Green Solvents for Extraction of Natural Food Colorants from Plants: Selectivity and Stability Issues
Abstract
1. Introduction
2. Classification of Natural Colorants with Plant Origin and Relevant Sources
2.1. Carotenoids
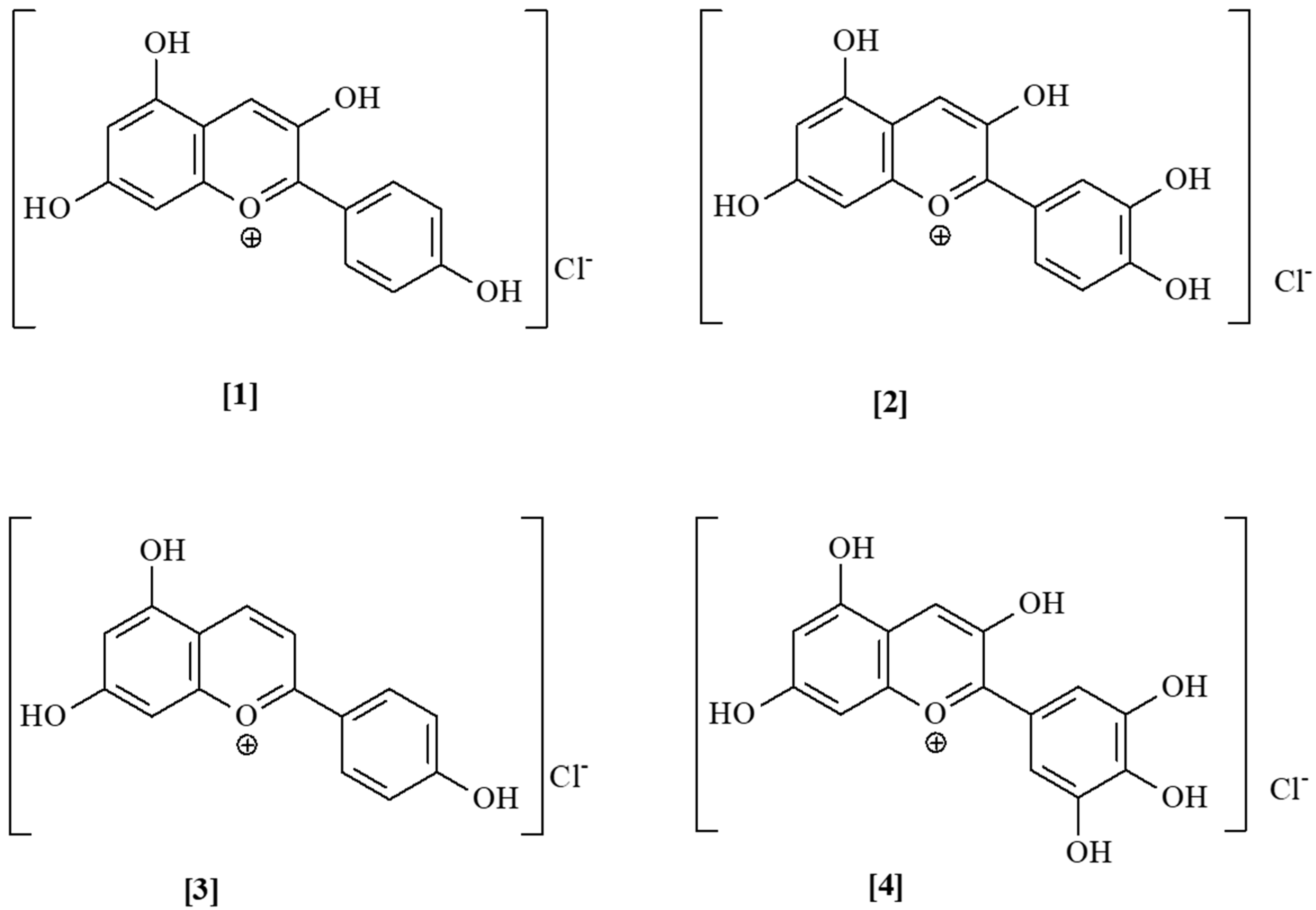
2.2. Anthocyanins (ACNs)
| Colorant Group (Base Structure) | Representative Compounds | Relevant Natural Source | References |
|---|---|---|---|
| Carotenoids | Carotenes | ||
| β-carotene | Carrot juice processing waste Apricot and shrimp wastes Orange peel Citrus fruits waste | [29] [30] [31] [32] | |
| Lycopene | Tomato processing waste Pumpkin peels | [33,34] [35] | |
| Xanthophylls | |||
| Asthaxanthin Canthaxantin | Haematococcus pluvialis Aspergillus carbonarius Botryococcus braunii Bradyrhizobium sp. Gordonia jacobaea Micrococcus roseus | [14] [36] [37] [38] [39] [40] | |
| Fucoxanthin Lutein; Zeaxanthin | Brown algae Parsley; Spinach; Red pepper Heterochlorella luteoviridis | [21] [41] [42] | |
| Anthocyanins (Anthocyanidins) | Cyanidin | Cherry pomace Raspberry pomace Blackberry pomace Redcurrant pomace Chokeberry pomace Plum skins | [43] [44] [44] [44] [45] [46] |
| Pelargonidin | Strawberry pomace | [47] | |
| Delphinidin | Blueberry pomace Eggplant peels | [48,49] [50] | |
| Delphinidin; cyanidin | Blackcurrant pomace | [51] | |
| Cyanidin; peonidin | Cranberry pomace | [52] | |
| Petunidin | Purple potato peels | [53] | |
| Delphinidin; cyanidin | Jamaica flower (Hibiscussabdariffa L.) | [54] | |
| Cyanidin | Camellia (Camellia japonica) Cornflower (Centaurea cyanus) Garden chrysanthemum (Chrysanthemum Morifolium) Apple flower (Malus spp.) Rose (Rosa spp.) French marigold (Tagetes patula) | [55] [56] [57] [58] [59] [60] | |
| Delphinidin | Common violet, sweet violet (Viola odorata) | [61] | |
| Cyanidin; delphinidin | Daylily (Hemerocallis fulva) Lilac (Syringa vulgaris L.) | [62] [63] | |
| Malvidin, delphinidin; petunidin; peonidin | Geranium (Pelargonium spp.) | [64] | |
| Cyanidin, malvidin, peonidin | Petunia (Petunia hybrid) | [65] | |
| Cyanidin; malvidin, delphinidin; petunidin; peonidin | Red clover (Trifolium pretense) | [66] | |
| Delphinidin; cyanidin pelargonidin | Tulip (Tulipa spp.) | [67] | |
| Cyanidin; delphinidin, malvidin; petunidin | Pansy (Viola × wittrockiana) | [68] | |
| Cyanidin, pelargonidin and malvidin | Lavender (Lavandula angustifolia Mill.) | [69] | |
| Cyanidin; peonidin | Magnolia (Magnolia spp.) Chinese quince (Chaenomeles spp.) | [70] [71] | |
| Cyanidin; petunidin | Passion flower (Passiflora incarnate) | [72] | |
| Malvidin; pelargonidin; peonidin | Garden balsam, rose balsam (Impatiens balsamina L.) | [73] | |
| Cyanidin; pelargonidin | Saffron (Crocus sativus) Dahlia (Dahlia mignon) | [74] [75] | |
| Malvidin; cyaniding; pelargonidin | Tuberous begonia (Begonia × tuberhybrida Voss.) | [76] | |
| Cyanidin, delphinidin; malvidin; peonidin; pelargonidin; petunidin | Marigold (Calendula officinalis) | [77] | |
| Betalains (BLN) | Betacyanins (BCN) | Fruit pulps of Hylocereus cacti Dragon fruit peel Chenopodium quinoa willd hulls Alternanthera brasiliana Prickly pear peels | [78] [79] [80] [81] [82] |
| Betaxanthin (BXN) | Yellow pitaya Prickly pear fruits | [83] [84] | |
| BCN and BXN | Fruits Opuntia spp. Alternanthera sesillis Red beet roots Beet leaves Beet pomace Beta vulgaris peels Waste red beet stalk Tubers of Ullucus tuberosus Basella alba Grains of Chenopodium formosanum Quinoa grains | [85,86] [87] [88,89] [90] [91] [92] [93] [94] [95] [96] [97] |
2.3. Betalains (BLNs)
3. Green Solvents
4. Extraction of Natural Colorants Using Green Solvents
4.1. Extraction of Carotenoids
- Using edible oils
- Using terpenes
- Using supercritical fluids (SFs)
- Using natural deep eutectic solvents (NADESs)
- Using ILs
4.2. Extraction of Anthocyanins (ACNs)
- Using water
- Using SF
- Using NADESs
4.3. Extraction of Betalains (BLNs)
- Using water
- Using ILs
- Using DES
5. Conclusions and Future Perspectives
Author Contributions
Funding
Data Availability Statement
Conflicts of Interest
References
- Mohamad, M.F.; Dailin, D.J.; Gomaa, S.E.; Nurjayadi, M.; El Enshasy, H. Natural colorant for food: A healthy alternative. Int. J. Sci. Technol. Res. 2019, 8, 3161–3166. [Google Scholar]
- Rodriguez-Amaya, D.B. Update on natural food pigments—A mini-review on carotenoids, anthocyanins, and betalains. Food Res. Int. 2019, 124, 200–205. [Google Scholar] [CrossRef] [PubMed]
- Amchova, P.; Kotolova, H.; Ruda-Kucerova, J. Health safety issues of synthetic food colorants. Regul. Toxicol. Pharmacol. 2015, 73, 914–922. [Google Scholar] [CrossRef] [PubMed]
- De Mejia, E.G.; Zhang, Q.; Penta, K.; Eroglu, A.; Ann Lila, M. The colors of health: Chemistry, bioactivity, and market demand for colorful foods and natural food sources of colorants. Annu. Rev. Food Sci. 2020, 11, 145–182. [Google Scholar] [CrossRef] [PubMed]
- Rodríguez-Mena, A.; Ochoa-Martínez, L.A.; Gonzalez-Herrera, S.M.; Rutiaga-Quinones, O.M.; Gonzalez-Laredo, R.F.; Olmedilla-Alonso, B. Natural pigments of plant origin: Classification, extraction and application in foods. Food Chem. 2023, 398, 133908. [Google Scholar] [CrossRef] [PubMed]
- Delgado-Vargas, F.; Paredes-Lopez, O. Natural Colorants for Food and Nutraceutical Uses; CRC Press: Boca Raton, FL, USA, 2003; pp. 35–37. [Google Scholar]
- Chemat, F.; Vian, M.A.; Cravotto, G. Green extraction of natural products: Concept and principles. Int. J. Mol. Sci. 2012, 13, 8615–8627. [Google Scholar] [CrossRef] [PubMed]
- Tzanova, M.; Atanasov, V.; Yaneva, Z.; Ivanova, D.; Dinev, T. Selectivity of Current Extraction Techniques for Flavonoids from Plant Materials. Processes 2020, 8, 1222. [Google Scholar] [CrossRef]
- Prajapati, R.A.; Jadeja, G.C. Natural food colorants: Extraction and stability study. Mater. Today Proc. 2022, 57, 2381–2395. [Google Scholar] [CrossRef]
- Ngamwonglumlert, L.; Devahastin, S.; Chiewchan, N. Natural colorants: Pigment stability and extraction yield enhancement via utilization of appropriate pretreatment and extraction methods. Crit. Rev. Food Sci. Nutr. 2017, 57, 3243–3259. [Google Scholar] [CrossRef]
- Mansour, R. Natural Dyes and Pigments: Extraction and Applications. In Handbook of Renewable Materials for Coloration and Finishing; Yusuf, M., Ed.; John Wiley & Sons, Inc.: Hoboken, NJ, USA, 2018; pp. 75–102. [Google Scholar]
- Molina, A.K.; Corrêa, R.C.G.; Prieto, M.A.; Pereira, C.; Barros, L. Bioactive Natural Pigments’ Extraction, Isolation, and Stability in Food Applications. Molecules 2023, 28, 1200. [Google Scholar] [CrossRef]
- Viñas-Ospino, A.; López-Malo, D.; Esteve, M.J.; Frígola, A.; Blesa, J. Green Solvents: Emerging Alternatives for Carotenoid Extraction from Fruit and Vegetable By-Products. Foods 2023, 12, 863. [Google Scholar] [CrossRef] [PubMed]
- Aldred, E.M.; Buck, C.; Vall, K. Chapter 22—Terpenes. In Pharmacology; Aldred, E.M., Buck, C., Vall, K., Eds.; Churchill Livingstone: London, UK, 2009; pp. 167–174. [Google Scholar]
- Green, A.S.; Fascetti, A.J. Meeting the Vitamin A Requirement: The Efficacy and Importance of β-Carotene in Animal Species. Sci. World J. 2016, 2016, 7393620. [Google Scholar] [CrossRef] [PubMed]
- Bogacz-Radomska, L.; Harasym, J.; Piwowar, A. 10—Commercialization aspects of carotenoids. In Carotenoids: Properties, Processing and Applications; Galanakis, C.M., Ed.; Academic Press: Cambridge, MA, USA, 2020; pp. 327–357. [Google Scholar]
- Jadhav, R.V.; Bhujbal, S.S. A review on natural food colors. Pharm. Reson. 2020, 2, 12–20. [Google Scholar]
- Dewanjee, S.; Bhattacharjee, N.; Chakraborty, P.; Bhattacharjee, S. Carotenoids as Antioxidants. In Carotenoids: Structure and Function in the Human Body; Zia-Ul-Haq, M., Dewanjee, S., Riaz, M., Eds.; Springer Nature: Cham, Switzerland, 2021; pp. 447–473. [Google Scholar]
- Caferri, R.; Guardini, Z.; Bassi, R.; Dall’Osto, L. Assessing photoprotective functions of carotenoids in photosynthetic systems of plants and green algae. Methods Enzymol. 2022, 674, 53–84. [Google Scholar]
- Ambati, R.R.; Phang, S.M.; Ravi, S.; Aswathanarayana, R.G. Astaxanthin: Sources, extraction, stability, biological activities and its commercial applications-a review. Mar. Drugs 2014, 12, 128–152. [Google Scholar] [CrossRef] [PubMed]
- Rebelo, B.A.; Farrona, S.; Ventura, M.R.; Abranches, R. Canthaxanthin, a Red-Hot Carotenoid: Applications, Synthesis, and Biosynthetic Evolution. Plants 2020, 9, 1039. [Google Scholar] [CrossRef] [PubMed]
