006, 295, 1681–1687. [Google Scholar] [CrossRef]
- Tangvarasittichai, S. Oxidative stress, insulin resistance, dyslipidemia and type 2 diabetes mellitus. World J. Diabetes 2015, 6, 456. [Google Scholar] [CrossRef] [PubMed]
- Jenkins, D.; Kendall, C.; Nguyen, T.; Teitel, J.; Marchie, A.; Chiu, M.; Taha, A.; Faulkner, D.; Kemp, T.; Wong, J. Effect on hematologic risk factors for coronary heart disease of a cholesterol reducing diet. Eur. J. Clin. Nutr. 2007, 61, 483–492. [Google Scholar] [CrossRef] [PubMed]
- Brownlee, I.A. The physiological roles of dietary fibre. Food Hydrocoll. 2011, 25, 238–250. [Google Scholar] [CrossRef]
- Brennan, C.S. Dietary fibre, glycaemic response, and diabetes. Mol. Nutr. Food Res. 2005, 49, 560–570. [Google Scholar] [CrossRef]
- Stanaway, J.D.; Afshin, A.; Ashbaugh, C.; Bisignano, C.; Brauer, M.; Ferrara, G.; Garcia, V.; Haile, D.; Hay, S.I.; He, J. Health effects associated with vegetable consumption: A Burden of Proof study. Nat. Med. 2022, 28, 2066–2074. [Google Scholar] [CrossRef]
- Fadnes, L.T.; Økland, J.-M.; Haaland, Ø.A.; Johansson, K.A. Estimating impact of food choices on life expectancy: A modeling study. PLoS Med. 2022, 19, e1003889. [Google Scholar]
- Agudo, A. Measuring intake of fruit and vegetables. In Measuring Intake of Fruit and Vegetables; World Health Organization: Geneva, Switzerland, 2005. [Google Scholar]





| S. No. | Vegetables | Carbohydrate Content (g) | Carbohydrate-to-Fiber Ratio (g/g) | |||||||||||||||||
|---|---|---|---|---|---|---|---|---|---|---|---|---|---|---|---|---|---|---|---|---|
| Glucose | Total Glucose (TG) | Fructose | Total Fructose (TF) | Sucrose | Total Sugar (TS) | Total carbohydrate (TC) | Starch | Glycemic Index (GI) | Glycemic load (GL) | Dietary Fiber (DF) | Glucose | Total Glucose (TG) | Fructose | Total Fructose (TF) | Total Sugar (TS) | Total Carbohydrate (TC) | Starch | Sucrose | ||
| 1 | Artichoke | 0.4 | 0.500 | 0.3 | 0.40 | 0.2 | 1.1 | 11.000 | 0.4 | 20 | 1.2 | 5.40 | 0.074 | 0.093 | 0.056 | 0.074 | 0.204 | 2.037 | 0.1 | 0.0370 | 
| 2 | Ash Gourd | 0.900 | 0.900 | 1.10 | 1.10 | 0.00 | 2.00 | 2.100 | 0.1 | 15 | 0.70 | 0.50 | 1.800 | 1.800 | 2.200 | 2.200 | 4.000 | 4.200 | 0.2 | 0.0000 | 