- Din, N.A.S.; Mohd Alayudin, A.S.; Sofian-Seng, N.-S.; Rahman, H.A.; Mohd Razali, N.S.; Lim, S.J.; Wan Mustapha, W.A. Brown Algae as Functional Food Source of Fucoxanthin: A Review. Foods 2022, 11, 2235. [Google Scholar] [CrossRef]
- Abdel-Aal, E.-S.M.; Akhtar, H.; Zaheer, K.; Ali, R. Dietary Sources of Lutein and Zeaxanthin Carotenoids and Their Role in Eye Health. Nutrients 2013, 5, 1169–1185. [Google Scholar] [CrossRef]
- Khoo, H.E.; Azlan, A.; Tang, S.T.; Lim, S.M. Anthocyanidins and anthocyanins: Colored pigments as food, pharmaceutical ingredients, and the potential health benefits. Food Nutr. Res. 2017, 61, 1361779. [Google Scholar] [CrossRef]
- Mattioli, R.; Francioso, A.; Mosca, L.; Silva, P. Anthocyanins: A Comprehensive Review of Their Chemical Properties and Health Effects on Cardiovascular and Neurodegenerative Diseases. Molecules 2020, 25, 3809. [Google Scholar] [CrossRef]
- Diaconeasa, Z.; Iuhas, C.I.; Ayvaz, H.; Mortas, M.; Farcss, A.; Mihai, M.; Danciu, C.; Stanila, A. Anthocyanins from Agro-Industrial Food Waste: Geographical Approach and Methods of Recovery—A Review. Plants 2023, 12, 74. [Google Scholar] [CrossRef] [PubMed]
- Teixeira, M.; Tao, W.; Fernandes, A.; Faria, A.; Ferreira, I.M.; He, J.; de Freitas, V.; Mateus, N.; Oliveira, H. Anthocyanin-rich edible flowers, current understanding of a potential new trend in dietary patterns. Trends Food Sci. Technol. 2023, 138, 708–725. [Google Scholar] [CrossRef]
- Shrestha, B.; Pandey, R.P.; Darsandhari, S.; Parajuli, P.; Sohng, J.K. Combinatorial approach for improved cyanidin 3-O-glucoside production in Escherichia coli. Microb. Cell Factories 2019, 18, 7. [Google Scholar] [CrossRef] [PubMed]
- Elik, A.; Yanık, D.K.; Gögüs, F. Microwave-assisted extraction of carotenoids from carrot juice processing waste using flaxseed oil as a solvent. LWT—Food Sci. Technol. 2020, 123, 109100. [Google Scholar] [CrossRef]
- Koutsoukos, S.; Tsiaka, T.; Tzani, A.; Zoumpoulakis, P.; Detsi, A. Choline chloride and tartaric acid, a natural deep eutectic solvent for the efficient extraction of phenolic and carotenoid compounds. J. Clean. Prod. 2019, 241, 118384. [Google Scholar] [CrossRef]
- Montero-Calderon, A.; Cortes, C.; Zulueta, A.; Frigola, A.; Esteve, M.J. Green solvents and ultrasound assisted extraction of bioactive orange (Citrus sinensis) peel compounds. Sci. Rep. 2019, 9, 16120. [Google Scholar] [CrossRef] [PubMed]
- Boukroufa, M.; Boutekedjiret, C.; Chemat, F. Development of a green procedure of citrus fruits waste processing to recover carotenoids. Resour. Effic. Technol. 2017, 3, 252–262. [Google Scholar] [CrossRef]
- Silva, Y.P.A.; Ferreira, T.A.P.C.; Jiao, G.; Brooks, M.S. Sustainable approach for lycopene extraction from tomato processing by-product using hydrophobic eutectic solvents. J. Food Sci. Technol. 2019, 56, 1649–1654. [Google Scholar] [CrossRef]
- de Andrade Lima, M.; Kestekoglou, I.; Charalampopoulos, D.; Chatzifragkou, A. Supercritical Fluid Extraction of Carotenoids from Vegetable Waste Matrices. Molecules 2019, 24, 466. [Google Scholar] [CrossRef]
- Song, J.F.; Yang, Q.; Huang, W.Y.; Xiao, Y.; Li, D.J.; Liu, C. Optimization of trans lutein from pumpkin (Cucurbita moschata) peel by ultrasound-assisted extraction. Food Bioprod. Process. 2018, 107, 104–112. [Google Scholar] [CrossRef]
- Krupa, D.; Nakkeeran, E.; Kumaresan, N.; Vijayalakshmi, G.; Subramanian, R. Extraction, purification and concentration of partially saturated canthaxanthin from Aspergillus carbonarius. Bioresour. Technol. 2010, 101, 7598–7604. [Google Scholar] [CrossRef] [PubMed]
- Grung, M.; Metzger, P.; Liaaen-Jensen, S. Primary and secondary carotenoids in two races of the green alga Botryococcus braunii. Biochem. Syst. Ecol. 1989, 17, 263–269. [Google Scholar] [CrossRef]
- Lorquin, J.; Molouba, F.; Dreyfus, B.L. Identification of the carotenoid pigment canthaxanthin from photosynthetic Bradyrhizobium strains. Appl. Environ. Microbiol. 1997, 63, 1151–1154. [Google Scholar] [CrossRef] [PubMed]
- De Miguel, T.; Sieiro, C.; Poza, M.; Villa, T.G. Analysis of canthaxanthin and related pigments from Gordonia jacobaea mutants. J. Agric. Food Chem. 2001, 49, 1200–1202. [Google Scholar] [CrossRef]
- Cooney, J.J.; Marks, H.W.; Smith, A.M. Isolation and Identification of Canthaxanthin from Micrococcus roseus. J. Bacteriol. 1966, 92, 342–345. [Google Scholar] [CrossRef] [PubMed]
- Perry, A.; Rasmussen, H.; Johnson, E.J. Xanthophyll (lutein, zeaxanthin) content of fruits, vegetables and corn and egg products. J. Food Comp. Anal. 2009, 22, 9–15. [Google Scholar] [CrossRef]
- Jaeschke, D.P.; Rech, R.; Marczak, L.D.F.; Mercali, G.D. Ultrasound as an alternative technology to extract carotenoids and lipids from heterochlorella luteoviridis. Bioresour. Technol. 2017, 224, 753–757. [Google Scholar] [CrossRef]
- Ciccoritti, R.; Paliotta, M.; Centioni, L.; Mencarelli, F.; Carbone, K. The effect of genotype and drying condition on the bioactive compounds of sour cherry pomace. Eur. Food Res. Technol. 2018, 244, 635–645. [Google Scholar] [CrossRef]
- Jara-Palacios, M.J.; Santisteban, A.; Gordillo, B.; Hernanz, D.; Heredia, F.J.; Escudero-Gilete, M.L. Comparative study of red berry pomaces (blueberry, red raspberry, red currant and blackberry) as source of antioxidants and pigments. Eur. Food Res. Technol. 2019, 245, 1–9. [Google Scholar] [CrossRef]
- Andrade, T.A.; Hamerski, F.; López Fetzer, D.E.; Roda-Serrat, M.C.; Corazza, M.L.; Norddahl, B.; Errico, M. Ultrasound-assisted pressurized liquid extraction of anthocyanins from Aronia melanocarpa pomace. Sep. Purif. Technol. 2021, 276, 119290. [Google Scholar] [CrossRef]
- Kaur, A.; Singh, D.; Kaur, H.; Sogi, D.S. Drying characteristics and antioxidant properties of Java plum seed and skin waste. J. Stored Prod. Postharvest Res. 2018, 9, 36–43. [Google Scholar]
- Tumbas Šaponjac, V.; Gironés-Vilaplana, A.; Djilas, S.; Mena, P.; Cetkovic, G.; Moreno, D.A.; Canadanovic-Brunet, J.; Vulic, J.; Stajcic, S.; Vincic, M. Chemical composition and potential bioactivity of strawberry pomace. RSC Adv. 2014, 5, 5397–5405. [Google Scholar] [CrossRef]
- Tagliani, C.; Perez, C.; Curutchet, A.; Arcia, P.; Cozzano, S. Blueberry pomace, valorization of an industry by-product source of fibre with antioxidant capacity. Food Sci. Technol. 2019, 39, 644–651. [Google Scholar] [CrossRef]
- Hu, W.; Gong, H.; Li, L.; Chen, S.; Ye, X. Ultrasound Treatment on Stability of Total and Individual Anthocyanin Extraction from Blueberry Pomace: Optimization and Comparison. Molecules 2019, 24, 2621. [Google Scholar] [CrossRef] [PubMed]
- Dranca, F.; Oroian, M. Total Monomeric Anthocyanin, Total Phenolic Content and Antioxidant Activity of Extracts from Eggplant (Solanum Melongena L.) Peel Using Ultrasonic Treatments. J. Food Process Eng. 2017, 40, e12312. [Google Scholar] [CrossRef]
- Michalska, A.; Wojdyło, A.; Łysiak, G.P.; Lech, K.; Figiel, A. Functional relationships between phytochemicals and drying conditions during the processing of blackcurrant pomace into powders. Adv. Powder Technol. 2017, 28, 1340–1348. [Google Scholar] [CrossRef]
- White, B.L.; Howard, L.R.; Prior, R.L. Polyphenolic composition and antioxidant capacity of extruded cranberry pomace. J. Agric. Food Chem. 2010, 58, 4037–4042. [Google Scholar] [CrossRef] [PubMed]
- Yin, L.; Chen, T.; Li, Y.; Fu, S.; Li, L.; Xu, M.; Niu, Y. A Comparative Study on Total Anthocyanin Content, Composition of Anthocyanidin, Total Phenolic Content and Antioxidant Activity of Pigmented Potato Peel and Flesh. Food Sci. Technol. Res. 2016, 22, 219–226. [Google Scholar] [CrossRef]
- Grajeda-Iglesias, C.; Figueroa-Espinoza, M.C.; Barouh, N.; Barea, B.; Fernandes, A.; de Freitas, V.; Salas, E. Isolation and characterization of anthocyanins from Hibiscus sabdariffa flowers. J. Nat. Prod. 2016, 79, 1709–1718. [Google Scholar] [CrossRef]
- Pereira, A.G.; Garcia-Perez, P.; Cassani, L.; Chamorro, F.; Cao, H.; Barba, F.J.; Simal-Gandara, J.; Prieto, M.A. Camellia japonica: A phytochemical perspective and current applications facing its industrial exploitation. Food Chem. X 2022, 13, 100258. [Google Scholar] [CrossRef]
- Lockowandt, L.; Pinela, J.; Roriz, C.; Pereira, C.; Abreu, R.; Calhelha, R.; Alves, M.J.; Barros, L.; Bredo, M.; Ferreira, I.C.F.R. Chemical features and bioactivities of cornflower (Centaurea cyanus L.) capitula: The blue flowers and the unexplored non-edible part. Ind. Crops Prod. 2019, 128, 496–503. [Google Scholar] [CrossRef]
- Park, C.H.; Chae, S.C.; Park, S.-Y.; Kim, J.K.; Kim, Y.J.; Chung, S.O.; Arasu, M.V.; Al-Dhabi, N.A.; Park, S.U. Anthocyanin and Carotenoid Contents in Different Cultivars of Chrysanthemum (Dendranthema grandiflorum Ramat.) Flower. Molecules 2015, 20, 11090–11102. [Google Scholar] [CrossRef] [PubMed]
- Han, M.L.; Zhao, Y.H.; Meng, J.X.; Yin, J.; Li, H.H. Analysis of Physicochemical and Antioxidant Properties of Malus spp. Petals Reveals Factors Involved in Flower Color Change and Market Value. Sci. Hortic. 2023, 310, 111688. [Google Scholar] [CrossRef]
- Wan, H.; Yu, C.; Han, Y.; Guo, X.; Luo, L.; Pan, H.; Zheng, T.; Wang, J.; Cheng, T.; Zhang, Q. Determination of flavonoids and carotenoids and their contributions to various colors of rose cultivars (Rosa spp.). Front. Plant Sci. 2019, 10, 123. [Google Scholar] [CrossRef] [PubMed]
- Deineka, V.; Kulchenko, Y.; Blinova, I.; Deineka, L.; Chulkov, A. Anthocyanins of Tagetes patula flower petals. Res. J. Pharm. Biol. Chem. Sci. 2016, 6, 2986–2993. [Google Scholar]
- Singh, A.; Dhariwal, S.; Navneet, D. Traditional uses, antimicrobial potential, pharmacological properties and phytochemistry of Viola odorata: A mini review. J. Phytopharm. 2018, 7, 103–105. [Google Scholar] [CrossRef]
- Griesbach, R.J.; Batdorf, L. Flower pigments within Hemerocallis fulva L. fm. fulva, fm. rosea, and fm. disticha. Hortic. Sci. 1995, 30, 353–354. [Google Scholar] [CrossRef]
- Deeva, A.M.; Shabunya, P.S.; Fatykhova, S.A.; Zubarev, A.V.; Reshetnikov, V.N.; Spiridovich, E.V. Anthocyanin content in the flowers of common lilac varieties (Syringa vulgaris L.). Russ. J. Plant Physiol. 2022, 69, 26. [Google Scholar] [CrossRef]
- Mitchell, K.A.; Markham, K.R.; Boase, M.R. Pigment chemistry and colour of Pelargonium flowers. Phytochemistry 1998, 47, 355–361. [Google Scholar] [CrossRef]
- Griesbach, R.J.; Asen, S.; Leonnarat, B.A. Petunia hybrida anthocyanins acylated with caffeic acid. Phytochemistry 1991, 30, 1729–1731. [Google Scholar] [CrossRef]
- Lee, S.G.; Brownmiller, C.R.; Lee, S.O.; Kang, H.W. Anti-inflammatory and antioxidant effects of anthocyanins of Trifolium pratense (red clover) in lipopolysaccharide-stimulated RAW-267.4 macrophages. Nutrients 2020, 12, 1089. [Google Scholar] [CrossRef] [PubMed]
- Nakayama, M.; Okada, M.; Taya-Kizu, M.; Urashima, O.; Kan, Y.; Fukui, Y.; Koshioka, M. Coloration and anthocyanin profile in tulip flowers. Jpn. Agric. Res. Q. 2004, 38, 185–190. [Google Scholar] [CrossRef][Green Version]
- Skowyra, M.; Calvo, M.I.; Gallego, M.G.; Azman, N.A.M.; Almajano, M.P. Characterization of phytochemicals in petals of different colours from Viola × wittrockiana gams and their correlation with antioxidant activity. J. Agric. Sci. 2014, 6, 93. [Google Scholar] [CrossRef]
- Costea, T.; Strainu, A.M.; Gîrd, C.E. Botanical characterization, chemical composition and antioxidant activity of Romanian lavender (Lavandula Angustifolia mill.) flowers. Studia Univ. Vasile Goldis Arad. Ser. Stiintele Vietii 2019, 29, 151–159. [Google Scholar]
- Wang, N.; Zhang, C.; Bian, S.; Chang, P.; Xuan, L.; Fan, L.; Yu, Q.; Liu, Z.; Gu, C.; Zhang, S.; et al. Flavonoid Components of Different Color Magnolia Flowers and Their Relationship to Cultivar Selections. HortScience 2019, 54, 404–408. [Google Scholar] [CrossRef]
- Shen, T.; Hu, F.; Liu, Q.; Wang, H.; Li, H. Analysis of flavonoid metabolites in chaenomeles petals using UPLC-ESI-MS/MS. Molecules 2020, 25, 3994. [Google Scholar] [CrossRef] [PubMed]
- Aizza, L.C.B.; Sawaya, A.C.H.F.; Dornelas, M.C. Identification of anthocyanins in the corona of two species of Passiflora and their hybrid by ultra-high performance chromatography with electrospray ionization tandem mass spectrometry (UHPLC-ESI-MS/MS). Biochem. Syst. Ecol. 2019, 85, 60–67. [Google Scholar] [CrossRef]
- Pires, E.O., Jr.; Pereira, E.; Carocho, M.; Pereira, C.; Dias, M.I.; Calhelha, R.C.; Ćirić, A.; Soković, M.; Garcia, C.C.; Ferreira, I.C.F.R.; et al. Study on the Potential Application of Impatiens balsamina L. Flowers Extract as a Natural Colouring Ingredient in a Pastry Product. Int. J. Environ. Res. Public Health 2021, 18, 9062. [Google Scholar] [CrossRef]
- Goupy, P.; Vian, M.A.; Chemat, F.; Caris-Veyrat, C. Identification and quantification of flavonols, anthocyanins and lutein diesters in tepals of Crocus sativus by ultra performance liquid chromatography coupled to diode array and ion trap mass spectrometry detections. Ind. Crops Prod. 2013, 44, 496–510. [Google Scholar] [CrossRef]
- Pires, T.C.S.P.; Dias, M.I.; Barros, L.; Barreira, J.C.M.; Santos-Buelga, C.; Ferreira, I.C.F.R. Incorporation of natural colorants obtained from edible flowers in yogurts. LWT 2018, 97, 668–675. [Google Scholar] [CrossRef]
- de Morais, J.S.; Sant’Ana, A.S.; Dantas, A.M.; Silva, B.S.; Lima, M.S.; Borges, G.C.; Magnani, M. Antioxidant activity and bioaccessibility of phenolic compounds in white, red, blue, purple, yellow and orange edible flowers through a simulated intestinal barrier. Food Res. Int. 2020, 131, 109046. [Google Scholar] [CrossRef] [PubMed]
- Olennikov, D.N.; Kashchenko, N.I. New isorhamnetin glycosides and other phenolic compounds from calendula officinalis. Chem. Nat. Comp. 2013, 49, 833–840. [Google Scholar] [CrossRef]
- Vaillant, F.; Perez, A.; Davila, I.; Dornier, M.; Reynes, M. Colorant and antioxidant properties of red-purple pitahaya (Hylocereus sp.). Fruits 2005, 60, 3–12. [Google Scholar] [CrossRef]
- Bhagya Raj, G.V.S.; Dash, K.K. Ultrasound-assisted extraction of phytocompounds from dragon fruit peel: Optimization, kinetics and thermodynamic studies. Ultrason. Sonochemistry 2020, 68, 105180. [Google Scholar] [CrossRef] [PubMed]
- Laqui-Vilca, C.; Aguilar-Tuesta, S.; Mamani-Navarro, W.; Montaño-Bustamante, J.; Condezo-Hoyos, L. Ultrasound-assisted optimal extraction and thermal stability of betalains from colored quinoa (Chenopodium quinoa Willd) hulls. Ind. Crops Prod. 2018, 111, 606–614. [Google Scholar] [CrossRef]
- Deladino, L.; Alvarez, I.; De Ancos, B.; Sánchez-Moreno, C.; Molina-García, A.D.; Teixeira, A.S. Betalains and phenolic compounds of leaves and stems of Alternanthera brasiliana and Alternanthera tenella. Food Res. Int. 2017, 97, 240–249. [Google Scholar] [CrossRef] [PubMed]
- Koubaa, M.; Barba, F.J.; Grimi, N.; Mhemdi, H.; Koubaa, W.; Boussetta, N.; Vorobiev, E. Recovery of colorants from red prickly pear peels and pulps enhanced by pulsed electric field and ultrasound. Innov. Food Sci. Emerg. Technol. 2016, 37, 336–344. [Google Scholar] [CrossRef]
- Sandate-Flores, L.; Rodríguez-Rodríguez, J.; Velázquez, G.; Mayolo-Deloisa, K.; Rito-Palomares, M.; Torres, J.A.; Parra-Saldívar, R. Low-sugar content betaxanthins extracts from yellow pitaya (Stenocereus pruinosus). Food Bioprod. Process. 2020, 121, 178–185. [Google Scholar] [CrossRef]
- Khatabi, O.; Hanine, H.; Elothmani, D.; Hasib, A. Extraction and determination of polyphenols and betalain pigments in the moroccan prickly pear fruits (Opuntia ficus indica). Arab. J. Chem. 2016, 9, S278–S281. [Google Scholar] [CrossRef]
- Mobhammer, M.R.; Stintzing, F.C.; Carle, R. Colour studies on fruit juice blends from Opuntia and Hylocereus cacti and betalain-containing model solutions derived therefrom. Food Res. Int. 2005, 38, 975–981. [Google Scholar] [CrossRef]
- Stintzing, F.C.; Herbach, K.M.; Mosshammer, M.R.; Carle, R.; Yi, W.; Sellappan, S.; Akoh, C.C.; Bunch, R.; Felker, P. Color, betalain pattern, and antioxidant properties of cactus pear (Opuntia spp.) clones. J. Agric. Food Chem. 2005, 53, 442–451. [Google Scholar] [CrossRef] [PubMed]
- Mohd Hazli, U.H.A.; Abdul-Aziz, A.; Mat-Junit, S.; Chee, C.F.; Kong, K.W. Solidliquid extraction of bioactive compounds with antioxidant potential from Alternanthera sesillis (red) and identification of the polyphenols using UHPLC-QqQ-MS/MS. Food Res. Int. 2019, 115, 241–250. [Google Scholar] [CrossRef] [PubMed]
- Tanabtabzadeh, M.S.; Javanbakht, V.; Golshirazi, A.H. Extraction of betacyanin and betaxanthin pigments from red beetroots by chitosan extracted from shrimp wastes. Waste Biomass Valorization 2019, 10, 641–653. [Google Scholar] [CrossRef]
- Bengardino, M.B.; Fernandez, M.V.; Nutter, J.; Jagus, R.J.; Agüero, M.V. Recovery of bioactive compounds from beet leaves through simultaneous extraction: Modelling and process optimization. Food Bioprod. Process. 2019, 118, 227–236. [Google Scholar] [CrossRef]