| 3 | Asparagus raw | 0.650 | 0.765 | 1.00 | 1.12 | 0.23 | 1.88 | 3.880 | 0 | 8 | 1 | 2.20 | 0.295 | 0.348 | 0.455 | 0.507 | 0.855 | 1.764 | 0.0 | 0.1045 | 
| 4 | Basil raw | 0.000 | 0.000 | 0.00 | 0.00 | 0.00 | 0.00 | 3.500 | 0.2 | 5.00 | 0.10 | 3.30 | 0.000 | 0.000 | 0.000 | 0.000 | 0.000 | 1.061 | 0.1 | 0.0000 | 
| 5 | Blackeye peas (Cowpeas) | 0.000 | 0.000 | 0.00 | 0.00 | 0.00 | 3.00 | 59.600 | 37.40 | 52 | 13 | 10.70 | 0.000 | 0.000 | 0.000 | 0.000 | 0.280 | 5.570 | 3.5 | 0.0000 | 
| 6 | Beets Raw | 0.300 | 2.445 | 0.51 | 2.66 | 4.29 | 5.10 | 8.790 | 0 | 30 | 2.6 | 3.10 | 0.097 | 0.789 | 0.165 | 0.856 | 1.645 | 2.835 | 0.0 | 1.3839 | 
| 7 | Bitter gourd | 0.1 | 0.100 | 0 | 0.00 | 0 | 0.1 | 3.700 | 0.1 | 18 | 6.14 | 3.30 | 0.030 | 0.030 | 0.000 | 0.000 | 0.030 | 1.121 | 0.0 | 0.0000 | 
| 8 | Bottle gourd | 0.9 | 0.900 | 0.8 | 0.80 | 0 | 1.7 | 3.100 | 0.3 | 15 | 0.02 | 1.20 | 0.750 | 0.750 | 0.667 | 0.667 | 1.417 | 2.583 | 0.3 | 0.0000 | 
| 9 | Broad bean | 0.2 | 0.400 | 0.1 | 0.30 | 0.4 | 1.5 | 17.000 | 1.3 | 40 | 7.2 | 7.10 | 0.028 | 0.056 | 0.014 | 0.042 | 0.211 | 2.394 | 0.2 | 0.0563 | 
| 10 | Broccoli | 0.580 | 0.585 | 0.82 | 0.83 | 0.01 | 1.40 | 6.270 | 0 | 15 | 0.5 | 2.40 | 0.242 | 0.244 | 0.342 | 0.344 | 0.583 | 2.613 | 0.0 | 0.0042 | 
| 11 | Brussels | 0.810 | 1.040 | 0.93 | 1.16 | 0.46 | 2.20 | 9.620 | 0 | 15 | 1.1 | 4.80 | 0.169 | 0.217 | 0.194 | 0.242 | 0.458 | 2.004 | 0.0 | 0.0958 | 
| 12 | Brussels Sprouts | 0.81 | 1.040 | 0.93 | 1.16 | 0.46 | 3.20 | 9.62 | 0 | 15 | 0.3 | 4.7 | 0.188 | 0.242 | 0.216 | 0.270 | 0.667 | 2.004 | 0.0 | 0.1070 | 
| 13 | Cabbage | 1.700 | 1.740 | 1.50 | 1.54 | 0.08 | 3.20 | 3.510 | 0 | 6 | 7.5 | 1.30 | 1.308 | 1.338 | 1.154 | 1.185 | 2.462 | 2.700 | 0.0 | 0.0615 | 
| 14 | Cabbage green | 1.000 | 1.000 | 1.30 | 1.30 | 0.00 | 2.30 | 6.380 | 0.1 | 15 | 0.9 | 2.55 | 0.392 | 0.392 | 0.510 | 0.510 | 0.902 | 2.502 | 0.0 | 0.0000 | 
| 15 | Cabbage Red | 1.700 | 2.000 | 1.57 | 1.87 | 0.60 | 3.80 | 6.790 | 0 | 32 | 1 | 2.60 | 0.654 | 0.769 | 0.604 | 0.720 | 1.462 | 2.612 | 0.0 | 0.2308 | 
| 16 | Carrot | 1.000 | 2.350 | 1.00 | 2.35 | 2.70 | 4.70 | 9.080 | 0 | 47 | 3 | 2.90 | 0.345 | 0.810 | 0.345 | 0.810 | 1.621 | 3.131 | 0.0 | 0.9310 | 