- Kushwaha, R.; Kumar, V.; Vyas, G.; Kaur, J. Optimization of different variable for eco-friendly extraction of betalains and phytochemicals from beetroot pomace. Waste Biomass Valorization 2018, 9, 1485–1494. [Google Scholar] [CrossRef]
- Kumar, V.; Kushwaha, R.; Goyal, A.; Tanwar, B.; Kaur, J. Process optimization for the preparation of antioxidant rich ginger candy using beetroot pomace extract. Food Chem. 2018, 245, 168–177. [Google Scholar] [CrossRef] [PubMed]
- Singh, A.; Ganesapillai, M.; Gnanasundaram, N. Optimizaton of extraction of betalain pigments from Beta vulgaris peels by microwave pretreatment. Proc. IOP Conf. Ser. Mater. Sci. Eng. 2017, 263, 032004. [Google Scholar] [CrossRef]
- Maran, J.P.; Priya, B. Multivariate statistical analysis and optimization of ultrasound-assisted extraction of natural pigments from waste red beet stalks. J. Food Sci. Technol. 2016, 53, 792–799. [Google Scholar] [CrossRef]
- Svenson, J.; Smallfield, B.M.; Joyce, N.I.; Sansom, C.E.; Perry, N.B. Betalains in red and yellow varieties of the Andean tuber crop ulluco (Ullucus tuberosus). J. Agric. Food Chem. 2008, 56, 7730–7737. [Google Scholar] [CrossRef]
- Lin, S.M.; Lin, B.H.; Hsieh, W.M.; Ko, H.J.; Liu, C.D.; Chen, L.G.; Chiou, R.Y. Structural identification and bioactivities of red-violet pigments present in Basella alba fruits. J. Agric. Food Chem. 2010, 58, 10364–10372. [Google Scholar] [CrossRef]
- Tsai, P.-J.; Sheu, C.-H.; Wu, P.-H.; Sun, Y.-F. Thermal and pH stability of betacyanin pigment of djulis (Chenopodium formosanum) in Taiwan and their relation to antixodant activity. J. Agric. Food Chem. 2010, 58, 1020–1025. [Google Scholar] [CrossRef] [PubMed]
- Escribano, J.; Cabanes, J.; Jiménez-Atiénzar, M.; Ibañez-Tremolada, M.; Gómez-Pando, L.R.; García-Carmona, F.; Gandía-Herrero, F. Characterization of betalains, saponins and antioxidant power in differently colored quinoa (Chenopodium quinoa) varieties. Food Chem. 2017, 234, 285–294. [Google Scholar] [CrossRef] [PubMed]
- Rahimi, P.; Abedimanesh, S.; Mesbah-Namin, S.A.; Ostadrahimi, A. Betalains, the nature-inspired pigments, in health and diseases. Crit. Rev. Food Sci. Nutr. 2019, 59, 2949–2978. [Google Scholar] [CrossRef] [PubMed]
- Calvi, P.; Terzo, S.; Amato, A. Betalains: Colours for human health. Nat. Prod. Res. 2023, 37, 1746–1765. [Google Scholar] [CrossRef] [PubMed]
- Deepak, D.; Ahipa, T.N. Betanin: A Red-Violet Pigment—Chemistry and Applications. In Chemistry and Technology of Natural and Synthetic Dyes and Pigments; Samanta, A.K., Awward, N.S., Eds.; IntechOpen: Rijeka, Croatia, 2020. [Google Scholar]
- Azeredo, H.M.C. Betalains: Properties, sources, applications, and stability—A review. Int. J. Food Sci Technol. 2009, 44, 2365–2376. [Google Scholar] [CrossRef]
- Stintzing, F.C.; Carle, R. Functional properties of anthocyanins and betalains in plants, food, and in human nutrition. Trends Food Sci. Technol. 2004, 15, 19–38. [Google Scholar] [CrossRef]
- Singh, H.B.; Bharati, K.A. Enumeration of dyes. In Handbook of Natural Dyes and Pigments; Singh, H.B., Bharati, K.M., Eds.; Woodhead Publishing: New Delhi, India, 2014; pp. 33–260. [Google Scholar]
- Stintzing, F.; Carle, R. Betalains—Emerging prospects for food scientists. Trends Food Sci. Technol. 2007, 18, 514–525. [Google Scholar] [CrossRef]
- Coy-Barrera, E. Chapter 17—Analysis of betalains (betacyanins and betaxanthins). In Recent Advances in Natural Products Analysis; Silva, A.S., Nabavi, S.F., Saeedi, M., Nabavi, S.M., Eds.; Elsevier: Amsterdam, The Netherlands, 2020; pp. 593–619. [Google Scholar]
- Strack, D.; Vogt, T.; Schliemann, W. Recent advances in betalain research. Phytochemistry 2003, 62, 247–269. [Google Scholar] [CrossRef]
- Capello, C.; Fischer, U.; Hungerbühler, K. What is a green solvent? A comprehensive framework for the environmental assessment of solvents. Green Chem. 2007, 9, 927–934. [Google Scholar] [CrossRef]
- Gałuszka, A.; Migaszewski, Z.; Namiesnik, J. The 12 principles of green analytical chemistry and the significance mnemonic of green analytical practices. TrAC Trends Anal. Chem. 2013, 50, 78–84. [Google Scholar] [CrossRef]
- Chemat, F.; Abert Vian, M.; Ravi, H.K.; Khadhraoui, B.; Hilali, S.; Perino, S.; Fabiano Tixier, A.-S. Review of Alternative Solvents for Green Extraction of Food and Natural Products: Panorama, Principles, Applications and Prospects. Molecules 2019, 24, 3007. [Google Scholar] [CrossRef] [PubMed]
- Hawthorne, S.B.; Yang, Y.; Miller, D.J. Extraction of organic pollutants from environmental solids with sub- and supercritical water. Anal. Chem. 1994, 66, 2912e2920. [Google Scholar] [CrossRef]
- Bubalo, M.C.; Vidovic, S.; Redovnikovic, R.I.; Jokic, S. New perspective in extraction of plant biologically active compounds by green solvents. Food Bioprod. Process. 2018, 109, 52–73. [Google Scholar] [CrossRef]
- Płotka-Wasylka, J.; Rutkowska, M.; Owczarek, K.; Tobiszewski, M.; Namieśnik, J. Extraction with environmentally friendly solvents. TrAC Trends Anal. Chem. 2017, 91, 12–25. [Google Scholar] [CrossRef]
- Kudłak, B.; Owczarek, K.; Namiesnik, J. Selected issues related to the toxicity of ionic liquids and deep eutectic solvents—A review. Environ. Sci. Pollut. Res. 2015, 22, 11975–11992. [Google Scholar] [CrossRef] [PubMed]
- Gullón, P.; Gullón, B.; Romaní, A.; Rocchetti, G.; Lorenzo, J.M. Smart advanced solvents for bioactive compounds recovery from agri-food by-products: A review. Trends Food Sci. Technol. 2020, 101, 182–197. [Google Scholar] [CrossRef]
- Choi, Y.H.; van Spronsen, J.; Dai, Y.T.; Verberne, M.; Hollmann, F.; Arends, I.; Witkamp, G.J.; Verpoorte, R. Are natural deep eutectic solvents the missing link in understanding cellular metabolism and physiology? Plant Physiol. 2011, 156, 1701–1705. [Google Scholar] [CrossRef] [PubMed]
- Li, Z.; Smith, K.H.; Stevens, G.W. The use of environmentally sustainable bioderived solvents in solvent extraction applications-a review. Chin. J. Chem. Eng. 2016, 24, 215–220. [Google Scholar] [CrossRef]
- Yadav, S.; Tiwari, K.S.; Gupta, C.; Tiwari, M.K.; Khan, A.; Sonkar, S.P. A brief review on natural dyes, pigments: Recent advances and future perspectives. Results Chem. 2023, 5, 100733. [Google Scholar] [CrossRef]
- Kultys, E.; Kurek, M.A. Green Extraction of Carotenoids from Fruit and Vegetable Byproducts: A Review. Molecules 2022, 27, 518. [Google Scholar] [CrossRef]
- Chutia, H.; Mahanta, C.L. Green ultrasound and microwave extraction of carotenoids from passion fruit peel using vegetable oils as a solvent: Optimization, comparison, kinetics, and thermodynamic studies. Innov. Food Sci. Emerg. Technol. 2020, 67, 102547. [Google Scholar] [CrossRef]
- Goula, A.M.; Ververi, M.; Adamopoulou, A.; Kaderides, K. Green ultrasoundassisted extraction of carotenoids from pomegranate wastes using vegetable oils. Ultrason. Sonochem. 2017, 34, 821–830. [Google Scholar] [CrossRef] [PubMed]
- Ordóñez-Santos, L.E.; Pinzón-Zarate, L.X.; González-Salcedo, L.O. Optimization of ultrasonic-assisted extraction of total carotenoids from peach palm fruit (Bactris gasipaes) by-products with sunflower oil using response surface methodology. Ultrason. Sonochem. 2015, 27, 560–566. [Google Scholar] [CrossRef] [PubMed]
- Baria, B.; Upadhyay, N.; Singh, A.K.; Malhotra, R.K. Optimization of ‘green’ extraction of carotenoids from mango pulp using split plot design and its characterization. LWT—Food Sci. Technol. 2019, 104, 186–194. [Google Scholar] [CrossRef]
- Tiwari, S.; Upadhyay, N.; Malhotra, R. Three way ANOVA for emulsion of carotenoids extracted in flaxseed oil from carrot bio-waste. J. Waste Manag. 2021, 121, 67–76. [Google Scholar] [CrossRef] [PubMed]
- Sharma, M.; Bhat, R. Extraction of Carotenoids from Pumpkin Peel and Pulp: Comparison between Innovative Green Extraction Technologies (Ultrasonic and Microwave-Assisted Extractions Using Corn Oil). Foods 2021, 10, 787. [Google Scholar] [CrossRef] [PubMed]
- Vo, T.P.; Tran, H.K.L.; Ta, T.M.N.; Nguyen, H.T.V.; Phan, T.H.; Nguyen, T.H.P.; Nguyen, V.K.; Dang, T.C.T.; Nguyen, L.G.K.; Chung, T.Q.; et al. Extraction and Emulsification of Carotenoids from Carrot Pomaces Using Oleic Acid. ACS Omega 2023, 42, 39523–39534. [Google Scholar] [CrossRef]
- Ordóñez-Santos, L.E.; Esparza-Estrada, J.; Vanegas-Mahecha, P. Ultrasound-assisted extraction of total carotenoids from mandarin epicarp and application as natural colorant in bakery products. LWT—Food Sci. Technol. 2021, 139, 110598. [Google Scholar] [CrossRef]
- Rahimi, S.; Mikani, M. Lycopene green ultrasound-assisted extraction using edible oil accompany with response surface methodology (RSM) optimization performance: Application in tomato processing wastes. Microchem. J. 2019, 146, 1033–1042. [Google Scholar] [CrossRef]
- Teramukai, K.; Kakui, S.; Beppu, F.; Hosokawa, M.; Miyashita, K. Effective extraction of carotenoids from brown seaweeds and vegetable leaves with edible oils. Innov. Food Sci. Emerg. Technol. 2020, 60, 102302. [Google Scholar] [CrossRef]
- Kang, C.D.; Sim, S.J. Direct extraction of astaxanthin from Haematococcus culture using vegetable oils. Biotechnol. Lett. 2008, 30, 441–444. [Google Scholar] [CrossRef] [PubMed]
- Karnila, R.; Hasan, B.; Ilza, M.; Leksono, T.; Ahmad, M.A. Astaxanthin Extraction of Vanname Shrimp (Litopenaeus vanname) Using Palm Oil. IOP Conf. Ser. Earth Environ. Sci. 2021, 695, 012056. [Google Scholar] [CrossRef]
- Aissou, M.; Chemat-Djenni, Z.; Yara-Varón, E.; Fabiano-Tixier, A.-S.; Chemat, F. Limonene as an agro-chemical building block for the synthesis and extraction of bioactive compounds. C. R. Chim. 2017, 20, 346–358. [Google Scholar] [CrossRef]
- Chemat-Djenni, Z.; Ferhat, M.A.; Tomao, V.; Chemat, F. Carotenoid extraction from tomato using a green solvent resulting from orange processing waste. J. Essent. Oil Bear. Plants 2010, 2, 139–147. [Google Scholar] [CrossRef]
- De Andrade, L.M.; Charalampopoulos, D.; Chatzifragkou, A. Optimisation and modelling of supercritical CO2 extraction process of carotenoids from carrot peels. J. Supercrit. Fluids 2018, 133, 94–102. [Google Scholar] [CrossRef]
- Shi, J.; Yi, C.; Ye, X.; Xue, S.; Jiang, Y.; Ma, Y.; Liu, D. Effects of supercritical CO2 fluid parameters on chemical composition and yield of carotenoids extracted from pumpkin. LWT Food Sci. Technol. 2010, 43, 39–44. [Google Scholar] [CrossRef]
- Saldaña, M.D.A.; Temelli, F.; Guigard, S.E.; Tomberli, B.; Gray, C.G. Apparent solubility of lycopene and β-carotene in supercritical CO2, CO2+ethanol and CO2+canola oil using dynamic extraction of tomatoes. J. Food Eng. 2010, 99, 1–8. [Google Scholar] [CrossRef]
- Ciurlia, L.; Bleve, M.; Rescio, L. Supercritical carbon dioxide co-extraction of tomatoes (Lycopersicum esculentum L.) and hazelnuts (Corylus avellana L.): A new procedure in obtaining a source of natural lycopene. J. Supercrit. Fluids 2009, 49, 338–344. [Google Scholar] [CrossRef]
- Kassama, L.S.; Shi, J.; Mittal, G.S. Optimization of supercritical fluid extraction of lycopene from tomato skin with central composite rotatable design model. Sep. Purif. Technol. 2008, 60, 278–284. [Google Scholar] [CrossRef]
- Machmudah, S.; Shotipruk, A.; Goto, M.; Sasaki, M.; Hirose, T. Extraction of astaxanthin from Haematococcus pluvialis using supercritical CO2 and ethanol as entrainer. Ind. Eng. Chem. Res. 2006, 45, 3652–3657. [Google Scholar] [CrossRef]
- Nobre, B.; Marcelo, F.; Passos, R.; Beiro, L.; Palavra, A.; Gouveia, L.; Mendes, R. Supercritical carbon dioxide extraction of astaxanthin and other carotenoids from the microalga Haematococcus pluvialis. Eur. Food Res. Technol. 2006, 223, 787–790. [Google Scholar] [CrossRef]
- Wang, L.; Yang, B.; Yan, B.; Yao, X. Supercritical fluid extraction of astaxanthin from Haematococcus pluvialis and its antioxidant potential in sunflower oil. Innov. Food Sci. Emerg. Technol. 2012, 13, 120–127. [Google Scholar] [CrossRef]
- Sivagnanam, S.P.; Yin, S.; Choi, J.H.; Park, Y.B.; Woo, H.C.; Chun, B.S. Biological properties of fucoxanthin in oil recovered from two brown seaweeds using supercritical CO2 extraction. Mar. Drugs 2015, 13, 3422–3442. [Google Scholar] [CrossRef] [PubMed]
- Martínez, J.M.; Schottroff, F.; Haas, K.; Fauster, T.; Sajfrtová, M.; Álvarez, I.; Raso, J.; Jaeger, H. Evaluation of pulsed electric fields technology for the improvement of subsequent carotenoid extraction from dried Rhodotorula glutinis yeast. Food Chem. 2020, 323, 126824. [Google Scholar] [CrossRef] [PubMed]
- Leite, P.I.P.; De Assis, C.F.; Silvino dos Santos, E.; Padilha, C.E.d.A.; Ferrari, M.; Sousa Junior, F.C. Choline chloride-based deep eutectic solvents do not improve the ethanolic extraction of carotenoids from buriti fruit (Mauritia flexuosa L.). Sustain. Chem. Pharm. 2021, 20, 100375. [Google Scholar] [CrossRef]
- Lazzarini, C.; Casadei, E.; Valli, E.; Tura, M.; Ragni, L.; Bendini, A.; Gallina Toschi, T. Sustainable Drying and Green Deep Eutectic Extraction of Carotenoids from Tomato Pomace. Foods 2022, 11, 405. [Google Scholar] [CrossRef] [PubMed]
- Dharani, S.; Ramalingam, P.; Priya; Basavaraju, S.; Saraswathy, N. Extraction of lutein from targetes erecta using deep eutectic solvents. AIP Conf. Proc. 2022, 2446, 020019. [Google Scholar]
- Zhang, H.; Tang, B.; Row, K.H. A green deep eutectic solvent-based ultrasound-assisted method to extract astaxanthin from shrimp byproducts. Anal. Lett. 2014, 47, 742–749. [Google Scholar] [CrossRef]
- Stupar, A.; Šeregelj, V.; Ribeiro, B.D.; Pezo, L.; Cvetanovic, A.; Mišan, A.; Marrucho, I. Recovery of carotene from pumpkin using switchable natural deep eutectic solvents. Ultrason. Sonochem. 2021, 76, 105638. [Google Scholar] [CrossRef]
- Martins, P.L.G.; De Rosso, V.V. Carotenoids achieving from tomatoes discarded using ionic liquids as extracting for application in food industry. In Proceedings of the XIV Safety, Health and Environment World Congress, Cubatão, Brazil, 20–23 July 2014; pp. 35–38. [Google Scholar]
- Murador, D.C.; Salafia, F.; Zoccali, M.; Martins, P.L.G.; Ferreira, A.G.; Dugo, P.; Mondello, L.; de Rosso, V.V.; Giuffrida, D. Green Extraction Approaches for Carotenoids and Esters: Characterization of Native Composition from Orange Peel. Antioxidants 2019, 8, 613. [Google Scholar] [CrossRef]
- Ranga, R.A.; Sarada, R.; Ravishankar, G.A. Stabilization of astaxanthin in edible oils and its use as an antioxidant. J. Sci. Food Agric. 2007, 87, 957–965. [Google Scholar]
- Pagliaro, M.; Fabiano-Tixier, A.S.; Ciriminna, R. Limonene as a natural product extraction solvent. Green Chem. 2023, 25, 6108–6119. [Google Scholar] [CrossRef]
- Sánchez-Camargo, A.d.P.; Gutiérrez, L.F.; Vargas, S.M.; Martinez-Correa, H.A.; Parada-Alfonso, F.; Narváez-Cuenca, C.E. Valorisation of mango peel: Proximate composition, supercritical fluid extraction of carotenoids, and application as an antioxidant additive for an edible oil. J. Supercrit. Fluids 2019, 152, 104574. [Google Scholar] [CrossRef]
- Derrien, M.; Aghabararnejad, M.; Gosselin, A.; Desjardins, Y.; Angers, P.; Boumghar, Y. Optimization of supercritical carbon dioxide extraction of lutein and chlorophyll from spinach by-products using response surface methodology. LWT 2018, 93, 79–87. [Google Scholar] [CrossRef]
- Vigano, J.; Coutinho, J.P.; Souza, D.S.; Baroni, N.A.F.; Godoy, H.T.; Macedo, J.A.; Martínez, J. Exploring the selectivity of supercritical CO2 to obtain nonpolar fractions of passion fruit bagasse extracts. J. Supercrit. Fluids 2016, 110, 1–10. [Google Scholar] [CrossRef]
- Tan, J.; Han, Y.; Han, B.; Qi, X.; Cai, X.; Ge, S.; Xue, H. Extraction and purification of anthocyanins: A review. J. Agric. Food Res. 2022, 8, 100306. [Google Scholar] [CrossRef]
- Lima, Á.S.; Oliveira, B.S.; de Shabudin, S.V.; Almeida, M.; Freire, M.G.; Bica, K. Purification of anthocyanins from grape pomace by centrifugal partition chromatography. J. Mol. Liq. 2021, 326, 115324. [Google Scholar] [CrossRef]
- Chandrasekhar, J.; Madhusudhan, M.C.; Raghavarao, K.S.M.S. Extraction of anthocyanins from red cabbage and purification using adsorption. Food Bioprod. Process. 2012, 90, 615–623. [Google Scholar] [CrossRef]
- Xue, H.; Tan, J.; Li, Q.; Tang, J.; Cai, X. Optimization ultrasound-assisted deep eutectic solvent extraction of anthocyanins from raspberry using response surface methodology coupled with genetic algorithm. Foods 2020, 9, 1409. [Google Scholar] [CrossRef]
- Segura-Carretero, A.; Puertas-Mejía, M.A.; Cortacero-Ramírez, S.; Beltrán, R.; Alonso-Villaverde, C.; Joven, J.; Dinelli, G.; Fernández-Gutiérrez, A. Selective extraction, separation, and identification of anthocyanins from Hibiscus sabdariffa L. using solid phase extraction-capillary electrophoresis-mass spectrometry (time-of-flight/ion trap). Electrophoresis 2008, 29, 2852–2861. [Google Scholar] [CrossRef]