| 17 | Cassava | 0.2 | 0.600 | 0.2 | 0.60 | 0.8 | 1.2 | 30.400 | 29.2 | 55 | 20.9 | 1.80 | 0.111 | 0.333 | 0.111 | 0.333 | 0.667 | 16.889 | 16.2 | 0.4444 | 
| 18 | Cauliflower | 1.400 | 1.400 | 1.40 | 1.40 | 0.00 | 2.80 | 4.720 | 0.5 | 15 | 0.8 | 1.90 | 0.737 | 0.737 | 0.737 | 0.737 | 1.474 | 2.484 | 0.3 | 0.0000 | 
| 19 | Celery | 0.400 | 0.440 | 0.37 | 0.41 | 0.08 | 1.30 | 3.000 | 0 | 45 | 0.3 | 1.58 | 0.253 | 0.278 | 0.234 | 0.259 | 0.823 | 1.899 | 0.0 | 0.0506 | 
| 20 | Chayote | 1.4 | 1.400 | 1.7 | 1.70 | 0 | 3.1 | 3.600 | 0.5 | 50 | 2.3 | 1.40 | 1.000 | 1.000 | 1.214 | 1.214 | 2.214 | 2.571 | 0.4 | 0.0000 | 
| 21 | Chicory | 0.3 | 0.300 | 0.4 | 0.40 | 0 | 0.7 | 4.700 | 0.1 | 15 | 0.6 | 4.00 | 0.075 | 0.075 | 0.100 | 0.100 | 0.175 | 1.175 | 0.0 | 0.0000 | 
| 22 | Chili green | 0.6 | 0.650 | 0.3 | 0.35 | 0.1 | 1 | 13.090 | 0 | 15 | 124 | 12.90 | 0.047 | 0.050 | 0.023 | 0.027 | 0.078 | 1.015 | 0.0 | 0.0078 | 
| 23 | Chili Red | 1.9 | 1.900 | 2.3 | 2.30 | 0 | 4.2 | 14.800 | 0 | 15 | 1.4 | 10.60 | 0.179 | 0.179 | 0.217 | 0.217 | 0.396 | 1.396 | 0.0 | 0.0000 | 
| 24 | Courgette | 1.100 | 1.125 | 1.40 | 1.43 | 0.05 | 2.50 | 1.800 | 0 | 20 | 1.7 | 0.90 | 1.222 | 1.250 | 1.556 | 1.583 | 2.778 | 2.000 | 0.0 | 0.0556 | 
| 25 | Cucumber | 0.760 | 0.775 | 0.87 | 0.89 | 0.03 | 1.70 | 3.600 | 0.83 | 15 | 0.4 | 0.50 | 1.520 | 1.550 | 1.740 | 1.770 | 3.400 | 7.200 | 1.7 | 0.0600 | 
| 26 | Dill weed | 0.8 | 0.800 | 0.4 | 0.40 | 0 | 1.2 | 5.800 | 1.3 | 25 | 1.6 | 3.30 | 0.242 | 0.242 | 0.121 | 0.121 | 0.364 | 1.758 | 0.4 | 0.0000 | 
| 27 | Egg Plant | 1.580 | 1.710 | 1.54 | 1.67 | 0.26 | 3.53 | 5.880 | 0 | 20 | 1.7 | 3.00 | 0.527 | 0.570 | 0.513 | 0.557 | 1.177 | 1.960 | 0.0 | 0.0867 | 
| 28 | Fennel raw | 1.400 | 1.650 | 1.40 | 1.65 | 0.50 | 3.30 | 5.100 | 0 | 15.00 | 1.10 | 1.80 | 0.778 | 0.917 | 0.778 | 0.917 | 1.833 | 2.833 | 0.0 | 0.2778 | 
| 29 | Fava beans raw | 0.2 | 0.400 | 0.1 | 0.30 | 0.4 | 9.21 | 17.60 | 1.3 | 40 | 7.5 | 7.10 | 0.028 | 0.056 | 0.014 | 0.042 | 1.228 | 2.347 | 0.2 | 0.0563 | 
| 30 | Garlic | 0.420 | 0.420 | 0.62 | 0.62 | 0.00 | 3.70 | 28.200 | 35 | 30 | 31 | 2.70 | 0.156 | 0.156 | 0.230 | 0.230 | 1.370 | 10.444 | 13.0 | 0.0000 | 
| 31 | Ginger | 0.8 | 0.800 | 0.9 | 0.90 | 0 | 1.7 | 7.600 | 3.1 | 15 | 0.6 | 2.80 | 0.286 | 0.286 | 0.321 | 0.321 | 0.607 | 2.714 | 1.1 | 0.0000 | 