- Yao, L.; Zhang, N.; Wang, C.; Wang, C. Highly Selective Separation and Purification of Anthocyanins from Bilberry Based on a Macroporous Polymeric AdsorbentJ. Agric. Food Chem. 2015, 63, 3543–3550. [Google Scholar] [CrossRef]
- Xue, H.; Tan, J.; Li, Q.; Tang, J.; Cai, X. Ultrasound-assisted deep eutectic solvent extraction of anthocyanins from blueberry wine residues: Optimization, identification, and HepG2 antitumor activity. Molecules 2020, 25, 5456. [Google Scholar] [CrossRef] [PubMed]
- Benucci, I.; Lombardelli, C.; Mazzocchi, C.; Esti, M. Natural colorants from vegetable food waste: Recovery, regulatory aspects, and stability—A review. Compr. Rev. Food Sci. Food Saf. 2022, 21, 2715–2737. [Google Scholar] [CrossRef] [PubMed]
- He, J.; Giusti, M.M. Anthocyanins: Natural colorants with health-promoting properties. Annu. Rev. Food Sci. Technol. 2010, 1, 163–187. [Google Scholar] [CrossRef] [PubMed]
- Pina, F.; Petrov, V.; Laia, C.A.T. Photochromism of flavylium systems. An overview of a versatile multistate system. Dyes Pigments 2012, 92, 877–889. [Google Scholar] [CrossRef]
- Jaiswal, Y.S.; Guan, Y.; Moon, K.H.; Williams, L.L. Anthocyanins: Natural Sources and Traditional Therapeutic Uses. In Flavonoids—A Coloring Model for Cheering Up Life; Badria, F.A., Ananga, A., Eds.; InTechOpen: Rijeka, Croatia, 2019; pp. 6–8. [Google Scholar]
- Pedro, A.C.; Granato, D.; Rosso, N.D. Extraction of anthocyanins and polyphenols from black rice (Oryza sativa L.) by modeling and assessing their reversibility and stability. Food Chem. 2016, 191, 12–20. [Google Scholar] [CrossRef] [PubMed]
- Agcam, E.; Akyıldız, A.; Balasubramaniam, V.M. Optimization of anthocyanins extraction from black carrot pomace with thermosonication. Food Chem. 2017, 237, 461–470. [Google Scholar] [CrossRef] [PubMed]
- Ferreira, L.F.; Minuzzi, N.M.; Rodrigues, R.F.; Pauletto, R.; Rodrigues, E.; Emanuelli, T.; Bochi, V.C. Citric acid water-based solution for blueberry bagasse anthocyanins recovery: Optimization and comparisons with microwave-assisted extraction (MAE). LWT 2020, 133, 110064. [Google Scholar] [CrossRef]
- Ferarsa, S.; Zhang, W.; Moulai-Mostefa, N.; Ding, L.; Jaffrin, M.Y.; Grimi, N. Recovery of anthocyanins and other phenolic compounds from purple eggplant peels and pulps using ultrasonic-assisted extraction. Food Bioprod. Process. 2018, 7, 1836. [Google Scholar] [CrossRef]
- Leichtweis, M.G.; Pereira, C.; Prieto, M.A.; Barreiro, M.F.; Barros, L.; Ferreira, I.C.F.R. Ultrasound as a rapid and low-cost extraction procedure to obtain anthocyanin-based colorants from Prunus spinosa L. fruit epicarp: Comparative study with conventional heat-based extraction. Molecules 2019, 24, 573. [Google Scholar] [CrossRef]
- Ryu, D.; Park, H.M.; Koh, E. Effects of solid-liquid ratio, time, and temperature on water extraction of anthocyanin from campbell early grape. Food Anal. Methods 2020, 13, 637–646. [Google Scholar] [CrossRef]
- Valencia-Arredondo, J.A.; Hernández-Bolio, G.I.; Cerón-Montes, G.I.; Castro-Muñoz, R.; Yáñez-Fernández, J. Enhanced process integration for the extraction, concentration and purification of di-acylated cyanidin from red cabbage. Sep. Purif. Technol. 2020, 238, 116492. [Google Scholar] [CrossRef]
- Herrera-Ramirez, J.; Meneses-Marentes, N.; Diaz, M.P.T. Optimizing the extraction of anthocyanins from purple passion fruit peel using response surface methodology. J. Food Meas. Charact. 2020, 14, 72–79. [Google Scholar] [CrossRef]
- Pinela, J.; Prieto, M.A.; Pereira, E.; Jabeur, I.; Barreiro, M.F.; Barros, L.; Ferreira, I.C.F.R. Optimization of heat- and ultrasound-assisted extraction of anthocyanins from Hibiscus sabdaria calyces for natural food colorants. Food Chem. 2019, 275, 309–321. [Google Scholar] [CrossRef] [PubMed]
- Heras, I.; Alvis, A.; Arrazola, G. Optimizacion del proceso de extraccion de antocianinas y evaluacion de la capacidad antioxidante de berenjena (Solana melonera L.). Inf. Tecnol. 2013, 24, 93–102. [Google Scholar] [CrossRef]
- King, J.W.; Grabiel, R.D.; Wightman, J.D. Subcritical water extraction of anthocyanins from fruit berry substrates. In Proceedings of the 6th International Symposium on Supercritical Fluids, Lorraine, France, 28–30 April 2003; pp. 28–30. [Google Scholar]
- Kang, H.J.; Ko, M.J.; Chung, M.S. Anthocyanin structure and pH dependent extraction characteristics from blueberries (Vaccinium corymbosum) and chokeberries (Aronia melanocarpa) in subcritical water state. Foods 2021, 10, 527. [Google Scholar] [CrossRef]
- Jiao, G.; Pour, A.K. Extraction of anthocyanins from haskap berry pulp using supercritical carbon dioxide: Influence of co-solvent composition and pretreatment. LWT 2018, 98, 237–244. [Google Scholar] [CrossRef]
- Tian, M.X.; Li, Y.D.; Hu, W.Z.; Wang, Y.Y.; Jiang, A.L.; Liu, C.H. Optimization of supercritical CO2 extraction of blueberry anthocyanins using response surface methodology. Sci. Technol. Food Ind. 2016, 37, 208–212. [Google Scholar]
- Paes, J.; Dotta, R.; Barbero, G.F.; Martínez, J. Extraction of phenolic compounds and anthocyanins from blueberry (Vaccinium myrtillus L.) residues using supercritical CO2 and pressurized liquids. J. Supercrit. Fluids 2014, 95, 8–16. [Google Scholar] [CrossRef]
- Qin, G.W.; Han, H.; Ding, X.W.; Wang, Y.L. Optimization of extracting technology of anthocyanins from blueberry pomace by supercritical carbon dioxide. Appl. Chem. Ind. 2019, 48, 109–112. [Google Scholar]
- Seabra, I.J.; Braga, M.E.M.; Batista, M.T.; de Sousa, H.S. Effect of solvent (CO2/ethanol/H2O) on the fractionated enhanced solvent extraction of anthocyanins from elderberry pomace. J. Supercrit. Fluids 2010, 54, 145–152. [Google Scholar] [CrossRef]
- Kurtulbas, E.; Pekel, A.G.; Bilgin, M.; Makris, D.P.; Sahin, S. Citric acid-based deep eutectic solvent for the anthocyanin recovery from Hibiscus sabdariffa through microwave-assisted extraction. Biomass Convers. Biorefinery 2020, 12, 351–360. [Google Scholar] [CrossRef]
- Guo, N.; Kou, P.; Jiang, Y.-W.; Wang, L.T.; Niu, L.J.; Liu, Z.M.; Fu, Y.J. Natural deep eutectic solvents couple with integrative extraction technique as an effective approach for mulberry anthocyanin extraction. Food Chem. 2019, 296, 78–85. [Google Scholar] [CrossRef] [PubMed]
- Türker, D.A.; Doan, M. Ultrasound-assisted natural deep eutectic solvent extraction of anthocyanin from black carrots: Optimization, cytotoxicity, in vitro bioavailability and stability. Food Bioprod. Process. 2022, 132, 99–113. [Google Scholar] [CrossRef]
- Jovanović, M.S.; Krgović, N.; Živković, J.; Stević, T.; Zdunić, G.; Bigović, D.; Šavikin, K. Ultrasound-Assisted Natural Deep Eutectic Solvents Extraction of Bilberry Anthocyanins: Optimization, Bioactivities, and Storage Stability. Plants 2022, 11, 2680. [Google Scholar] [CrossRef] [PubMed]
- Dai, Y.; Rozema, E.; Verpoorte, R.; Choi, Y.H. Application of natural deep eutectic solvents to the extraction of anthocyanins from Catharanthus roseus with high extractability and stability replacing conventional organic solvents. J. Chromatogr. A 2016, 1434, 50–56. [Google Scholar] [CrossRef] [PubMed]
- Bosiljkov, T.; Dujmic, F.; Bubalo, M.C.; Hribar, J.; Vidrih, R.; Brncic, M.; Zlatic, E.; Redovnikovic, I.R.; Jokic, S. Natural deep eutectic solvents and ultrasound-assisted extraction: Green approaches for extraction of wine lees anthocyanins. Food Bioprod. Process. 2017, 102, 195–203. [Google Scholar] [CrossRef]
- Panic, M.; Gunjevic, V.; Cravotto, G.; Redovnikovic, I.R. Enabling technologies for the extraction of grape-pomace anthocyanins using natural deep eutectic solvents in up-to-half-liter batches extraction of grape-pomace anthocyanins using NADES. Food Chem. 2019, 300, 125185. [Google Scholar] [CrossRef]
- Grillo, G.; Gunjevic, V.; Radoševic, K.; Redovnikovic, I.R.; Cravotto, G. Deep eutectic solvents and nonconventional technologies for blueberry-peel extraction: Kinetics, anthocyanin stability, and antiproliferative activity. Antioxidants 2020, 9, 1069. [Google Scholar] [CrossRef]
- Huang, A.S.; Elbe, J.H.V. Effect of pH on the Degradation and Regeneration of Betanine. J. Food Sci. 1987, 52, 1689–1693. [Google Scholar] [CrossRef]
- Cai, Y.; Corke, H. Amaranthus betacyanin pigments applied in model food systems. J. Food Sci. 1999, 64, 869–873. [Google Scholar] [CrossRef]
- Tsai, P.J.; Hsiao, S.M. Method to Stabilize Liquid Betalains. US Patent 2010/0330239 A1, 25 January 2010. [Google Scholar]