| 32 | Green beans | 1.330 | 1.370 | 0.93 | 0.97 | 0.08 | 3.00 | 7.060 | 0.7 | 20 | 1 | 3.53 | 0.377 | 0.388 | 0.263 | 0.275 | 0.850 | 2.000 | 0.2 | 0.0227 | 
| 33 | Kale | 0.400 | 0.400 | 0.40 | 0.40 | 0.00 | 0.80 | 4.420 | 0 | 15.00 | 3.00 | 4.10 | 0.098 | 0.098 | 0.098 | 0.098 | 0.195 | 1.078 | 0.0 | 0.0000 | 
| 34 | Kidney Beans (Red) | 0.3 | 0.700 | 0.1 | 0.50 | 0.8 | 1.2 | 23.800 | 13 | 35 | 18.4 | 9.10 | 0.033 | 0.077 | 0.011 | 0.055 | 0.132 | 2.615 | 1.4 | 0.0879 | 
| 35 | Kohlrabi | 1.8 | 2.250 | 1.5 | 1.95 | 0.9 | 4.2 | 4.200 | 0 | 20 | 2.1 | 3.30 | 0.545 | 0.682 | 0.455 | 0.591 | 1.273 | 1.273 | 0.0 | 0.2727 | 
| 36 | Leek | 1.5 | 1.850 | 1.5 | 1.85 | 0.7 | 3.7 | 6.800 | 0 | 15 | 1.2 | 3.10 | 0.484 | 0.597 | 0.484 | 0.597 | 1.194 | 2.194 | 0.0 | 0.2258 | 
| 37 | Lettuce | 0.390 | 0.390 | 0.80 | 0.80 | 0.00 | 1.19 | 3.240 | 0 | 15 | 0.5 | 1.80 | 0.217 | 0.217 | 0.444 | 0.444 | 0.661 | 1.800 | 0.0 | 0.0000 | 
| 38 | Lima Bean | 0.4 | 0.600 | 1 | 1.20 | 0.4 | 1.8 | 2.300 | 0.3 | 32 | 8 | 2.30 | 0.174 | 0.261 | 0.435 | 0.522 | 0.783 | 1.000 | 0.1 | 0.1739 | 
| 39 | Mushrooms beech | 0.220 | 0.220 | 0.14 | 0.14 | 0.00 | 0.36 | 6.760 | 0 | 45 | 0 | 3.10 | 0.071 | 0.071 | 0.046 | 0.046 | 0.117 | 2.181 | 0.0 | 0.0000 | 
| 40 | Okra | 0.320 | 0.620 | 0.57 | 0.87 | 0.60 | 1.50 | 7.500 | 0.34 | 20 | 1 | 3.20 | 0.100 | 0.194 | 0.178 | 0.272 | 0.469 | 2.344 | 0.1 | 0.1875 | 
| 41 | Onion Spring | 1.900 | 2.050 | 2.30 | 2.45 | 0.30 | 4.50 | 7.300 | 0.1 | 15 | 1.6 | 2.60 | 0.731 | 0.788 | 0.885 | 0.942 | 1.731 | 2.808 | 0.0 | 0.1154 | 
| 42 | Onion red | 2.290 | 3.130 | 1.79 | 2.63 | 1.68 | 5.67 | 9.930 | 0 | 15 | 1.6 | 3.97 | 0.577 | 0.788 | 0.451 | 0.662 | 1.428 | 2.501 | 0.0 | 0.4232 | 
| 43 | Onion white | 2.630 | 2.925 | 2.52 | 2.82 | 0.59 | 5.76 | 7.680 | 0 | 15 | 1.6 | 1.20 | 2.192 | 2.438 | 2.100 | 2.346 | 4.800 | 6.400 | 0.0 | 0.4917 | 
| 44 | Parsnip | 0.800 | 2.400 | 0.80 | 2.40 | 3.20 | 4.80 | 13.600 | 5.2 | 85.00 | 15.30 | 3.60 | 0.222 | 0.667 | 0.222 | 0.667 | 1.333 | 3.778 | 1.4 | 0.8889 | 
| 45 | Parsley | 0.100 | 0.150 | 0.20 | 0.25 | 0.10 | 0.40 | 6.200 | 0 | 15.00 | 0.90 | 5.80 | 0.017 | 0.026 | 0.034 | 0.043 | 0.069 | 1.069 | 0.0 | 0.0172 | 
| 46 | Pea green | 0.120 | 2.620 | 0.39 | 2.89 | 5.00 | 5.70 | 12.700 | 4.48 | 15 | 1.5 | 5.97 | 0.020 | 0.439 | 0.065 | 0.484 | 0.955 | 2.127 | 0.8 | 0.8375 | 
| 47 | Pepper bell green | 1.100 | 1.100 | 1.10 | 1.10 | 0.00 | 2.20 | 4.780 | 0 | 15 | 1 | 0.90 | 1.222 | 1.222 | 1.222 | 1.222 | 2.444 | 5.311 | 0.0 | 0.0000 | 
| 48 | Pepper bell orange | 1.900 | 1.900 | 2.30 | 2.30 | 0.00 | 4.20 | 6.000 | 0 | 15 | 1 | 1.00 | 1.900 | 1.900 | 2.300 | 2.300 | 4.200 | 6.000 | 0.0 | 0.0000 | 
| 49 | Pepper bell red | 1.900 | 1.900 | 2.30 | 2.30 | 0.00 | 5.30 | 6.650 | 0 | 15 | 1 | 1.20 | 1.583 | 1.583 | 1.917 | 1.917 | 4.417 | 5.542 | 0.0 | 0.0000 | 
| 50 | Pepper bell Yellow | 1.900 | 1.900 | 2.30 | 2.30 | 0.00 | 4.20 | 6.600 | 0 | 15 | 1 | 1.10 | 1.727 | 1.727 | 2.091 | 2.091 | 3.818 | 6.000 | 0.0 | 0.0000 | 
| 51 | Potato | 0.210 | 0.275 | 0.31 | 0.38 | 0.13 | 0.65 | 14.700 | 11.9 | 86 | 10 | 13.80 | 0.015 | 0.020 | 0.022 | 0.027 | 0.047 | 1.065 | 0.9 | 0.0094 | 
| 52 | Potato red | 0.180 | 0.310 | 0.22 | 0.35 | 0.26 | 0.66 | 16.300 | 9 | 82 | 29 | 13.80 | 0.013 | 0.022 | 0.016 | 0.025 | 0.048 | 1.181 | 0.7 | 0.0188 | 
| 53 | Pumpkin | 1.200 | 1.350 | 1.10 | 1.25 | 0.30 | 2.60 | 5.100 | 1.4 | 52 | 4 | 1.10 | 1.091 | 1.227 | 1.000 | 1.136 | 2.364 | 4.636 | 1.3 | 0.2727 | 
| 54 | Radish | 1.100 | 1.100 | 0.80 | 0.80 | 0.00 | 1.90 | 3.000 | 0 | 15 | 0.5 | 1.10 | 1.000 | 1.000 | 0.727 | 0.727 | 1.727 | 2.727 | 0.0 | 0.0000 | 
| 55 | Rocket (arugula) | 0.300 | 0.300 | 0.00 | 0.00 | 0.00 | 0.30 | 2.700 | 0 | 15 | 0.3 | 2.40 | 0.125 | 0.125 | 0.000 | 0.000 | 0.125 | 1.125 | 0.0 | 0.0000 | 
| 56 | Snake beans | 1.1 | 1.250 | 1.2 | 1.35 | 0.3 | 2.60 | 8.400 | 0.7 | 43 | 1 | 3.60 | 0.306 | 0.347 | 0.333 | 0.375 | 0.722 | 2.333 | 0.2 | 0.0833 | 
| 57 | String bean | 1.1 | 1.250 | 1.2 | 1.35 | 0.3 | 2.6 | 5.300 | 0.7 | 30 | 1.1 | 3.70 | 0.297 | 0.338 | 0.324 | 0.365 | 0.703 | 1.432 | 0.2 | 0.0811 | 
| 58 | Spinach mature | 0.110 | 0.145 | 0.15 | 0.19 | 0.07 | 0.42 | 3.630 | 0 | 15 | 0.3 | 2.20 | 0.050 | 0.066 | 0.068 | 0.084 | 0.191 | 1.650 | 0.0 | 0.0318 | 
| 59 | Shallot | 1.500 | 1.500 | 1.60 | 1.60 | 0.00 | 3.10 | 6.000 | 0 | 15 | 2.5 | 2.90 | 0.517 | 0.517 | 0.552 | 0.552 | 1.069 | 2.069 | 0.0 | 0.0000 | 