- Borjan, D.; Šeregelj, V.; Andrejc, D.C.; Pezo, L.; Šaponjac, V.T.; Knez, Ž.; Vulić, J.; Marevci, M.K. Green Techniques for Preparation of Red Beetroot Extracts with Enhanced Biological Potential. Antioxidants 2022, 11, 805. [Google Scholar] [CrossRef] [PubMed]
- Zin, M.M.; Bánvölgyi, S. Characterization of Cylindra Beetroot Wastes Volarized with Green Solvent by Thermal Emerging Technology (Microwave Irradiation). Res. Sq. 2021. preprint (Version 1). [Google Scholar] [CrossRef]
- Zin, M.M.; Bánvölgyi, S. Emerging technology approach for extractability and stability of betalains from the peel of beetroot (Beta vulgaris L.). Biomass Convers. Biorefinery 2023, 13, 10759–10769. [Google Scholar] [CrossRef]
- Kumar, R.; Methven, L.; Oruna-Concha, M.J. A Comparative Study of Ethanol and Citric Acid Solutions for Extracting Betalains and Total Phenolic Content from Freeze-Dried Beetroot Powder. Molecules 2023, 28, 6405. [Google Scholar] [CrossRef] [PubMed]
- Singh, S.; Omre, P.K.; Chand, K.; Kumar, A.; Awasthi, P. Process optimization of ultrasonic assisted extraction of betalains from red beet, Beta vulgaris L. waste stalks. Indian J. Exp. Biol. 2021, 59, 858–866. [Google Scholar]
- Thirugnanasambandham, K.; Sivakumar, V. Microwave assisted extraction process of betalain from dragon fruit and its antioxidant activities. J. Saudi Soc. Agric. Sci. 2017, 16, 41–48. [Google Scholar] [CrossRef]
- Gómez-López, I.; Mendiola, J.A.; Portillo, M.P.; Cano, M.P. Pressurized green liquid extraction of betalains and phenolic compounds from Opuntia stricta var. Dillenii whole fruit: Process optimization and biological activities of green extracts. Innov. Food Sci. Emerg. Technol. 2022, 80, 103066. [Google Scholar] [CrossRef]
- Sanchez-Gonzalez, N.; Jaime-Fonseca, M.R.; Martin-Martinez, E.S.; Zeped, L.G. Extraction, Stability, and Separation of Betalains from Opuntia joconostle cv. Using Response Surface Methodology. Agric. Food Chem. 2013, 61, 11995–12004. [Google Scholar] [CrossRef]
- Sandate-Flores, L.; Rodríguez-Rodríguez, J.; Rostro-Alanis, M.; Sosa-Hernández, J.E.; Parra-Saldívar, R.; Iqbal, H.M.N. Validation of aqueous two-phase extraction method. Methods X 2021, 8, 101421. [Google Scholar] [CrossRef]
- Lopez, M.A.H.; Luna-Suárez, S.; Macuil, R.J.D.; Cárdenas, F.F.R. Simple and efficient protocol for amaranth betalains extraction and stability analysis by ATR-FTIR spectroscopy. J. Cereal Sci. 2023, 113, 103745. [Google Scholar] [CrossRef]
- Howard, J.E.; Villamil, M.B.; Riggins, C.W. Amaranth as a natural food colorant source: Survey of germplasm and optimization of extraction methods for betalain pigments. Front. Plant Sci. 2022, 13, 932440. [Google Scholar] [CrossRef]
- Roriz, C.L.; Heleno, S.A.; Carocho, M.; Rodrigues, P.; Pinela, J.; Dias, M.I.; Fernandes, I.P.; Barreiro, M.F.; Morales, P.; Barros, L.; et al. Betacyanins from Gomphrena globosa L. flowers: Incorporation in cookies as natural colouring agents. Food Chem. 2020, 329, 127178. [Google Scholar] [CrossRef] [PubMed]
- Sharma, A.; Mazumdar, B.; Keshav, A. Valorization of unsalable Amaranthus tricolour leaves by microwave-assisted extraction of betacyanin and betaxanthin. Biomass Convers. Biorefinery 2023, 13, 1251–1267. [Google Scholar] [CrossRef]
- Rosa, M.E.; Ferreira, A.M.; Neves, C.M.S.S.; Almeida, M.R.; Barros, R.; Cristovão, A.C.; Sousa, A.C.A.; Reis, P.M.; Rebelo, L.P.N.; Esperança, J.M.S.S.; et al. Valorisation of red beet waste: One-step extraction and separation of betalains and chlorophylls using thermoreversible aqueous biphasic systems. Green Chem. 2023, 25, 1852. [Google Scholar] [CrossRef]
- Hernández-Aguirre, O.A.; Muro, C.; Hernández-Acosta, E.; Alvarado, Y.; Díaz-Nava, M.d.C. Extraction and Stabilization of Betalains from Beetroot (Beta vulgaris) Wastes Using Deep Eutectic Solvents. Molecules 2021, 26, 6342. [Google Scholar] [CrossRef] [PubMed]
- Sigwela, V.N.; de Wit, M.; Du Toit, A.; Hugo, A. Extraction and stability of betalains extracted from beetroot tubers and the fruit of eight cactus pear cultivars. Acta Hortic. 2022, 1343, 309–316. [Google Scholar] [CrossRef]
- Polturak, G.; Aharoni, A. “La Vie en Rose”: Biosynthesis, Sources, and Applications of Betalain Pigments. Mol. Plant 2018, 11, 7–22. [Google Scholar] [CrossRef]



| Carotenoid | Source | Solvent | Extraction Technique | Yield/ Recovery | Reference |
|---|---|---|---|---|---|
| Edible oils | |||||
| Total carotenoids | Passion fruit peel (Passiflora edulis) | Olive oil Sunflower oil | UAE * 39 min, 47 °C, 30/100 mL ratio | 1.2 mg/100 g DW | [119] |
| Total carotenoids | Pomegranate peels (Punica granatum L.) | Sunflower oil | UAE, 30 min, 51.5 °C, 0.10 g/mL ratio | 0.6 mg/100 g DW | [120] |
| Total carotenoids | Peach palm peels (Bactris gasipaes) | Sunflower oil | UAE, 30 min, 35 °C, and 1528 W/m2 | 163 mg/100 g DW | [121] |
| Total carotenoids | Mango pulp | Flaxseed oil | High shear Dispersion | 0.84 mg/100 g DW | [122] |
| Total carotenoids | Carrot waste | Flaxseed oil | MAE ** 9.39 min, 8.06:1 ratio, 165 W power | 77.5% | [29] |
| Total carotenoids | Carrot waste | Flaxseed oil | Magnetic stirrer | 3.46 mg/100 g DW | [123] |
| Total carotenoids | Pumpkin peel | Corn oil | MAE/ UAE 1:10 ratio | 3.8/ 3.4 mg/100 g DM | [124] |
| Total carotenoids | Carrot pomace | Oleic acid | UAE; 350 W; 50 °C; 12.5 min; 39 mL/g ratio | 16.3 mg/100 g DW | [125] |
| β-carotene | Mandarin epicarp waste | Sunflower oil | UAE, 60 min, 60 °C, 0.4 ratio | 0.14 mg/100 g DW | [126] |
| Lycopene | Tomato waste | Sunflower oil | UAE, 70 W/m2 10 min | 92 mg/100 g DW | [127] |
| Fucoxanthin | Edible brown seaweed, (Sargassum horneri) | Edible oils (fish oil) | 12 h solid- liquid extraction at 50 °C 1:2 ration | 0.7 mg/mL | [128] |
| Asthaxanthin | Haematococcus pluvialis | Olive oil | Mixing at room temperature, 1:1 ratio | 93% | [129] |
| Astaxanthin | Waste from Vanname Shrimp (Litopenaeus vanname) | Palm oil | SLE 4 h at 70 °C 1:2 (w/v) ratio | 80% 509 mg/100 g DW | [130] |
| Terpenes | |||||
| Total carotenoids | Orange peels | D-limonene | UAE; 208 W/cm3, 5 min, 20 °C, 1/10 ratio | 4%; 1.1 g/100 g DW | [32] |
| Total carotenoids | Carrots | D-limonene | Maturation, room temp., 1 h | 95% 29 mg/100 g DW | [131] |
| Lycopene | Tomato fruits | D-limonene | Liquid-liquid extraction; 4:10 (w/v) ration + 15 mL water | 13% 2.4 mg/100 g FW | [132] |
| Supercritical CO2 | |||||
| β-carotene | Carrot peels | CO2 5.5% (v/v) ethanol | SFE, 30 min, 59.9 °C; 15 g/min CO2; | 80% 4.9 mg/100 g DW | [133] |
| β-carotene, Lutein, Lycopene | Pumkin | CO2 10% (v/w) ethanol | SFE, 70 °C, 35 MPa, 1.5 mL/min CO2 | 74% 110 mg/g | [134] |
| Lycopene | Tomato | CO2 5% (w/v) canola oil | SFE, 40 °C, 400 bar, 478 g/min CO2 | 6.6 mg/g DW | [135] |
| Lycopene | Tomato | CO2 10% (w/v) hazelnut oil | SFE, 65°C, 425 bar, 230 g/min CO2 | 72.5% | [136] |
| Lycopene | Tomato peels | CO2 14% (v/v) ethanol | SFE, 62°C, 450 bar, 3175 g/min CO2 | 33% | [137] |
| Astaxanthin | Haematococcus pluvialis | CO2 5% (v/v) ethanol | SFE, 55 MPa, 70 °C, 3 mL/g | 78% | [138] |
| Astaxanthin Canthaxanthine Lutein and β-carotene | Haematococcus pluvialis | CO2 10% (v/v) ethanol | SFE, 300 bar, 60 °C, 3 mL/g | 73% 85% above 90% | [139] |
| Astaxanthin | Haematococcus pluvialis | CO2 2.5 mL/g ethanol | SFE, 43.5 MPa, 65 °C, 2.3 mL/g | 87% | [140] |
| Fucoxanthin | Sargassum horneri (Turner) C. Agardh | CO2 10% ethanol | SFE, 250 bar, 45 °C, 27 g/min CO2 2 h | 77 mg/100 g DW | [141] |
| Fucoxanthin | Sargassum japonica J.E. Areschoug | CO2 10% ethanol | SFE, 250 bar, 45 °C, 27 g/min CO2 2 h | 41 mg/100 g DW | [141] |
| Total carotenoids (torularhodin) | Rhodotorula glutinis yeast | CO2 20% ethanol | Sample pretreatment by pulsed electric fields SFE 50 MPa 80 °C; 0.8 g/min | 80% 27 mg/100 g DW | [142] |
| NADES | |||||
| Total carotenoids | Buriti peels (Mauritia flexuosa) | Choline chloride (ChCl)/ethanol | 30 min, 50 °C, 0.1/2 ratio | 1043 mg/100 g DW | [143] |
| Lycopene β-carotene | Tomato pomace | ethyl acetate/ethyl lactate (30/70 v/v) | UAE, 20 min, 65 °C/ 100 mL/g ration | 76% 395 mg/100 g DM | [144] |
| β-carotene | Apricot pulp | ChCl/L(+)tartaric acid (2:1)/Methanol 80:20 | UAE, 10 min, 35 C/ MAE, 20 min, 52 °C | 41 mg/100 g 76 mg/100 g | [30] |
| Lycopene | Tomato pomace | DL-menthol/lactic acid (8/1 mol ratio) | UAE, 10 min, 70 °C/ 120 mL/g ration | 96% 145 mg/100 g DM | [33] |