| 60 | Sweet potato | 0.980 | 2.510 | 0.93 | 2.46 | 3.06 | 4.97 | 17.300 | 8.5 | 61 | 17 | 4.44 | 0.221 | 0.565 | 0.209 | 0.554 | 1.119 | 3.896 | 1.9 | 0.6892 | 
| 61 | Taro root | 0.2 | 0.550 | 0.2 | 0.55 | 0.7 | 1.10 | 23.400 | 22.3 | 48 | 12.7 | 3.50 | 0.057 | 0.157 | 0.057 | 0.157 | 0.314 | 6.686 | 6.4 | 0.2000 | 
| 62 | Tapioca | 0 | 0.000 | 0 | 0.00 | 0 | 0.00 | 88.700 | 79.3 | 78 | 20 | 0.90 | 0.000 | 0.000 | 0.000 | 0.000 | 0.000 | 98.556 | 88.1 | 0.0000 | 
| 63 | Turnip raw | 0.520 | 0.520 | 0.69 | 0.69 | 0.00 | 1.21 | 6.430 | 0.2 | 30 | 1.9 | 1.80 | 0.289 | 0.289 | 0.383 | 0.383 | 0.672 | 3.572 | 0.1 | 0.0000 | 
| 64 | Water Cress | 0.4 | 0.500 | 0.1 | 0.20 | 0.2 | 4.35 | 5.530 | 0.1 | 15 | 0.1 | 1.10 | 0.105 | 0.132 | 0.026 | 0.053 | 3.955 | 5.027 | 0.0 | 0.0526 | 
| 65 | Zucchini | 1.070 | 1.095 | 1.38 | 1.41 | 0.05 | 2.50 | 4.200 | 0 | 15 | 0.5 | 1.10 | 0.973 | 0.995 | 1.255 | 1.277 | 2.273 | 3.818 | 0.0 | 0.0455 | 
| PC Summary | PC1 | PC2 | PC3 | PC4 | PC5 | PC6 | PC7 | PC8 | 
|---|---|---|---|---|---|---|---|---|
| Eigenvalue | 4.774 | 1.944 | 1.279 | 0.8096 | 0.09674 | 0.06607 | 0.03112 | 2.055 × 10−6 | 
| Proportion of variance | 53.04% | 21.60% | 14.21% | 9.00% | 1.07% | 0.73% | 0.35% | 2.28 × 10−5% | 
| Cumulative proportion of variance | 53.04% | 74.64% | 88.85% | 97.85% | 98.92% | 99.65% | 100.00% | 100.00% | 
| Components Selection | Selected | Selected | 
| Values | Carbohydrate Content (MLRA) | Carbohydrate-to-Fiber Ratio (MLRA) | |||||||||||||||
|---|---|---|---|---|---|---|---|---|---|---|---|---|---|---|---|---|---|
| Glucose | Total Glucose | Fructose | Total Fructose | Total Sugar | Total Carbohydrates | Dietary Fiber | Starch | Sucrose | Glucose | Total Glucose | Fructose | Total Fructose | Total Sugar | Total Carbohydrates | Starch | Sucrose | |
| R | −0.3196 | −0.1097 | −0.3240 | −0.1252 | −0.0868 | 0.5307 | 0.3649 | 0.5276 | 0.2384 | −0.3063 | −0.2411 | −0.3012 | −0.2403 | −0.2403 | 0.3543 | 0.3869 | 0.2541 | 
| R2 | 0.1022 | 0.01204 | 0.1049 | 0.01568 | 0.00754 | 0.2817 | 0.1332 | 0.2783 | 0.0568 | 0.0937 | 0.0581 | 0.0907 | 0.0599 | 0.0577 | 0.1256 | 0.1497 | 0.0645 | 
| p-values | 0.0094 | 0.3842 | 0.0085 | 0.3203 | 0.4914 | <0.0001 | 0.0028 | <0.0001 | 0.0559 | 0.0131 | 0.0530 | 0.0148 | 0.0493 | 0.0538 | 0.0038 | 0.0015 | 0.0411 | 