| Lutein | Marigold (Targetes erecta L.) | ChChl/glucose | No data | 80% 369 mg/g FW | [145] |
| Astaxanthin | Shrimp byproducts | ChCl/1,2-butanediol (1:5 mol/mol) | UAE; 20 KHz, 200 W, 30 min 15 mL/g ratio | 0.15–0.22 mg/g | [146] |
| β-carotene; lutein; β-cryptoxanthin | Pumpkin | Octanoic acid/decanoic acid (3:1) | UAE, 60 °C, 10 min, 52.5 W/cm3 7 mL/g ratio | 0.14 mg/mL 15 mg/100 g DM | [147] |
| ILs | |||||
| Lycopene | Tomato fruits | 1-butyl-3-methylimidazolium chloride ([BMIM][Cl]) | No data | 5.6 µg/g FW | [148] |
| Total carotenoids | Orange peels | 1-butyl-3-methylimidazolium chloride ([BMIM][Cl]) | UAE 1:3 (w/v) ratio; 5 min in 6 repetitions | 32 µg/g FW | [149] |
| Source | Solvent | Extraction Technique | Yield/ Recovery | Reference |
|---|---|---|---|---|
| Water | ||||
| Black rice | Water | 34.7 °C, 80 min, 1:30 g/mL ratio | 16 g/100 g | [166] |
| Black carrot pomace | Water | UAE *; 102.4 W; 50 °C; 1:3 ratio | 61−74 mg/L | [167] |
| Red cabbage | 1% HClaq + ethanol (1:1) | Stirring, 1 min, ambient temp. 1:2 ratio | 391 mg/L | [157] |
| Hibiscus sabdariffa L. | 15% acetic acid (v/v) | Stirring, 25 g/L ratio, ambient temp., 48 h | No data | [159] |
| Blueberry bagasse | Acidified water | 100 °C, 5 min | 75% 17 g/100 g | [168] |
| Fresh purple eggplant parts | Acidified water | UAE, pH 2.0, 60 °C, 60 min 30 g/mL ratio | 29 mg GAE/g DM | [169] |
| Bilberry | 60% ethanol aq | pH 2.0 (HCl), 1:3 ratio; 50 °C, 1 h, 2 cycles | 3.5 mg/mL | [160] |
| Prunus spinosa L. Fruit Epicarp | Water/ ethanol (1:1) | UAE, 400 W, pH 3; 50 g/L ratio, 5 min | 18.2 mg/g DM; 68.6% | [170] |
| Campbell Early grape | Acidified by acetic acid water | Stirring, pH 2, 80 °C, 10 min, 1/50 g/mL ratio | 198 mg/100 g DW | [171] |
| Red cabbage | Acidified by phosphoric acid water | 24 °C, 12 h | 32.5 mg/mL | [172] |
| Purple passion fruit peel | Potable water | Stirring, pH 2.0, 52 °C, 180 min 30 g/mL ratio | 577 mg/100 g DW | [173] |
| Hibiscus sabdariffa L. | 39.1% ethanol in water, v/v | UAE, 296.6 W, 26 min; 30–35 °C; 30 g/L ratio | 24 mg/g DM | [174] |
| Egg plant (Solanum melongera L.) | 50% ethanol aq | Maceration, 4 h 30 °C | 62 mg/100 g | [175] |
| Supercritical fluid (SF) | ||||
| Fruit berries and their pomace | H2O | 110–160 °C; 4 MPa; 4 mL/min (0.01% HCl, pH ~2.3) | 90% | [176] |
| Blueberry | H2O | 190 °C; 1 min | 0.7 mg/g DW | [177] |
| Chokeberry | H2O | 130 °C; 3 min | 0.5 mg/g DW | [177] |
| Haskap berry pulp | CO2 | 65 °C, 15 min static and 20 min dynamic,45 MPa, co-solvent—water (5.4:3.2 w/w ratio) | 53% | [178] |
| Blueberry | CO2 | 40 °C, 28 MPa, ratio 1:7 g/mL, 60 min | 2 mg/100 g | [179] |
| Blueberry | CO2 | 40 °C, 20 MPa, and 10 mL/min | 85 mg/100 g | [180] |
| Blueberry pomace | CO2 | 40 °C, pressure 34.7 MPa, 4.5 L/min, 1.86 h | 1.5 mg/g | [181] |
| Elderberry pomace | CO2 | 39.85 °C, 21 MPa Two step extraction Ethanol/water (0.5–100/0–95%v/v) | 15% | [182] |
| NADES | ||||
| Raspberry | ChCl/1,4-butanediol (1:3) | UAE; 29% water, 210 W, 51 °C, 32 min | 1.4 mg/g | [158] |
| Hibiscus sabdariffa | Citric acid/ethylene glycol with a 1:4 M ratio | MAE; 550 W 50% water (v/v), 180 s | 3 mg/g DW | [183] |
| Mulberry | ChCl-citric acid-glucose (1:1:1) | high-speed homogenization; 30% water, 22 mL/g, ratio 30 min | 6 mg/g FW | [184] |
| Black carrots | ChCl;citric acid (1:1 mol/mol) | UAE; 78.4 W, 19.8 min, 24.5:1 mL/g ratio | 17 mg/g | [185] |
| Bilberry | ChCl:sorbitol (1:1) | UAE; 34.8% water, 320 W, 48.4 °C, 10 mL/g ratio | 0.3 mg/g DW | [186] |
| Catharanthus roseus | Lactic acid–glucose 1,2-propanediol–choline chloride | Stirring, 40 °C; 30 min | No data | [187] |
| Blueberry wine residues | Choline chloride + 1,4-butanediol (1:3) | UAE; 29% water, 380 W, 55 °C, 40 min | 9 mg/g | [161] |
| Wine lees | ChCl/Malic acid | UAE, 30.6 min, 341.5 W, 35.4% water (w/w); 33.3 mg/mL ratio | 6 mg/g DW | [188] |
| Grape-pomace | ChCl-citric acid (2:1) | MAE ** 300 W, 10 min, 30% water, 30 g/L ratio | 0.6 mg/g | [189] |
| Grape-pomace | ChCl-citric acid (1:1) | UAE, 40 kHz, 50 W, 10 min | 0.3 mg/g | [189] |
| Blueberry peel | ChCl-lactic acid (1:1)) | MAE/UAE 22% water | 26/21 mg/g | [190] |
| BLN | Source | Solvent | Extraction Technique | Yield/ Recovery | Reference |
|---|---|---|---|---|---|
| Water | |||||
| Total BC | Moroccan prickly pear fruits (Opuntia ficus indica) | Water/ethanol/metabisulfite sodium (0.5%) | Stirring, 30 min, 4 °C | 38 mg/kg yellow pear 46 mg/kg red pear | [84] |
| Total BLN | Beetroot peels (powdered) | Water acidified by citric acid | MAE *, 0.2 g/mL ratio; 224.61 MW 57.06 s; pH 5.2 | 472 mg/L | [92] |
| Total BC Total BX | Beetroot (Beta vulgaris L.) | Water | Soxhlet, 7.5 g/mL ratio; 3 × 2 h | 3.8 mg/100 g 2.4 mg/100 g | [194] |
| UAE **, 40 kHz, 40 °C, 1.5 h | 2.8 mg/100 g 3.3 mg/100 g | ||||
| Maceration, 2 h | 3.6 mg/100 g 3.8 mg/100 g | ||||
| Total BC Total BX | Beetroot waste | Water | MAE, 800 W, 150 s; 0.2 g/mL ratio | 172 mg/L 232 mg/L | [195] |
| Total BC Total BX | Beetroot peels | Water | MAE, 800 W, 150 s; 0.2 g/mL ratio | 116 mg/100 g FW 86 mg/100 g FW | [196] |
| Total BC Total BX | Beetroot powder (freeze-dried) | Water acidified by citric acid | UAE, 10 min, 30 °C, pH = 5 | 4 mg/g DW, 3.6 mg/g DW 90% total BLN | [197] |
| Total BC Total BX | Beta vulgaris L. waste stalks | Water | UAE, 79.801 W/cm2 26.7 min, 22.4 g/mL | 3 mg/g 4.4 mg/g | [198] |
| Total BC | Dragon fruit peel (powdered) | Water | MAE; 35 °C; 8 min 40 mg/mL ratio | 9 mg/L | [199] |
| BC | Opuntia stricta var. Dillenii fruits | Water/ ethanol 1:1 v/v | PLE; 10.34 MPa; 25 °C; 10 min | 2.3 mg/g DW betanin 2.3 mg/g DW neobetanin | [200] |
| Total BLN | Opuntia joconostle cv. | Water/ethanol | 30 °C; 30 min | 86 mg/100 g | [201] |
| Total BX | Yellow pitaya (Stenocereus pruinosus) | Water | Aqueous two phase system (PEG/KH2PO4/K2HPO4) Mixing, 15 min; 25 °C; 10% w/w ratio | 52% | [83] |
| BLN | Cacti fruit (Escontria chiotilla) | Water | Aqueous two phase system (Ethanol/KH2PO4/K2HPO4) Mixing, 15 min; 25 °C; 10% w/w ratio | 63% | [202] |
| Total BC Total BX | Amaranthus hypochondricus L. | Water | Solid-liquid extraction | 0.2–0.4 mg/g 0.2–0.6 mg/g | [203] |
| Total BC | Amaranth (A. cruentus) | Water | Solid-liquid extraction | 4.8 mg/g | [204] |
| Total BC | Gomphrena globosa L. flowers | Water | UAE; 500 W, 22 min; 5 g/L ratio | 161 mg/g DM | [205] |
| Total BC Total BX | Amaranthus tricolour leaves | Water | MAE, 400/250 W, 15 min | 72 mg/g DW 42 mg/g DW | [206] |
| ILs | |||||
| BLN | Beetroot stems and leaves | Water/N-ethyl-N-methyl-N,N-bis(2-hydroxyethyl)bromide/PPG | Vortex; 20 °C, 70 min; 0.12 g/mL ratio | 6.7% w/w | [207] |
| DES | |||||
| BLN | Beetroot | MgCl2 × 6H2O/Urea (2:1) | Stirring | 4 mg/g | [208] |
Disclaimer/Publisher’s Note: The statements, opinions and data contained in all publications are solely those of the individual author(s) and contributor(s) and not of MDPI and/or the editor(s). MDPI and/or the editor(s) disclaim responsibility for any injury to people or property resulting from any ideas, methods, instructions or products referred to in the content. |
© 2024 by the authors. Licensee MDPI, Basel, Switzerland. This article is an open access article distributed under the terms and conditions of the Creative Commons Attribution (CC BY) license (https://creativecommons.org/licenses/by/4.0/).
Share and Cite
Tzanova, M.T.; Yaneva, Z.; Ivanova, D.; Toneva, M.; Grozeva, N.; Memdueva, N. Green Solvents for Extraction of Natural Food Colorants from Plants: Selectivity and Stability Issues. Foods 2024, 13, 605. https://doi.org/10.3390/foods13040605
Tzanova MT, Yaneva Z, Ivanova D, Toneva M, Grozeva N, Memdueva N. Green Solvents for Extraction of Natural Food Colorants from Plants: Selectivity and Stability Issues. Foods. 2024; 13(4):605. https://doi.org/10.3390/foods13040605
Chicago/Turabian StyleTzanova, Milena Tankova, Zvezdelina Yaneva, Donika Ivanova, Monika Toneva, Neli Grozeva, and Neli Memdueva. 2024. "Green Solvents for Extraction of Natural Food Colorants from Plants: Selectivity and Stability Issues" Foods 13, no. 4: 605. https://doi.org/10.3390/foods13040605
APA StyleTzanova, M. T., Yaneva, Z., Ivanova, D., Toneva, M., Grozeva, N., & Memdueva, N. (2024). Green Solvents for Extraction of Natural Food Colorants from Plants: Selectivity and Stability Issues. Foods, 13(4), 605. https://doi.org/10.3390/foods13040605