| Significance | ** | ns | ** | ns | ns | **** | ** | **** | ns | * | ns | * | * | ns | ** | ** | * | 
| Values | Net Carbohydrate Content (MLRA) | Net Carbohydrate-to-Fiber Ratio (MLRA) | ||||||||||||||
|---|---|---|---|---|---|---|---|---|---|---|---|---|---|---|---|---|
| Glucose | Total Glucose | Fructose | Total Fructose | Total Sugar | Total Carbohydrate | Starch | Sucrose | Glucose | Total Glucose | Fructose | Total Fructose | Total Sugar | Total Carbohydrate | Starch | Sucrose | |
| R | −0.3984 | −0.3631 | −0.3984 | −0.3636 | −0.3415 | 0.4612 | 0.4358 | −0.2798 | −0.3063 | −0.2411 | −0.3012 | −0.2449 | −0.2403 | 0.3543 | 0.3868 | 0.2539 | 
| R2 | 0.1587 | 0.1319 | 0.1587 | 0.1322 | 0.1166 | 0.2127 | 0.1900 | 0.07831 | 0.09379 | 0.05814 | 0.09070 | 0.05998 | 0.05775 | 0.1256 | 0.1496 | 0.06449 | 
| p-values | 0.0010 | 0.0029 | 0.0010 | 0.0029 | 0.0054 | 0.0001 | 0.0003 | 0.0240 | 0.0131 | 0.0530 | 0.0148 | 0.0493 | 0.0538 | 0.0038 | 0.0015 | 0.0412 | 
| Significance | ** | ** | ** | ** | ** | *** | *** | * | * | ns | * | * | ns | ** | ** | * | 
| Values | Glucose | Total Glucose | Fructose | Total Fructose | Total Sugar | Total Carbohydrates | Dietary Starch | Sucrose | Dietary Fiber | 
|---|---|---|---|---|---|---|---|---|---|
| R | −0.3196 | −0.1097 | −0.3240 | −0.1252 | −0.08687 | 0.5367 | 0.5238 | 0.2384 | 0.3646 | 
| R2 | 0.1022 | 0.01204 | 0.1049 | 0.01568 | 0.007547 | 0.2881 | 0.2791 | 0.05682 | 0.1332 | 
| p-values | 0.0094 | 0.3842 | 0.0085 | 0.3203 | 0.4914 | <0.0001 | <0.0001 | 0.0559 | 0.0028 | 
| Values | Glucose | Total Glucose | Fructose | Total Fructose | Total Sugar | Total Carbohydrates | Dietary Starch | Sucrose | 
|---|---|---|---|---|---|---|---|---|
| R | −0.4163 | −0.2411 | −0.3012 | −0.2449 | −0.2403 | 0.3517 | 0.3869 | 0.2541 | 
| R2 | 0.1733 | 0.05814 | 0.09070 | 0.05998 | 0.05775 | 0.1237 | 0.1497 | 0.06458 | 
| p-values | 0.0143 | 0.0530 | 0.0148 | 0.0493 | 0.0538 | 0.0041 | 0.0015 | 0.0411 | 
| Values | Glucose | Total Glucose | Fructose | Total Fructose | Total Sugar | Total Carbohydrates | Dietary Starch | Sucrose | 
|---|---|---|---|---|---|---|---|---|
| R | −0.3984 | −0.3631 | −0.3984 | −0.3636 | −0.3415 | 0.4682 | 0.4358 | −0.2798 | 
| R2 | 0.1587 | 0.1319 | 0.1587 | 0.1322 | 0.1166 | 0.2192 | 0.1900 | 0.07831 | 
| p-values | 0.0010 | 0.0029 | 0.0010 | 0.0029 | 0.0054 | <0.0001 | 0.0003 | 0.0240 | 
| Values | Glucose | Total Glucose | Fructose | Total Fructose | Total Sugar | Total Carbohydrates | Dietary Starch | Sucrose | 
|---|---|---|---|---|---|---|---|---|
| R | −0.3063 | −0.2411 | −0.3012 | −0.2449 | −0.2403 | 0.3517 | 0.3868 | 0.2539 | 
| R2 | 0.09379 | 0.05814 | 0.09070 | 0.05998 | 0.05775 | 0.1237 | 0.1496 | 0.06449 | 
| p-values | 0.0131 | 0.0530 | 0.0148 | 0.0493 | 0.0538 | 0.0041 | 0.0015 | 0.0412 | 
| Disclaimer/Publisher’s Note: The statements, opinions and data contained in all publications are solely those of the individual author(s) and contributor(s) and not of MDPI and/or the editor(s). MDPI and/or the editor(s) disclaim responsibility for any injury to people or property resulting from any ideas, methods, instructions or products referred to in the content. | 
© 2025 by the authors. Licensee MDPI, Basel, Switzerland. This article is an open access article distributed under the terms and conditions of the Creative Commons Attribution (CC BY) license (https://creativecommons.org/licenses/by/4.0/).
Share and Cite
Singh, M.K.; Yun, H.R.; Ranbhise, J.S.; Han, S.; Kim, S.S.; Kang, I. Vegetables and Glycemic Index: Exploring Their Correlation and Health Implications. Foods 2025, 14, 3703. https://doi.org/10.3390/foods14213703
Singh MK, Yun HR, Ranbhise JS, Han S, Kim SS, Kang I. Vegetables and Glycemic Index: Exploring Their Correlation and Health Implications. Foods. 2025; 14(21):3703. https://doi.org/10.3390/foods14213703
Chicago/Turabian StyleSingh, Manish Kumar, Hyeong Rok Yun, Jyotsna S. Ranbhise, Sunhee Han, Sung Soo Kim, and Insug Kang. 2025. "Vegetables and Glycemic Index: Exploring Their Correlation and Health Implications" Foods 14, no. 21: 3703. https://doi.org/10.3390/foods14213703
APA StyleSingh, M. K., Yun, H. R., Ranbhise, J. S., Han, S., Kim, S. S., & Kang, I. (2025). Vegetables and Glycemic Index: Exploring Their Correlation and Health Implications. Foods, 14(21), 3703. https://doi.org/10.3390/foods14213703
 
        


 
                         
       